Validity and Reliability of a New Optoelectronic System for Measuring Active Range of Motion of Upper Limb Joints in Asymptomatic and Symptomatic Subjects
Abstract
1. Introduction
2. Methods
2.1. Participants
2.2. Procedures
2.3. Sample Size Estimation
2.4. Statistical Analysis
3. Results
3.1. Participants
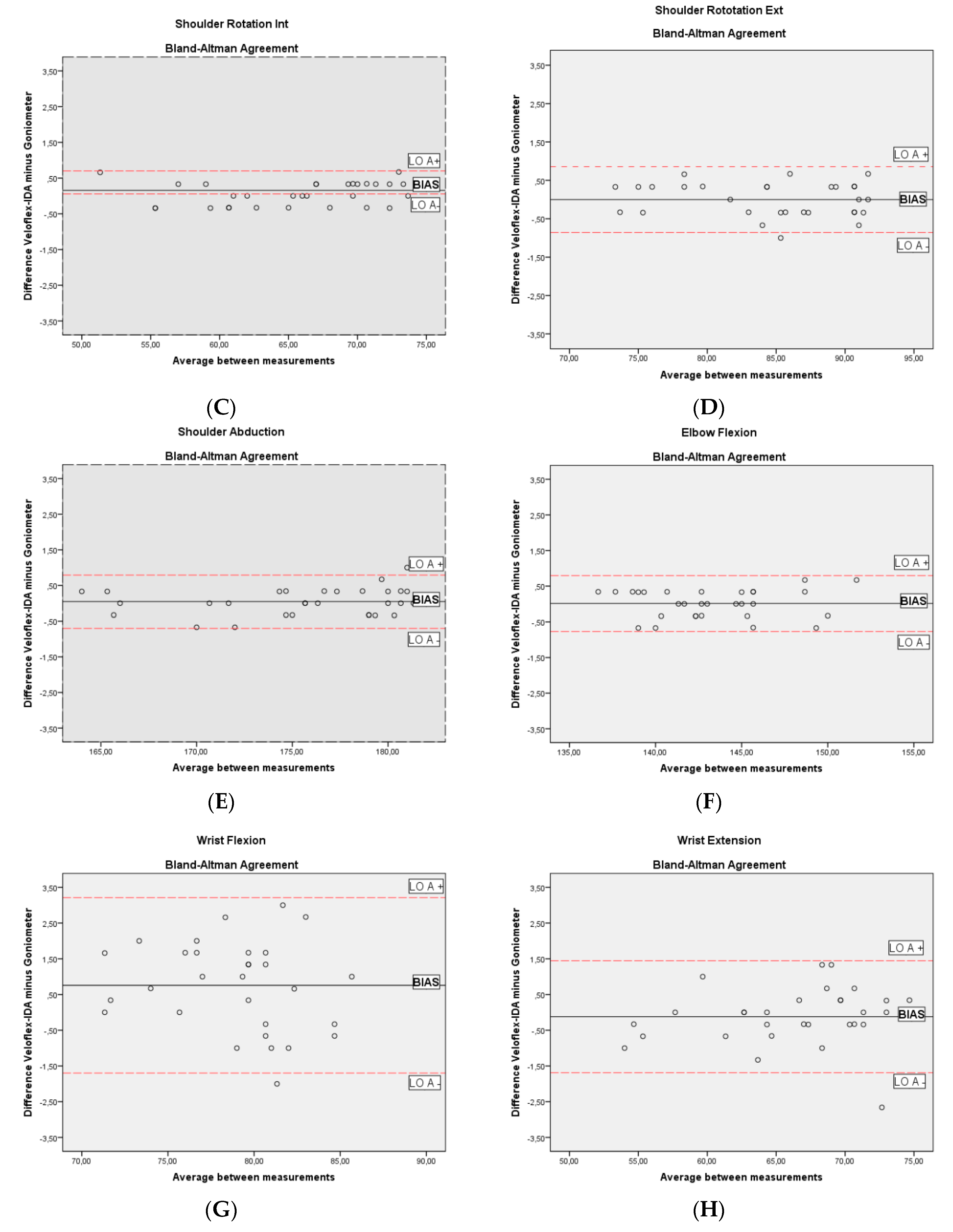
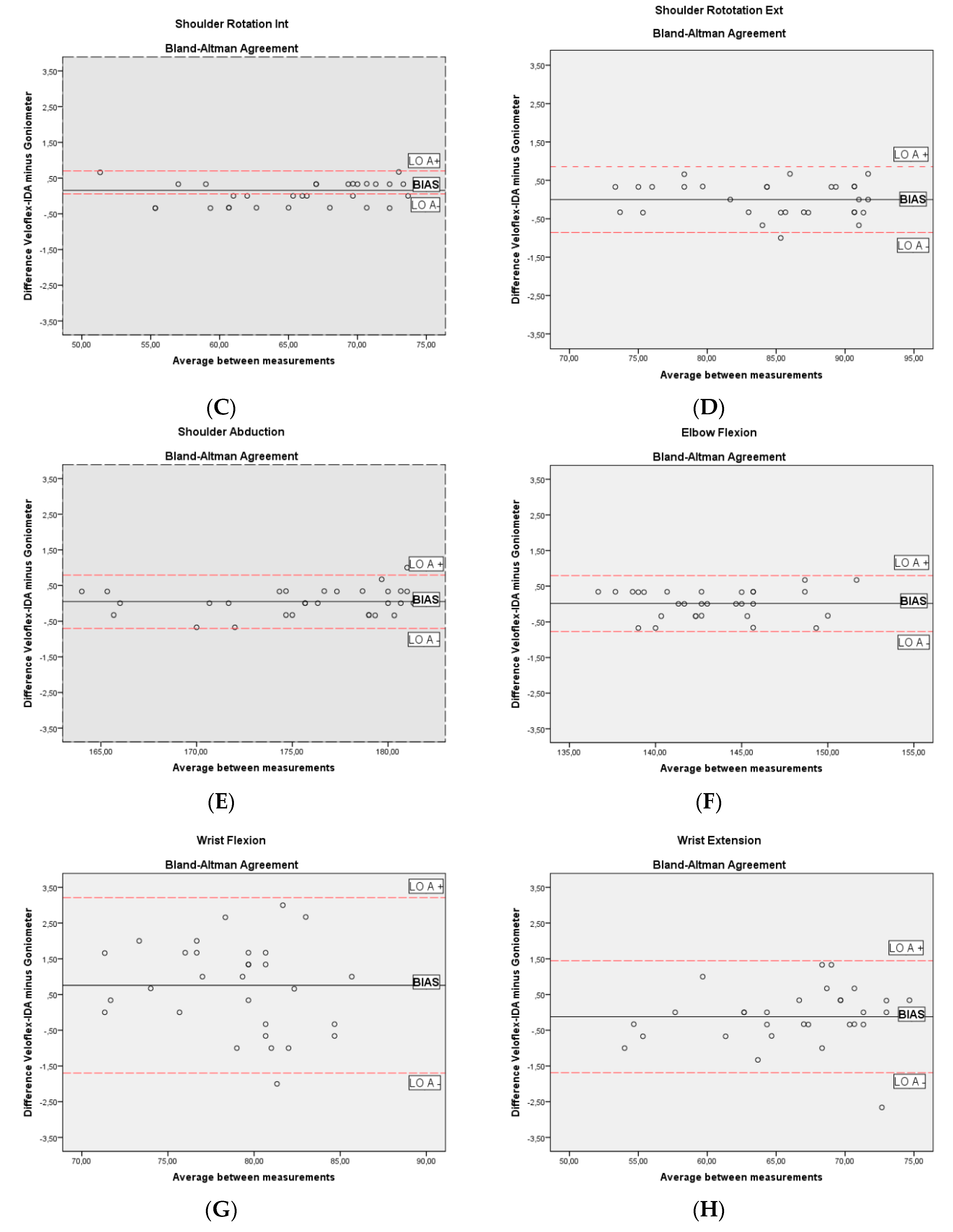
3.2. Concurrent Validity and Agreement
3.3. Reliability
4. Discussion and Conclusions
Author Contributions
Funding
Acknowledgments
Conflicts of Interest
References
- Robert-Lachaine, X.; Allard, P.; Godbout, V.; Tétreault, P.; Begon, M. Scapulohumeral rhythm relative to active range of motion in patients with symptomatic rotator cuff tears. J. Shoulder Elbow Surg. 2016, 25, 1616–1622. [Google Scholar] [CrossRef] [PubMed]
- Khallaf, M.E.; Ameer, M.A.; Fayed, E.E. Effect of task specific training and wrist-fingers extension splint on hand joints range of motion and function after stroke. NeuroRehabilitation 2017, 41, 437–444. [Google Scholar] [CrossRef] [PubMed]
- Adomavičienė, A.; Daunoravičienė, K.; Kubilius, R.; Varžaitytė, L.; Raistenskis, J. Influence of New Technologies on Post-Stroke Rehabilitation: A Comparison of Armeo Spring to the Kinect System. Medicina 2019, 55, 98. [Google Scholar] [CrossRef] [PubMed]
- Riemann, B.L.; Witt, J.; Davies, G.J. Glenohumeral joint rotation range of motion in competitive swimmers. J. Sports Sci. 2011, 29, 1191–1199. [Google Scholar] [CrossRef] [PubMed]
- Sakata, J.; Nakamura, E.; Suzukawa, M.; Akaike, A.; Shimizu, K. Physical Risk Factors for a Medial Elbow Injury in Junior Baseball Players: A Prospective Cohort Study of 353 Players. Am. J. Sports Med. 2017, 45, 135–143. [Google Scholar] [CrossRef] [PubMed]
- Gajdosik, R.L.; Bohannon, R.W. Clinical measurement of range of motion. Review of goniometry emphasizing reliability and validity. Phys. Ther. 1987, 67, 1867–1872. [Google Scholar] [CrossRef] [PubMed]
