Predicting the Functional Outcome of Adult Patients with Status Epilepticus
Abstract
1. Introduction
2. Materials and Methods
2.1. Study Design
2.2. Definitions and Criteria
2.3. Statistical Analysis
3. Results
3.1. Patients Cohort
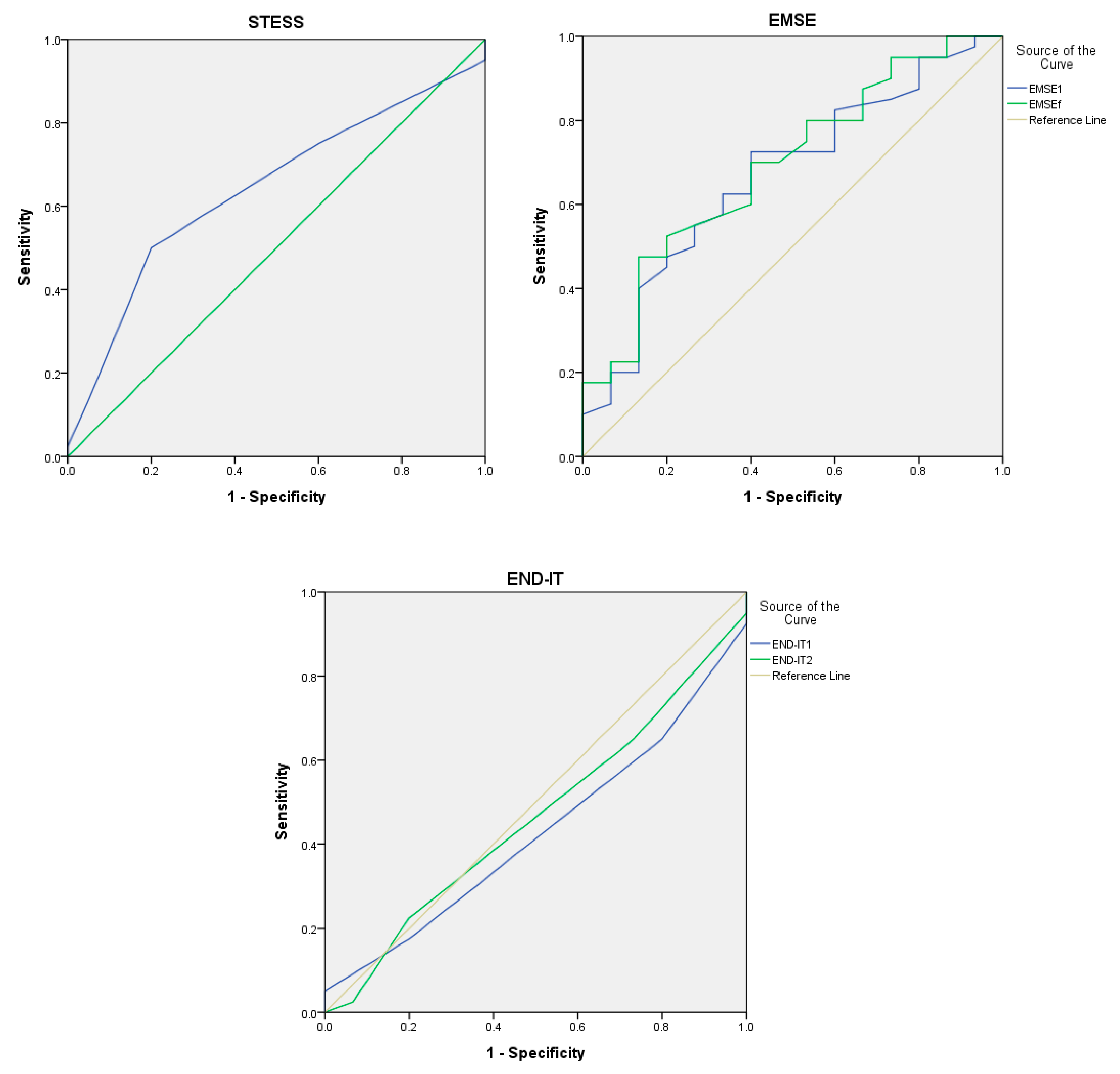
3.2. Comparisons of Different Outcome Prediction Scores at Discharge
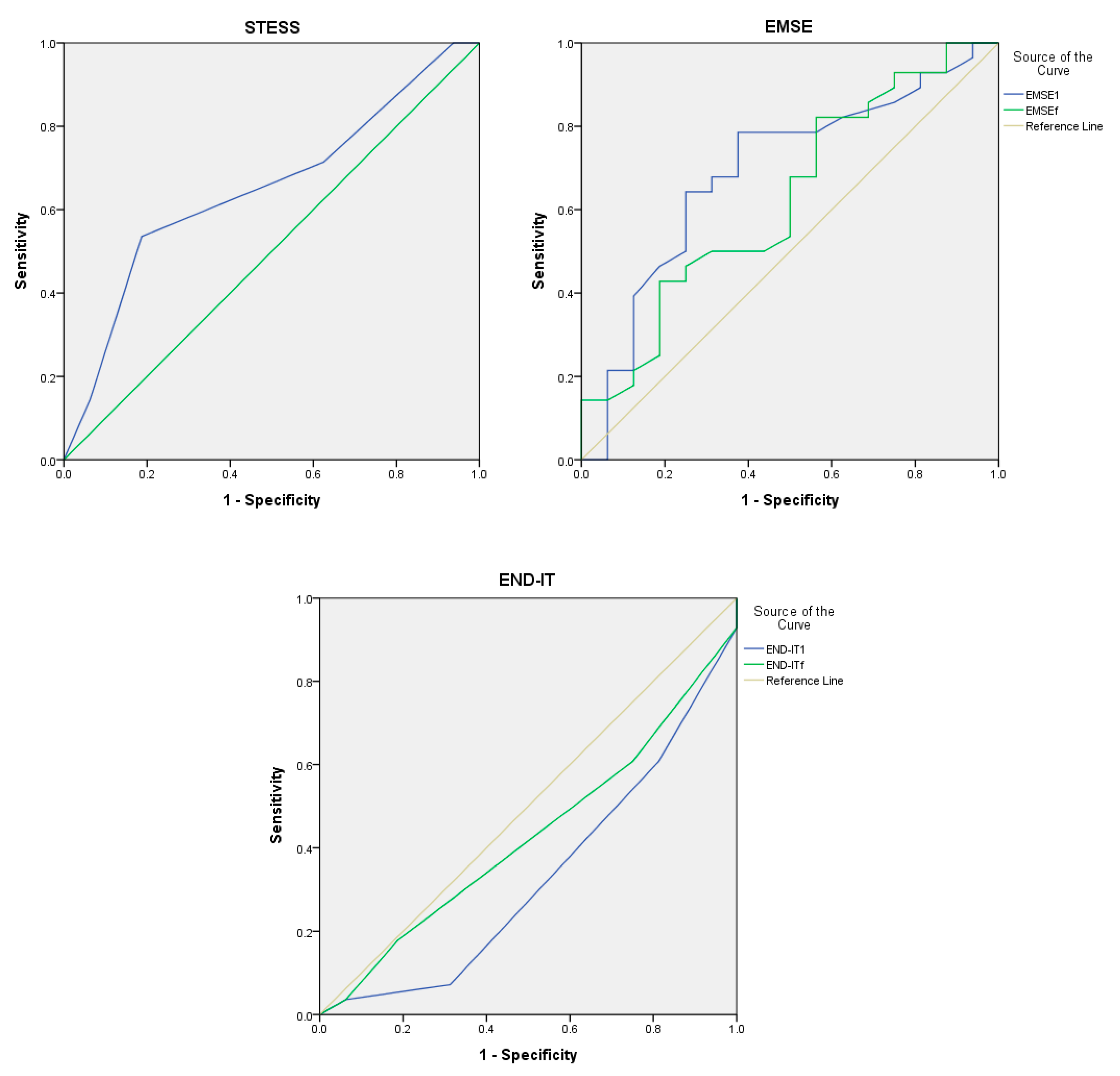
3.3. Comparison of Different Outcome Predictive Scores at Last Follow-up
4. Discussion
Author Contributions
Funding
Conflicts of Interest
References
- Neligan, A.; Shorvon, S.D. Frequency and prognosis of convulsive status epilepticus of different causes: A systematic review. Arch. Neurol. 2010, 67, 931–940. [Google Scholar] [CrossRef] [PubMed]
- Glauser, T.; Shinnar, S.; Gloss, D.; Alldredge, B.; Arya, R.; Bainbridge, J.; Bare, M.; Bleck, T.; Dodson, W.E.; Garrity, L.; et al. Evidence-based guideline: Treatment of convulsive status epilepticus in children and adults: Report of the guideline committee of the american epilepsy society. Epilepsy Curr. 2016, 16, 48–61. [Google Scholar] [CrossRef] [PubMed]
- Leitinger, M.; Kalss, G.; Rohracher, A.; Pilz, G.; Novak, H.; Hofler, J.; Deak, I.; Kuchukhidze, G.; Dobesberger, J.; Wakonig, A.; et al. Predicting outcome of status epilepticus. Epilepsy Behav. 2015, 49, 126–130. [Google Scholar] [CrossRef] [PubMed]
- Rossetti, A.O.; Logroscino, G.; Milligan, T.A.; Michaelides, C.; Ruffieux, C.; Bromfield, E.B. Status epilepticus severity score (STESS): A tool to orient early treatment strategy. J. Neurol. 2008, 255, 1561–1566. [Google Scholar] [CrossRef] [PubMed]
- Leitinger, M.; Holler, Y.; Kalss, G.; Rohracher, A.; Novak, H.F.; Hofler, J.; Dobesberger, J.; Kuchukhidze, G.; Trinka, E. Epidemiology-based mortality score in status epilepticus (EMSE). Neurocrit. Care 2015, 22, 273–282. [Google Scholar] [CrossRef] [PubMed]
