Pre-Liver Transplant ROTEM™ Clot Lysis Index Is Associated with 30-Day Mortality, But Is Not a Measure for Fibrinolysis
Abstract
1. Introduction
2. Materials and Methods
2.1. Patient Data
2.2. Procedures
2.3. Statistics
3. Results
3.1. Patients’ Characteristics, Baseline Clinical Data and Outcome
3.2. Pre-Liver Transplant Hemostasis Variables in Survivors and Non-Survivors
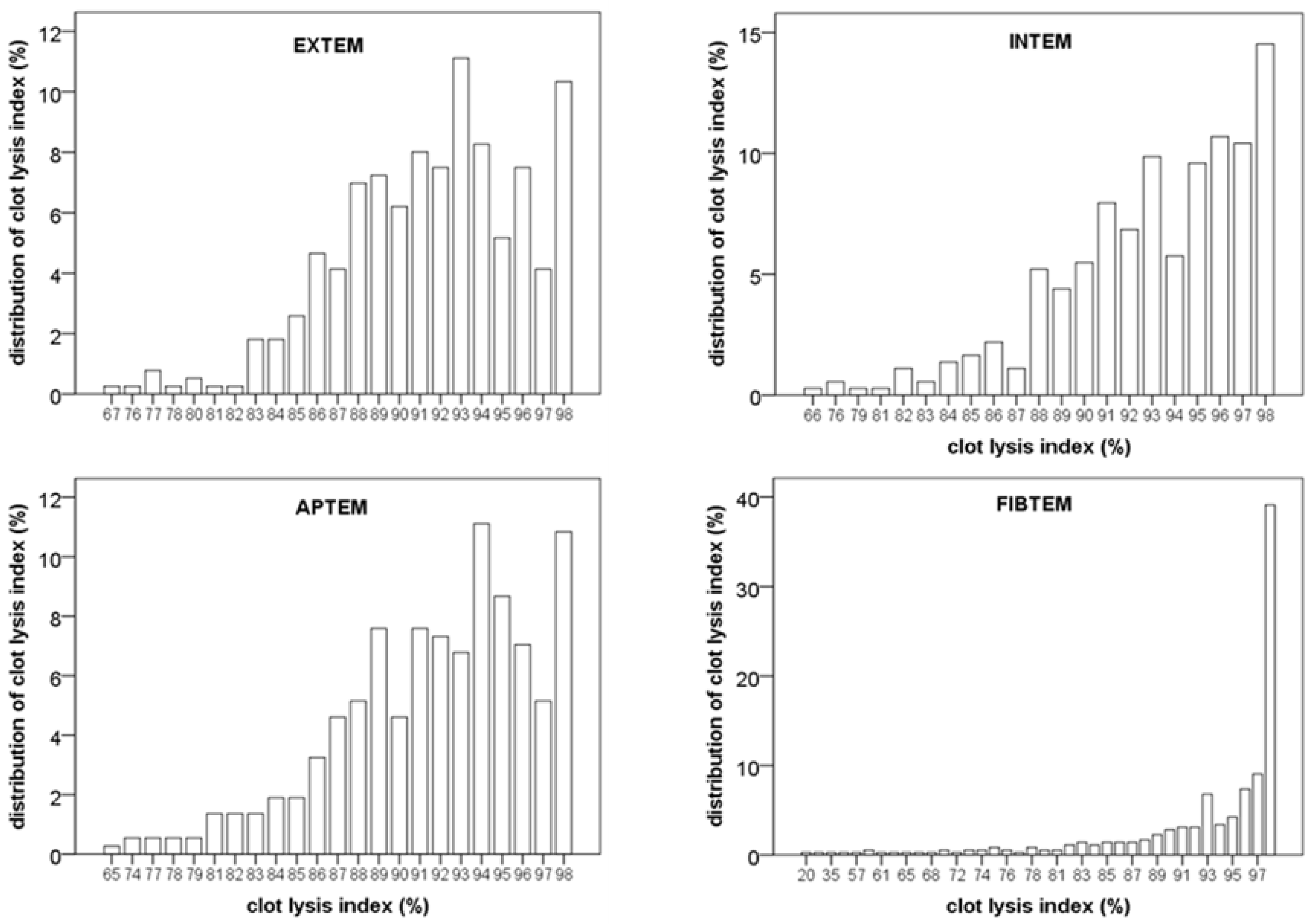
3.3. Pre-Transplant Distribution of CLI
3.4. Association of Pre-Transplant CLI and Mortality
3.5. Kaplan-Meier-Curves Dependent on Pre-Transplant CLI Categories
3.6. Comparison of CLI and MELD as Predictors of Mortality
3.7. Association of The Pre-Transplant CLI and Intraoperative Bleeding
3.8. Comparison of CLI in Absence and Presence of Aprotinin
4. Discussion
Use of Rotational Thrombelastometry in LTX
5. Conclusions
Author Contributions
Funding
Acknowledgments
Conflicts of Interest
References
- Starzl, T.E. The long reach of liver transplantation. Nat. Med. 2012, 18, 1489–1492. [Google Scholar] [CrossRef] [PubMed][Green Version]
- Hartmann, M.; Szalai, C.; Saner, F.H. Hemostasis in liver transplantation: Pathophysiology, monitoring, and treatment. World J. Gastroenterol. 2016, 22, 1541–1550. [Google Scholar] [CrossRef] [PubMed]
- Wada, H.; Usui, M.; Sakuragawa, N. Hemostatic abnormalities and liver diseases. Semin. Thromb. Hemost. 2008, 34, 772–778. [Google Scholar] [CrossRef] [PubMed][Green Version]
- Lisman, T.; Porte, R.J. Rebalanced hemostasis in patients with liver disease: Evidence and clinical consequences. Blood 2010, 116, 878–885. [Google Scholar] [CrossRef] [PubMed]
- Mende, K.; Reifart, J.; Rosentreter, D.; Manukyan, D.; Mayr, D.; Krombach, F.; Rentsch, M.; Khandoga, A. Targeting platelet migration in the postischemic liver by blocking protease-activated receptor 4. Transplantation 2014, 97, 154–160. [Google Scholar] [CrossRef] [PubMed]
- Nakanuma, S.; Miyashita, T.; Hayashi, H.; Tajima, H.; Takamura, H.; Tsukada, T.; Okamoto, K.; Sakai, S.; Makino, I.; Kinoshita, J.; et al. Extravasated platelet aggregation in liver zone 3 may correlate with the progression of sinusoidal obstruction syndrome following living donor liver transplantation: A case report. Exp. Ther. Med. 2015, 9, 1119–1124. [Google Scholar] [CrossRef] [PubMed][Green Version]
- Rodriguez-Roisin, R.; Krowka, M.J.; Herve, P.; Fallon, M.B. Pulmonary-Hepatic vascular Disorders (PHD). Eur. Respir. J. 2004, 24, 861–880. [Google Scholar] [CrossRef] [PubMed]
