Manipulating the Perceived Shape and Color of a Virtual Limb Can Modulate Pain Responses
Abstract
1. Introduction
2. Methods
2.1. Participants
2.2. Study Design
2.3. Apparatus
2.3.1. Head-Mounted Display
2.3.2. Visuo-Tactile Stimulation
2.3.3. Skin Conductance Responses
2.4. Procedures
2.4.1. Position of the Participants
2.4.2. Virtual Reality Scenario
2.4.3. Pain Ratings and Ownership Measures
2.5. SCR Data Preprocessing
2.6. Virtual Reality Experience Questionnaire
- Q1.
- During the experiment there were moments in which I felt that the virtual balls were touching my real fingers.
- Q2.
- Although the virtual body did not seem to be physically my body, I felt that it could be my own body.
- Q3.
- When I saw the virtual arm distorted, I felt that my own arm was distorted as well.
- Q4.
- During each different representation of the virtual arm, I felt that if I moved my real arm the virtual arm would start moving too.
- Q5.
- During the whole experimental session, I was able to focus my attention to the right arm.
2.7. Data Handling
3. Results
3.1. Changes in Shape and Color of the Virtual Arm Modulate SCR after Threatening Stimulus Exposure
3.2. Distortion of the Virtual Arm Increase Pain Ratings (VAS) after Threatening Stimulus Exposure
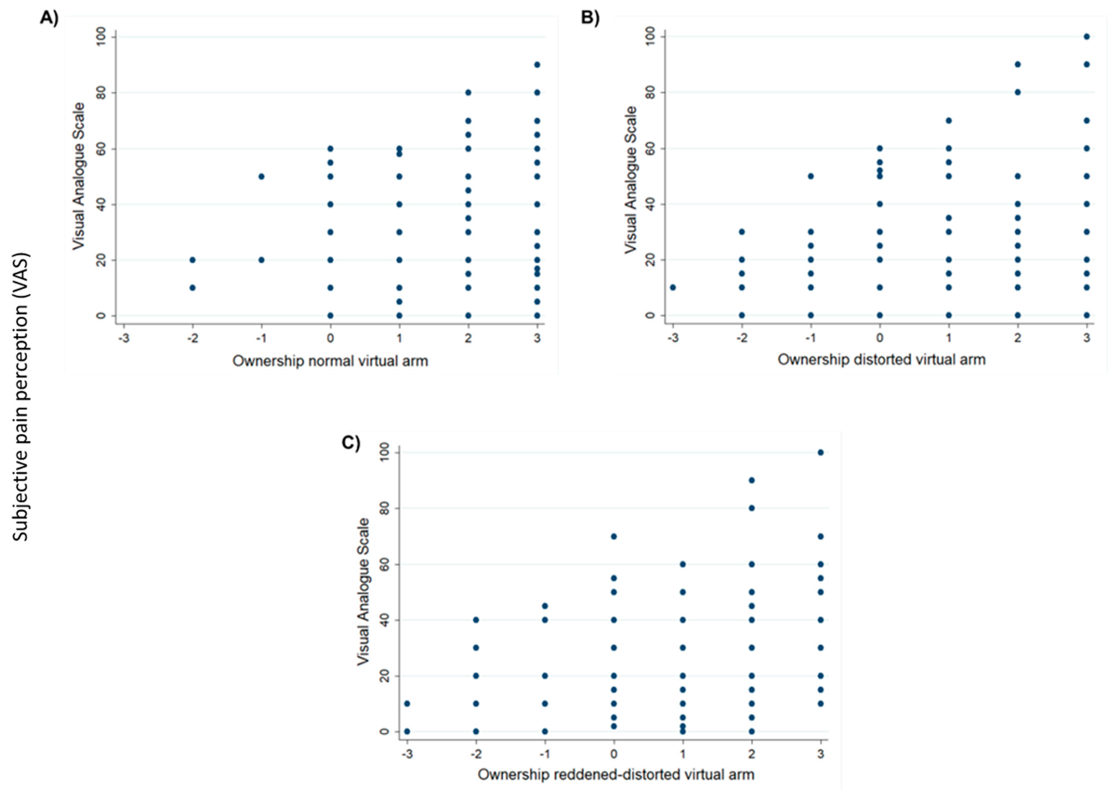
3.3. Dependency of Ownership on Shape and Color Changes of the Virtual Arm after Threatening Stimulus Exposure
4. Discussion
5. Limitations
6. Conclusions
Author Contributions
Funding
Acknowledgments
Conflicts of Interest
References
- Martini, M.; Perez-Marcos, D.; Sanchez-Vives, M.V. Modulation of pain threshold by virtual body ownership. Eur. J. Pain 2014, 18, 1040–1048. [Google Scholar] [CrossRef]
- Martini, M.; Perez-Marcos, D.; Sanchez-Vives, M.V. What Color is My Arm? Changes in Skin Color of an Embodied Virtual Arm Modulates Pain Threshold. Front. Hum. Neurosci. 2013, 7, 438. [Google Scholar] [CrossRef]
- Llobera, J.; González-Franco, M.; Perez-Marcos, D.; Valls-Solé, J.; Slater, M.; Sanchez-Vives, M.V. Virtual reality for assessment of patients suffering chronic pain: A case study. Exp. Brain Res. 2013, 225, 105–117. [Google Scholar] [CrossRef] [PubMed]
- Senkowski, D.; Heinz, A. Chronic pain and distorted body image: Implications for multisensory feedback interventions. Neurosci. Biobehav. Rev. 2016, 69, 252–259. [Google Scholar] [CrossRef]
- Mouraux, A.; Diukova, A.; Lee, M.C.; Wise, R.G.; Iannetti, G.D. A multisensory investigation of the functional significance of the “pain matrix”. Neuroimage 2011, 54, 2237–2249. [Google Scholar] [CrossRef]
- Slater, M. Place Illusion and Plausibility Can Lead to Realistic Behaviour in Immersive Virtual Environments. Philos. Trans. R. Soc. 2009, 364, 3549–3557. [Google Scholar] [CrossRef] [PubMed]
- Sanchez-Vives, M.V.; Slater, M. From presence to consciousness through virtual reality. Nat. Rev. Neurosci. 2005, 6, 332–339. [Google Scholar] [CrossRef]
- Slater, M.; Perez-Marcos, D.; Ehrsson, H.H.; Sanchez-Vives, M.V. Towards a digital body: The virtual arm illusion. Front. Hum. Neurosci. 2008, 2, 6. [Google Scholar] [CrossRef] [PubMed]