- Gao, Q.; Ou-Yang, T.P.; Sun, X.L.; Yang, F.; Wu, C.; Kang, T.; Kang, X.G.; Jiang, W. Prediction of functional outcome in patients with convulsive status epilepticus: The END-IT score. Crit. Care 2016, 20, 46. [Google Scholar] [CrossRef] [PubMed]
- Reindl, C.; Knappe, R.U.; Sprugel, M.I.; Sembill, J.A.; Mueller, T.M.; Hamer, H.M.; Huttner, H.B.; Madzar, D. Comparison of scoring tools for the prediction of in-hospital mortality in status epilepticus. Seizure 2018, 56, 92–97. [Google Scholar] [CrossRef]
- Trinka, E.; Cock, H.; Hesdorffer, D.; Rossetti, A.O.; Scheffer, I.E.; Shinnar, S.; Shorvon, S.; Lowenstein, D.H. A definition and classification of status epilepticus—Report of the ILAE task force on classification of status epilepticus. Epilepsia 2015, 56, 1515–1523. [Google Scholar] [CrossRef]
- Ferlisi, M.; Shorvon, S. The outcome of therapies in refractory and super-refractory convulsive status epilepticus and recommendations for therapy. Brain 2012, 135, 2314–2328. [Google Scholar] [CrossRef]
- Hanley, J.A.; McNeil, B.J. The meaning and use of the area under a receiver operating characteristic (ROC) curve. Radiology 1982, 143, 29–36. [Google Scholar] [CrossRef]
- Helmstaedter, C. Cognitive outcome of status epilepticus in adults. Epilepsia 2007, 48 (Suppl. 8), 85–90. [Google Scholar] [CrossRef] [PubMed]
- Strzelczyk, A.; Ansorge, S.; Hapfelmeier, J.; Bonthapally, V.; Erder, M.H.; Rosenow, F. Costs, length of stay, and mortality of super-refractory status epilepticus: A population-based study from Germany. Epilepsia 2017, 58, 1533–1541. [Google Scholar] [CrossRef] [PubMed]
- Kang, B.S.; Kim, D.W.; Kim, K.K.; Moon, H.J.; Kim, Y.S.; Kim, H.K.; Lee, S.Y.; Koo, Y.S.; Shin, J.W.; Moon, J.; et al. Prediction of mortality and functional outcome from status epilepticus and independent external validation of STESS and EMSE scores. Crit. Care 2016, 20, 25. [Google Scholar] [CrossRef] [PubMed][Green Version]
