Impact of the Fibrosis-4 Index on Risk Stratification of Cardiovascular Events and Mortality in Patients with Atrial Fibrillation: Findings from a Japanese Multicenter Registry
Abstract
1. Introduction
2. Methods
2.1. Study Population
2.2. Data Collection and Outcome Variables
2.3. Fibrosis-4 index
2.4. Statistical Analysis
3. Results
3.1. Patient Characteristics
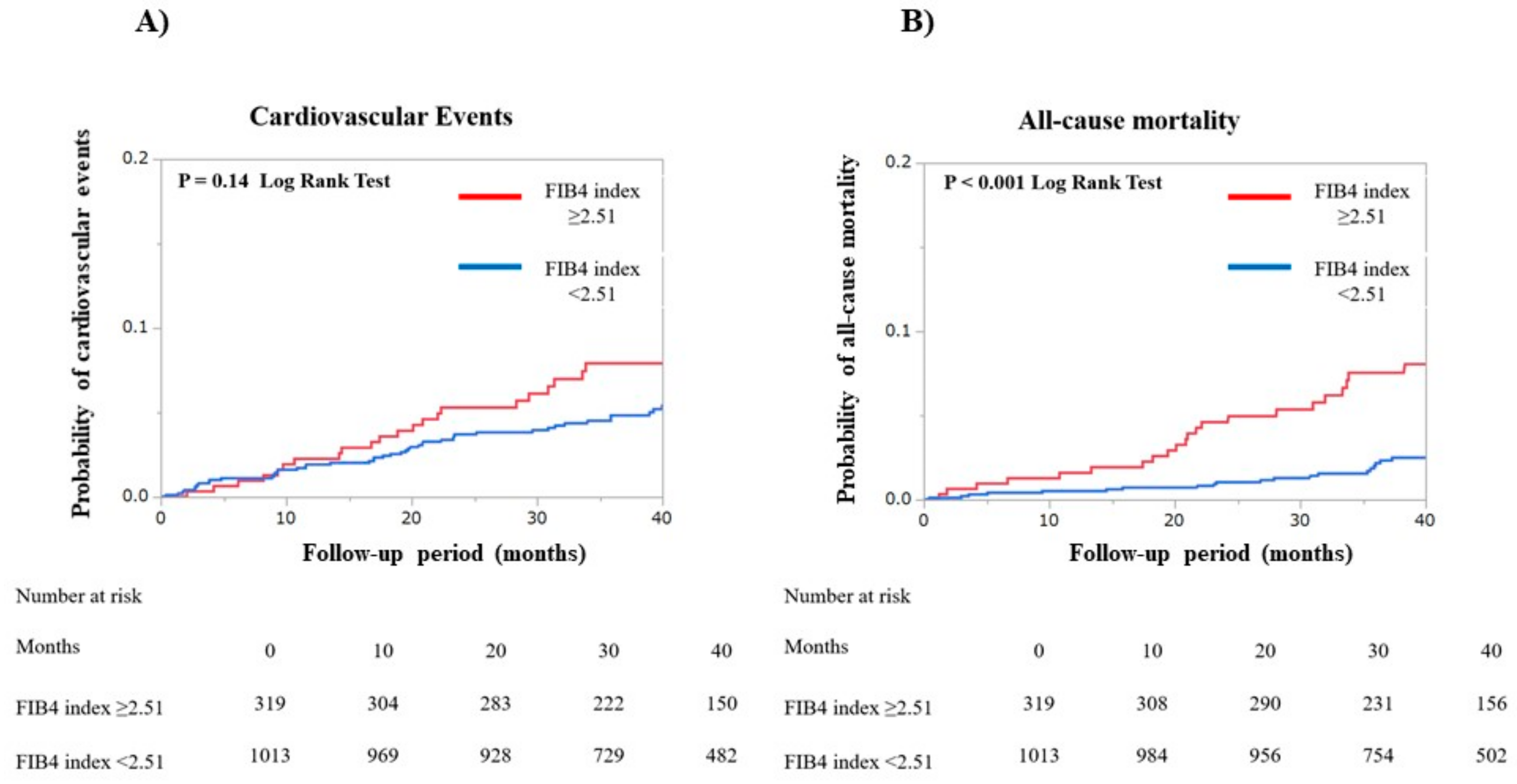
3.2. Clinical Outcomes
3.3. Risk Discriminative Power of FIB4 Index
3.4. Prognostic Role of FIB4 Index in Patients with Either Low or High CHADS2 Scores
4. Discussion
5. Conclusions
Author Contributions
Funding
Acknowledgments
Conflicts of Interest
Appendix A
References
- JCS Joint Working Group. Guidelines for pharmacotherapy of atrial fibrillation (JCS 2013). Circ. J. 2014, 78, 1997–2021. [Google Scholar] [CrossRef]
- Gage, B.F.; Waterman, A.D.; Shannon, W.; Boechler, M.; Rich, M.W.; Radford, M.J. Validation of clinical classification schemes for predicting stroke: Results from the National Registry of Atrial Fibrillation. JAMA 2001, 285, 2864–2870. [Google Scholar] [CrossRef] [PubMed]
- Go, A.S.; Fang, M.C.; Udaltsova, N.; Chang, Y.; Pomernacki, N.K.; Borowsky, L.; Singer, D.E. Impact of proteinuria and glomerular filtration rate on risk of thromboembolism in atrial fibrillation: The anticoagulation and risk factors in atrial fibrillation (ATRIA) study. Circulation 2009, 119, 1363–1369. [Google Scholar] [CrossRef] [PubMed]
- Rich, M.W. Epidemiology of atrial fibrillation. J. Interv. Card Electrophysiol. 2009, 25, 3–8. [Google Scholar] [CrossRef] [PubMed]
- Lee, H.; Choi, E.K.; Rhee, T.M.; Lee, S.R.; Lim, W.H.; Kang, S.H.; Han, K.D.; Cha, M.J.; Oh, S. Cirrhosis is a risk factor for atrial fibrillation: A nationwide, population-based study. Liver Int. 2017, 37, 1660–1667. [Google Scholar] [CrossRef]
- Huang, W.A.; Dunipace, E.A.; Sorg, J.M.; Vaseghi, M. Liver disease as a predictor of new-onset atrial fibrillation. J. Am. Heart Assoc. 2018, 7, e008703. [Google Scholar] [CrossRef]
- Karajamaki, A.J.; Patsi, O.P.; Savolainen, M.; Kesaniemi, Y.A.; Huikuri, H.; Ukkola, O. Non-alcoholic fatty liver disease as a predictor of atrial fibrillation in middle-aged population (OPERA Study). PLoS ONE 2015, 10, e0142937. [Google Scholar] [CrossRef]
- Rangari, M.; Sinha, S.; Kapoor, D.; Mohan, J.C.; Sarin, S.K. Prevalence of autonomic dysfunction in cirrhotic and noncirrhotic portal hypertension. Am. J. Gastroenterol. 2002, 97, 707–713. [Google Scholar] [CrossRef]