- Hartmann, M.; Walde, C.; Dirkmann, D.; Saner, F.H. Safety of coagulation factor concentrates guided by ROTEM-analyses in liver transplantation: Results from 372 procedures. BMC Anesth. 2019, 19, 97. [Google Scholar] [CrossRef] [PubMed]
- Bezinover, D.; Dirkmann, D.; Findlay, J.; Guta, C.; Hartmann, M.; Nicolau-Raducu, R.; Mukhtar, A.M.; Moguilevitch, M.; Pivalizza, E.; Rosenfeld, D.; et al. Perioperative Coagulation Management in Liver Transplant Recipients. Transplantation 2018, 102, 578–592. [Google Scholar] [CrossRef] [PubMed]
- Saner, F.H.; Kirchner, C. Monitoring and Treatment of Coagulation Disorders in End-Stage Liver Disease. Visc. Med. 2016, 32, 241–248. [Google Scholar] [CrossRef] [PubMed]
- Raveh, Y.; Souki, F.; Livingstone, J.; Beduschi, T.; Vianna, R.; Rodriguez, Y.; Nicolau-Raducu, R. Fibrinolytic Shutdown Is Associated with Intraoperative Thrombosis and Hemorrhage During Visceral Transplant. Semin. Cardiothorac. Vasc. Anesth. 2019, 23, 300–308. [Google Scholar] [CrossRef] [PubMed]
- Nicolau-Raducu, R.; Beduschi, T.; Vianna, R.; Diez, C.; Sleem, M.; Singh, B.P.; Vasileiou, G.; Raveh, Y. Fibrinolysis Shutdown Is Associated with Thrombotic and Hemorrhagic Complications and Poorer Outcomes After Liver Transplantation. Liver Transplant. 2019, 25, 380–387. [Google Scholar] [CrossRef]
- Katori, N.; Tanaka, K.A.; Szlam, F.; Levy, J.H. The effects of platelet count on clot retraction and tissue plasminogen activator-induced fibrinolysis on thrombelastography. Anesth. Analg. 2005, 100, 1781–1785. [Google Scholar] [CrossRef] [PubMed]
- Tutwiler, V.; Litvinov, R.I.; Lozhkin, A.P.; Peshkova, A.D.; Lebedeva, T.; Ataullakhanov, F.I.; Spiller, K.L.; Cines, D.B.; Weisel, J.W. Kinetics and mechanics of clot contraction are governed by the molecular and cellular composition of the blood. Blood 2016, 127, 149–159. [Google Scholar] [CrossRef] [PubMed]
- Badenoch, A.; Sharma, A.; Gower, S.; Selzner, M.; Srinivas, C.; Wasowicz, M.; McCluskey, S.A. The Effectiveness and Safety of Tranexamic Acid in Orthotopic Liver Transplantation Clinical Practice: A Propensity Score Matched Cohort Study. Transplantation 2017, 101, 1658–1665. [Google Scholar] [CrossRef] [PubMed]
Publisher’s Note: MDPI stays neutral with regard to jurisdictional claims in published maps and institutional affiliations. |





| All Patients | Survivors | Non-Survivors | |
|---|---|---|---|
| Patients | 387 | 321 | 66 |