- Giovannini, G.; Monti, G.; Tondelli, M.; Marudi, A.; Valzania, F.; Leitinger, M.; Trinka, E.; Meletti, S. Mortality, morbidity and refractoriness prediction in status epilepticus: Comparison of STESS and EMSE scores. Seizure 2017, 46, 31–37. [Google Scholar] [CrossRef] [PubMed]
- Broadley, J.; Seneviratne, U.; Beech, P.; Buzzard, K.; Butzkueven, H.; O’Brien, T.; Monif, M. Prognosticating autoimmune encephalitis: A systematic review. J. Autoimmun. 2019, 96, 24–34. [Google Scholar] [CrossRef] [PubMed]
- Schubert, J.; Bramer, D.; Huttner, H.B.; Gerner, S.T.; Fuhrer, H.; Melzer, N.; Dik, A.; Pruss, H.; Ly, L.T.; Fuchs, K.; et al. Management and prognostic markers in patients with autoimmune encephalitis requiring ICU treatment. Neurol. Neuroimmunol. Neuroinflamm. 2019, 6, e514. [Google Scholar] [CrossRef] [PubMed]
- Venkatesan, A. Epidemiology and outcomes of acute encephalitis. Curr. Opin. Neurol. 2015, 28, 277–282. [Google Scholar] [CrossRef] [PubMed]
- Lin, C.H.; Lu, Y.T.; Ho, C.J.; Shih, F.Y.; Tsai, M.H. The different clinical features between autoimmune and infectious status epilepticus. Front. Neurol. 2019, 10, 25. [Google Scholar] [CrossRef]
- Saraya, A.; Mahavihakanont, A.; Shuangshoti, S.; Sittidetboripat, N.; Deesudchit, T.; Callahan, M.; Wacharapluesadee, S.; Wilde, H.; Hemachudha, T. Autoimmune causes of encephalitis syndrome in Thailand: Prospective study of 103 patients. BMC Neurol. 2013, 13, 150. [Google Scholar] [CrossRef]
- Spatola, M.; Novy, J.; Du Pasquier, R.; Dalmau, J.; Rossetti, A.O. Status epilepticus of inflammatory etiology: A cohort study. Neurology 2015, 85, 464–470. [Google Scholar] [CrossRef]
- Pacha, M.S.; Orellana, L.; Silva, E.; Ernst, G.; Pantiu, F.; Quiroga Narvaez, J.; Reisin, R.; Martinez, O. Role of EMSE and STESS scores in the outcome evaluation of status epilepticus. Epilepsy Behav. 2016, 64, 140–142. [Google Scholar] [CrossRef] [PubMed]