- Maister, L.; Slater, M.; Sanchez-Vives, M.V.; Tsakiris, M. Changing bodies changes minds: Owning another body affects social cognition. Trends Cogn. Sci. 2015, 19, 6–12. [Google Scholar] [CrossRef]
- Peck, T.C.; Seinfeld, S.; Aglioti, S.M.; Slater, M. Putting yourself in the skin of a black avatar reduces implicit racial bias. Conscious. Cogn. 2013, 22, 779–787. [Google Scholar] [CrossRef]
- Banakou, D.; Groten, R.; Slater, M. Illusory ownership of a virtual child body causes overestimation of object sizes and implicit attitude changes. Proc. Natl. Acad. Sci. USA 2013, 110, 12846–12851. [Google Scholar] [CrossRef]
- Martini, M.; Kilteni, K.; Maselli, A.; Sanchez-Vives, M.V. The body fades away: Investigating the effects of transparency of an embodied virtual body on pain threshold and body ownership. Sci. Rep. 2015, 5, 13948. [Google Scholar] [CrossRef]
- Romano, D.; Maravita, A. The visual size of one’s own hand modulates pain anticipation and perception. Neuropsychologia 2014, 57, 93–100. [Google Scholar] [CrossRef]
- Moseley, G.; Parsons, T.; Spence, C. Visual distortion of a limb modulates the pain and swelling evoked by movement. Curr. Biol. 2008, 18, R1047–R1048. [Google Scholar] [CrossRef]
- Hoffman, H.G.; Patterson, D.R.; Carrougher, G.J.; Sharar, S.R. Effectiveness of virtual reality-based pain control with multiple treatments. Clin. J. Pain 2001, 17, 229–235. [Google Scholar] [CrossRef] [PubMed]
- Hoffman, H.G.; Richards, T.L.; Coda, B.; Bills, A.R.; Blough, D.; Richards, A.L.; Sharar, S.R. Modulation of thermal pain-related brain activity with virtual reality: Evidence from fMRI. Neuroreport 2004, 15, 1245–1248. [Google Scholar] [CrossRef]
- Nierula, B.; Martini, M.; Matamala-Gomez, M.; Slater, M.; Sanchez-Vives, M.V. Seeing an Embodied Virtual Hand is Analgesic Contingent on Colocation. J. Pain 2017, 18, 645–655. [Google Scholar] [CrossRef]
- Romano, D.; Llobera, J.; Blanke, O. Size and viewpoint of an embodied virtual body impact the processing of painful stimuli. J. Pain 2015, 17, 350–358. [Google Scholar] [CrossRef]
- Pozeg, P.; Palluel, E.; Ronchi, R.; Solcà, M.; Al-Khodairy, A.W.; Jordan, X.; Kassouha, A.; Blanke, O. Virtual reality improves embodiment and neuropathic pain caused by spinal cord injury. Neurology 2017, 89, 1894–1903. [Google Scholar] [CrossRef]
- Solcà, M.; Ronchi, R.; Bello-Ruiz, J.; Schmidlin, T.; Herbelin, B.; Luthi, F.; Konzelmann, M.; Beaulieu, J.Y.; Delaquaize, F.; Schnider, A.; et al. Heartbeat-enhanced immersive virtual reality to treat complex regional pain syndrome. Neurology 2018, 91, e479–e489. [Google Scholar] [CrossRef]
- Boesch, E.; Bellan, V.; Moseley, G.; Stanton, T. The effect of bodily illusions on clinical pain: A systematic review and meta-analysis. Pain 2016, 157, 516–529. [Google Scholar] [CrossRef]
- Foell, J.; Bekrater-Bodmann, R.; Diers, M.; Flor, H. Mirror therapy for phantom limb pain: Brain changes and the role of body representation. Eur. J. Pain 2014, 18, 729–739. [Google Scholar] [CrossRef]