- Walmsley, C.P.; Williams, S.A.; Grisbrook, T.; Elliott, C.; Imms, C.; Campbell, A. Measurement of Upper Limb Range of Motion Using Wearable Sensors: A Systematic Review. Sports Med. Open 2018, 4, 53. [Google Scholar] [CrossRef]
- Kolber, M.J.; Vega, F.; Widmayer, K.; Cheng, M.-S.S. The reliability and minimal detectable change of shoulder mobility measurements using a digital inclinometer. Physiother. Theory Pract. 2011, 27, 176–184. [Google Scholar] [CrossRef]
- Kolber, M.J.; Fuller, C.; Marshall, J.; Wright, A.; Hanney, W.J. The reliability and concurrent validity of scapular plane shoulder elevation measurements using a digital inclinometer and goniometer. Physiother. Theory Pract. 2012, 28, 161–168. [Google Scholar] [CrossRef]
- Werner, B.C.; Holzgrefe, R.E.; Griffin, J.W.; Lyons, M.L.; Cosgrove, C.T.; Hart, J.M.; Brockmeier, S.F. Validation of an innovative method of shoulder range-of-motion measurement using a smartphone clinometer application. J. Shoulder Elbow Surg. 2014, 23, e275–e282. [Google Scholar] [CrossRef]
- Ferriero, G.; Sartorio, F.; Foti, C.; Primavera, D.; Brigatti, E.; Vercelli, S. Reliability of a new application for smartphones (DrGoniometer) for elbow angle measurement. PM&R 2011, 3, 1153–1154. [Google Scholar]
- Johnson, L.B.; Sumner, S.; Duong, T.; Yan, P.; Bajcsy, R.; Abresch, R.T.; de Bie, E.; Han, J.J. Validity and reliability of smartphone magnetometer-based goniometer evaluation of shoulder abduction—A pilot study. Man. Ther. 2015, 20, 777–782. [Google Scholar] [CrossRef] [PubMed]
- Correll, S.; Field, J.; Hutchinson, H.; Mickevicius, G.; Fitzsimmons, A.; Smoot, B. Reliability and Validity of the Halo Digital Goniometer for Shoulder Range of Motion in Healthy Subjects. Int. J. Sports Phys. Ther. 2018, 13, 707–714. [Google Scholar] [CrossRef] [PubMed]
- Bashardoust Tajali, S.; MacDermid, J.C.; Grewal, R.; Young, C. Reliability and Validity of Electro-Goniometric Range of Motion Measurements in Patients with Hand and Wrist Limitations. Open Orthop. J. 2016, 10, 190–205. [Google Scholar] [CrossRef] [PubMed]