- Patel, P.; Dokainish, H.; Tsai, P.; Lakkis, N. Update on the association of inflammation and atrial fibrillation. J. Cardiovasc. Electrophysiol. 2010, 21, 1064–1070. [Google Scholar] [CrossRef]
- Poynard, T.; Lebray, P.; Ingiliz, P.; Varaut, A.; Varsat, B.; Ngo, Y.; Norha, P.; Munteanu, M.; Drane, F.; Messous, D.; et al. Prevalence of liver fibrosis and risk factors in a general population using non-invasive biomarkers (FibroTest). BMC Gastroenterol. 2010, 10, 40. [Google Scholar] [CrossRef]
- Sterling, R.K.; Lissen, E.; Clumeck, N.; Sola, R.; Correa, M.C.; Montaner, J.; Sulkowski, M.S.; Torriani, F.J.; Dieterich, D.T.; Thomas, D.L.; et al. Development of a simple noninvasive index to predict significant fibrosis in patients with HIV/HCV coinfection. Hepatology 2006, 43, 1317–1325. [Google Scholar] [CrossRef] [PubMed]
- Shah, A.G.; Lydecker, A.; Murray, K.; Tetri, B.N.; Contos, M.J.; Sanyal, A.J. Comparison of noninvasive markers of fibrosis in patients with nonalcoholic fatty liver disease. Clin. Gastroenterol. Hepatol. 2009, 7, 1104–1112. [Google Scholar] [CrossRef]
- Vallet-Pichard, A.; Mallet, V.; Nalpas, B.; Verkarre, V.; Nalpas, A.; Dhalluin-Venier, V.; Fontaine, H.; Pol, S. FIB-4: An inexpensive and accurate marker of fibrosis in HCV infection. Comparison with liver biopsy and FibroTest. Hepatology 2007, 46, 32–36. [Google Scholar] [CrossRef]
- Park, H.J.; Park, J.Y.; Jung, S.M.; Song, J.J.; Park, Y.B.; Lee, S.W. Fibrosis-4 index at diagnosis is associated with all-cause mortality in patients with microscopic polyangiitis and granulomatosis with polyangiitis. BMC Gastroenterol. 2019, 19, 90. [Google Scholar] [CrossRef]
- Kim, S.U.; Kim, B.K.; Park, J.Y.; Kim, D.Y.; Ahn, S.H.; Park, Y.B.; Han, K.H.; Lee, S.W. Fibrosis-4 index at diagnosis can predict all-cause mortality in patients with rheumatoid arthritis: A retrospective monocentric study. Mod. Rheumatol. 2020, 30, 70–77. [Google Scholar] [CrossRef] [PubMed]
- Sato, Y.; Yoshihisa, A.; Kanno, Y.; Watanabe, S.; Yokokawa, T.; Abe, S.; Misaka, T.; Sato, T.; Suzuki, S.; Oikawa, M.; et al. Liver stiffness assessed by Fibrosis-4 index predicts mortality in patients with heart failure. Open Heart 2017, 4, e000598. [Google Scholar] [CrossRef] [PubMed]
- Gage, B.F.; van Walraven, C.; Pearce, L.; Hart, R.G.; Koudstaal, P.J.; Boode, B.S.; Petersen, P. Selecting patients with atrial fibrillation for anticoagulation: Stroke risk stratification in patients taking aspirin. Circulation 2004, 110, 2287–2292. [Google Scholar] [CrossRef] [PubMed]
