Predicting Residual Function in Hemodialysis and Hemodiafiltration—A Population Kinetic, Decision Analytic Approach
Abstract
1. Introduction
2. Experimental Section
2.1. Simulations of B2M Kinetics during Dialysis and Hemodiafiltration
2.2. Development of PK-RRF Equations
2.2.1. Generalized Additive Models for the PK-RRF
2.2.2. In Silico Exploration of Factors Affecting the Performance of the PK-RRF
2.3. Modeling the Relation of RRF to UrCl
2.4. Measurements of B2M, RRF and Dialyzer Clearance in Patients
2.5. Models and Outcomes for UrCl
- (a)
- The logistic equation concerns the outcome that is specifically mentioned in the guidelines and regulatory documents. This is also the level of the residual renal function—below which, dialysis prescription and modality seem to have the largest impact on middle molecule exposure levels [24,50]. By directly modeling this outcome with the logistic approach, we are able thus able to derive a prediction rule that incorporates model uncertainty about this outcome being present. This feature also allows us to explore different thresholds (assessments of risk of having a low RRF) for opting out of the current dialysis standard.
- (b)
- Analysis of the RRF as a continuous outcome allows a more direct comparison of the kinetic approach against a previously developed equation which all provide continuous estimates. In the publication describing the Shafi equation, the formula’s continuous prediction was thresholded, in order to classify patients as having a clearance above or below the cutoff. Hence, this and similar equations implement a “hard” classification of patients as having “low” (less than 2 mL/min) or high (greater than 2 mL/min) UrCl, i.e., they assign probabilities of either 1 or zero without the nuance afforded by the logistic regression model. In particular, the later model assigns a continuous probability value in the range of zero to one when classifying patients as having lor or high clearance (a “soft” classification).
2.6. Model Comparison: Discrimination, Calibration and Clinical Usefulness
Clinical Usefulness (Decision Curve Analysis)
- The True Negative Rate (TNR, the rate of patients correctly classified as low risk, i.e., those with a clearance of >2 mL/min that the model labeled as having a clearance of >2 mL/min);
- False Negative Rate (FNR, the proportion of patients with a clearance of <2 mL/min that the model incorrectly classified as having a clearance of >2 mL/min).
2.7. PK-RRF Recalibration and Inclusion of Multiple Biomarkers
2.8. Software Availability
3. Results
3.1. Development of PK-RRF and Performance of GP for Dialytic Clearance
3.2. The Relationship between RRF, Urea and Creatinine Clearance
3.3. The Logistic PK-RRF Has High Discrimination and Calibration When Validated against a Patient Dataset
3.4. Re-Calibration of the PK-RRF and Incorporation of Multiple Biomarkers
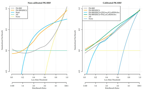
3.5. Clinical Usefulness (Decision Curve Analysis)
4. Discussion
Supplementary Materials