- Abd Elrahim, R.; Embaby, E.; Ali, M.; Kamel, R. Inter-rater and intra-rater reliability of Kinovea software for measurement of shoulder range of motion. Bull. Fac. Phys. Ther. 2016, 21, 80. [Google Scholar]
- Clark, R.A.; Paterson, K.; Ritchie, C.; Blundell, S.; Bryant, A.L. Design and validation of a portable, inexpensive and multi-beam timing light system using the Nintendo Wii hand controllers. J. Sci. Med. Sport 2011, 14, 177–182. [Google Scholar] [CrossRef]
- Yazdifar, M.; Yazdifar, M.R.; Mahmud, J.; Esat, I.; Chizari, M. Evaluating the Hip Range of Motion Using the Goniometer and Video Tracking Methods. Procedia Eng. 2013, 68, 77–82. [Google Scholar] [CrossRef]
- Norkin, C.C.; White, D.J. Measurement of Joint Motion: A Guide to Goniometry; F.A. Davis Company: Philadelphia, CO, USA, 2016; ISBN 978-0-8036-5847-9. [Google Scholar]
- Streiner, D.L.; Norman, G.R. Health Measurement Scales; Oxford University Press: Oxford, UK, 2008; ISBN 978-0-19-923188-1. [Google Scholar]
- Koo, T.K.; Li, M.Y. A Guideline of Selecting and Reporting Intraclass Correlation Coefficients for Reliability Research. J. Chiropr. Med. 2016, 15, 155–163. [Google Scholar] [CrossRef]
- Mitchell, K.; Gutierrez, S.B.; Sutton, S.; Morton, S.; Morgenthaler, A. Reliability and validity of goniometric iPhone applications for the assessment of active shoulder external rotation. Physiother. Theory Pract. 2014, 30, 521–525. [Google Scholar] [CrossRef]
- Amorim, H.C.; Cadilha, R.; Santoalha, J.; Rocha, A.; Parada, F. Digital Versus Classic Goniometry in Shoulder Motion Evaluation: An Agreement Pilot Study. Rev. Soc. Port. Med. Física Reabil. 2017, 29. [Google Scholar] [CrossRef]
- Brosseau, L.; Tousignant, M.; Budd, J.; Chartier, N.; Duciaume, L.; Plamondon, S.; O’Sullivan, J.P.; O’Donoghue, S.; Balmer, S. Intratester and intertester reliability and criterion validity of the parallelogram and universal goniometers for active knee flexion in healthy subjects. Physiother. Res. Int. 1997, 2, 150–166. [Google Scholar] [CrossRef] [PubMed]