- Lahewala, S.; Arora, S.; Patel, P.; Kumar, V.; Patel, N.; Tripathi, B.; Patel, N.; Kallur, K.R.; Shah, H.; Syed, A.; et al. Atrial fibrillation: Utility of CHADS2 and CHA2DS2-VASc scores as predictors of readmission, mortality and resource utilization. Int. J. Cardiol. 2017, 245, 162–167. [Google Scholar] [CrossRef]
- Okumura, Y.; Yokoyama, K.; Matsumoto, N.; Tachibana, E.; Kuronuma, K.; Oiwa, K.; Matsumoto, M.; Kojima, T.; Hanada, S.; Nomoto, K.; et al. Three-year clinical outcomes associated with warfarin vs. direct oral anticoagulant use among Japanese patients with atrial fibrillation—Findings from the SAKURA AF Registry. Circ. J. 2018, 82, 2500–2509. [Google Scholar] [CrossRef]
- Okumura, Y.; Yokoyama, K.; Matsumoto, N.; Tachibana, E.; Kuronuma, K.; Oiwa, K.; Matsumoto, M.; Kojima, T.; Hanada, S.; Nomoto, K.; et al. Current use of direct oral anticoagulants for atrial fibrillation in Japan: Findings from the SAKURA AF Registry. J. Arrhythm. 2017, 33, 289–296. [Google Scholar] [CrossRef]
- Rosendaal, F.R.; Cannegieter, S.C.; van der Meer, F.J.; Briet, E. A method to determine the optimal intensity of oral anticoagulant therapy. Thromb. Haemost. 1993, 69, 236–239. [Google Scholar] [CrossRef] [PubMed]
- Nakagawa, K.; Hirai, T.; Takashima, S.; Fukuda, N.; Ohara, K.; Sasahara, E.; Taguchi, Y.; Dougu, N.; Nozawa, T.; Tanaka, K.; et al. Chronic kidney disease and CHADS(2) score independently predict cardiovascular events and mortality in patients with nonvalvular atrial fibrillation. Am. J. Cardiol. 2011, 107, 912–916. [Google Scholar] [CrossRef] [PubMed]
- Pastori, D.; Lip, G.Y.H.; Farcomeni, A.; Del Sole, F.; Sciacqua, A.; Perticone, F.; Marcucci, R.; Grifoni, E.; Pignatelli, P.; Violi, F. Incidence of bleeding in patients with atrial fibrillation and advanced liver fibrosis on treatment with vitamin K or non-vitamin K antagonist oral anticoagulants. Int. J. Cardiol. 2018, 264, 58–63. [Google Scholar] [CrossRef] [PubMed]
- Sumida, Y.; Yoneda, M.; Hyogo, H.; Itoh, Y.; Ono, M.; Fujii, H.; Eguchi, Y.; Suzuki, Y.; Aoki, N.; Kanemasa, K.; et al. Validation of the FIB4 index in a Japanese nonalcoholic fatty liver disease population. BMC Gastroenterol. 2012, 12, 2. [Google Scholar] [CrossRef] [PubMed]
