Risk of Preeclampsia and Adverse Pregnancy Outcomes after Heterologous Egg Donation: Hypothesizing a Role for Kidney Function and Comorbidity
Abstract
1. Introduction
2. Methods
2.1. Setting of Study
2.2. Selection of the Cases
2.2.1. Egg-Donation
2.2.2. Low-Risk PREGNANCIES
2.3. Selection Criteria
2.4. Data Recorded
- age, ethnicity, parity, baseline BMI; hypertension (pre-existing and gestational); diabetes (previous and gestational);
- diagnosis of PE; diagnosis of HELLP syndrome; gestational week of delivery, type of delivery; baby’s weight at birth, centile;
- need for maternal intensive care unit, need for neonatal intensive care unit, perinatal death, maternal death;
2.5. Statistical Analysis
2.6. Ethical Issues
3. Results
3.1. Characteristics of the Population
3.2. Relationship between Comorbidity and Outcomes
3.3. Characteristics of the Patients with at least One Measure of Serum Creatinine
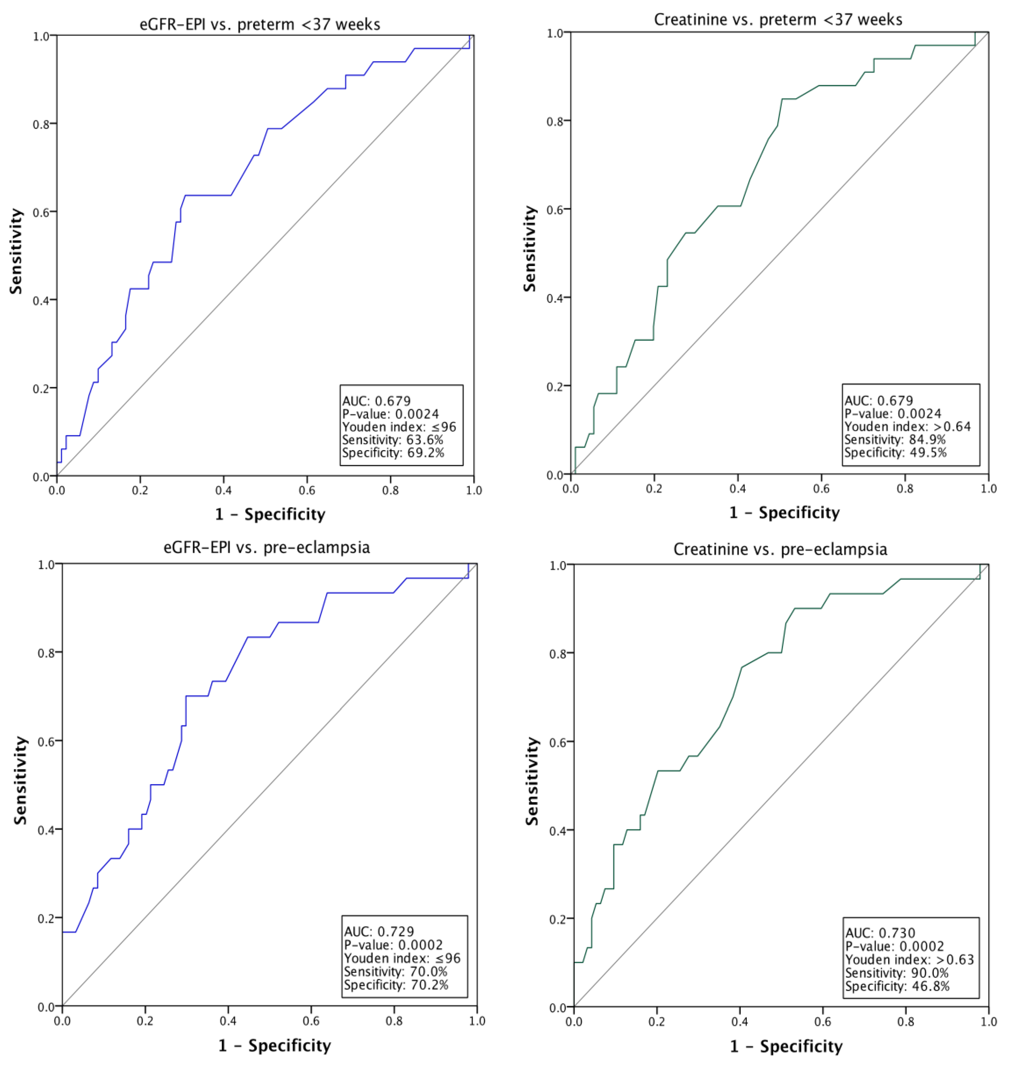
3.4. Relationship between Serum Creatinine and eGFR and Materno-Foetal Outcomes
3.5. Multivariate Analysis
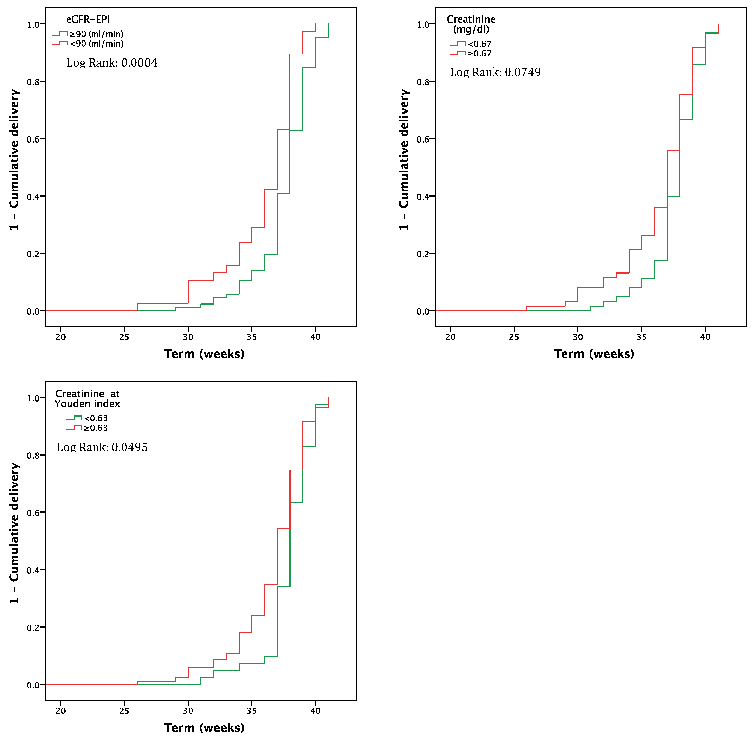
3.6. Analysis of Timing of Delivery
4. Discussion
5. Conclusions
Supplementary Materials
Author Contributions
Funding
Acknowledgments
Conflicts of Interest
References
- Storgaard, M.; Loft, A.; Bergh, C.; Wennerholm, U.B.; Söderström-Anttila, V.; Romundstad, L.B.; Aittomaki, K.; Oldereid, N.; Forman, J.; Pinborg, A. Obstetric and neonatal complications in pregnancies conceived after oocyte donation: A systematic review and meta-analysis. BJOG 2017, 124, 561–572. [Google Scholar] [CrossRef] [PubMed]
- Savasi, V.M.; Mandia, L.; Laoreti, A.; Cetin, I. Maternal and fetal outcomes in oocyte donation pregnancies. Hum. Reprod. Update 2016, 22, 620–633. [Google Scholar] [CrossRef] [PubMed]
- Lean, S.C.; Derricott, H.; Jones, R.L.; Heazell, A.E.P. Advanced maternal age and adverse pregnancy outcomes: A systematic review and meta-analysis. PLoS ONE 2017, 12, e0186287. [Google Scholar] [CrossRef] [PubMed]
- Argyle, C.E.; Harper, J.C.; Davies, M.C. Oocyte cryopreservation: Where are we now? Hum. Reprod. Update 2016, 22, 440–449. [Google Scholar] [CrossRef]
- Blázquez, A.; García, D.; Rodríguez, A.; Vassena, R.; Figueras, F.; Vernaeve, V. Is oocyte donation a risk factor for preeclampsia? A systematic review and meta-analysis. J. Assist. Reprod. Genet. 2016, 33, 855–863. [Google Scholar] [CrossRef]
- Qin, J.B.; Wang, H.; Sheng, X.; Xie, Q.; Gao, S. Assisted reproductive technology and risk of adverse obstetric outcomes in dichorionic twin pregnancies: A systematic review and meta-analysis. Fertil. Steril. 2016, 105, 1180–1192. [Google Scholar] [CrossRef]