- Giummarra, M.J.; Gibson, S.J.; Georgiou-Karistianis, N.; Bradshaw, J.L. Central mechanisms in phantom limb perception: The past, present and future. Brain Res. Rev. 2007, 54, 219–232. [Google Scholar] [CrossRef]
- Flor, H.; Nikolajsen, L.; Staehelin Jensen, T. Phantom limb pain: A case of maladaptive CNS plasticity? Nat. Rev. Neurosci. 2006, 7, 873–881. [Google Scholar] [CrossRef]
- Makin, T.R.; Scholz, J.; Filippini, N.; Henderson Slater, D.; Tracey, I.; Johansen-Berg, H. Phantom pain is associated with preserved structure and function in the former hand area. Nat. Commun. 2013, 4, 1570. [Google Scholar] [CrossRef]
- Bultitude, J.H.; Rafal, R.D. Derangement of body representation in complex regional pain syndrome: Report of a case treated with mirror and prisms. Exp. Brain Res. 2010, 204, 409–418. [Google Scholar] [CrossRef][Green Version]
- Lewis, J.; Kersten, P.; McPherson, K. Wherever is my arm? Impaired upper limb position accuracy in complex regional pain syndrome. Pain 2010, 149, 463–469. [Google Scholar] [CrossRef]
- Melzack, R. Phantom limbs and the concept of a neuromatrix. Trends Neurosci. 1990, 13, 88–92. [Google Scholar] [CrossRef]
- Wand, B.M.; Parkitny, L.; O’Connell, N.E.; Luomajoki, H.; McAuley, J.H.; Thacker, M.; Moseley, G.L. Cortical changes in chronic low back pain: Current state of the art and implications for clinical practice. Man. Ther. 2011, 16, 15–20. [Google Scholar] [CrossRef]
- Ramachandran, V.S.; Altschuler, E.L. The use of visual feedback, in particular mirror visual feedback, in restoring brain function. Brain 2009, 132, 1693–1710. [Google Scholar] [CrossRef]
- Armel, K.C.; Ramachandran, V.S. Projecting sensations to external objects: Evidence from skin conductance response. Proc. R. Soc. B Biol. Sci. 2003, 270, 1499–1506. [Google Scholar] [CrossRef]
- Moseley, G.L.; Arntz, A. The context of a noxious stimulus affects the pain it evokes. Pain 2007, 133, 64–71. [Google Scholar] [CrossRef]
- World Medical Association World Medical Association Declaration of Helsinki: Ethical principles for medical research involving human subjects. J. Am. Med. Assoc. 2013, 310, 2191–2194. [CrossRef] [PubMed]
- Nikolajsen, L.; Springer, J.S.; Haroutiunian, S. Phantom Limb Pain. In Practical Management of Pain; Elsevier Inc.: Amsterdam, The Netherlands, 2014; Chapter 26; pp. 369–377.e3. ISBN 9780323083409. [Google Scholar]
- Price, D.D.; McGrath, P.A.; Rafii, A.; Buckingham, B. The validation of visual analogue scales as ratio scale measures for chronic and experimental pain. Pain 1983, 17, 45–56. [Google Scholar] [CrossRef]
- Kilteni, K.; Groten, R.; Slater, M. The Sense of Embodiment in Virtual Reality. Presence Teleoperators Virtual 2012, 21, 373–387. [Google Scholar] [CrossRef]
- Cheng, Y.; Lin, C.P.; Liu, H.L.; Hsu, Y.Y.; Lim, K.E.; Hung, D.; Decety, J. Expertise Modulates the Perception of Pain in Others. Curr. Biol. 2007, 17, 1708–1713. [Google Scholar] [CrossRef]
- Kilteni, K.; Normand, J.-M.; Sanchez-Vives, M.V.; Slater, M. Extending body space in immersive virtual reality: A very long arm illusion. PLoS ONE 2012, 7, e40867. [Google Scholar] [CrossRef]