Author Contributions
Funding
Conflicts of Interest
Appendix A. Development of PK-RRF Equations and Assessment of Dialyzer Clearance


Appendix B. Fitting Literature RRF and Urea/Creatinine Clearance Data
| Parameter | Mean | SE | Q2.5% | Q25% | Q50% | Q75% | Q97.5% |
|---|---|---|---|---|---|---|---|
| αC | −0.213 | 0.124 | −0.458 | −0.296 | −0.213 | −0.130 | 0.033 |
| αU | 0.007 | 0.072 | −0.135 | −0.040 | 0.007 | 0.056 | 0.150 |
| βC | 1.242 | 0.047 | 1.149 | 1.211 | 1.242 | 1.274 | 1.334 |
| βU | 0.751 | 0.030 | 0.694 | 0.731 | 0.751 | 0.770 | 0.810 |
| σC | 0.564 | 0.080 | 0.414 | 0.510 | 0.561 | 0.615 | 0.728 |
| σU | 0.316 | 0.048 | 0.229 | 0.284 | 0.314 | 0.346 | 0.416 |
| σRRF | 0.302 | 0.046 | 0.223 | 0.269 | 0.299 | 0.331 | 0.401 |
Appendix C. External Validation of the PK-RRF in the Vilar Dataset via Linear Calibration Plots
| Parameter | Equation | HD | HDF | All |
|---|---|---|---|---|
| Intercept | PK-RRF | 0.23 (0.19) | −0.12 (0.14) | 0.01 (0.11) |
| (mL/min) | Shafi | 0.79 (0.13) | 0.10 (0.11) | 0.44 (0.08) |
| Slope | PK-RRF | 0.57 (0.06) | 0.69 (0.05) | 0.64 (0.04) |
| (per 1 mL/min) | Shaffi | 0.36 (0.03) | 0.63 (0.04) | 0.48 (0.03) |

Appendix D. Simulation Modeling of Beta 2 Microglobulin Kinetics during Hemodialysis
![]() |
| CodeD1. C code of the system of differential equations of B2M kinetics during the intradialytic and interdialytic periods. |
References
- Lin, Z.-H.; Zuo, L. When to initiate renal replacement therapy: The trend of dialysis initiation. World J Nephrol. 2015, 4, 521–527. [Google Scholar] [CrossRef] [PubMed]
- Li, Y.; Jin, Y.; Kapke, A.; Pearson, J.; Saran, R.; Port, F.K.; Robinson, B.M. Explaining trends and variation in timing of dialysis initiation in the United States. Medicine 2017, 96, e6911. [Google Scholar] [CrossRef] [PubMed]
- Shafi, T.; Jaar, B.G.; Plantinga, L.C.; Fink, N.E.; Sadler, J.H.; Parekh, R.S.; Powe, N.R.; Coresh, J. Association of Residual Urine Output With Mortality, Quality of Life, and Inflammation in Incident Hemodialysis Patients: The Choices for Healthy Outcomes in Caring for End-Stage Renal Disease (CHOICE) Study. Am. J. Kidney Dis. 2010, 56, 348–358. [Google Scholar] [CrossRef] [PubMed]
- Vilar, E.; Wellsted, D.; Chandna, S.M.; Greenwood, R.N.; Farrington, K. Residual renal function improves outcome in incremental haemodialysis despite reduced dialysis dose. Nephrol. Dial. Transplant. 2009, 24, 2502–2510. [Google Scholar] [CrossRef]
- Shemin, D.; Bostom, A.G.; Laliberty, P.; Dworkin, L.D. Residual renal function and mortality risk in hemodialysis patients. Am. J. Kidney Dis. 2001, 38, 85–90. [Google Scholar] [CrossRef]
- Obi, Y.; Streja, E.; Rhee, C.M.; Ravel, V.; Amin, A.N.; Cupisti, A.; Chen, J.; Mathew, A.T.; Kovesdy, C.P.; Mehrotra, R.; et al. Incremental Hemodialysis, Residual Kidney Function, and Mortality Risk in Incident Dialysis Patients: A Cohort Study. Am. J. Kidney Dis. 2016, 68, 256–265. [Google Scholar] [CrossRef]