- Masoudian, P.; Nasr, A.; de Nanassy, J.; Fung-Kee-Fung, K.; Bainbridge, S.A.; El Demellawy, D. Oocyte donation pregnancies and the risk of preeclampsia or gestational hypertension: A systematic review and metaanalysis. Am. J. Obstet. Gynecol. 2016, 214, 328–339. [Google Scholar] [CrossRef]
- Letur, H.; Peigné, M.; Ohl, J.; Cédrin-Durnerin, I.; Mathieu-D'Argent, E.; Scheffler, F.; Grzegorczyk-Martin, V.; de Mouzon, J. Hypertensive pathologies and egg donation pregnancies: Results of a large comparative cohort study. Fertil. Steril. 2016, 106, 284–290. [Google Scholar] [CrossRef][Green Version]
- Tarlatzi, T.B.; Imbert, R.; Alvaro Mercadal, B.; Demeestere, I.; Venetis, C.A.; Englert, Y.; Delbaere, A. Does oocyte donation compared with autologous oocyte IVF pregnancies have a higher risk of preeclampsia? Reprod. Biomed. Online 2017, 34, 11–18. [Google Scholar] [CrossRef]
- Yogev, Y.; Melamed, N.; Bardin, R.; Tenenbaum-Gavish, K.; Ben-Shitrit, G.; Ben-Haroush, A. Pregnancy outcome at extremely advanced maternal age. Am. J. Obstet. Gynecol. 2010, 203, e1–e7. [Google Scholar] [CrossRef]
- Boria, F.; de la Calle, M.; Cuerva, M.; Sainz, A.; Bartha, J.L. Impact of oocyte donation on obstetric and perinatal complications in twin pregnancies. J. Matern. Fetal Neonatal Med. 2018, 1–4. [Google Scholar] [CrossRef] [PubMed]
- Schwarze, J.E.; Borda, P.; Vásquez, P.; Ortega, C.; Villa, S.; Crosby, J.A.; Pommer, R. Is the risk of preeclampsia higher in donor oocyte pregnancies? A systematic review and meta-analysis. JBRA Assist. Reprod. 2018, 22, 15–19. [Google Scholar] [CrossRef] [PubMed]
- Lee, F.K.; Horng, H.C.; Wang, P.H. Assisted reproductive technology and adverse pregnancy outcome- focus on maternal death. J. Chin. Med. Assoc. 2018, 81, 933–934. [Google Scholar] [CrossRef] [PubMed]
- Davies, M.J.; Rumbold, A.R.; Moore, V.M. Assisted reproductive technologies: A hierarchy of risks for conception, pregnancy outcomes and treatment decisions. J. Dev. Orig. Health Dis. 2017, 8, 443–447. [Google Scholar] [CrossRef] [PubMed]
- van der Hoorn, M.L.; Scherjon, S.A.; Claas, F.H. Egg donation pregnancy as an immunological model for solid organ transplantation. Transpl. Immunol. 2011, 25, 89–95. [Google Scholar] [CrossRef]
- van der Hoorn, M.L.; Lashley, E.E.; Bianchi, D.W.; Claas, F.H.; Schonkeren, C.M.; Scherjon, S.A. Clinical and immunologic aspects of egg donation pregnancies: A systematic review. Hum. Reprod. Update 2010, 16, 704–712. [Google Scholar] [CrossRef]
- Martínez-Varea, A.; Pellicer, B.; Perales-Marín, A.; Pellicer, A. Relationship between maternal immunological response during pregnancy and onset of preeclampsia. J. Immunol. Res. 2014, 2014, 210241. [Google Scholar] [CrossRef]