- Corley, S.D.; Epstein, A.E.; DiMarco, J.P.; Domanski, M.J.; Geller, N.; Greene, H.L.; Josephson, R.A.; Kellen, J.C.; Klein, R.C.; Krahn, A.D.; et al. Relationships between sinus rhythm, treatment, and survival in the Atrial Fibrillation Follow-Up Investigation of Rhythm Management (AFFIRM) Study. Circulation 2004, 109, 1509–1513. [Google Scholar]
- Chen, L.Y.; Chung, M.K.; Allen, L.A.; Ezekowitz, M.; Furie, K.L.; McCabe, P.; Noseworthy, P.A.; Perez, M.V.; Turakhia, M.P. Atrial fibrillation burden: Moving beyond atrial fibrillation as a binary entity: A scientific statement from the American Heart Association. Circulation 2018, 137, e623–e644. [Google Scholar] [CrossRef]





| Item | First Tertile FIB4 < 1.75 (n = 1022) | Second Tertile 1.75 < FIB4 < 2.51 (n = 1022) | Third Tertile FIB4 ≥ 2.51 (n = 1023) | p Value |
|---|---|---|---|---|
| Age (years) | 65 ± 9 | 72 ± 7* | 77 ± 7*,† | <0.001 |
| Male (percentage) | 786 (76) | 737 (72) | 737 (72) | 0.015 |
| BMI (kg/m2) | 24.8 ± 3.9 | 23.9 ± 3.5* | 23.3 ± 3.6*,† | <0.001 |
| AF type | <0.001 | |||
| Paroxysmal AF | 464 (45) | 371 (36) | 285 (27) | - |
| Persistent AF | 202 (19) | 229 (22) | 252 (24) | - |
| LS-AF | 348 (34) | 416 (40) | 476 (46) | - |
| Unknown | 8 (0.7) | 6 (0.5) | 10 (0.9) | - |
| Hypertension | 724 (70) | 732 (71) | 730 (71) | 0.92 |
| Diabetes mellitus | 235 (23) | 224 (21) | 236 (23) | 0.78 |
| Heart failure | 204 (19) | 215 (21) | 267 (26) | 0.002 |
| Vascular disease | 116 (11) | 126 (12) | 136 (13) | 0.40 |
| Stroke or TIA | 104 (10) | 117 (11) | 124 (12) | 0.36 |
| Major bleeding | 11 (1) | 6 (0.5) | 13 (1) | 0.24 |
| AF ablation | 153 (15) | 71 (7) | 43 (4) | <0.001 |
| Antiplatelet use | 152 (14) | 170 (16) | 165 (16) | 0.53 |
| NSAID use | 22 (2) | 19 (1) | 10 (1) | 0.08 |
| DOAC use | 588 (57) | 518 (51) | 502 (49) | <0.001 |
| Warfarin use | 434 (42) | 504 (49) | 521 (51) | <0.001 |
| CHADS2 score | 1.5 ± 1.0 | 1.8 ± 1.1* | 2.0 ± 1.1*,† | <0.001 |
| CHA2DS2-VASc score | 2.4 ± 1.4 | 3.0 ± 1.4* | 3.4 ± 1.3*,† | <0.001 |
| HAS-BLED score | 1.2 ± 0.9 | 1.4 ± 0.8* | 1.5 ± 0.7*,† | <0.001 |
| Hemoglobin (g/dL) | 14.1 ± 1.6 | 13.7 ± 1.6* | 13.3 ± 1.7*,† | <0.001 |
| Platelets (×103/μL) | 24.4 ± 5.2 | 19.8 ± 3.3* | 15.6 ± 3.3*,† | <0.001 |
| BUN (mg/dL) | 16.6 ± 7.0 | 17.9 ± 8.1* | 18.8 ± 7.0*,† | <0.001 |
| Creatinine (mg/dL) | 0.90 ± 0.43 | 0.95 ± 0.42* | 0.95 ± 0.34* | <0.001 |
| CrCl (mL/min) | 81 ± 29 | 64 ± 22* | 57 ± 21*,† | <0.001 |
| AST (IU/L) | 22 ± 7 | 25 ± 8* | 31 ± 18*,† | <0.001 |
| ALT (IU/L) | 22 ± 7 | 25 ± 8* | 31 ± 18* | <0.001 |
| Item | Stroke | Major Bleeding | ||
|---|---|---|---|---|