- Brosseau, L.; Balmer, S.; Tousignant, M.; O’Sullivan, J.P.; Goudreault, C.; Goudreault, M.; Gringras, S. Intra- and intertester reliability and criterion validity of the parallelogram and universal goniometers for measuring maximum active knee flexion and extension of patients with knee restrictions. Arch. Phys. Med. Rehabil. 2001, 82, 396–402. [Google Scholar] [CrossRef] [PubMed]




| Asymptomatic (n = 30) | Symptomatic (n = 20) | |
|---|---|---|
| Age (years) | 35.3 (12.8) | 44.7 (17.5) |
| BMI (kg/m2) | 25.7 (6.2) | 24.7 (1.5) |
| Gender | Males (n = 18) | Males (n = 13) |
| Pain (0–10/10) | 0 | 5.1 (1.9) |
| Duration of symptoms (weeks) | - | 6.2 (3.6) |
| Shoulder disorder | - | n = 15 |
| Elbow disorder | - | n = 0 |
| Wrist disorder | - | n = 10 |
| Movement | Goniometer (SD) | Veloflex-IDA (SD) | Pearson Coefficient | LoA − (%) | LoA + (%) | Mean Difference (%) | SD Difference (%) |
|---|---|---|---|---|---|---|---|
| ShF | 166.87° (5.80°) | 167.07° (5.67°) | 0.986 | −1.70° (1.02%) | 2.11° (1.26%) | 0.20° (0.10%) | 0.97° (0.60%) |
| ShE | 37.78° (8.28°) | 37.78° (8.29°) | 0.999 | −0.69° (1.81%) | 0.68° (1.81%) | −0.01° (0.01%) | 0.35° (1.10%) |
| ShIR | 65.44° (6.07°) | 65.49° (6.14°) | 0.999 | −0.59° (0.89%) | 0.70° (1.06%) | 0.05° (0.10%) | 0.32° (0.50%) |
| ShER | 84.71° (6.085) | 84.71° (6.01°) | 0.997 | −0.86° (1.01%) | 0.86° (1.01%) | −0.01° (0.01%) | 0.44° (0.5%) |
| hAB | 175.50° (5.15°) | 175.54° (5.22°) | 0.997 | −0.70° (0.39%) | 0.79° (0.44%) | 0.04° (0.01%) | 0.38° (0.20%) |
| ElbF | 143.35° (3.84°) | 143.36° (3.84°) | 0.995 | −0.77° (0.53%) | 0.79° (0.55%) | 0.01° (0.01%) | 0.39° (0.30%) |
| WrF | 78.18° (4.30°) | 78.93° (3.89°) | 0.958 | −1.70° (2.17%) | 3.21° (4.10%) | 0.75° (1%) | 1.25° (1.6%) |
| WrE | 66.37° (5.65°) | 66.24° (5.71°) | 0.99 | −1.69° (2.54%) | 1.44° (2.17%) | −0.12° (0.2%) | 0.80° (1.2%) |