| Age (years) | 51.2 (0.4; 74.1) | 51.0 (0.4; 69.1) | 54 (0.4; 74.1) (n.s.) |
| Sex (m/f) | 199/188 | 168/153 | 31/35 (n.s.) |
| MELD | 22(6; 40) | 22 (6; 40) | 28 (7; 40) (p = 0.011) |
| Warm ischemia time (min) | 34 (29; 40) | 34 (29; 40) | 33 (28; 42) (n.s.) |
| Cold ischemia time (min) | 420 (343; 501) | 418 (343; 494) | 466 (342; 520) (n.s.) |
| ICU stay (days) | 3.5 (2.1; 7.2) | 3.5 (2.0; 7.2) | 3.9 (2.4; 8.8) |
| Ventilation time (hours) | 36 (14; 110) | 30 (13; 85) | 96 (30; 317) |
| Hospital stay (days) | 24 (16; 45) | 30 (13; 85) | 11 (4; 27) |
| Early allograft dysfunction (%) | 39 | 35 | 61 |
| Post-op dialysis (%) | 44 | 55 | 16 |
| RBC (units) | 3 (0; 6) | 3 (0; 6) | 6 (2; 10) |
| Fibrinogen (g) | 0 (0; 4) | 2 (0; 4) | 3 (0; 8) (p = 0.02) |
| PCC (units) | 0 (0; 1000) | 0 (0; 0) | 0 (0; 2000) (p = 0.001) |
| Platelets (units) | 0 (0; 1) | 0 (0; 1) | 1 (0; 2) (p = 0.01) |
| Aetiology (cases) | |||
| Alcohol | 75 | 63 | 12 |
| HCC | 67 | 60 | 7 |
| Hepatitis | 51 | 48 | 3 |
| Cholestatic | 37 | 32 | 5 |
| Inherited | 34 | 26 | 8 |
| Retransplant | 31 | 17 | 14 |
| NASH | 19 | 16 | 3 |
| Autoimmune | 12 | 10 | 2 |
| Toxic | 11 | 8 | 3 |
| Unknown | 8 | 5 | 3 |
| Other | 42 | 36 | 6 |
| Conventional Laboratory Findings | ||||
| All Patients | Survivors | Non-Survivors | p Value | |
| INR | 1.51 (1.29; 1.94) | 1.51 (1.29; 1.93) | 1.52 (1.27; 2.14) | 0.519 |
| PTT (s) | 47.6 (40.5; 61.4) | 47.1 (39.9; 60.6) | 54.05 (41.8; 64.5) | 0.144 |
| Fibrinogen (mg/dL) mg/dL (mg/dL) | 167.2 (123.1; 253.4) | 167.1 (11.9; 247.0) | 175.0 (123.6; 265.6) | 0.641 |
| Antithrombin (%) | 44.2 (29.0; 64.2) | 43.7 (29.0; 66.8) | 49.3 (29.0; 63.4) | 0.961 |
| Platelets (1/nL) | 85.5 (56.0; 140.8) | 85.0 (56.5; 140.5) | 93.0 (54.0; 158.0) | 0.948 |
| ROTEM™ Findings | ||||
| All Patients | Survivors | Non-Survivors | p Value | |
| CT-EXTEM (s) | 63.0 (48.0; 91.0) | 64.0 (48.0; 92.5) | 59.0 (49.5; 84.0) | 0.526 |
| CFT-EXTEM (s) | 122.0 (81.0; 198.0) | 122.0 (83.5; 198.5) | 119.0 (79.0; 199.5) | 0.742 |
| MCF-EXTEM (mm) | 51.0 (43.0; 61.0) | 50.0 (43.0; 61.0) | 52.5 (44.0; 63.3) | 0.272 |
| Alpha-EXTEM (0) | 68.0 (57.0; 74.0) | 68.0 (57.3; 74.0) | 69.5 (56.0; 75.0) | 0.716 |
| CLI-EXTEM (%) | 92.0 (89.0; 95.0) | 92.0 (88.0; 94.0) | 94.0 (90.0; 96.0) | 0.003 |
| CT-INTEM (s) | 190.0 (164.5; 232.0) | 192.0 (164.8; 234.0) | 187.0 (164.0; 220.0) | 0.708 |
| CFT-INTEM (s) | 113.0 (871.5; 196.5) | 114.0 (73.0; 196.3) | 108.0 (67.0; 202.0) | 0.734 |
