Insomnia Symptoms, Mental Health Diagnosis, Mental Health Care Utilization, and Perceived Barriers in U.S. Males and Females
Abstract
1. Introduction
2. Materials and Methods
2.1. Data Source and Study Design
2.2. Insomnia Symptoms
2.3. Mental Health
2.4. Covariates
2.5. Statistical Analysis
3. Results
3.1. Description of Study Participants
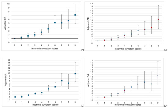
3.2. Association Between Insomnia Symptom Scores and Mental Health
3.3. Mental Health Care Utilization and Barriers in Those with Insomnia Symptoms
4. Discussion
5. Conclusions
Author Contributions
Funding
Institutional Review Board Statement
Informed Consent Statement
Data Availability Statement
Conflicts of Interest
References
- Substance Abuse and Mental Health Services Administration (SAMHSA). Key Substance Use and Mental Health Indicators in the United States: Results from the 2018 National Survey on Drug Use and Health; HHS Publication No. PEP19-5068, NSDUH Series H-54; Center for Behavioral Health Statistics and Quality, Substance Abuse and Mental Health Services Administration: Rockville, MD, USA, 2019. [Google Scholar]
- US National Health Statistics Reports, Number 213, 4 November 2024. Available online: https://www.cdc.gov/nchs/data/nhsr/nhsr213.pdf (accessed on 2 February 2025).
- Brower, K.J. Professional Stigma of Mental Health Issues: Physicians Are Both the Cause and Solution. Acad. Med. 2021, 96, 635–640. [Google Scholar] [CrossRef] [PubMed]
- Wies, B.; Landers, C.; Ienca, M. Digital Mental Health for Young People: A Scoping Review of Ethical Promises and Challenges. Front. Digit. Health 2021, 3, 697072. [Google Scholar] [CrossRef] [PubMed]
- Zhou, L.; Kong, J.; Li, X.; Ren, Q. Sex differences in the effects of sleep disorders on cognitive dysfunction. Neurosci. Biobehav. Rev. 2023, 146, 105067. [Google Scholar] [CrossRef] [PubMed]
- American Psychiatric Association. Diagnostic and Statistical Manual of Mental Disorders: DSM-5; American Psychiatric Association: Washington, DC, USA, 2013. [Google Scholar] [CrossRef]
- Morin, C.M.; Jarrin, D.C. Epidemiology of Insomnia: Prevalence, Course, Risk Factors, and Public Health Burden. Sleep Med. Clin. 2022, 17, 173–191. [Google Scholar] [CrossRef]
- Vargas, I.; Perlis, M.L. Insomnia and depression: Clinical associations and possible mechanistic links. Curr. Opin. Psychol. 2020, 34, 95–99. [Google Scholar] [CrossRef]
- Sivertsen, B.; Krokstad, S.; Øverland, S.; Mykletun, A. The epidemiology of insomnia: Associations with physical and mental health: The HUNT-2 study. J. Psychosom. Res. 2009, 67, 109–116. [Google Scholar] [CrossRef]
- Jaussent, I.; Bouyer, J.; Ancelin, M.L.; Akbaraly, T.; Peres, K.; Ritchie, K.; Besset, A.; Dauvilliers, Y. Insomnia and daytime sleepiness are risk factors for depressive symptoms in the elderly. Sleep 2011, 8, 1103–1110. [Google Scholar] [CrossRef]
- Neckelmann, D.; Mykletun, A.; Dahl, A.A. Chronic insomnia as a risk factor for developing anxiety and depression. Sleep 2007, 30, 873–880. [Google Scholar] [CrossRef]
- Hertenstein, E.; Feige, B.; Gmeiner, T.; Kienzler, C.; Spiegelhalder, K.; Johann, A.; Baglioni, C. Insomnia as a predictor of mental disorders: A systematic review and meta-analysis. Sleep Med. Rev. 2019, 43, 9–105. [Google Scholar] [CrossRef]
