Utility of Blood Parameters to Detect Complications during Long-Term Follow-Up in Patients with Diabetic Foot Osteomyelitis
Abstract
1. Introduction
2. Materials and Methods
- Baseline visit;
- Visit 1: after healing;
- Visit 2: 1-month follow-up;
- Visit 3: 6-month follow-up;
- Visit 4: 12-month follow-up.
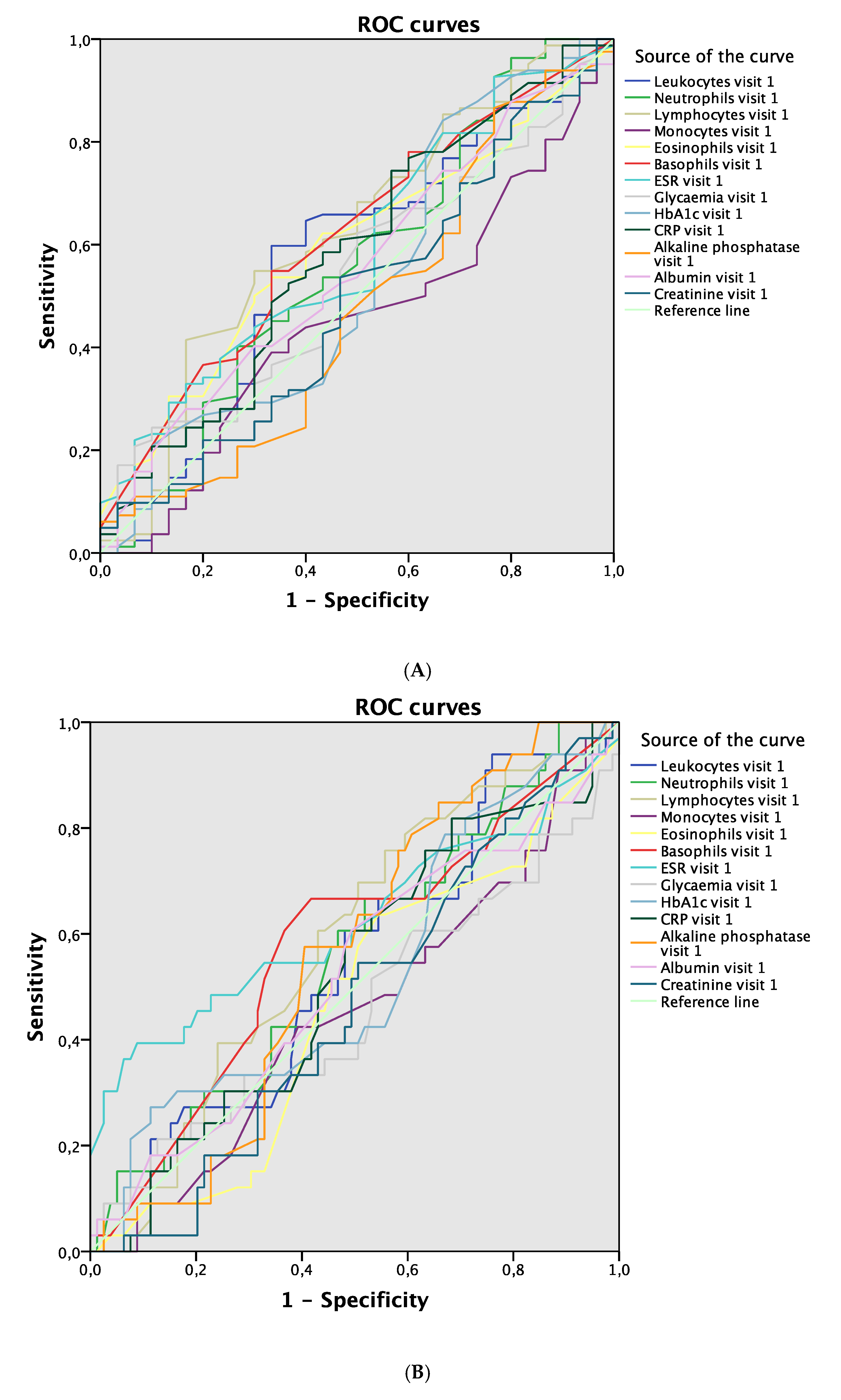
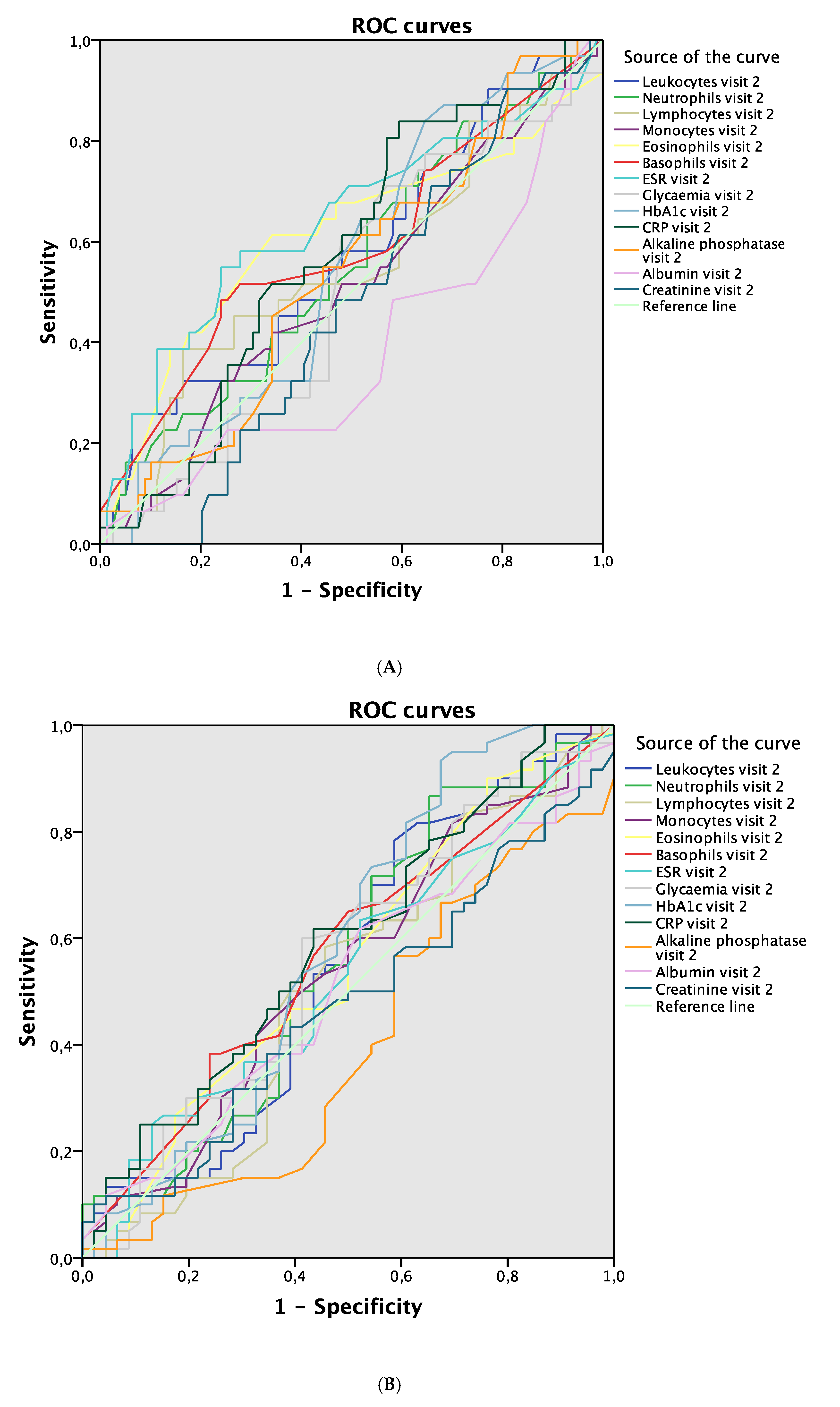
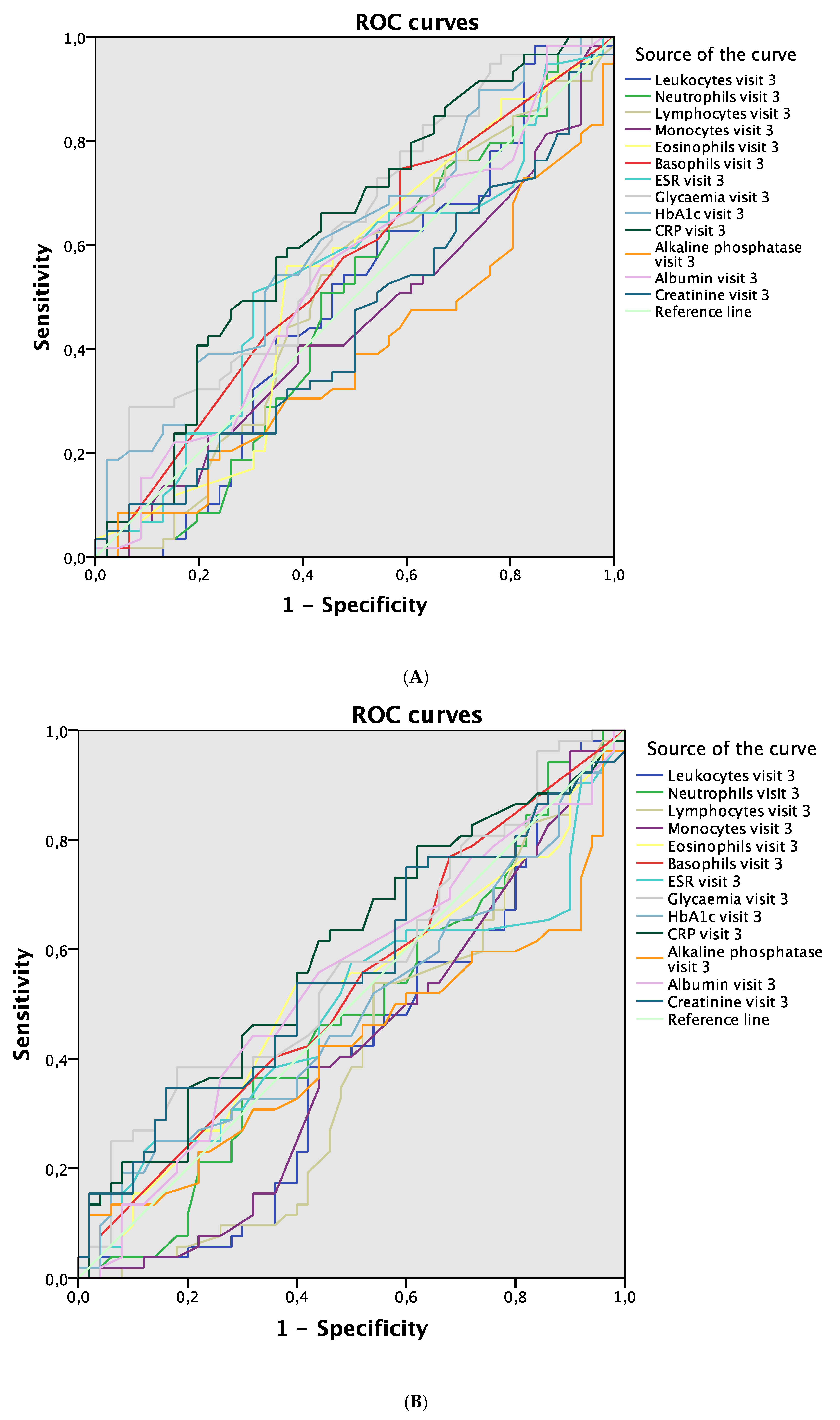
3. Results
4. Discussion
Author Contributions
Funding
Acknowledgments
Conflicts of Interest
References
- Lazaro-Martinez, J.L.; Tardaguila-Garcia, A.; Garcia-Klepzig, J.L. Diagnostic and therapeutic update on diabetic foot osteomyelitis. Endocrinol. Diabetes Nutr. 2017, 64, 100–108. [Google Scholar] [CrossRef]
- Lazaro Martinez, J.L.; Garcia Alvarez, Y.; Tardaguila-Garcia, A.; Garcia Morales, E. Optimal management of diabetic foot osteomyelitis: Challenges and solutions. Diabetes Metab. Syndr. Obes. 2019, 12, 947–959. [Google Scholar] [CrossRef]
- Lipsky, B.A. Bone of contention: Diagnosing diabetic foot osteomyelitis. Clin. Infect. Dis. 2008, 47, 528–530. [Google Scholar] [CrossRef] [PubMed]
- Schofield, C.J.; Libby, G.; Brennan, G.M.; MacAlpine, R.R.; Morris, A.D.; Leese, G.P. Mortality and hospitalization in patients after amputation: A comparison between patients with and without diabetes. Diabetes Care 2006, 29, 2252–2256. [Google Scholar] [CrossRef] [PubMed]
- Lipsky, B.A.; Senneville, É.; Abbas, Z.G.; Aragón-Sánchez, J.; Diggle, M.; Embil, J.M.; Kono, S.; Lavery, L.A.; Malone, M.; van Asten, S.A.; et al. Guidelines on the diagnosis and treatment of foot infection in persons with diabetes (IWGDF 2019 update). Diabetes Metab. Res. Rev. 2020, 36, e3280. [Google Scholar] [CrossRef] [PubMed]