| WrPr | 86.83° (3.93°) | 86.87° (3.93°) | 0.996 | −0.64° (0.73%) | 0.72° (0.83%) | 0.04° (0.10%) | 0.34° (0.40%) |
| WrSup | 85.93° (3.77°) | 86.08° (4.01°) | 0.967 | −1.87° (2.17%) | 2.18° (2.53%) | 0.15° (0.20%) | 1.03° (1.20%) |
| WrUlDev | 41.49° (3.63°) | 41.51° (3.57°) | 0.996 | −0.60° (1.43%) | 0.64° (1.54%) | 0.02° (0.1%) | 0.31° (0.8%) |
| WrRadDev | 20.02° (3.08°) | 19.87° (3.08°) | 0.993 | −0.90° (4.47%) | 0.58° (2.92%) | −0.15° (−0.7%) | 0.38° (1.9%) |
| Intra-Rater | Inter-Rater | |||||||
|---|---|---|---|---|---|---|---|---|
| Movement | Retest (SD) | ICC (95% CI) | SEM (SEM%) | MDC | Test (SD) | ICC (95% CI) | SEM (SEM%) | MDC |
| ShF | 166.87° (5.80°) | 0.99 (0.98 to 0.99) | 5.32° (4.65%) | 1.31° | 166.62° (6.54°) | 0.96 (0.93 to 0.98) | 1.09° (0.66%) | 3.04° |
| ShE | 37.69° (8.39°) | 0.99 (0.99 to 0.99) | 0.98° (2.87%) | 1.44° | 37.69° (7.98°) | 0.98 (0.97 to 0.99) | 0.85° (2.26%) | 2.36° |
| ShIR | 65.53° (5.86°) | 0.99 (0.98 to 0.99) | 2.08° (4.02%) | 1.38° | 65.46° (5.95°) | 0.98 (0.97 to 0.99) | 0.66° (1.01%) | 1.85° |
| ShER | 84.60° (5.86°) | 0.99 (0.98 to 0.99) | 2.81° (4.24%) | 1.46° | 83.73° (6.07°) | 0.98 (0.97 to 0.99) | 0.65° (0.77%) | 2.74° |
| ShAB | 175.08° (5.19°) | 0.98 (0.97 to 0.99) | 5.95° (4.93%) | 1.50° | 174.41° (5.06°) | 0.96 (0.93 to 0.98) | 0.91° (0.52%) | 2.75° |
| ElbF | 142.62° (3.92°) | 0.95 (0.91 to 0.98) | 2.22° | 142.65° (3.88°) | 0.92 (0.85 to 0.96) | 1.04° (0.73%) | 2.53° | |
| WrF | 78.18° (4.30°) | 0.97 (0.95 to 0.99) | 2.14° (3.08%) | 1.75° | 78.39° (3.91°) | 0.95 (0.90 to 0.98) | 0.85° (1.07%) | 2.35° |
| WrE | 65.82° (6.17°) | 0.98 (0.96 to 0.99) | 2.47° (5.19%) | 2.25° | 66.09° (6.09°) | 0.98 (0.96 to 0.99) | 0.76° (1.15%) | 2.11° |
| WrPr | 85.01° (3.95°) | 0.96 (0.92 to 0.98) | 1.14° (1.40%) | 2.17° | 85.77° (3.99°) | 0.90 (0.81 to 0.96) | 1.19° (1.39%) | 2.52° |
| WrSup | 85.01° (3.77°) | 0.95 (0.89 to 0.97) | 0.88° (1.03%) | 2.41° | 85.40° (3.43°) | 0.94 (0.88 to 0.97) | 0.85° (1.03%) | 2.61° |