- Saito, S.; Nakabayashi, Y.; Nakashima, A.; Shima, T.; Yoshino, O. A new era in reproductive medicine: Consequences of third-party oocyte donation for maternal and fetal health. Semin. Immunopathol. 2016, 38, 687–697. [Google Scholar] [CrossRef]
- van der Hoorn, M.P.; van Egmond, A.; Swings, G.M.J.S.; van Beelen, E.; van der Keur, C.; Tirado-González, I.; Blois, S.M.; Karumanchi, S.A.; Bianchi, D.W.; Claas, F.H.J.; et al. Differential immunoregulation in successful oocyte donation pregnancies compared with naturally conceived pregnancies. J. Reprod. Immunol. 2014, 101, 96–103. [Google Scholar] [CrossRef]
- Zhang, J.J.; Ma, X.X.; Hao, L.; Liu, L.J.; Lv, J.C.; Zhang, H. A Systematic Review and Meta-Analysis of Outcomes of Pregnancy in CKD and CKD Outcomes in Pregnancy. Clin. J. Am. Soc. Nephrol. 2015, 10, 1964–1978. [Google Scholar] [CrossRef]
- Piccoli, G.B.; Cabiddu, G.; Attini, R.; Vigotti, F.N.; Maxia, S.; Lepori, N.; Tuveri, M.; Massidda, M.; Marchi, C.; Mura, S.; et al. Risk of Adverse Pregnancy Outcomes in Women with CKD. J. Am. Soc. Nephrol. 2015, 26, 2011–2022. [Google Scholar] [CrossRef] [PubMed]
- Piccoli, G.B.; Alrukhaimi, M.; Liu, Z.H.; Zakharova, E.; Levin, A.; World Kidney Day Steering Committee. What we do and do not know about women and kidney diseases; questions unanswered and answers unquestioned: Reflection on World Kidney Day and International Women’s Day. J. Nephrol. 2018, 31, 173–184. [Google Scholar] [CrossRef] [PubMed]
- Webster, P.; Lightstone, L.; McKay, D.B.; Josephson, M.A. Pregnancy in chronic kidney disease and kidney transplantation. Kidney Int. 2017, 91, 1047–1056. [Google Scholar] [CrossRef] [PubMed]
- Piccoli, G.B.; Zakharova, E.; Attini, R.; Ibarra Hernandez, M.; Orozco Guillien, A.; Alrukhaimi, M.; Liu, Z.H.; Ashuntantang, G.; Covella, B.; Cabiddu, G.; et al. Pregnancy in Chronic Kidney Disease: Need for Higher Awareness. A Pragmatic Review Focused on What Could Be Improved in the Different CKD Stages and Phases. J. Clin. Med. 2018, 7, 415. [Google Scholar] [CrossRef] [PubMed]
- He, Y.; Liu, J.; Cai, Q.; Lv, J.; Yu, F.; Chen, Q.; Zhao, M. The pregnancy outcomes in patients with stage 3-4 chronic kidney disease and the effects of pregnancy in the long-term kidney function. J. Nephrol. 2018, 31, 953–960. [Google Scholar] [CrossRef] [PubMed]
- Attini, R.; Kooij, I.; Montersino, B.; Fassio, F.; Gerbino, M.; Biolcati, M.; Versino, E.; Todros, T.; Piccoli, G.B. Reflux nephropathy and the risk of preeclampsia and of other adverse pregnancy-related outcomes: A systematic review and meta-analysis of case series and reports in the new millennium. J. Nephrol. 2018, 31, 833–846. [Google Scholar] [CrossRef]