- Slater, M.; Perez-Marcos, D.; Ehrsson, H.H.; Sanchez-Vives, M.V. Inducing illusory ownership of a virtual body. Front. Neurosci. 2009, 3, 214–220. [Google Scholar] [CrossRef]
- Breimhorst, M.; Sandrock, S.; Fechir, M.; Hausenblas, N.; Geber, C.; Birklein, F. Do intensity ratings and skin conductance responses reliably discriminate between different stimulus intensities in experimentally induced pain? J. Pain 2011, 12, 61–70. [Google Scholar] [CrossRef]
- Lykken, D.T.; Venables, P.H. Direct measurement of skin conductance: A proposal for standardization. Psychophysiology 1971, 8, 656–672. [Google Scholar] [CrossRef]
- Rhudy, J.L.; Bartley, E.J.; Williams, A.E. Habituation, sensitization, and emotional valence modulation of pain responses. Pain 2010, 148, 320–327. [Google Scholar] [CrossRef] [PubMed]
- Lopes-Machado, E.Z.; De Souza Crippa, J.A.; Hallak, J.E.C.; Guimarães, F.S.; Zuardi, A.W. Electrodermically nonresponsive schizophrenia patients make more errors in the stroop color word test, indicating selective attention deficit. Schizophr. Bull. 2002, 28, 459–466. [Google Scholar] [CrossRef] [PubMed]
- Turpin, G.; Schaefer, F.; Boucsein, W. Effects of stimulus intensity, risetime, and duration on autonomic and behavioral responding: Implications for the differentiation of orienting, startle, and defense responses. Psychophysiology 1999, 36, 453–463. [Google Scholar] [CrossRef]
- Veit, R.; Lotze, M.; Sewing, S.; Missenhardt, H.; Gaber, T.; Birbaumer, N. Aberrant social and cerebral responding in a competitive reaction time paradigm in criminal psychopaths. Neuroimage 2010, 49, 3365–3372. [Google Scholar] [CrossRef]
- Sanchez-Vives, M.V.; Spanlang, B.; Frisoli, A.; Bergamasco, M.; Slater, M. Virtual hand illusion induced by visuomotor correlations. PLoS ONE 2010, 5, e10381. [Google Scholar] [CrossRef]
- Matamala-Gomez, M.; Donegan, T.; Bottiroli, S.; Sandrini, G.; Sanchez-Vives, M.V.; Tassorelli, C. Immersive virtual reality and virtual embodiment for pain relief. Front. Hum. Neurosci. 2019, 13, 279. [Google Scholar] [CrossRef]
- Moseley, G.L.; Flor, H. Targeting Cortical Representations in the Treatment of Chronic Pain. Neurorehabil. Neural Repair 2012, 26, 646–652. [Google Scholar] [CrossRef]
- Lotze, M.; Moseley, G.L. Role of Distorted Body Image in Pain. Curr. Rheumatol. Reports Curr. Med. Gr. LLC ISSN 2007, 9, 488–496. [Google Scholar] [CrossRef]
- Makin, T.R.; Scholz, J.; Henderson Slater, D.; Johansen-Berg, H.; Tracey, I. Reassessing cortical reorganization in the primary sensorimotor cortex following arm amputation. Brain 2015, 138, 2140–2146. [Google Scholar] [CrossRef]
- Schott, G.D. Penfield’s homunculus: A note on cerebral cartography. J. Neurol. Neurosurg. Psychiatry 1993, 56, 329–333. [Google Scholar] [CrossRef]
- Tung, M.L.; Murphy, I.C.; Griffin, S.C.; Alphonso, A.L.; Hussey-Anderson, L.; Hughes, K.E.; Weeks, S.R.; Merritt, V.; Yetto, J.M.; Pasquina, P.F.; et al. Observation of limb movements reduces phantom limb pain in bilateral amputees. Ann. Clin. Transl. Neurol. 2014, 1, 633–638. [Google Scholar] [CrossRef] [PubMed]