| WrUlDev | 40.71° (3.62°) | 0.96 (0.92 to 0.98) | 1.01° (2.98%) | 1.91° | 41.34° (4.22°) | 0.96 (0.92 to 0.98) | 0.76° (1.84%) | 2.12° |
| WrRadDev | 19.62° (2.95°) | 0.96 (0.91 to 0.98) | 0.84° (4.82%) | 1.74° | 20.18° (2.94°) | 0.96 (0.91 to 0.98) | 0.61° (3.05%) | 1.69° |
| Intra-Rater | Inter-Rater | |||||||
|---|---|---|---|---|---|---|---|---|
| Shoulder Disorder (n = 15) | Test (SD)/Retest (SD) | ICC (95% CI) | SEM (SEM%) | MDC | Test (SD) | ICC (95% CI) | SEM (SEM%) | MDC |
| ShF | 114.49° (53.28°)/114.65° (54.00°) | 0.99 (0.98 to 0.99) | 5.32° (4.65%) | 14.77° | 114.76° (53.68°) | 0.99 (0.99 to 0.99) | 5.37° (4.68%) | 14.88° |
| ShE | 34.08° (9.80°)/33.93° (9.82°) | 0.99 (0.97 to 0.99) | 0.98° (2.87%) | 2.71° | 34.08° (9.50°) | 0.99 (0.97 to 0.99) | 0.95° (2.79%) | 2.63° |
| ShIR | 51.74° (20.78°)/51.87° (21.64°) | 0.99 (0.98 to 0.99) | 2.08° (4.02%) | 5.76° | 51.98° (21.27°) | 0.99 (0.98 to 0.99) | 2.13° (4.09%) | 5.89° |
| ShER | 66.21° (28.10°)/66.21° (28.1°5) | 0.99 (0.99 to 0.99) | 2.81° (4.24%) | 7.79° | 66.36° (27.87°) | 0.99 (0.99 to 0.99) | 2.73° (4.11%) | 7.56° |
| ShAB | 120.49° (59.46°)/120.63° (60.35°) | 0.99 (0.99 to 0.99) | 5.95° (4.93%) | 16.48° | 120.49° (60.17°) | 0.99 (0.99 to 0.99) | 6.02° (4.99%) | 16.68° |
| Wrist disorder (n = 10) | ||||||||
| WrF | 69.40° (21.36°)/68.66° (21.09°) | 0.99 (0.98 to 0.99) | 2.14° (3.08%) | 5.92° | 68.66° (21.08°) | 0.99 (0.98 to 0.99) | 2.11° (3.07%) | 5.84° |
| WrE | 47.52 (24.58°)/46.64° (24.19°) | 0.99 (0.99 to 0.99) | 2.47° (5.19%) | 6.84° | 46.88° (24.48°) | 0.99 (0.99 to 0.99) | 2.45° (5.22%) | 6.79° |
| WrPr | 80.98 (11.38°)/80.06° (10.81°) | 0.99 (0.98 to 0.99) | 1.14° (1.40%) | 3.15° | 80.33° (11.27°) | 0.99 (0.97 to 0.99) | 1.13° (1.40%) | 3.12° |
| WrSup | 84.87 (5.09°)/83.88° (5.13°) | 0.97 (0.89 to 0.99) | 0.88° (1.03%) | 2.44° | 83.85° (4.93°) | 0.95 (0.85 to 0.99) | 1.10° (1.31%) | 3.05° |
| WrUlDev | 33.70 (10.04°)/35.82° (10.79°) | 0.99 (0.97 to 0.98) | 1.01° (2.98%) | 2.78° | 35.70° (10.52°) | 0.99 (0.97 to 0.99) | 1.05° (2.95%) | 2.91° |
