Prognostic Value of 18F-FDG PET/CT-Derived Secondary Lymphoid Organ Ratios and Hematologic Inflammation Markers in Advanced Non-Small Cell Lung Cancer Treated with Nivolumab
Abstract
1. Introduction
2. Materials and Methods
2.1. Study Design and Participants
2.2. Endpoints and Definitions
2.3. Hematologic and Inflammatory Markers
2.4. PET/CT Imaging Protocol
2.5. Image Analysis
2.6. Statistical Analysis
3. Results
3.1. Patient Characteristics
3.2. Inflammatory Markers
3.3. PET/CT Metabolic Parameters and Survival Analysis
3.4. Relationship Between PET Parameters and Inflammatory Biomarkers
3.5. Exploratory Longitudinal PET/CT Analysis
4. Discussion
5. Conclusions
Supplementary Materials
Author Contributions
Funding
Institutional Review Board Statement
Informed Consent Statement
Data Availability Statement
Acknowledgments
Conflicts of Interest
References
- Siegel, R.L.; Giaquinto, A.N.; Jemal, A. Cancer statistics, 2024. CA Cancer J. Clin. 2024, 74, 12–49. [Google Scholar] [CrossRef]
- Borghaei, H.; Paz-Ares, L.; Horn, L.; Spigel, D.R.; Steins, M.; Ready, N.E.; Chow, L.Q.; Vokes, E.E.; Felip, E.; Holgado, E. Nivolumab versus docetaxel in advanced nonsquamous non–small-cell lung cancer. N. Engl. J. Med. 2015, 373, 1627–1639. [Google Scholar] [CrossRef] [PubMed]
- Borghaei, H.; Gettinger, S.; Vokes, E.E.; Chow, L.Q.; Burgio, M.A.; de Castro Carpeno, J.; Pluzanski, A.; Arrieta, O.; Frontera, O.A.; Chiari, R. Five-year outcomes from the randomized, phase III trials checkmate 017 and 057: Nivolumab versus docetaxel in previously treated non–small-cell lung cancer. J. Clin. Oncol. 2021, 39, 723–733. [Google Scholar] [CrossRef] [PubMed]
- Frost, N.; Reck, M. Immuntherapie des nichtkleinzelligen Lungenkarzinoms (NSCLC). Die Inn. Med. 2022, 63, 709–716. [Google Scholar] [CrossRef]
- Rizvi, N.A.; Hellmann, M.D.; Snyder, A.; Kvistborg, P.; Makarov, V.; Havel, J.J.; Lee, W.; Yuan, J.; Wong, P.; Ho, T.S. Mutational landscape determines sensitivity to PD-1 blockade in non–small cell lung cancer. Science 2015, 348, 124–128. [Google Scholar] [CrossRef]
- Hellmann, M.D.; Paz-Ares, L.; Bernabe Caro, R.; Zurawski, B.; Kim, S.-W.; Carcereny Costa, E.; Park, K.; Alexandru, A.; Lupinacci, L.; de la Mora Jimenez, E. Nivolumab plus ipilimumab in advanced non–small-cell lung cancer. N. Engl. J. Med. 2019, 381, 2020–2031. [Google Scholar] [CrossRef]
- Templeton, A.J.; McNamara, M.G.; Šeruga, B.; Vera-Badillo, F.E.; Aneja, P.; Ocaña, A.; Leibowitz-Amit, R.; Sonpavde, G.; Knox, J.J.; Tran, B. Prognostic role of neutrophil-to-lymphocyte ratio in solid tumors: A systematic review and meta-analysis. J. Natl. Cancer Inst. 2014, 106, dju124. [Google Scholar] [CrossRef]