- Lindheim, S.R.; Klock, S.C. Oocyte donation: Lessons from the past, directions for the future. Fertil. Steril. 2018, 110, 979–980. [Google Scholar] [CrossRef]
- Piccoli, G.B.; Cabiddu, G. Pregnancy and kidney disease: From medicine based on exceptions to exceptional medicine. J. Nephrol. 2017, 30, 303–305. [Google Scholar] [CrossRef]
- Vikse, B.E.; Irgens, L.M.; Leivestad, T.; Skjaerven, R.; Iversen, B.M. Preeclampsia and the risk of end-stage renal disease. N. Engl. J. Med. 2008, 359, 800–809. [Google Scholar] [CrossRef]
- Kattah, A.G.; Scantlebury, D.C.; Agarwal, S.; Mielke, M.M.; Rocca, W.A.; Weaver, A.L.; Vaughan, L.E.; Miller, V.M.; Weissgerber, T.L.; White, W.; et al. Preeclampsia and ESRD: The Role of Shared Risk Factors. Am. J. Kidney Dis. 2017, 69, 498–505. [Google Scholar] [CrossRef]
- Hamano, T. Women with a history of preeclampsia should be monitored for the onset and progression of chronic kidney disease. Nat. Clin. Pract. Nephrol. 2009, 5, 8–9. [Google Scholar] [CrossRef] [PubMed]
- Piccoli, G.B.; Cabiddu, G.; Castellino, S.; Gernone, G.; Santoro, D.; Moroni, G.; Spotti, D.; Giacchino, F.; Attini, R.; Limardo, M.; et al. A best practice position statement on the role of the nephrologist in the prevention and follow-up of preeclampsia: The Italian study group on kidney and pregnancy. J. Nephrol. 2017, 30, 307–317. [Google Scholar] [CrossRef] [PubMed]



| Whole Population | Egg Donation | |||||
|---|---|---|---|---|---|---|
| Egg donation (n = 296) | Controls (n = 1407) | p-Values | No Conorbidity (n = 178) | Comorbidity (n = 118) | p-Values | |
| Age (years), median (min–max) | 44 (31–56) | 31 (15–49) | <0.0001 | 44 (31–56) | 43 (33–52) | 0.3797 |
| Parity, n. first (%) | 259 (87.5%) | 803 (57.1%) | <0.0001 | 151 (84.8%) | 108 (91.5%) | 0.0887 |
| BMI (kg·m−2), median (min–max) | 22.7 (15.6–35.5) | 22.4 (15.0–39.7) | 0.9102 | 22.7 (16.8–33.7) | 23.6 (15.6–35.5) | 0.9598 |
| Hypertension during pregnancy, n (%) * | 74 (25.0%) | - | - | 31 (17.4%) | 43 (36.4%) | 0.0002 |
| Gestational hypertension, n (%) | 60 (20.3%) | - | - | 31 (17.4%) | 29 (24.6%) | 0.1342 |
| Preeclampsia, n (%) | 33 (11.1%) | 24 (1.7%) | <0.0001 | 16 (9.0%) | 17 (14.4%) | 0.1477 |
| Centiles at birth, median (min–max) | 55 (0–100) | 45 (0–100) | 0.0051 | 60 (1–100) | 48 (0–100) | 0.0071 |
| Creatinine (mg·dL−1), median (min–max)/n | 0.67 (0.26–1.94) / 124 | - | - | 0.67 (0.26–1.94) /61 | 0.68 (0.46–1.70) /63 | 0.3197 |
| eGFR-EPI (mL·min−1), median (min–max) | 103 (31–151) | - | - | 103 (33–151) / 61 | 103 (31–129) / 63 | 0.7929 |
| GFR < 90 (mL·min−1), n (%) | 38 (30.6%) | - | - | 18 (29.5%) /61 | 20 (31.7%) /63 | 0.7878 |