- Li, L.; Wu, C.; Gan, Y.; Qu, X.; Lu, Z. Insomnia and the risk of depression: A meta-analysis of prospective cohort studies. BMC Psychiatry 2016, 16, 375. [Google Scholar] [CrossRef]
- Zeng, L.N.; Zong, Q.Q.; Yang, Y.; Zhang, L.; Xiang, Y.-F.; Ng, C.H.; Chen, L.-G.; Xiang, Y.-T. Gender Difference in the Prevalence of Insomnia: A Meta-Analysis of Observational Studies. Front. Psychiatry 2020, 11, 577429. [Google Scholar] [CrossRef] [PubMed]
- Marver, J.E.; McGlinchey, E.A. Sex differences in insomnia and risk for psychopathology in adolescence. Curr. Opin. Psychol. 2020, 34, 63–67. [Google Scholar] [CrossRef] [PubMed]
- Sialino, L.D.; van Oostrom, S.H.; Wijnhoven, H.A.H.; Picavet, S.; Verschuren, W.M.M.; Visser, M.; Schaap, L.A. Sex differences in mental health among older adults: Investigating time trends and possible risk groups with regard to age, educational level and ethnicity. Aging Ment. Health 2021, 25, 2355–2364. [Google Scholar] [CrossRef]
- Van Droogenbroeck, F.; Spruyt, B.; Keppens, G. Gender differences in mental health problems among adolescents and the role of social support: Results from the Belgian health interview surveys 2008 and 2013. BMC Psychiatry 2018, 18, 6. [Google Scholar] [CrossRef]
- Lord, C.; Sekerovic, Z.; Carrier, J. Sleep regulation and sex hormones exposure in men and women across adulthood. Pathol. Biol. 2014, 62, 302–310. [Google Scholar] [CrossRef]
- National Center for Health Statistics. National Health Interview Survey, 2022 Survey Description. 2023. Available online: https://ftp.cdc.gov/pub/Health_Statistics/NCHS/Dataset_Documentation/NHIS/2022/srvydesc-508.pdf (accessed on 2 February 2025).
- VanderWeele, T.J. Mediation Analysis: A Practitioner’s Guide. Annu. Rev. Public Health 2016, 37, 17–32. [Google Scholar] [CrossRef]
- Zhang, J.; Chan, N.Y.; Lam, S.P.; Li, S.X.; Liu, Y.; Chan, J.W.; Kong, A.P.S.; Ma, R.C.; Chan, K.C.; Li, A.M.; et al. Emergence of sex differences in insomnia symptoms in adolescents: A large-scale school-based study. Sleep 2016, 39, 1563–1570. [Google Scholar] [CrossRef]
- Shi, P.; Yang, A.; Zhao, Q.; Chen, Z.; Ren, X.; Dai, Q. A Hypothesis of Gender Differences in Self-Reporting Symptom of Depression: Implications to Solve Under-Diagnosis and Under-Treatment of Depression in Males. Front. Psychiatry 2021, 12, 589687. [Google Scholar] [CrossRef]
- Good, G.E.; Sherrod, N.B. The psychology of men and masculinity: Research status and future directions. In Handbook of the Psychology of Women and Gender; John Wiley & Sons, Inc.: Hoboken, NJ, USA, 2001. [Google Scholar]
- Weitzel, E.C.; Glaesmer, H.; Hinz, A.; Zeynalova, S.; Henger, S.; Engel, C.; Löffler, M.; Reyes, N.; Wirkner, K.; Witte, A.V.; et al. What Builds Resilience? Sociodemographic and Social Correlates in the Population-Based LIFE-Adult-Study. Int. J. Environ. Res. Public Health 2022, 19, 9601. [Google Scholar] [CrossRef]
- Carbonell, Á.; Navarro-Pérez, J.J.; Mestre, M.V. Challenges and barriers in mental healthcare systems and their impact on the family: A systematic integrative review. Health Soc. Care Community 2020, 28, 1366–1379. [Google Scholar] [CrossRef]
- Binder, A.J.; Eng, A.; Houghton, K.; Foote, A. The Gender Pay Gap and Its Determinants Across the Human Capital Distribution; US Census Bureau, Center for Economic Studies: 2024. Available online: www.census.gov/ces (accessed on 18 April 2025).