| WrRadDev | 17.37 (5.92°)/16.64° (5.57°) | 0.98 (0.92 to 0.99) | 0.84° (4.82%) | 2.32° | 16.73° (5.27°) | 0.96 (0.85 to 0.99) | 1.05° (6.30%) | 2.92° |
© 2019 by the authors. Licensee MDPI, Basel, Switzerland. This article is an open access article distributed under the terms and conditions of the Creative Commons Attribution (CC BY) license (http://creativecommons.org/licenses/by/4.0/).
Share and Cite
Martín-San Agustín, R.; García-Vidal, J.A.; Cánovas-Ambit, G.; Arenas-Della Vecchia, A.; López-Nicolás, M.; Medina-Mirapeix, F. Validity and Reliability of a New Optoelectronic System for Measuring Active Range of Motion of Upper Limb Joints in Asymptomatic and Symptomatic Subjects. J. Clin. Med. 2019, 8, 1851. https://doi.org/10.3390/jcm8111851
Martín-San Agustín R, García-Vidal JA, Cánovas-Ambit G, Arenas-Della Vecchia A, López-Nicolás M, Medina-Mirapeix F. Validity and Reliability of a New Optoelectronic System for Measuring Active Range of Motion of Upper Limb Joints in Asymptomatic and Symptomatic Subjects. Journal of Clinical Medicine. 2019; 8(11):1851. https://doi.org/10.3390/jcm8111851
Chicago/Turabian StyleMartín-San Agustín, Rodrigo, Jose A. García-Vidal, German Cánovas-Ambit, Aurelio Arenas-Della Vecchia, Manuel López-Nicolás, and Francesc Medina-Mirapeix. 2019. "Validity and Reliability of a New Optoelectronic System for Measuring Active Range of Motion of Upper Limb Joints in Asymptomatic and Symptomatic Subjects" Journal of Clinical Medicine 8, no. 11: 1851. https://doi.org/10.3390/jcm8111851
APA StyleMartín-San Agustín, R., García-Vidal, J. A., Cánovas-Ambit, G., Arenas-Della Vecchia, A., López-Nicolás, M., & Medina-Mirapeix, F. (2019). Validity and Reliability of a New Optoelectronic System for Measuring Active Range of Motion of Upper Limb Joints in Asymptomatic and Symptomatic Subjects. Journal of Clinical Medicine, 8(11), 1851. https://doi.org/10.3390/jcm8111851