- Wang, Y.; Li, Y.; Chen, P.; Xu, W.; Wu, Y.; Che, G. Prognostic value of the pretreatment systemic immune-inflammation index (SII) in patients with non-small cell lung cancer: A meta-analysis. Ann. Transl. Med. 2019, 7, 433. [Google Scholar] [CrossRef]
- Seban, R.-D.; Assié, J.-B.; Giroux-Leprieur, E.; Massiani, M.-A.; Bonardel, G.; Chouaid, C.; Deleval, N.; Richard, C.; Mezquita, L.; Girard, N. Prognostic value of inflammatory response biomarkers using peripheral blood and [18F]-FDG PET/CT in advanced NSCLC patients treated with first-line chemo-or immunotherapy. Lung Cancer 2021, 159, 45–55. [Google Scholar] [CrossRef] [PubMed]
- Sachpekidis, C.; Weru, V.; Kopp-Schneider, A.; Hassel, J.C.; Dimitrakopoulou-Strauss, A. The prognostic value of [18F] FDG PET/CT based response monitoring in metastatic melanoma patients undergoing immunotherapy: Comparison of different metabolic criteria. Eur. J. Nucl. Med. Mol. Imaging 2023, 50, 2699–2714. [Google Scholar] [CrossRef]
- Prigent, K.; Lasnon, C.; Ezine, E.; Janson, M.; Coudrais, N.; Joly, E.; Césaire, L.; Stefan, A.; Depontville, M.; Aide, N. Assessing immune organs on 18F-FDG PET/CT imaging for therapy monitoring of immune checkpoint inhibitors: Inter-observer variability, prognostic value and evolution during the treatment course of melanoma patients. Eur. J. Nucl. Med. Mol. Imaging 2021, 48, 2573–2585. [Google Scholar] [CrossRef] [PubMed]
- Cao, D.; Xu, H.; Xu, X.; Guo, T.; Ge, W. A reliable and feasible way to predict the benefits of Nivolumab in patients with non-small cell lung cancer: A pooled analysis of 14 retrospective studies. Oncoimmunology 2018, 7, e1507262. [Google Scholar] [CrossRef]
- Schwenck, J.; Schörg, B.; Fiz, F.; Sonanini, D.; Forschner, A.; Eigentler, T.; Weide, B.; Martella, M.; Gonzalez-Menendez, I.; Campi, C. Cancer immunotherapy is accompanied by distinct metabolic patterns in primary and secondary lymphoid organs observed by non-invasive in vivo 18F-FDG-PET. Theranostics 2020, 10, 925. [Google Scholar] [CrossRef]
- Lee, J.W.; Kim, S.Y.; Han, S.W.; Lee, J.E.; Lee, H.J.; Heo, N.H.; Lee, S.M. [18F] FDG uptake of bone marrow on PET/CT for predicting distant recurrence in breast cancer patients after surgical resection. EJNMMI Res. 2020, 10, 72. [Google Scholar] [CrossRef]
- Shimura, K.; Mabuchi, S.; Komura, N.; Yokoi, E.; Kozasa, K.; Sasano, T.; Kawano, M.; Matsumoto, Y.; Watabe, T.; Kodama, M. Prognostic significance of bone marrow FDG uptake in patients with gynecological cancer. Sci. Rep. 2021, 11, 2257. [Google Scholar] [CrossRef]
- Rahman, W.T.; Wale, D.J.; Viglianti, B.L.; Townsend, D.M.; Manganaro, M.S.; Gross, M.D.; Wong, K.K.; Rubello, D. The impact of infection and inflammation in oncologic 18F-FDG PET/CT imaging. Biomed. Pharmacother. 2019, 117, 109168. [Google Scholar] [CrossRef]