- Malabu, U.H.; Al-Rubeaan, K.A.; Al-Derewish, M. Diabetic foot osteomyelitis: Usefulness of erythrocyte sedimentation rate in its diagnosis. West. Afr. J. Med. 2007, 26, 113–116. [Google Scholar]
- Ertugrul, B.M.; Savk, O.; Ozturk, B.; Cobanoglu, M.; Oncu, S.; Sakarya, S. The diagnosis of diabetic foot osteomyelitis: Examination findings and laboratory values. Med. Sci. Monit. 2009, 15, CR307–CR312. [Google Scholar]
- Victoria van Asten, S.A.; Geradus Peters, E.J.; Xi, Y.; Lavery, L.A. The Role of Biomarkers to Diagnose Diabetic Foot Osteomyelitis. A Meta-analysis. Curr. Diabetes Rev. 2016, 12, 396–402. [Google Scholar] [CrossRef]
- Markanday, A. Diagnosing diabetic foot osteomyelitis: Narrative review and a suggested 2-step score-based diagnostic pathway for clinicians. Open Forum Infect. Dis. 2014, 1, ofu060. [Google Scholar] [CrossRef]
- Van Asten, S.A.; Nichols, A.; La Fontaine, J.; Bhavan, K.; Peters, E.J.; Lavery, L.A. The value of inflammatory markers to diagnose and monitor diabetic foot osteomyelitis. Int. Wound J. 2017, 14, 40–45. [Google Scholar] [CrossRef]
- Van Asten, S.A.; Jupiter, D.C.; Mithani, M.; La Fontaine, J.; Davis, K.E.; Lavery, L.A. Erythrocyte sedimentation rate and C-reactive protein to monitor treatment outcomes in diabetic foot osteomyelitis. Int. Wound J. 2017, 14, 142–148. [Google Scholar] [CrossRef] [PubMed]
- Lazaro-Martinez, J.L.; Aragon-Sanchez, J.; Garcia-Morales, E. Antibiotics versus conservative surgery for treating diabetic foot osteomyelitis: A randomized comparative trial. Diabetes Care 2014, 37, 789–795. [Google Scholar] [CrossRef] [PubMed]