- Van der Wal, W.M.; Noordzij, M.; Dekker, F.W.; Boeschoten, E.W.; Krediet, R.T.; Korevaar, J.C.; Geskus, R.B. Full loss of residual renal function causes higher mortality in dialysis patients; findings from a marginal structural model. Nephrol. Dial. Transplant. 2011, 26, 2978–2983. [Google Scholar] [CrossRef]
- Penne, E.L.; van der Weerd, N.C.; Grooteman, M.P.C.; Mazairac, A.H.A.; van den Dorpel, M.A.; Nubé, M.J.; Bots, M.L.; Lévesque, R.; ter Wee, P.M.; Blankestijn, P.J. Role of Residual Renal Function in Phosphate Control and Anemia Management in Chronic Hemodialysis Patients. Clin. J. Am. Soc. Nephrol. 2011, 6, 281–289. [Google Scholar] [CrossRef]
- Ma, T.; Ding, G. Effects of residual renal function on left ventricle and analysis of related factors in patients with hemodialysis. Ren. Fail. 2013, 35, 198–203. [Google Scholar] [CrossRef]
- Poulsen, C.G.; Kjaergaard, K.D.; Peters, C.D.; Jespersen, B.; Jensen, J.D. Quality of life development during initial hemodialysis therapy and association with loss of residual renal function. Hemodial. Int. 2017, 21, 409–421. [Google Scholar] [CrossRef]
- European Best Practice Guidelines for Haemodialysis. Section II. Haemodialysis adequacy. Nephrol. Dial. Transplant. 2002, 17, 16–31. [Google Scholar]
- Daugirdas, J.T.; Depner, T.A.; Inrig, J.; Mehrotra, R.; Rocco, M.V.; Suri, R.S.; Weiner, D.E.; Greer, N.; Ishani, A.; MacDonald, R.; et al. KDOQI Clinical Practice Guideline for Hemodialysis Adequacy: 2015 Update. Am. J. Kidney Dis. 2015, 66, 884–930. [Google Scholar] [CrossRef] [PubMed]
- Kalantar-Zadeh, K.; Crowley, S.T.; Beddhu, S.; Chen, J.L.T.; Daugirdas, J.T.; Goldfarb, D.S.; Jin, A.; Kovesdy, C.P.; Leehey, D.J.; Moradi, H.; et al. Renal Replacement Therapy and Incremental Hemodialysis for Veterans with Advanced Chronic Kidney Disease. Semin. Dial. 2017, 30, 251–261. [Google Scholar] [CrossRef] [PubMed]
- Golper, T.A. Incremental dialysis: Review of recent literature. Curr. Opin. Nephrol. Hypertens. 2017, 26, 543–547. [Google Scholar] [CrossRef]
- Park, J.I.; Park, J.T.; Kim, Y.-L.; Kang, S.-W.; Yang, C.W.; Kim, N.-H.; Oh, Y.K.; Lim, C.S.; Kim, Y.S.; Lee, J.P.; et al. Comparison of outcomes between the incremental and thrice-weekly initiation of hemodialysis: A propensity-matched study of a prospective cohort in Korea. Nephrol. Dial. Transplant. 2017, 32, 355–363. [Google Scholar] [CrossRef]
- Liu, Y.; Zou, W.; Wu, J.; Liu, L.; He, Q. Comparison between incremental and thrice-weekly haemodialysis: Systematic review and meta-analysis. Nephrology 2019, 24, 438–444. [Google Scholar] [CrossRef]
- Wong, J.; Vilar, E.; Davenport, A.; Farrington, K. Incremental haemodialysis. Nephrol. Dial. Transplant. 2015, 30, 1639–1648. [Google Scholar] [CrossRef][Green Version]
- Clinical Practice Guidelines for Hemodialysis Adequacy, Update 2006. Am. J. Kidney Dis. 2006, 48, S2–S90. [CrossRef]
- Wong, J.; Sridharan, S.; Berdeprado, J.; Vilar, E.; Viljoen, A.; Wellsted, D.; Farrington, K. Predicting residual kidney function in hemodialysis patients using serum beta-trace protein and beta2-microglobulin. Kidney Int. 2016, 89, 1090–1098. [Google Scholar] [CrossRef]