| Caesarean section, n (%) | 210 (70.9%) | 265 (23.6%) | <0.0001 | 128 (71.9%) | 82 (69.5%) | 0.6542 |
| Size for GA Small, n (%) Adequate, n (%) Large, n (%) | 27 (9.1%) 232 (78.4%) 37 (12.5%) | 142 (10.1%) 1154 (82.0%) 107 (7.6%) | 0.0230 | 12 (6.7%) 138 (77.5%) 28 (15.8%) | 15 (12.7%) 94 (79.7%) 9 (7.6%) | 0.0380 |
| Pre-term <37 weeks, n (%) <34 weeks, n (%) <32 weeks, n (%) | 48 (16.2%) 18 (6.1%) 11 (3.7%) | 88 (6.3%) 13 (0.9%) 7 (0.5%) | <0.0001 <0.0001 <0.0001 | 24 (13.5%) 10 (12.8%) 7 (3.9%) | 24 (20.3%) 8 (6.8%) 4 (3.4%) | 0.1178 0.6827 0.8093 |
| According to the Main Conditions | p-Value | According to Groups | p-Value | ||||||
|---|---|---|---|---|---|---|---|---|---|
| No Risk | Thyroid | Auto-Immune | Renal | Other | Autoimmune and Thyroid | Renal and Other | |||
| n (%) | 178 (60.1%) | 56 (18.9%) | 19 (6.4%) | 11 (3.7%) | 32 (10.8%) | 75 (25.3%) | 43 (14.5%) | ||
| Age (years), median (min–max) | 44 (31–56) | 43 (33–50) | 44 (34–51) | 43 (34–47) | 45 (33–52) | 0.5956 | 43 (33–51) | 43 (33–52) | 0.7599 |
| Parity, n. first (%) | 151 (84.8%) | 48 (85.7%) | 19 (100%) | 11 (100%) | 30 (93.8%) | 0.1497 | 67 (89.3%) | 41 (95.3%) | 0.2608 |
| BMI (kg·m−2), median (min–max) | 22.7 (16.8–33.7) | 21.5 (17.6–33.3) | 21.8 (19.4–34.4) | 24.6 (18.7–34.0) | 25.2 (15.6–35.5) | 0.2246 | 21.6 (17.6–34.4) | 24.9 (15.6–35.5) | 0.0267 |
| Hypertension during pregnancy, n (%) * | 31 (17.4%) | 18 (32.1%) | 5 (26.3%) | 7 (63.6%) | 13 (40.6%) | 0.0005 | 23 (30.7%) | 20 (40.6%) | 0.0865 |
| Gestational hypertension, n (%) | 31 (17.4%) | 18 (32.1%) | 4 (21.1%) | 5 (45.5%) | 2 (6.2%) | 0.0073 | 22 (29.3%) | 7 (16.3%) | 0.1145 |
| Pre-eclampsia, n (%) | 16 (9.0%) | 6 (10.7%) | 1 (5.3%) | 4 (36.4%) | 6 (18.8%) | 0.0336 | 7 (9.3%) | 10 (23.3%) | 0.0390 |
| Centiles at birth, median (min–max) | 60 (1–100) | 48 (1–99) | 54 (4–100) | 59 (1–95) | 44 (0–90) | 0.0949 | 48 (1–100) | 46 (0–95) | 0.4862 |
| Caesarean section, n (%) | 128 (71.9%) | 39 (69.9%) | 17 (89.5%) | 8 (72.7%) | 18 (56.2%) | 0.0177 | 56 (74.7%) | 26 (60.5%) | 0.0072 |
| Size for GA Small, n (%) Adeq, n (%) Large, n (%) | 12 (6.7%) 138 (77.5%) 28 (15.8%) | 4 (7.1%) 47 (83.9%) 5 (8.9%) | 3 (15.8%) 13 (68.4%) 3 (15.8%) | 3 (27.3%) 7 (63.6%) 1 (9.0%) | 5 (15.6%) 27 (84.4%) 0 (0%) | 0.0595 ** | 7 (9.3%) 60 (80.0%) 8 (10.7%) | 8 (18.6%) 34 (79.1%) 1 (2.3%) | 0.1139 |
| Pre-term <37, n (%) <34, n (%) <32, n (%) | 24 (13.5%) 10 (12.8%) 7 (3.9%) | 9 (16.1%) 3 (5.4%) 2 (3.5%) | 2 (10.5%) 0 0 | 3 (27.3%) 1 (9.0%) 0 | 10 (31.3%) 4 (12.5%) 2 (6.3%) | 0.1014 0.4293 0.7800 | 11 (14.7%) 3 (4.0%) 2 (2.7%) | 13 (30.2%) 5 (11.6%) 2 (4.7%) | 0.0441 0.1142 0.5681 |