- Tardaguila-Garcia, A.; Garcia-Alvarez, Y.; Sanz-Corbalan, I.; Alvaro-Afonso, F.J.; Molines-Barroso, R.J.; Lazaro-Martinez, J.L. Role of inflammatory markers in the healing time of diabetic foot osteomyelitis treated by surgery or antibiotics. J. Wound Care 2020, 29, 5–10. [Google Scholar] [CrossRef] [PubMed]
- Aragon-Sanchez, J.; Lipsky, B.A.; Lazaro-Martinez, J.L. Diagnosing diabetic foot osteomyelitis: Is the combination of probe-to-bone test and plain radiography sufficient for high-risk inpatients? Diabet Med. 2011, 28, 191–194. [Google Scholar] [CrossRef]
- Papanas, N.; Ziegler, D. New diagnostic tests for diabetic distal symmetric polyneuropathy. J. Diabetes Complicat. 2011, 25, 44–51. [Google Scholar] [CrossRef]
- Kalani, M.; Brismar, K.; Fagrell, B.; Ostergren, J.; Jorneskog, G. Transcutaneous oxygen tension and toe blood pressure as predictors for outcome of diabetic foot ulcers. Diabetes Care. 1999, 22, 147–151. [Google Scholar] [CrossRef]
- Norgren, L.; Hiatt, W.R.; Dormandy, J.A.; Nehler, M.R.; Harris, K.A.; Fowkes, F.G.R. Inter-Society Consensus for the Management of Peripheral Arterial Disease (TASC II). J. Vasc. Surg. 2007, 45, S5–S67. [Google Scholar] [CrossRef]
- Hinchliffe, R.J.; Forsythe, R.O.; Apelqvist, J.; Boyko, E.J.; Fitridge, R.; Hong, J.P.; Katsanos, K.; Mills, J.L.; Nikol, S.; Reekers, J.; et al. Guidelines on diagnosis, prognosis, and management of peripheral artery disease in patients with foot ulcers and diabetes (IWGDF 2019 update). Diabetes Metab. Res. Rev. 2020, 36 (Suppl. 1), e3276. [Google Scholar] [CrossRef]