- Shafi, T.; Levey, A.S.; Inker, L.A.; Schwartz, G.J.; Knight, C.; Abraham, A.G.; Eckfeldt, J.H.; Coresh, J. Plasma Iohexol Clearance for Assessing Residual Kidney Function in Dialysis Patients. Am. J. Kidney Dis. 2015, 66, 728–730. [Google Scholar] [CrossRef][Green Version]
- Vilar, E.; Boltiador, C.; Wong, J.; Viljoen, A.; Machado, A.; Uthayakumar, A.; Farrington, K. Plasma Levels of Middle Molecules to Estimate Residual Kidney Function in Haemodialysis without Urine Collection. PLoS ONE 2015, 10, e0143813. [Google Scholar] [CrossRef] [PubMed]
- Terry, A.L.; Cogswell, M.E.; Wang, C.-Y.; Chen, T.-C.; Loria, C.M.; Wright, J.D.; Zhang, X.; Lacher, D.A.; Merritt, R.K.; Bowman, B.A. Feasibility of collecting 24-h urine to monitor sodium intake in the National Health and Nutrition Examination Survey. Am. J. Clin. Nutr. 2016, 104, 480–488. [Google Scholar] [CrossRef] [PubMed]
- Shafi, T.; Michels, W.M.; Levey, A.S.; Inker, L.A.; Dekker, F.W.; Krediet, R.T.; Hoekstra, T.; Schwartz, G.J.; Eckfeldt, J.H.; Coresh, J. Estimating residual kidney function in dialysis patients without urine collection. Kidney Int. 2016, 89, 1099–1110. [Google Scholar] [CrossRef] [PubMed]
- Roumelioti, M.E.; Nolin, T.; Unruh, M.L.; Argyropoulos, C. Revisiting the Middle Molecule Hypothesis of Uremic Toxicity: A Systematic Review of Beta 2 Microglobulin Population Kinetics and Large Scale Modeling of Hemodialysis Trials in Silico. PLoS ONE 2016, 11, e0153157. [Google Scholar] [CrossRef]
- Roumelioti, M.-E.; Trietley, G.; Nolin, T.D.; Ng, Y.-H.; Xu, Z.; Alaini, A.; Figueroa, R.; Unruh, M.L.; Argyropoulos, C.P. Beta-2 microglobulin clearance in high-flux dialysis and convective dialysis modalities: A meta-analysis of published studies. Nephrol. Dial. Transplant. 2018, 33, 1025–1039. [Google Scholar] [CrossRef]
- Campbell, K. Statistical calibration of computer simulations. Reliab. Eng. Syst. Saf. 2006, 91, 1358–1363. [Google Scholar] [CrossRef]
- Kennedy, M.C.; O’Hagan, A. Bayesian calibration of computer models. J. R. Stat. Soc. Ser. B (Stat. Methodol.) 2001, 63, 425–464. [Google Scholar] [CrossRef]
- Vickers, A.J.; Elkin, E.B. Decision curve analysis: A novel method for evaluating prediction models. Med. Decis. Mak. 2006, 26, 565–574. [Google Scholar] [CrossRef]
- Vickers, A.J.; Calster, B.V.; Steyerberg, E.W. Net benefit approaches to the evaluation of prediction models, molecular markers, and diagnostic tests. Br. Med. J. 2016, 352, i6. [Google Scholar] [CrossRef]
- Ward, R.A.; Greene, T.; Hartmann, B.; Samtleben, W. Resistance to intercompartmental mass transfer limits beta2-microglobulin removal by post-dilution hemodiafiltration. Kidney Int. 2006, 69, 1431–1437. [Google Scholar] [CrossRef]
- Chertow, G.M.; Levin, N.W.; Beck, G.J.; Depner, T.A.; Eggers, P.W.; Gassman, J.J.; Gorodetskaya, I.; Greene, T.; James, S.; Larive, B.; et al. In-center hemodialysis six times per week versus three times per week. N. Engl. J. Med. 2010, 363, 2287–2300. [Google Scholar] [PubMed]