- Mercier, C.; Sirigu, A. Training With Virtual Visual Feedback to Alleviate Phantom Limb Pain. Neurorehabil. Neural Repair 2009, 23, 587–594. [Google Scholar] [CrossRef]
- Khelemsky, Y. Acute and chronic pain management. In Anesthesiology and Otolaryngology; Springer: Berlin/Heidelberg, Germany, 2013; Volume 9781461441, pp. 373–391. ISBN 9781461441847. [Google Scholar]
- Palermo, L.; Di Vita, A.; Piccardi, L.; Traballesi, M.; Guariglia, C. Bottom-up and top-down processes in body representation: A study of brain-damaged and amputee patients. Neuropsychology 2014, 28, 772–781. [Google Scholar] [CrossRef] [PubMed]
- Moseley, G.L. I can’t find it! Distorted body image and tactile dysfunction in patients with chronic back pain. Pain 2008, 140, 167–171. [Google Scholar] [CrossRef] [PubMed]
- Mancini, F.; Longo, M.R.; Kammers, M.P.M.; Haggard, P. Visual distortion of body size modulates pain perception. Psychol. Sci. 2011, 22, 325–330. [Google Scholar] [CrossRef] [PubMed]
- Osumi, M.; Imai, R.; Ueta, K.; Nobusako, S.; Morioka, S. Negative body image associated with changes in the visual body appearance increases pain perception. PLoS ONE 2014, 9, e107376. [Google Scholar] [CrossRef] [PubMed]
- Fields, H.L.; Basbaum, A.I.; Heinricher, M.M. Central nervous system mechanisms of pain modulation. In Wall and Melzack’s Textbook of Pain; Saunders: Philadelphia, PA, USA, 2006; pp. 125–142. ISBN 978-0-443-07287-1. [Google Scholar]
- Pud, D.; Granovsky, Y.; Yarnitsky, D. The methodology of experimentally induced diffuse noxious inhibitory control (DNIC)-like effect in humans. Pain 2009, 144, 16–19. [Google Scholar] [CrossRef]
- Porro, C.A.; Baraldi, P.; Pagnoni, G.; Serafini, M.; Facchin, P.; Maieron, M.; Nichelli, P. Does anticipation of pain affect cortical nociceptive systems? J. Neurosci. 2002, 22, 3206–3214. [Google Scholar] [CrossRef]
- Brown, C.A.; Jones, A.K. A role for midcingulate cortex in the interruptive effects of pain anticipation on attention. Clin. Neurophysiol. 2008, 119, 2370–2379. [Google Scholar] [CrossRef]
- Botvinick, M.; Cohen, J. Rubber hands’ feel’touch that eyes see. Nature 1998, 391, 756. [Google Scholar] [CrossRef]
- Ehrsson, H.; Petkova, V. If I were you: Perceptual illusion of body swapping. PLoS ONE 2008, 3, e3832. [Google Scholar]
- González-Franco, M.; Peck, T.C.; Rodríguez-Fornells, A.; Slater, M. A threat to a virtual hand elicits motor cortex activation. Exp. Brain Res. 2014, 232, 875–887. [Google Scholar] [CrossRef] [PubMed]
- Kilteni, K.; Grau-Sánchez, J.; Veciana De Las Heras, M.; Rodriguez-Fornells, A.; Slater, M. Decreased corticospinal excitability after the illusion of missing part of the arm. Front. Hum. Neurosci. 2016, 10, 3423. [Google Scholar] [CrossRef]
- Nierula, B.; Spanlang, B.; Martini, M.; Borrell, M.; Nikulin, V.V.; Sanchez-Vives, M.V. Agency and responsibility over virtual movements controlled through different paradigms of brain−computer interface. J. Physiol. 2019. [Google Scholar] [CrossRef]