- Rivero Rodriguez, D.; Scherle Matamoros, C.; Sam, K.; DiCapua Sacoto, D.; Samaniego, N.M.; Pernas, Y. Evaluation of STESS, mRSTESS, and EMSE to predict high disability and mortality at hospital discharge in ecuadorian patients with status epilepticus. Neurocrit. Care 2018, 29, 413–418. [Google Scholar] [CrossRef] [PubMed]
- Cappelleri, J.C.; Jason Lundy, J.; Hays, R.D. Overview of classical test theory and item response theory for the quantitative assessment of items in developing patient-reported outcomes measures. Clin. Ther. 2014, 36, 648–662. [Google Scholar] [CrossRef] [PubMed]




| Patients (%) N = 55 | |
|---|---|
| Age at admission (years) | 65 (56–79) † |
| Female | 23 (41.8) |
| STESS ≥3 | 39 (70.9) |
| EMSE1 * ≥64 | 16 (29.1) |
| EMSEf * ≥64 | 18 (32.7) |
| END-IT1 * ≥3 | 10 (18.2) |
| END-ITf * ≥3 | 11 (20.0) |
| Refractory SE | 16 (29.1) |
| Super refractory SE | 6 (10.9) |
| Days of admission | 15 (9–28) |
| Death during admission | 9 (16.4) |
| Duration of follow up (Days) | 372 (122.8–455.3) † |
| Good outcome at discharge (mRS≤2) | 15 (27.3) |
| Good outcome at last follow up (mRS≤2) | 16 (29.1) |
| Parameter | Value | N (%) |
|---|---|---|
| Level of consciousness before treatment | Alert, somnolent, or confused | 8 (14.5) |
| Stuporous or comatose | 47 (85.5) | |
| Worst seizure type before treatment | Focal motor, absence, or myoclonic seizure | 13 (23.6) |
| Generalized motor seizure | 37 (67.3) | |
| Nonconvulsive status epilepticus | 5 (9.1) | |
| Age | <65 years | 26 (47.3) |
| ≥65 years | 29 (52.7) | |
| History of previous seizures | Yes | 24 (43.6) |
| No or unknown | 31 (56.4) |
| Parameter | Value | EMSE1 * | EMSEf * |
|---|---|---|---|
| Etiology | AED withdrawal or poor compliance | 5 (9.1) | 7 (12.7) |
| Remote cerebrovascular disease | 22 (40.0) | 19 (34.5) | |
| Hydrocephalus | 0 (0) | 2 (3.6) | |
| Alcohol related | 2 (3.6) | 2 (3.6) | |
| Head trauma | 3 (10.9) | 2 (3.6) | |
| Unknown | 3 (5.5) | 4 (7.3) | |
| Brain tumor | 3 (5.5) | 3 (5.5) | |