- Hinchliffe, R.J.; Forsythe, R.O.; Apelqvist, J.; Boyko, E.J.; Fitridge, R.; Hong, J.P.; Katsanos, K.; Mills, J.L.; Nikol, S.; Reekers, J.; et al. Definitions and criteria for diabetic foot disease. Diabetes Metab. Res. Rev. 2020, 36 (Suppl. 1), e3268. [Google Scholar]
- Bus, S.A.; Lavery, L.A.; Monteiro-Soares, M.; Rasmussen, A.; Raspovic, A.; Sacco, I.C.N.; Van Netten, J.J.; on behalf of the International Working Group on the Diabetic Foot (IWGDF). Guidelines on the prevention of foot ulcers in persons with diabetes (IWGDF 2019 update). Diabetes Metab. Res. Rev. 2020, 36 (Suppl. 1), e3269. [Google Scholar] [CrossRef]
- World Medical, A. World Medical Association Declaration of Helsinki: Ethical principles for medical research involving human subjects. JAMA 2013, 310, 2191–2194. [Google Scholar]
- Xu, J.; Cheng, F.; Li, Y.; Zhang, J.; Feng, S.; Wang, P. Erythrocyte Sedimentation Rate Combined With the Probe-to-Bone Test for Fast and Early Diagnosis of Diabetic Foot Osteomyelitis. Int. J. Low Extrem. Wounds 2020, 1534734620923278. [Google Scholar] [CrossRef] [PubMed]
- Lavery, L.A.; Ahn, J.; Ryan, E.C.; Bhavan, K.; Oz, O.K.; La Fontaine, J.; Wukich, D.K. What are the Optimal Cutoff Values for ESR and CRP to Diagnose Osteomyelitis in Patients with Diabetes-related Foot Infections? Clin. Orthop Relat. Res. 2019, 477, 1594–1602. [Google Scholar] [CrossRef] [PubMed]