- Bergström, I.; Kilteni, K.; Slater, M. First-Person Perspective Virtual Body Posture Influences Stress: A Virtual Reality Body Ownership Study. PLoS ONE 2016, 11, e0148060. [Google Scholar] [CrossRef]
- Romano, D.; Pfeiffer, C.; Maravita, A.; Blanke, O. Illusory self-identification with an avatar reduces arousal responses to painful stimuli. Behav. Brain Res. 2014, 261, 275–281. [Google Scholar] [CrossRef]
- Fillingim, R.B. Sex, gender, and pain: Women and men really are different. Curr. Rev. Pain 2000, 4, 24–30. [Google Scholar] [CrossRef]
- Schmalzl, L. “Pulling telescoped phantoms out of the stump”: Manipulating the perceived position of phantom limbs using a full-body illusion. Front. Hum. Neurosci. 2011, 5, 5. [Google Scholar] [CrossRef]
- Thøgersen, M.; Hansen, J.; Arendt-Nielsen, L.; Flor, H.; Petrini, L. Removing own-limb visual input using mixed reality (MR) produces a “telescoping” illusion in healthy individuals. Behav. Brain Res. 2018, 347, 263–271. [Google Scholar] [CrossRef]




| Experimental Variable | Virtual Arm | Threat Contact | |||
|---|---|---|---|---|---|
| Normal Virtual Arm (1) | Distorted Virtual Arm (2) | Reddened-Distorted Virtual Arm (3) | Real Contact (1) | Simulated Contact (2) | |
| Mean | 8.13 | 10.43 | 4.49 | 9.27 | 6.17 |
| SE | 13.20 | 12.63 | 9.25 | 13.60 | 10.09 |
| p-value | 0.014 | <0.001 | <0.001 | ||
| Conditions | 3 vs. 1 | 3 vs. 2 | 2 vs. 1 | ||
| Experimental Variable | Virtual Arm | Threat Contact | |||
|---|---|---|---|---|---|
| Normal Virtual Arm (1) | Distorted Virtual Arm (2) | Reddened-Distorted Virtual Arm (3) | Real Contact (1) | Simulated Contact (2) | |
| Mean | 1.89 | 1.03 | 1.05 | 1.42 | 1.38 |
| SE | 1.13 | 1.49 | 1.50 | 1.23 | 1.49 |
| p-value | <0.001 | <0.001 | 0.021 | ||
| Condition | 2 vs. 1 | 3 vs. 1 | 2 vs. 1 | ||
© 2020 by the authors. Licensee MDPI, Basel, Switzerland. This article is an open access article distributed under the terms and conditions of the Creative Commons Attribution (CC BY) license (http://creativecommons.org/licenses/by/4.0/).
Share and Cite
Matamala-Gomez, M.; Nierula, B.; Donegan, T.; Slater, M.; Sanchez-Vives, M.V. Manipulating the Perceived Shape and Color of a Virtual Limb Can Modulate Pain Responses. J. Clin. Med. 2020, 9, 291. https://doi.org/10.3390/jcm9020291
Matamala-Gomez M, Nierula B, Donegan T, Slater M, Sanchez-Vives MV. Manipulating the Perceived Shape and Color of a Virtual Limb Can Modulate Pain Responses. Journal of Clinical Medicine. 2020; 9(2):291. https://doi.org/10.3390/jcm9020291
Chicago/Turabian StyleMatamala-Gomez, Marta, Birgit Nierula, Tony Donegan, Mel Slater, and Maria V. Sanchez-Vives. 2020. "Manipulating the Perceived Shape and Color of a Virtual Limb Can Modulate Pain Responses" Journal of Clinical Medicine 9, no. 2: 291. https://doi.org/10.3390/jcm9020291
APA StyleMatamala-Gomez, M., Nierula, B., Donegan, T., Slater, M., & Sanchez-Vives, M. V. (2020). Manipulating the Perceived Shape and Color of a Virtual Limb Can Modulate Pain Responses. Journal of Clinical Medicine, 9(2), 291. https://doi.org/10.3390/jcm9020291