| HR (95% C.I.) | p Value | HR (95% C.I.) | p Value | |
| Age ≥ 75 years | 1.36 (0.88–2.08) | 0.15 | 1.16 (0.76–1.76) | 0.48 |
| Male | 1.11 (0.71–1.80) | 0.63 | 1.33 (0.83–2.19) | 0.23 |
| Body weight ≤ 50 kg | 1.11 (0.63–1.89) | 0.70 | 0.96 (0.53–1.69) | 0.91 |
| Persistent AF or LS-AF vs. Paroxysmal AF | 1.46 (0.97–2.24) | 0.069 | 1.10 (0.74–1.66) | 0.60 |
| Hypertension | 1.28 (0.83–2.03) | 0.26 | 1.29 (0.84–2.04) | 0.24 |
| Diabetes mellitus | 1.05 (0.67–1.61) | 0.79 | 1.31 (0.86–1.95) | 0.19 |
| Heart failure | 0.82 (0.52–1.32) | 0.43 | 0.79 (0.49–1.24) | 0.33 |
| Vascular disease | 1.02 (0.57–1.83) | 0.92 | 1.11 (0.62–1.91) | 0.69 |
| History of stroke or TIA | 2.35 (1.52–3.63) | <0.001 | 1.01 (0.56–1.69) | 0.97 |
| New OAC use | 1.71 (1.08–2.70) | 0.021 | 1.28 (0.78–2.05) | 0.31 |
| Antiplatelet use | 1.00 (0.59–1.69) | 0.97 | 1.18 (0.70–1.94) | 0.50 |
| DOAC vs. warfarin | 1.06 (0.70–1.58) | 0.77 | 0.97 (0.65–1.45) | 0.91 |
| CrCl ≤ 50 mL/min | 1.68 (1.06–2.64) | 0.024 | 1.93 (1.23–3.02) | 0.004 |
| Third tertile of FIB4 index | 1.21 (0.81–1.80) | 0.33 | 1.31 (0.88–1.94) | 0.17 |
| Item | Cardiovascular events | All-cause Mortality | ||
|---|---|---|---|---|
| HR (95% C.I.) | p value | HR (95% C.I.) | p value | |
| Age ≥ 75 years | 1.23 (0.92–1.66) | 0.15 | 2.46 (1.72–3.57) | <0.001 |
| Male | 0.82 (0.59–1.13) | 0.24 | 1.96 (1.34–2.91) | <0.001 |
| Body weight ≤ 50 kg | 1.23 (0.85–1.77) | 0.26 | 1.68 (1.13–2.47) | 0.009 |
| Persistent AF or LS-AF vs. Paroxysmal AF | 0.71 (0.54–0.93) | 0.015 | 1.26 (0.91–1.79) | 0.15 |
| Hypertension | 1.11 (0.84–1.50) | 0.44 | 0.70 (0.51–0.96) | 0.028 |
| Diabetes mellitus | 1.06 (0.78–1.42) | 0.67 | 1.25 (0.89–1.74) | 0.18 |
| Heart failure | 1.93 (1.46–2.54) | <0.001 | 1.46 (1.07–2.00) | 0.017 |
| Vascular disease | 1.80 (1.27–2.55) | <0.001 | 1.46 (0.96–2.18) | 0.072 |
| History of stroke or TIA | 0.81 (0.52–1.23) | 0.32 | 0.97 (0.61–1.48) | 0.91 |
| New OAC use | 1.80 (1.32–2.47) | <0.001 | 1.18 (0.79–1.74) | 0.40 |
| Antiplatelet use | 1.34 (0.95–1.89) | 0.086 | 1.13 (0.75–1.67) | 0.52 |
| DOAC vs. warfarin | 0.93 (0.71–1.23) | 0.63 | 1.01 (0.74–1.39) | 0.91 |
| CrCl ≤ 50 mL/min | 1.74 (1.27–2.38) | <0.001 | 2.17 (1.53–3.09) | <0.001 |
| Third tertile of FIB4 index | 1.72 (1.31–2.25) | <0.001 | 1.43 (1.06–1.95) | 0.019 |
| Risk score | C-statistics (95% C.I.) | p Value | NRI (95% C.I.) | p Value | IDI (95% C.I.) | p Value |
|---|---|---|---|---|---|---|
| Cardiovascular events | ||||||