- Yoon, K.; Shin, C.M.; Han, K.; Jung, J.H.; Jin, E.H.; Lim, J.H.; Kang, S.J.; Choi, Y.J.; Lee, D.H. Risk of cancer in patients with insomnia: Nationwide retrospective cohort study (2009–2018). PLoS ONE 2023, 18, e0284494. [Google Scholar] [CrossRef] [PubMed]
- Sawadogo, W.; Adera, T.; Alattar, M.; Perera, R.; Burch, J.B. Association Between Insomnia Symptoms and Trajectory with the Risk of Stroke in the Health and Retirement Study. Neurology 2023, 101, E475–E488. [Google Scholar] [CrossRef] [PubMed]
- Mahmood, A.; Ray, M.; Dobalian, A.; Ward, K.D.; Ahn, S.N. Insomnia symptoms and incident heart failure: A population-based cohort study. Eur. Heart J. 2021, 42, 4169–4176. [Google Scholar] [CrossRef]
- Li, L.; Gan, Y.; Zhou, X.; Jiang, H.; Zhao, Y.; Tian, Q.; He, Y.; Liu, Q.; Mei, Q.; Wu, C. Insomnia and the risk of hypertension: A meta-analysis of prospective cohort studies. Sleep Med. Rev. 2021, 56, 101403. [Google Scholar] [CrossRef]

| Insomnia Symptom Scores | ||||
|---|---|---|---|---|
| Characteristics | 0 n (Weighted%) a: 2944 (11.1) | 1–4 n (Weighted%) a: 18,898 (71.1) | 5–9 n (Weighted%) a: 4849 (17.8) | Total n (Weighted%) a: 26,691 (100) |
| Age (in Years) | ||||
| Mean (95% CI) | 51.6 (50.6, 52.5) | 47.7 (47.3, 48.0) | 48.4 (47.8, 49.1) | 48.2 (47.9, 48.5) |
| Sex | ||||
| Female | 1389 (42.8) | 10,110 (50.2) | 3052 (61.4) | 14,551 (51.4) |
| Male | 1554 (57.2) | 8787 (49.8) | 1796 (38.6) | 12,137 (48.6) |
| Race and ethnicity | ||||
| Hispanic | 626 (26.6) | 2575 (13.3) | 589 (14.5) | 3790 (17.1) |
| Non-Hispanic Asian | 297 (10.5) | 1161 (6.1) | 150 (3.0) | 1608 (6.0) |
| Non-Hispanic Black | 409 (13.9) | 2056 (11.6) | 452 (10.2) | 2917 (11.6) |
| Non-Hispanic Other b | 71 (2.8) | 433 (2.5) | 158 (3.8) | 662 (2.8) |
| Non-Hispanic White | 1541 (46.2) | 12,673 (63.4) | 3500 (68.8) | 17,714 (62.5) |
| Education | ||||
| Less than high school | 420 (18.2) | 1376 (9.4) | 446 (10.8) | 2242 (10.6) |
| HS graduate/GED | 880 (31.7) | 4502 (25.7) | 1308 (29.4) | 6690 (27.0) |
| Some college | 395 (14.3) | 2713 (15.9) | 855 (19.0) | 3963 (16.3) |
| Associate | 343 (11.7) | 2500 (13.3) | 679 (14.0) | 3522 (13.2) |
| Bachelor | 530 (15.1) | 4641 (22.0) | 949 (17.1) | 6120 (20.3) |
| Graduate degree | 356 (9.1) | 3084 (13.8) | 583 (9.7) | 4023 (12.6) |
| Ratio family income to poverty threshold c | ||||
| <1 (below poverty level) | 368 (12.4) | 1582 (8.3) | 692 (12.7) | 2780 (9.5) |