- Jin, P.; Bai, M.; Liu, J.; Yu, J.; Meng, X. Tumor metabolic and secondary lymphoid organ metabolic markers on 18F-fludeoxyglucose positron emission tomography predict prognosis of immune checkpoint inhibitors in advanced lung cancer. Front. Immunol. 2022, 13, 1004351. [Google Scholar] [CrossRef] [PubMed]
- Mezquita, L.; Auclin, E.; Ferrara, R.; Charrier, M.; Remon, J.; Planchard, D.; Ponce, S.; Ares, L.P.; Leroy, L.; Audigier-Valette, C. Association of the lung immune prognostic index with immune checkpoint inhibitor outcomes in patients with advanced non–small cell lung cancer. JAMA Oncol. 2018, 4, 351–357. [Google Scholar] [CrossRef]
- Tao, X.; Zhang, Q.; Yuan, P.; Wang, S.; Ying, J.; Li, N.; Guo, W.; Li, J.; Guo, L.; Liu, Y. Predictive value of longitudinal systemic inflammatory markers for pathologic response to neoadjuvant PD-1 blockade in resectable non-small cell lung cancer. Transl. Lung Cancer Res. 2024, 13, 2972. [Google Scholar] [CrossRef] [PubMed]
- Wong, A.; Callahan, J.; Keyaerts, M.; Neyns, B.; Mangana, J.; Aberle, S.; Herschtal, A.; Fullerton, S.; Milne, D.; Iravani, A. 18F-FDG PET/CT based spleen to liver ratio associates with clinical outcome to ipilimumab in patients with metastatic melanoma. Cancer Imaging 2020, 20, 36. [Google Scholar] [CrossRef]
- Holzgreve, A.; Taugner, J.; Käsmann, L.; Müller, P.; Tufman, A.; Reinmuth, N.; Li, M.; Winkelmann, M.; Unterrainer, L.M.; Nieto, A.E. Metabolic patterns on [18F] FDG PET/CT in patients with unresectable stage III NSCLC undergoing chemoradiotherapy±durvalumab maintenance treatment. Eur. J. Nucl. Med. Mol. Imaging 2023, 50, 2466–2476. [Google Scholar] [CrossRef] [PubMed]
- Tumeh, P.C.; Hellmann, M.D.; Hamid, O.; Tsai, K.K.; Loo, K.L.; Gubens, M.A.; Rosenblum, M.; Harview, C.L.; Taube, J.M.; Handley, N. Liver metastasis and treatment outcome with anti-PD-1 monoclonal antibody in patients with melanoma and NSCLC. Cancer Immunol. Res. 2017, 5, 417–424. [Google Scholar] [CrossRef]
- Yu, J.; Green, M.D.; Li, S.; Sun, Y.; Journey, S.N.; Choi, J.E.; Rizvi, S.M.; Qin, A.; Waninger, J.J.; Lang, X. Liver metastasis restrains immunotherapy efficacy via macrophage-mediated T cell elimination. Nat. Med. 2021, 27, 152–164. [Google Scholar] [CrossRef]
- Reck, M.; Rodríguez-Abreu, D.; Robinson, A.G.; Hui, R.; Csőszi, T.; Fülöp, A.; Gottfried, M.; Peled, N.; Tafreshi, A.; Cuffe, S. Five-year outcomes with pembrolizumab versus chemotherapy for metastatic non–small-cell lung cancer with PD-L1 tumor proportion score ≥50%. J. Clin. Oncol. 2021, 39, 2339–2349. [Google Scholar] [CrossRef] [PubMed]
- Zhu, Y.; She, J.; Sun, R.; Yan, X.; Huang, X.; Wang, P.; Li, B.; Sun, X.; Wang, C.; Jiang, K. Impact of bone metastasis on prognosis in non-small cell lung cancer patients treated with immune checkpoint inhibitors: A systematic review and meta-analysis. Front. Immunol. 2024, 15, 1493773. [Google Scholar] [CrossRef] [PubMed]