- Rocco, M.V.; Lockridge, R.S., Jr.; Beck, G.J.; Eggers, P.W.; Gassman, J.J.; Greene, T.; Larive, B.; Chan, C.T.; Chertow, G.M.; Copland, M.; et al. The effects of frequent nocturnal home hemodialysis: The Frequent Hemodialysis Network Nocturnal Trial. Kidney Int. 2011, 80, 1080–1091. [Google Scholar] [CrossRef] [PubMed]
- Cheung, A.K.; Agodoa, L.Y.; Daugirdas, J.T.; Depner, T.A.; Gotch, F.A.; Greene, T.; Levin, N.W.; Leypoldt, J.K. Effects of Hemodialyzer Reuse on Clearances of Urea and {beta}2-Microglobulin. J. Am. Soc. Nephrol. 1999, 10, 117–127. [Google Scholar]
- Grooteman, M.P.C.; van den Dorpel, M.A.; Bots, M.L.; Penne, E.L.; van der Weerd, N.C.; Mazairac, A.H.A.; den Hoedt, C.H.; van der Tweel, I.; Lévesque, R.; Nubé, M.J.; et al. Effect of online hemodiafiltration on all-cause mortality and cardiovascular outcomes. J. Am. Soc. Nephrol. 2012, 23, 1087–1096. [Google Scholar] [CrossRef] [PubMed]
- Maduell, F.; Moreso, F.; Pons, M.; Ramos, R.; Mora-Macia, J.; Carreras, J.; Soler, J.; Torres, F.; Campistol, J.M.; Martinez-Castelao, A. High-efficiency postdilution online hemodiafiltration reduces all-cause mortality in hemodialysis patients. J. Am. Soc. Nephrol. 2013, 24, 487–497. [Google Scholar] [CrossRef]
- Ok, E.; Asci, G.; Toz, H.; Ok, E.S.; Kircelli, F.; Yilmaz, M.; Hur, E.; Demirci, M.S.; Demirci, C.; Duman, S.; et al. Mortality and cardiovascular events in online haemodiafiltration (OL-HDF) compared with high-flux dialysis: Results from the Turkish OL-HDF Study. Nephrol. Dial. Transplant. 2013, 28, 192–202. [Google Scholar] [CrossRef]
- Petzold, L. Automatic Selection of Methods for Solving Stiff and Nonstiff Systems of Ordinary Differential Equations. SIAM J. Sci. Stat. Comput. 1983, 4, 136–148. [Google Scholar] [CrossRef]
- Wood, S.N. Fast stable restricted maximum likelihood and marginal likelihood estimation of semiparametric generalized linear models. J. R. Stat. Soc. Ser. B (Stat. Methodol.) 2011, 73, 3–36. [Google Scholar] [CrossRef]
- Wood, S. Generalized Additive Models: An Introduction with R; Chapman & Hall/CRC: Boca Raton, FL, USA, 2006; ISBN 1-58488-474-6. [Google Scholar]
- Kammann, E.E.; Wand, M.P. Geoadditive Models. J. R. Stat. Soc. Ser. C (Appl. Stat.) 2003, 52, 1–18. [Google Scholar] [CrossRef]
- Davenport, A. Measuring residual renal function in dialysis patients: Can we dispense with 24-hour urine collections? Kidney Int. 2016, 89, 978–980. [Google Scholar] [CrossRef]
- Leypoldt, J.K.; Cheung, A.K.; Deeter, R.B. Single compartment models for evaluating beta 2-microglobulin clearance during hemodialysis. ASAIO J 1997, 43, 904–909. [Google Scholar] [CrossRef] [PubMed]
- Shafi, T.; Mullangi, S.; Toth-Manikowski, S.M.; Hwang, S.; Michels, W.M. Residual Kidney Function: Implications in the Era of Personalized Medicine. Semin. Dial. 2017, 30, 241–245. [Google Scholar] [CrossRef] [PubMed]