- Lipsky, B.A.; Berendt, A.R.; Cornia, P.B.; Pile, J.C.; Peters, E.J.; Armstrong, D.G.; Deery, H.G.; Embil, J.M.; Joseph, W.S.; Karchmer, A.W.; et al. 2012 Infectious Diseases Society of America clinical practice guideline for the diagnosis and treatment of diabetic foot infections. Clin. Infect. Dis. 2012, 54, e132–e173. [Google Scholar] [CrossRef]
- Ramanujam, C.L.; Han, D.; Zgonis, T. Medical Imaging and Laboratory Analysis of Diagnostic Accuracy in 107 Consecutive Hospitalized Patients With Diabetic Foot Osteomyelitis and Partial Foot Amputations. Foot Ankle Spec. 2018, 11, 433–443. [Google Scholar] [CrossRef]







| Variable | n (%) | ||
| Gender | Male: 96 (82.8) | Female: 20 (17.2) | |
| Type of DM | Type 1: 12 (10.3) | Type 2: 104 (89.7) | |
| PAD | 48 (41.4) | ||
| Neuropathy | 116 (100.0) | ||
| Location of the ulcer | Forefoot: 107 (92.2) | Midfoot: 5 (4.3) | Hindfoot: 4 (3.4) |
| Treatment for DFO | Surgical: 96 (82.8) | Medical: 20 (17.2) | |
| Deformities | 90 (77.6) | ||
| Minor amputation | 14 (12.1) | ||
| Bone resection/removal | 82 (70.7) | ||
| Variable | Mean ± SD | ||
| Age (years) | 62.9 ± 10.1 | ||
| DM duration (years) | 17.5 ± 12.3 | ||
| HbA1c (mmol/L) | 10.3 ± 6.7 | ||
| Body mass index (Kg/cm2) | 28.3 ± 5.5 | ||
| Duration from ulcer (weeks) | 15.7 ± 32.1 | ||
| Time until healing (weeks) | 15.8 ± 9.7 | ||
| Blood Parameter | Visit 1 Mean ± SD | Visit 2 Mean ± SD | Visit 3 Mean ± SD | Visit 4 Mean ± SD |
|---|---|---|---|---|
| Leukocytes (×109/L) | 8.2 ± 2.4 | 8.5 ± 2.5 | 8.3 ± 2.3 | 8.4 ± 2.3 |
| Neutrophils (×109/L) | 4.9 ± 2.1 | 5.3 ± 2.1 | 4.9 ± 1.7 | 5.1 ± 1.6 |
| Lymphocytes (×109/L) | 2.8 ± 5.6 | 2.2 ± 0.9 | 2.3 ± 1.0 | 2.2 ± 1.0 |
| Monocytes (×109/L) | 0.8 ± 1.3 | 0.7 ± 0.9 | 0.7 ± 0.5 | 0.9 ± 1.3 |