- Zhao, X.; Wu, X.; Yu, H.; Wang, H.; Sun, S.; Hu, Z.; Liu, C.; Zhang, J.; Shao, Y.; Wang, J. Prognostic value of hematologic parameters in advanced non-small cell lung cancer patients receiving anti-PD-1 inhibitors. Front. Immunol. 2022, 13, 1003581. [Google Scholar] [CrossRef]



| Variable | Value |
|---|---|
| Age, median (IQR) | 64 (42–83) |
| Gender, male n (%) | 70 (88.6) |
| ECOG performance score, n (%) | |
| 0 | 35 (44.3) |
| 1 and above | 41 (51.9) |
| Unknown | 3 (3.8) |
| Treatment line, n (%) | |
| 1 | 11 (13.9) |
| 2 | 45 (57) |
| 3 | 15 (19) |
| 4 and later | 8 (10.1) |
| Smoking, n (%) | |
| Current/Former smoker | 71 (89.9) |
| Never | 7 (8.9) |
| Histopathology, non-squamous NSCLC, n (%) | 47 (59.5) |
| Prior thoracic RT history, n (%) | 37 (46.8) |
| PD-L1 status, 1 and above n (%) | 32 (40.5) |
| De novo metastatic, n (%) | 48 (60.8) |
| Number of metastatic sites, 4 and above n (%) | 35 (44.3) |
| Sites of metastasis, n (%) | |
| Liver | 15 (19) |
| Brain | 22 (27.8) |
| Bone | 31 (39.2) |
| Adrenal | 12 (15.2) |
| PET Parameter | Group | Median PFS (Months, 95% CI) | p (Log-Rank) | Median OS (Months, 95% CI) | p (Log-Rank) |
|---|---|---|---|---|---|
| SLR | Low | 5.0 (3.0–7.0) | 0.408 | 15.0 (8.5–21.5) | 0.253 |
| High | 4.0 (2.5–5.5) | 10.0 (7.3–12.7) | |||
| BLR | Low | 5.0 (3.7–6.3) | 0.499 | 13.0 (7.0–19.0) | 0.985 |
| High | 4.0 (2.2–5.8) | 11.0 (7.2–14.8) | |||
| ILR | Low | 4.0 (3.1–4.9) | 0.497 | 9.0 (5.5–12.6) | 0.227 |
| High | 5.0 (3.5–6.5) | 13.0 (10.1–15.9) |
| Univariable Analyses | Multivariable Analyses | |||||
|---|---|---|---|---|---|---|
| HR | 95%CI | p | HR | 95%CI | p | |
| Age, ≥65 | 1.06 | 0.60–1.91 | 0.81 | |||
| Gender, female | 1.41 | 0.60–3.34 | 0.43 | |||
| Current smoker | 1.56 | 0.61–3.97 | 0.35 | |||
| BMI ≥ 25 | 1.59 | 0.86–2.95 | 0.14 | |||
| ECOG ≥ 1 | 2.04 | 1.10–3.82 | 0.02 | 1.37 | 0.7–2.67 | 0.35 |
| Prior thoracic RT | 1.34 | 0.75–2.40 | 0.32 | |||
| PD-L1 status (≥1) | 1.26 | 0.67–2.37 | 0.46 | |||
| Line of treatment, ≥3 | 0.99 | 0.52–1.88 | 0.98 | |||
| De novo metastasis | 1.12 | 0.62–2.04 | 0.69 | |||
| Number of metastatic sites ≥4 | 1.47 | 0.83–2.63 | 0.19 | |||
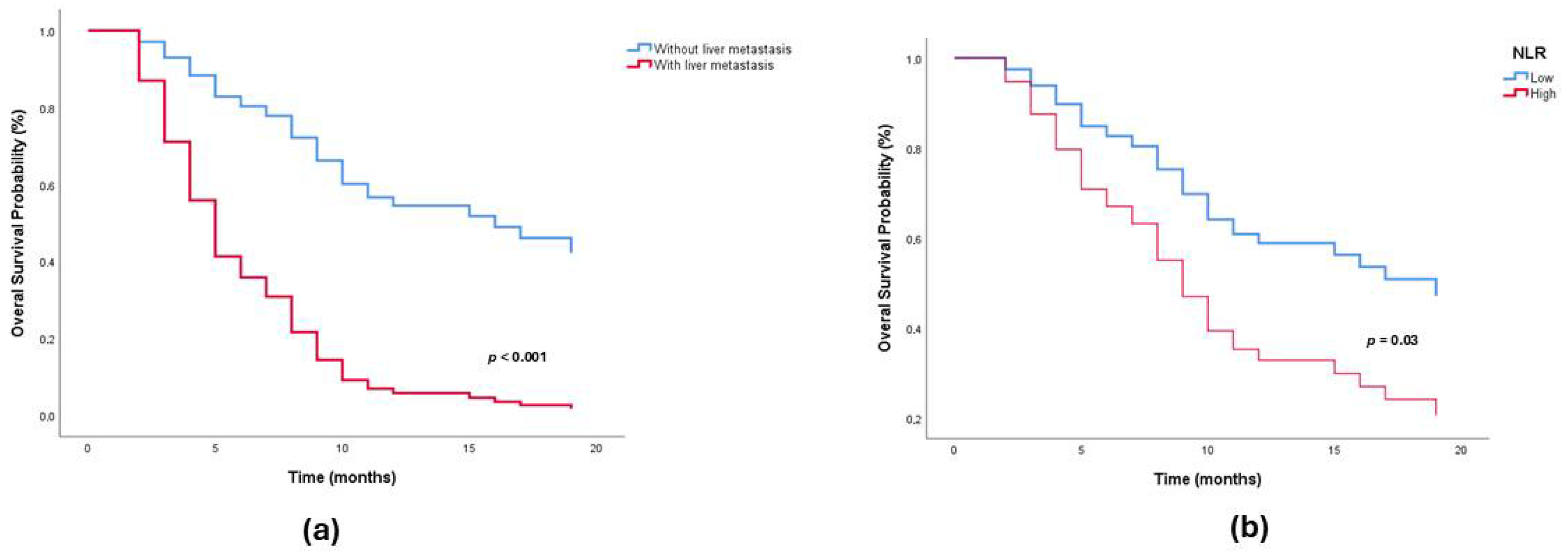
| Liver metastasis | 4.63 | 2.41–8.85 | <0.001 | 4.69 | 2.40–9.26 | <0.001 |
| Bone metastasis | 1.91 | 1.07–3.42 | 0.02 | 1.43 | 0.75–2.72 | 0.27 |
| Brain metastasis | 1.10 | 0.57–2.14 | 0.76 | |||
| Adrenal metastasis | 1.25 | 0.58–2.68 | 0.56 | |||
| NLR, high | 2.04 | 1.06–3.91 | 0.03 | 2.10 | 1.04–4.24 | 0.03 |
| SII index, high | 2.16 | 1.17–3.97 | 0.01 | 1.42 | 0.6–3.36 | 0.42 |