| CHA2DS2-VASc score | 0.609 (0.574–0.644) | Ref. | Ref. | Ref. | ||
| CHA2DS2-VASc score+ FIB4 index | 0.638 (0.602–0.674) | 0.025 | 0.32 (0.19–0.45) | <0.001 | 0.010 (0.005–0.015) | <0.001 |
| All-cause mortality | ||||||
| CHA2DS2-VASc score | 0.626 (0.587–0.664) | Ref. | Ref. | Ref. | ||
| CHA2DS2-VASc score+ FIB4 index | 0.672 (0.636–0.709) | 0.001 | 0.40 (0.25–0.54) | <0.001 | 0.011 (0.005–0.018) | <0.001 |
© 2020 by the authors. Licensee MDPI, Basel, Switzerland. This article is an open access article distributed under the terms and conditions of the Creative Commons Attribution (CC BY) license (http://creativecommons.org/licenses/by/4.0/).
Share and Cite
Saito, Y.; Okumura, Y.; Nagashima, K.; Fukamachi, D.; Yokoyama, K.; Matsumoto, N.; Tachibana, E.; Kuronuma, K.; Oiwa, K.; Matsumoto, M.; et al. Impact of the Fibrosis-4 Index on Risk Stratification of Cardiovascular Events and Mortality in Patients with Atrial Fibrillation: Findings from a Japanese Multicenter Registry. J. Clin. Med. 2020, 9, 584. https://doi.org/10.3390/jcm9020584
Saito Y, Okumura Y, Nagashima K, Fukamachi D, Yokoyama K, Matsumoto N, Tachibana E, Kuronuma K, Oiwa K, Matsumoto M, et al. Impact of the Fibrosis-4 Index on Risk Stratification of Cardiovascular Events and Mortality in Patients with Atrial Fibrillation: Findings from a Japanese Multicenter Registry. Journal of Clinical Medicine. 2020; 9(2):584. https://doi.org/10.3390/jcm9020584
Chicago/Turabian StyleSaito, Yuki, Yasuo Okumura, Koichi Nagashima, Daisuke Fukamachi, Katsuaki Yokoyama, Naoya Matsumoto, Eizo Tachibana, Keiichiro Kuronuma, Koji Oiwa, Michiaki Matsumoto, and et al. 2020. "Impact of the Fibrosis-4 Index on Risk Stratification of Cardiovascular Events and Mortality in Patients with Atrial Fibrillation: Findings from a Japanese Multicenter Registry" Journal of Clinical Medicine 9, no. 2: 584. https://doi.org/10.3390/jcm9020584
APA StyleSaito, Y., Okumura, Y., Nagashima, K., Fukamachi, D., Yokoyama, K., Matsumoto, N., Tachibana, E., Kuronuma, K., Oiwa, K., Matsumoto, M., Nishida, T., Kojima, T., Hanada, S., Nomoto, K., Sonoda, K., Arima, K., Takahashi, F., Kotani, T., Ohkubo, K., ... Hirayama, A., on behalf of SAKURA AF Registry Investigators. (2020). Impact of the Fibrosis-4 Index on Risk Stratification of Cardiovascular Events and Mortality in Patients with Atrial Fibrillation: Findings from a Japanese Multicenter Registry. Journal of Clinical Medicine, 9(2), 584. https://doi.org/10.3390/jcm9020584