- Liu, X.; Dai, C. Advances in Understanding and Management of Residual Renal Function in Patients with Chronic Kidney Disease. Kidney Dis. 2017, 2, 187–196. [Google Scholar] [CrossRef]
- Krediet, R.T. Preservation of Residual Kidney Function and Urine Volume in Patients on Dialysis. Clin. J. Am. Soc. Nephrol. 2017, 12, 377–379. [Google Scholar] [CrossRef] [PubMed]
- Milutinovic, J.; Cutler, R.E.; Hoover, P.; Meijsen, B.; Scribner, B.H. Measurement of residual glomerular filtration rate in the patient receiving repetitive hemodialysis. Kidney Int. 1975, 8, 185–190. [Google Scholar] [CrossRef] [PubMed][Green Version]
- Amici, G.; Carniato, A.; Zoli, P.; Da Rin, G.; Boccaletto, F.; Bocci, C.; Palermo, F. Total clearance and extracellular volume with 125I-iothalamate in peritoneal dialysis. Adv. Perit. Dial. 1996, 12, 147–150. [Google Scholar] [PubMed]
- Bauer, J.H.; Brooks, C.S.; Burch, R.N. Renal function studies in man with advanced renal insufficiency. Am. J. Kidney Dis. 1982, 2, 30–35. [Google Scholar] [CrossRef]
- Van Olden, R.W.; Krediet, R.T.; Struijk, D.G.; Arisz, L. Measurement of residual renal function in patients treated with continuous ambulatory peritoneal dialysis. J. Am. Soc. Nephrol. 1996, 7, 745–750. [Google Scholar]
- Argyropoulos, C.P.; Chen, S.S.; Ng, Y.-H.; Roumelioti, M.-E.; Shaffi, K.; Singh, P.P.; Tzamaloukas, A.H. Rediscovering Beta-2 Microglobulin As a Biomarker across the Spectrum of Kidney Diseases. Front. Med. 2017, 4, 73. [Google Scholar] [CrossRef]
- Steyerberg, E.W.; Vergouwe, Y. Towards better clinical prediction models: Seven steps for development and an ABCD for validation. Eur. Heart J. 2014, 35, 1925–1931. [Google Scholar] [CrossRef]
- Steyerberg, E.W.; Vickers, A.J.; Cook, N.R.; Gerds, T.; Gonen, M.; Obuchowski, N.; Pencina, M.J.; Kattan, M.W. Assessing the Performance of Prediction Models: A Framework for Traditional and Novel Measures. Epidemiology 2010, 21, 128–138. [Google Scholar] [CrossRef] [PubMed]
- Kerr, K.F.; Brown, M.D.; Zhu, K.; Janes, H. Assessing the Clinical Impact of Risk Prediction Models with Decision Curves: Guidance for Correct Interpretation and Appropriate Use. J. Clin. Oncol. 2016, 34, 2534–2540. [Google Scholar] [CrossRef] [PubMed]
- Kerr, K.F.; Brown, M.D.; Marsh, T.L.; Janes, H. Assessing the Clinical Impact of Risk Models for Opting Out of Treatment. Med. Decis. Mak. 2019, 39, 86–90. [Google Scholar] [CrossRef] [PubMed]
- Steyerberg, E.W.; Harrell, F.E. Prediction models need appropriate internal, internal–external, and external validation. J. Clin. Epidemiol. 2016, 69, 245–247. [Google Scholar] [CrossRef]
- Pernot, P.; Cailliez, F. A critical review of statistical calibration/prediction models handling data inconsistency and model inadequacy. AIChE J. 2017, 63, 4642–4665. [Google Scholar] [CrossRef]
- Debray, T.P.A.; Vergouwe, Y.; Koffijberg, H.; Nieboer, D.; Steyerberg, E.W.; Moons, K.G.M. A new framework to enhance the interpretation of external validation studies of clinical prediction models. J. Clin. Epidemiol. 2015, 68, 279–289. [Google Scholar] [CrossRef]