| All | sCr Available | sCr not Available | p-Values | |
|---|---|---|---|---|
| n (%) | 296 (100%) | 124 (41.9%) | 172 (58.1%) | |
| Age (years), median (min–max) | 44 (31–56) | 44 (31–56) | 43 (33–52) | 0.0813 |
| Parity, n. first (%) | 259 (87.5%) | 116 (93.6%) | 143 (83.1%) | 0.0077 |
| BMI (kg·m−2), median (min–max) | 22.7 (15.6–35.5) | 22.6 (15.6–35.5) | 22.6 (16.8–33.7) | 0.4934 |
| Presence of comorbidity Autoimmune, n (%) Thyroid, n (%) Renal, n (%) Other, n (%) None, n (%) | 19 (6.4%) 56 (18.9%) 11 (3.7%) 32 (10.8%) 178 (60.1%) | 11 (8.9%) 21 (16.9%) 10 (8.1%) 21 (16.9%) 61 (49.2%) | 8 (4.7%) 35 (20.3%) 1 (0.6%) 11 (6.4%) 117 (68.0%) | 0.0001 ** |
| Centile at birth, median (min–max) | 55 (0–100) | 54 (0–100) | 58 (1–100) | 0.0908 |
| Pre-eclampsia, n (%) | 33 (11.1%) | 30 (24.2%) | 3 (1.7%) | <0.0001 |
| Hypertension during pregnancy, n (%) * | 74 (25.0%) | 64 (51.6%) | 10 (5.8%) | <0.0001 |
| Gestational hypertension, n (%) | 60 (20.3%) | 51 (41.1%) | 9 (5.2%) | <0.0001 |
| Caesarean section, n (%) | 210 (70.9%) | 98 (79.0%) | 112 (65.1%) | 0.0094 |
| Size for GA Small, n (%) Adeq, n (%) Large, n (%) | 27 (9.1%) 232 (78.4%) 37 (12.5%) | 16 (12.9%) 97 (78.2%) 11 (8.9%) | 11 (6.4%) 135 (78.5%) 26 (15.1%) | 0.0610 ** |
| Pre-term <37, n (%) <34, n (%) <32, n (%) | 48 (16.2%) 18 (6.1%) 11 (3.7%) | 33 (26.6%) 11 (8.9%) 6 (4.8%) | 15 (8.7%) 7 (4.1%) 5 (2.9%) | <0.0001 0.0887 0.3868 |
| According to Creatinine (mg/dL) | p-Values | According to eGFR (mL/min) | p-Values | |||
|---|---|---|---|---|---|---|
| sCr ≥ 0.67 | sCr < 0.67 | GFR < 90 | GFR ≥ 90 | |||
| n (%) | 68 (54.8%) | 56 (45.2%) | 38 (30.6%) | 86 (69.4%) | ||
| Age, median (min–max) | 44 (32–55) | 44 (31–56) | 0.8363 | 45 (38–55) | 44 (31–56) | 0.1993 |
| Parity, n. first (%) | 64 (94.1%) | 52 (92.9%) | 0.7770 | 36 (94.7%) | 80 (93.0%) | 0.7214 |
| BMI (kg·m−2), median (min–max) | 22.0 (15.6–35.5) | 22.8 (17.1–34.4) | 0.8889 | 22.3 (15.6–34.0) | 22.8 (17.1–35.5) | 0.8816 |
| No comorbidity, n (%) | 31 (45.6%) | 30 (53.6%) | 0.3781 | 18 (47.4%) | 60 (69.8%) | 0.7878 |
| Centiles at birth, median (min–max) | 54 (0–98) | 55 (1–100) | 0.4483 | 40 (0–98) | 58 (0–100) | 0.1172 |
| Pre-eclampsia, n (%) | 24 (35.3%) | 6 (10.7%) | 0.0015 | 15 (39.5%) | 15 (17.4%) | 0.0085 |
| Hypertension during pregnancy, n (%) * | 43 (63.2%) | 21 (37.5%) | 0.0045 | 29 (76.3%) | 35 (40.7%) | 0.0003 |
| Gestational hypertension, n (%) | 31 (45.6%) | 20 (35.7%) | 0.2681 | 19 (50.0%) | 32 (37.2%) | 0.1838 |
| Creatinine (mg·dL−1), median (min max) | 0.75 (0.67–1.94) | 0.57 (0.26–0.66) | <0.0001 | 0.86 (0.69–1.94) | 0.63 (0.26–0.86) | <0.0001 |
| GFR-EPI (mL·min−1), median (min-max) | 87 (31–114) | 114 (93–151) | <0.0001 | 78 (31–89) | 108 (90–151) | <0.0001 |