| Eosinophils (×109/L) | 0.5 ± 2.5 | 0.3 ± 0.2 | 0.3 ± 0.2 | 0.3 ± 0.2 |
| Basophils (×109/L) | 0.1 ± 0.2 | 0.05 ± 0.04 | 0.06 ± 0.05 | 0.05 ± 0.05 |
| ESR (mm/h) | 21.7 ± 19.4 | 21.5 ± 18.6 | 18.9 ± 21.3 | 20.1 ± 18.8 |
| Glycemia (mmol/L) | 7.9 ± 3.4 | 8.2 ± 4.1 | 8.5 ± 3.3 | 8.0 ± 3.8 |
| HbA1c (mmol/L) | 10.0 ± 7.7 | 10.3 ± 9.5 | 9.2 ± 0.5 | 9.2 ± 0.5 |
| CRP (nmol/L) | 580.9 ± 952.4 | 819.0 ± 1971.4 | 828.6 ± 1733.4 | 771.4 ± 2000 |
| Alkaline phosphatase (UI/L) | 93.7 ± 31.4 | 90.2 ± 26.8 | 90.4 ± 26.5 | 84.0 ± 23.1 |
| Albumin (g/L) | 41 ± 5 | 41 ± 5 | 41 ± 4 | 49 ± 82 |
| Creatinine (mg/dl) | 1.6 ± 1.6 | 1.6 ± 1.5 | 1.7 ± 1.7 | 1.4 ± 1.1 |
| Elevated Blood Parameter | Visit 1 n (%) | Visit 2 n (%) | Visit 3 n (%) | Visit 4 n (%) |
|---|---|---|---|---|
| Leukocytes | 8 (6.9) | 18 (15.5) | 12 (10.3) | 12 (10.3) |
| Neutrophils | 9 (7.8) | 13 (11.2) | 7 (6.0) | 7 (6.0) |
| Lymphocytes | 6 (5.2) | 5 (4.3) | 3 (2.6) | 3 (2.6) |
| Monocytes | 6 (5.2) | 8 (6.9) | 8 (6.9) | 7 (6.0) |
| Eosinophils | 9 (7.8) | 5 (4.3) | 4 (3.4) | 4 (3.4) |
| Basophils | None | None | None | None |
| ESR | 38 (32.8) | 40 (34.5) | 29 (25.0) | 33 (28.4) |
| Glycemia | 75 (64.7) | 73 (62.9) | 83 (71.6) | 72 (62.1) |
| HbA1c | 96 (82.8) | 94 (81.0) | 90 (77.6) | 86 (74.1) |
| CRP | 33 (28.4) | 39 (33.6) | 36 (31.0) | 28 (24.1) |
| Alkaline phosphatase | 8 (6.9) | 7 (6.0) | 11 (9.5) | 5 (4.3) |
| Albumin | 3 (2.6) | 2 (1.7) | 5 (4.3) | 2 (1.7) |
| Creatinine | 1 (0.9) | 42 (36.2) | 53 (30.2) | 33 (28.4) |
Publisher’s Note: MDPI stays neutral with regard to jurisdictional claims in published maps and institutional affiliations. |