| MCF-INTEM (mm) | 51.0 (42.5; 60.0) | 50.0 (42.0; 60.0) | 54.0 (44.0; 63.0) | 0.119) |
| Alpha-INTEM (0) | 71.0 (61.0; 77.0) | 71.0 (61.0; 77.0) | 70.0 (60.0; 78.0) | 0.869 |
| CLI-INTEM (%) | 94.0 (91.0; 96.5) | 93.0 (90.0; 96.0) | 96.0 (93.0; 98.0) | 0.0001 |
| CT-APTEM (s) | 78.0 (57.0; 106.5) | 76.0 (57.0; 107.0) | 82.0 (59.0; 100.0) | 0.908 |
| CFT-APTEM (s) | 133.0 (94.0; 212.5) | 134.5 (96.3; 214.0) | 131.0 (87.5; 195.5) | 0.308 |
| MCF-APTEM (mm) | 51.0 (43.0; 60.5) | 51.0 (43.0; 59.0) | 55.0 (46.0; 64.0) | 0.053 |
| Alpha-APTEM (0) | 65.0 (56.0; 72.0) | 65.0 (56.0; 72.0) | 68.5 (57.5; 73.0) | 0.156 |
| CLI-APTEM (%) | 92.0 (89.0; 95.0) | 92.0 (88.0; 95.0) | 94.0 (90.0; 97.0) | 0.003 |
| CT-FIBTEM (s) | 65.0 (48.0; 89.0) | 65.0 (48.0; 89.0) | 64.5 (48.5; 87.5) | 0.834 |
| CFT-FIBTEM (s) | - no calculation of the variable in more than 50% of the cases - | |||
| MCF-FIBTEM (mm) | 18.0 (11.0; 26.0) | 18.0 (11.0; 26.0) | 18.5 (12.0; 28.8) | 0.482 |
| Alpha-FIBTEM (0) | 64.0 (48.5; 73.0) | 63.0 (48.5; 73.0) | 69.0 (47.5; 72.8) | 0.807 |
| CLI-FIBTEM (%) | 96.0 (88.0; 98.0) | 96.0 (87.0; 98.0) | 96.0 (90.3; 98.0) | 0.507 |
© 2020 by the authors. Licensee MDPI, Basel, Switzerland. This article is an open access article distributed under the terms and conditions of the Creative Commons Attribution (CC BY) license (http://creativecommons.org/licenses/by/4.0/).
Share and Cite
Hartmann, M.; Craciun, B.; Paul, A.; Brenner, T.; Saner, F.H. Pre-Liver Transplant ROTEM™ Clot Lysis Index Is Associated with 30-Day Mortality, But Is Not a Measure for Fibrinolysis. J. Clin. Med. 2020, 9, 3298. https://doi.org/10.3390/jcm9103298
Hartmann M, Craciun B, Paul A, Brenner T, Saner FH. Pre-Liver Transplant ROTEM™ Clot Lysis Index Is Associated with 30-Day Mortality, But Is Not a Measure for Fibrinolysis. Journal of Clinical Medicine. 2020; 9(10):3298. https://doi.org/10.3390/jcm9103298
Chicago/Turabian StyleHartmann, Matthias, Bogdan Craciun, Andreas Paul, Thorsten Brenner, and Fuat H. Saner. 2020. "Pre-Liver Transplant ROTEM™ Clot Lysis Index Is Associated with 30-Day Mortality, But Is Not a Measure for Fibrinolysis" Journal of Clinical Medicine 9, no. 10: 3298. https://doi.org/10.3390/jcm9103298
APA StyleHartmann, M., Craciun, B., Paul, A., Brenner, T., & Saner, F. H. (2020). Pre-Liver Transplant ROTEM™ Clot Lysis Index Is Associated with 30-Day Mortality, But Is Not a Measure for Fibrinolysis. Journal of Clinical Medicine, 9(10), 3298. https://doi.org/10.3390/jcm9103298