| Caesarean section, n (%) | 53 (77.9%) | 45 (80.4%) | 0.7432 | 32 (84.2%) | 66 (76.7%) | 0.3484 |
| Size for GA Small, n (%) Adeq, n (%) Large, n (%) | 9 (13.2%) 55 (80.9%) 4 (5.9%) | 7 (12.5%) 42 (75.0%) 7 (12.5%) | 0.4350 | 6 (15.8%) 29 (76.3%) 3 (7.9%) | 10 (11.6%) 68 (79.1%) 8 (9.3%) | 0.8033 ** |
| Pre-term <37, n (%) <34, n (%) <32, n (%) | 25 (36.8%) 9 (13.2%) 5 (7.4%) | 8 (14.3%) 2 (3.6%) 1 (1.8%) | 0.0050 0.0607 0.1522 | 16 (42.1%) 6 (15.8%) 4 (10.5%) | 17 (19.8%) 5 (5.8%) 2 (2.3%) | 0.0098 0.0728 0.0507 |
| Preeclampsia | p-Values | OR | CI 95% OR | ||
| Lower | Higher | ||||
| First step | Age (dichotomised at the median: 44y) | 0.326 | 1.456 | 0.688 | 3.082 |
| BMI (dichotomised at 30 kg/m2) | 0.306 | 1.781 | 0.589 | 5.381 | |
| Parity (1st vs. other) | 0.165 | 0.236 | 0.031 | 1.807 | |
| Comorbidity (renal and other) | 0.056 | 2.355 | 0.979 | 5.667 | |
| Last step | Parity | 0.152 | 0.227 | 0.030 | 1.725 |
| Comorbidity (renal and other) | 0.035 | 2.513 | 1.066 | 5.923 | |
| Delivery < 37 Weeks | p-Values | OR | CI 95% OR | ||
| Lower | Higher | ||||
| First step | Age (dichotomised at the median) | 0.910 | 0.963 | 0.504 | 1.840 |
| BMI (dichotomised at 30 kg/m2) | 0.694 | 1.244 | 0.418 | 3.700 | |
| Parity (1st vs other) | 0.914 | 0.946 | 0.342 | 2.615 | |
| Comorbidity (renal and other) | 0.023 | 2.477 | 1.136 | 5.398 | |
| Last step | Comorbidity (renal and other) | 0.015 | 2.565 | 1.198 | 5.488 |
| Small for Gestational Age | p-Values | OR | CI 95% OR | ||
| Lower | Higher | ||||
| First step | Age (dichotomised at the median) | 0.757 | 0.876 | 0.380 | 2.020 |
| BMI (dichotomised at 30 kg/m2) | 0.291 | 0.325 | 0.040 | 2.617 | |
| Parity (1st vs other) | 0.484 | 0.586 | 0.131 | 2.622 | |
| Comorbidity (renal and other) | 0.048 | 2.634 | 1.011 | 6.866 | |
| Last step | Comorbidity (renal and other) | 0.060 | 2.453 | 0.961 | 6.257 |
| Preeclampsia | p-Values | OR | CI 95% OR | ||
| Lower | Higher | ||||
| First step | Age (dichotomised at the median) | 0.472 | 1.342 | 0.603 | 2.986 |
| BMI (dichotomised at 30 kg/m2) | 0.339 | 1.478 | 0.664 | 3.291 | |
| Parity (1st vs. other) | 0.312 | 0.340 | 0.042 | 2.756 | |
| Comorbidity (renal and other) | 0.880 | 1.063 | 0.480 | 2.357 | |
| sCreat. (dichotomised at the median) | <0.001 | 15.809 | 4.631 | 53.968 | |
| Last step | sCreat. (dichotomised at the median) | <0.001 | 17.277 | 5.125 | 58.238 |
| Delivery <37 weeks | p-Values | OR | CI 95% OR | ||
| Lower | Higher | ||||
| First step | Age (dichotomised at the median) | 0.864 | 1.075 | 0.467 | 2.474 |
| BMI (dichotomised at 30 kg/m2) | 0.616 | 0.689 | 0.161 | 2.955 | |