| Sodium imbalance | 4 (7.3) | 4 (7.3) | |
| Metabolic disorders | 4 (7.3) | 4 (7.3) | |
| Acute cerebrovascular disease | 5 (9.1) | 5 (9.1) | |
| Acute central nervous system infection | 4 (7.3) | 3 (5.5) | |
| Age | 31–40 | 6 (10.9) | 6 (10.9) |
| 41–50 | 3 (5.5) | 3 (5.5) | |
| 61–60 | 9 (16.4) | 9 (16.4) | |
| 61–70 | 14 (25.5) | 14 (25.5) | |
| 71–80 | 9 (16.4) | 9 (16.4) | |
| >80 | 14 (25.5) | 14 (25.5) | |
| Comorbidity# | 0 point | 8 (14.5) | 8 (14.5) |
| 10 points | 40 (72.7) | 40 (72.7) | |
| 20 points | 22 (40.0) | 22 (40.0) | |
| 30 points | 2 (3.6) | 2 (3.6) | |
| EEG | No LPDs, GPDs, or ASIDs | 40 (72.7) | 36 (65.5) |
| Either LPDs, GPDs, or ASIDs | 15 (27.3) | 19 (34.5) | |
| Spontaneous burst suppression | 0 (0) | 0 (0) |
| Parameter | Value | END-IT1 * | END-ITf * |
|---|---|---|---|
| Encephalitis | No | 51 (92.7) | 50 (90.9) |
| Yes | 4 (7.3) | 5 (9.1) | |
| Non-convulsive status epilepticus | No | 50 (90.9) | 49 (89.1) |
| Yes | 5 (9.1) | 6 (10.9) | |
| Resistance to benzodiazepines | No | 30 (54.5) | 30 (54.5) |
| Yes | 25 (45.5) | 25 (45.5) | |
| Image study | No responsible lesion | 15 (27.3) | 14 (25.5) |
| Unilateral lesion | 33 (60.0) | 35 (63.6) | |
| Bilateral lesions | 7 (12.7) | 6 (10.9) | |
| Tracheal intubation | No | 34 (61.8) | 30 (54.5) |
| Yes | 21 (38.2) | 25 (45.5) |
| Sensitivity (%) | ||||
| STESS (75.0%) | ||||
| 0.020 | EMSE1 (35.0%) | |||
| 0.020 | 1.000 | EMSEf (40.0%) | ||
| 0.055 | 0.500 | 0.500 | END-IT1 (17.5%) | |
| 0.035 | 0.500 | 0.500 | 0.750 | END-ITf (20.0%) |
| Specificity (%) | ||||
| STESS (40.0%) | ||||
| 0.000428 | EMSE1 (86.7%) | |||
| 0.002 | 0.250 | EMSEf (86.7%) | ||
| 0.000003 | 0.046 | 0.018 | END-IT1 (80.0%) | |
| 0.000005 | 0.090 | 0.038 | 0.500 | END-ITf (80.0%) |
| Correct Classification Rate (%) | ||||
| STESS (61.4%) | ||||
| 0.202 | EMSE1 (50.0%) | |||
| 0.339 | 0.250 | EMSEf (54.5%) | ||
| 0.031 | 0.090 | 0.038 | END-IT1 (36.4%) | |