- Janssen, K.J.M.; Moons, K.G.M.; Kalkman, C.J.; Grobbee, D.E.; Vergouwe, Y. Updating methods improved the performance of a clinical prediction model in new patients. J. Clin. Epidemiol. 2008, 61, 76–86. [Google Scholar] [CrossRef]
- Daugirdas, J.T. Physiologic principles and urea kinetic modeling. In Handbook of Dialysis, 4th ed.; Lippincott Williams and Wilkins: Philadelphia, PA, USA, 2007; pp. 25–58. [Google Scholar]
- Bankhead, M.M.; Toto, R.D.; Star, R.A. Accuracy of urea removal estimated by kinetic models. Kidney Int. 1995, 48, 785–793. [Google Scholar] [CrossRef][Green Version]
- Kemp, H.J.; Parnham, A.; Tomson, C.R. Urea kinetic modelling: A measure of dialysis adequacy. Ann. Clin. Biochem. 2001, 38, 20–27. [Google Scholar] [CrossRef]
- Gotch, F.A. The current place of urea kinetic modelling with respect to different dialysis modalities. Nephrol. Dial. Transplant. 1998, 13, 10–14. [Google Scholar] [CrossRef]
- Lindsay, R.; Heidenheim, P.; Abunadar, P.; McCarthy, G. On-line urea kinetic modeling: Preliminary results. Nephrol. Dial. Transplant. 1993, 8, 995–996. [Google Scholar]
- Keshaviah, P. Urea kinetic and middle molecule approaches to assessing the adequacy of hemodialysis and CAPD. Kidney Int. Suppl. 1993, 40, S28–S38. [Google Scholar] [PubMed]
- Keller, T.; Zeller, T.; Peetz, D.; Tzikas, S.; Roth, A.; Czyz, E.; Bickel, C.; Baldus, S.; Warnholtz, A.; Fröhlich, M.; et al. Sensitive Troponin I Assay in Early Diagnosis of Acute Myocardial Infarction. N. Engl. J. Med. 2009, 361, 868–877. [Google Scholar] [CrossRef] [PubMed]
- Davenport, A. Measuring residual renal function for hemodialysis adequacy: Is there an easier option? Hemodial. Int. 2017, 21, S41–S46. [Google Scholar] [CrossRef]
- Hwang, H.S.; Hong, Y.A.; Yoon, H.E.; Chang, Y.K.; Kim, S.Y.; Kim, Y.O.; Jin, D.C.; Kim, S.-H.; Kim, Y.-L.; Kim, Y.-S.; et al. Comparison of Clinical Outcome Between Twice-Weekly and Thrice-Weekly Hemodialysis in Patients With Residual Kidney Function. Medicine (Baltimore) 2016, 95. [Google Scholar] [CrossRef]
- Daugirdas, J.T.; Greene, T.; Rocco, M.V.; Kaysen, G.A.; Depner, T.A.; Levin, N.W.; Chertow, G.M.; Ornt, D.B.; Raimann, J.G.; Larive, B.; et al. Effect of frequent hemodialysis on residual kidney function. Kidney Int. 2013, 83, 949–958. [Google Scholar] [CrossRef]
- Depaoli, S.; Clifton, J.P.; Cobb, P.R. Just Another Gibbs Sampler (JAGS): Flexible Software for MCMC Implementation. J. Educ. Behav. Stat. 2016, 41, 628–649. [Google Scholar] [CrossRef]
- Plummer, M. JAGS: A program for analysis of Bayesian graphical models using Gibbs sampling. In Proceedings of the 3rd International Workshop on Distributed Statistical Computing, Vienna, Austria, 20–22 March 2003; pp. 1–10. [Google Scholar]
- Matsumoto, M.; Nishimura, T. Mersenne Twister: A 623-dimensionally Equidistributed Uniform Pseudo-random Number Generator. ACM Trans. Model. Comput. Simul. 1998, 8, 3–30. [Google Scholar] [CrossRef]
- Gelman, A.; Rubin, D.B. Inference from Iterative Simulation Using Multiple Sequences. Statist. Sci. 1992, 7, 457–472. [Google Scholar] [CrossRef]