| Parity (1st vs. other) | 0.972 | 1.031 | 0.186 | 5.711 | |
| Comorbidity (renal and other) | 0.346 | 1.596 | 0.603 | 4.224 | |
| sCreat. (dichotomised at the median) | 0.062 | 2.315 | 0.958 | 5.593 | |
| Last step | sCreat. (dichotomised at the median) | 0.029 | 2.545 | 1.100 | 5.892 |
| Small for Gestational Age | p-Values | OR | CI 95% OR | ||
| Lower | Higher | ||||
| First step | Age (dichotomised at the median) | 0.550 | 1.402 | 0.463 | 4.243 |
| BMI (dichotomised at 30 kg/m2) | 0.585 | 0.543 | 0.061 | 4.865 | |
| Parity (1st vs. other) | 0.779 | 1.377 | 0.148 | 12.830 | |
| Comorbidity (renal and other) | 0.082 | 3.038 | 0.867 | 10.644 | |
| sCreat. (dichotomised at the median) | 0.535 | 0.687 | 0.210 | 2.251 | |
| Last step | Comorbidity (renal and other) | 0.141 | 2.333 | 0.755 | 7.210 |
© 2019 by the authors. Licensee MDPI, Basel, Switzerland. This article is an open access article distributed under the terms and conditions of the Creative Commons Attribution (CC BY) license (http://creativecommons.org/licenses/by/4.0/).
Share and Cite
Fassio, F.; Attini, R.; Masturzo, B.; Montersino, B.; Chatrenet, A.; Saulnier, P.; Cabiddu, G.; Revelli, A.; Gennarelli, G.; Gazzani, I.B.; et al. Risk of Preeclampsia and Adverse Pregnancy Outcomes after Heterologous Egg Donation: Hypothesizing a Role for Kidney Function and Comorbidity. J. Clin. Med. 2019, 8, 1806. https://doi.org/10.3390/jcm8111806
Fassio F, Attini R, Masturzo B, Montersino B, Chatrenet A, Saulnier P, Cabiddu G, Revelli A, Gennarelli G, Gazzani IB, et al. Risk of Preeclampsia and Adverse Pregnancy Outcomes after Heterologous Egg Donation: Hypothesizing a Role for Kidney Function and Comorbidity. Journal of Clinical Medicine. 2019; 8(11):1806. https://doi.org/10.3390/jcm8111806
Chicago/Turabian StyleFassio, Federica, Rossella Attini, Bianca Masturzo, Benedetta Montersino, Antoine Chatrenet, Patrick Saulnier, Gianfranca Cabiddu, Alberto Revelli, Gianluca Gennarelli, Isabella Bianca Gazzani, and et al. 2019. "Risk of Preeclampsia and Adverse Pregnancy Outcomes after Heterologous Egg Donation: Hypothesizing a Role for Kidney Function and Comorbidity" Journal of Clinical Medicine 8, no. 11: 1806. https://doi.org/10.3390/jcm8111806
APA StyleFassio, F., Attini, R., Masturzo, B., Montersino, B., Chatrenet, A., Saulnier, P., Cabiddu, G., Revelli, A., Gennarelli, G., Gazzani, I. B., Muccinelli, E., Plazzotta, C., Menato, G., & Piccoli, G. B. (2019). Risk of Preeclampsia and Adverse Pregnancy Outcomes after Heterologous Egg Donation: Hypothesizing a Role for Kidney Function and Comorbidity. Journal of Clinical Medicine, 8(11), 1806. https://doi.org/10.3390/jcm8111806