© 2020 by the authors. Licensee MDPI, Basel, Switzerland. This article is an open access article distributed under the terms and conditions of the Creative Commons Attribution (CC BY) license (http://creativecommons.org/licenses/by/4.0/).
Share and Cite
Tardáguila-García, A.; García Álvarez, Y.; García-Morales, E.; Álvaro-Afonso, F.J.; Sanz-Corbalán, I.; Lázaro-Martínez, J.L. Utility of Blood Parameters to Detect Complications during Long-Term Follow-Up in Patients with Diabetic Foot Osteomyelitis. J. Clin. Med. 2020, 9, 3768. https://doi.org/10.3390/jcm9113768
Tardáguila-García A, García Álvarez Y, García-Morales E, Álvaro-Afonso FJ, Sanz-Corbalán I, Lázaro-Martínez JL. Utility of Blood Parameters to Detect Complications during Long-Term Follow-Up in Patients with Diabetic Foot Osteomyelitis. Journal of Clinical Medicine. 2020; 9(11):3768. https://doi.org/10.3390/jcm9113768
Chicago/Turabian StyleTardáguila-García, Aroa, Yolanda García Álvarez, Esther García-Morales, Francisco Javier Álvaro-Afonso, Irene Sanz-Corbalán, and José Luis Lázaro-Martínez. 2020. "Utility of Blood Parameters to Detect Complications during Long-Term Follow-Up in Patients with Diabetic Foot Osteomyelitis" Journal of Clinical Medicine 9, no. 11: 3768. https://doi.org/10.3390/jcm9113768
APA StyleTardáguila-García, A., García Álvarez, Y., García-Morales, E., Álvaro-Afonso, F. J., Sanz-Corbalán, I., & Lázaro-Martínez, J. L. (2020). Utility of Blood Parameters to Detect Complications during Long-Term Follow-Up in Patients with Diabetic Foot Osteomyelitis. Journal of Clinical Medicine, 9(11), 3768. https://doi.org/10.3390/jcm9113768