- Brooks, S.P.; Gelman, A. General Methods for Monitoring Convergence of Iterative Simulations. J. Comput. Graph. Stat. 1998, 7, 434–455. [Google Scholar]






| Subset | Equation | HD | HDF | All |
|---|---|---|---|---|
| Non-Anuric | PK-RRF | 0.845 | 0.823 | 0.829 |
| Shafi | 0.807 | 0.782 | 0.787 | |
| All Patients | PK-RRF | 0.911 | 0.878 | 0.888 |
| Shafi | 0.842 | 0.816 | 0.821 |
| Additional Biomarkers | HD | HDF | All |
|---|---|---|---|
| None | 0.868 | 0.922 | 0.900 |
| Creatinine | 0.888 | 0.922 | 0.904 |
| Urea | 0.885 | 0.929 | 0.906 |
| Cystatin C | 0.866 | 0.927 | 0.903 |
| Cystatin C + Urea | 0.881 | 0.927 | 0.901 |
| Creatinine + Urea | 0.888 | 0.930 | 0.909 |
| Cystatin C + Creatinine | 0.878 | 0.924 | 0.903 |
| Cystatin C + Creatinine + Urea | 0.878 | 0.913 | 0.896 |
| Metric | Equation | HD | HDF | All |
|---|---|---|---|---|
| Median | Clearance-based PK-RRF | 0.09 | 0.23 | 0.18 |
| (mL/min) | Clearance-based PK-RRF + Urea/Creatinine | −0.17 | 0.22 | 0.09 |
| Clearance-based PK-RRF + Cystatin C | −0.13 | 0.22 | 0.10 | |
| MAE | Clearance-based PK-RRF | 0.93 | 0.88 | 0.89 |
| (mL/min) | Clearance-based PK-RRF + Urea/Creatinine | 0.87 | 0.83 | 0.88 |
| Clearance-based PK-RRF + Cystatin C | 0.91 | 0.82 | 0.85 | |
| IQR | Clearance-based PK-RRF | 1.37 | 1.03 | 1.19 |
| (mL/min) | Clearance-based PK-RRF + Urea/Creatinine | 1.29 | 1.10 | 1.29 |
| Clearance-based PK-RRF + Cystatin C | 1.25 | 1.06 | 1.15 | |
| RMSE | Clearance-based PK-RRF | 1.26 | 1.25 | 1.25 |
| (mL/min) | Clearance-based PK-RRF + Urea/Creatinine | 1.15 | 1.17 | 1.16 |
| Clearance-based PK-RRF + Cystatin C | 1.20 | 1.17 | 1.18 |
© 2019 by the authors. Licensee MDPI, Basel, Switzerland. This article is an open access article distributed under the terms and conditions of the Creative Commons Attribution (CC BY) license (http://creativecommons.org/licenses/by/4.0/).
Share and Cite
Achakzai, M.I.; Argyropoulos, C.; Roumelioti, M.-E. Predicting Residual Function in Hemodialysis and Hemodiafiltration—A Population Kinetic, Decision Analytic Approach. J. Clin. Med. 2019, 8, 2080. https://doi.org/10.3390/jcm8122080
Achakzai MI, Argyropoulos C, Roumelioti M-E. Predicting Residual Function in Hemodialysis and Hemodiafiltration—A Population Kinetic, Decision Analytic Approach. Journal of Clinical Medicine. 2019; 8(12):2080. https://doi.org/10.3390/jcm8122080
Chicago/Turabian StyleAchakzai, Muhammad I., Christos Argyropoulos, and Maria-Eleni Roumelioti. 2019. "Predicting Residual Function in Hemodialysis and Hemodiafiltration—A Population Kinetic, Decision Analytic Approach" Journal of Clinical Medicine 8, no. 12: 2080. https://doi.org/10.3390/jcm8122080
APA StyleAchakzai, M. I., Argyropoulos, C., & Roumelioti, M.-E. (2019). Predicting Residual Function in Hemodialysis and Hemodiafiltration—A Population Kinetic, Decision Analytic Approach. Journal of Clinical Medicine, 8(12), 2080. https://doi.org/10.3390/jcm8122080