| 0.026 | 0.090 | 0.038 | 0.688 | END-ITf (36.4%) |
| Sensitivity (%) | ||||
| STESS (71.4%) | ||||
| 0.011 | EMSE1 (37.5%) | |||
| 0.033 | 0.500 | EMSEf (35.7%) | ||
| 0.090 | 0.188 | 0.344 | END-IT1 (7.1%) | |
| 0.020 | 0.500 | 0.656 | 0.250 | END-ITf (14.3%) |
| Specificity (%) | ||||
| STESS (37.5%) | ||||
| 0.002 | EMSE1 (87.5%) | |||
| 0.004 | 0.500 | EMSEf (81.3%) | ||
| 0.00002 | 0.020 | 0.011 | END-IT1 (68.8%) | |
| 0.000072 | 0.090 | 0.055 | 0.250 | END-ITf (81.3%) |
| Correct classification rate (%) | ||||
| STESS (59.1%) | ||||
| 0.339 | EMSE1 (52.3%) | |||
| 0.339 | 0.750 | EMSEf (52.3%) | ||
| 0.012 | 0.006 | 0.011 | END-IT1 (29.5%) | |
| 0.061 | 0.090 | 0.105 | 0.063 | END-ITf (38.6%) |
© 2019 by the authors. Licensee MDPI, Basel, Switzerland. This article is an open access article distributed under the terms and conditions of the Creative Commons Attribution (CC BY) license (http://creativecommons.org/licenses/by/4.0/).
Share and Cite
Lin, C.-H.; Ho, C.-J.; Lu, Y.-T.; Shih, F.-Y.; Chuang, Y.-C.; Tsai, M.-H. Predicting the Functional Outcome of Adult Patients with Status Epilepticus. J. Clin. Med. 2019, 8, 992. https://doi.org/10.3390/jcm8070992
Lin C-H, Ho C-J, Lu Y-T, Shih F-Y, Chuang Y-C, Tsai M-H. Predicting the Functional Outcome of Adult Patients with Status Epilepticus. Journal of Clinical Medicine. 2019; 8(7):992. https://doi.org/10.3390/jcm8070992
Chicago/Turabian StyleLin, Chih-Hsiang, Chen-Jui Ho, Yan-Ting Lu, Fu-Yuan Shih, Yao-Chung Chuang, and Meng-Han Tsai. 2019. "Predicting the Functional Outcome of Adult Patients with Status Epilepticus" Journal of Clinical Medicine 8, no. 7: 992. https://doi.org/10.3390/jcm8070992
APA StyleLin, C.-H., Ho, C.-J., Lu, Y.-T., Shih, F.-Y., Chuang, Y.-C., & Tsai, M.-H. (2019). Predicting the Functional Outcome of Adult Patients with Status Epilepticus. Journal of Clinical Medicine, 8(7), 992. https://doi.org/10.3390/jcm8070992