| SLR, high | 1.54 | 0.86–2.75 | 0.14 | |||
| BLR, high | 1.01 | 0.56–1.79 | 0.98 | |||
| ILR, high | 1.42 | 0.79–2.54 | 0.24 | |||
| Variables | ρ (Spearman) | p-Value | Interpretation |
|---|---|---|---|
| NLR–SII | 0.873 | <0.001 | Very strong (+) |
| SLR–BLR | 0.426 | <0.001 | Moderate (+) |
| SLR–ILR | 0.302 | 0.007 | Weak–moderate (+) |
| SLR–NLR | 0.204 | 0.073 | Not significant |
| SLR–SII | 0.182 | 0.110 | Not significant |
| BLR–ILR | 0.153 | 0.179 | Not significant |
Disclaimer/Publisher’s Note: The statements, opinions and data contained in all publications are solely those of the individual author(s) and contributor(s) and not of MDPI and/or the editor(s). MDPI and/or the editor(s) disclaim responsibility for any injury to people or property resulting from any ideas, methods, instructions or products referred to in the content. |
© 2026 by the authors. Licensee MDPI, Basel, Switzerland. This article is an open access article distributed under the terms and conditions of the Creative Commons Attribution (CC BY) license.
Share and Cite
Kocaaslan, E.; Güren, A.K.; Akagündüz, F.; Demirel, A.; Tunç, M.A.; Paçacı, B.; Ağyol, Y.; Erel, P.; Çelebi, A.; Işık, S.; et al. Prognostic Value of 18F-FDG PET/CT-Derived Secondary Lymphoid Organ Ratios and Hematologic Inflammation Markers in Advanced Non-Small Cell Lung Cancer Treated with Nivolumab. J. Clin. Med. 2026, 15, 798. https://doi.org/10.3390/jcm15020798
Kocaaslan E, Güren AK, Akagündüz F, Demirel A, Tunç MA, Paçacı B, Ağyol Y, Erel P, Çelebi A, Işık S, et al. Prognostic Value of 18F-FDG PET/CT-Derived Secondary Lymphoid Organ Ratios and Hematologic Inflammation Markers in Advanced Non-Small Cell Lung Cancer Treated with Nivolumab. Journal of Clinical Medicine. 2026; 15(2):798. https://doi.org/10.3390/jcm15020798
Chicago/Turabian StyleKocaaslan, Erkam, Ali Kaan Güren, Fırat Akagündüz, Ahmet Demirel, Mustafa Alperen Tunç, Burak Paçacı, Yeşim Ağyol, Pınar Erel, Abdüssamed Çelebi, Selver Işık, and et al. 2026. "Prognostic Value of 18F-FDG PET/CT-Derived Secondary Lymphoid Organ Ratios and Hematologic Inflammation Markers in Advanced Non-Small Cell Lung Cancer Treated with Nivolumab" Journal of Clinical Medicine 15, no. 2: 798. https://doi.org/10.3390/jcm15020798
APA StyleKocaaslan, E., Güren, A. K., Akagündüz, F., Demirel, A., Tunç, M. A., Paçacı, B., Ağyol, Y., Erel, P., Çelebi, A., Işık, S., Çoban, E., Demircan, N. C., Özgüven, S., Balaban Genç, Z. C., Majidova, N., Sever, N., Sarı, M., Köstek, O., & Bayoğlu, I. V. (2026). Prognostic Value of 18F-FDG PET/CT-Derived Secondary Lymphoid Organ Ratios and Hematologic Inflammation Markers in Advanced Non-Small Cell Lung Cancer Treated with Nivolumab. Journal of Clinical Medicine, 15(2), 798. https://doi.org/10.3390/jcm15020798