| 1 | 604 (21.7) | 3055 (16.4) | 993 (20.4) | 4839 (17.7) |
| 2 | 488 (117.3) | 2793 (15.1) | 872 (19.5) | 4313 (16.1) |
| 3 | 403 (114.1) | 2538 (12.9) | 609 (12.7) | 3680 (13.0) |
| 4 | 292 (9.4) | 2221 (12.0) | 469 (9.8) | 3071 (11.3) |
| ≥5 | 789 (25.0) | 6709 (35.3) | 1214 (24.9) | 8968 (32.3) |
| Marital status | ||||
| Married | 1407 (53.6) | 8918 (52.7) | 1920 (45.9) | 12,245 (51.6) |
| In couple | 144 (6.8) | 1243 (8.8) | 371 (10.5) | 1758 (8.9) |
| Neither | 1346 (39.6) | 8528 (38.4) | 2503 (43.6) | 12,377 (39.5) |
| Smoking status | ||||
| Current | 314 (10.7) | 1924 (10.1) | 855 (17.6) | 3093 (11.5) |
| Former | 698 (21.4) | 4563 (21.4) | 1420 (27.0) | 6681 (22.4) |
| Never | 1928 (67.8) | 12,378 (68.5) | 2566 (55.4) | 16,872 (66.1) |
| Alcohol consumption | ||||
| Abstainer | 652 (24.5) | 2102 (12.9) | 385 (8.8) | 3139 (13.4) |
| Former | 643 (20.5) | 3327 (15.7) | 1115 (21.1) | 5085 (17.2) |
| Current | 1637 (55.0) | 13,386 (71.4) | 3332 (70.1) | 18,355 (69.4) |
| Physical activity | ||||
| Inactive | 859 (30.2) | 4657 (24.4) | 1781 (36.2) | 7297 (27.2) |
| Insufficiently active | 654 (21.9) | 4939 (26.1) | 1237 (25.6) | 6830 (25.5) |
| Sufficiently active | 1385 (47.9) | 9120 (49.5) | 1791 (38.2) | 12,296 (47.3) |
| BMI Group | ||||
| Underweight (BMI ≤ 18.4) | 46 (1.6) | 295 (1.7) | 72 (1.8) | 413 (1.7) |
| Healthy weight (18.5–24.9) | 1001 (35.0) | 5961 (32.0) | 1254 (26.5) | 8216 (31.3) |
| Overweight (25–29.9) | 1072 (37.1) | 6375 (34.0) | 1521 (30.9) | 8968 (33.8) |
| Obese (BMI ≥ 30) | 745 (26.4) | 5894 (32.4) | 1892 (40.8) | 8531 (33.2) |
| Sleeping pills | ||||
| Never | 2749 (94.3) | 15,599 (84.0) | 2820 (60.0) | 21,218 (80.9) |
| Some days | 48 (1.6) | 1817 (9.1) | 777 (15.8) | 2646 (9.5) |
| Most days | 13 (0.4) | 311 (1.5) | 278 (5.7) | 602 (2.1) |
| Every day | 134 (3.6) | 1169 (5.4) | 970 (18.5) | 2280 (7.5) |
| Diabetes | ||||
| Yes | 278 (8.5) | 1842 (8.7) | 716 (13.5) | 2836 (9.6) |
| Hypertension | ||||
| Yes | 1019 (30.0) | 6673 (30.5) | 2113 (39.4) | 9805 (32.0) |
| Elevated cholesterol | ||||
| Yes | 810 (24.0) | 5808 (26.4) | 1832 (33.3) | 8450 (27.4) |
| Heart disease d | ||||
| Yes | 207 (5.6) | 1381 (5.8) | 569 (10.0) | 2157 (6.5) |
| Stroke | ||||
| Yes | 123 (3.5) | 581 (2.3) | 255 (4.3) | 959 (2.8) |
| Cancer | ||||
| Yes | 304 (7.8) | 2294 (9.1) | 738 (12.8) | 3336 (9.6) |
| Crude | Adjusted | |
|---|---|---|
| Females | ||
| Anxiety | ||
| All | 1.39 (1.36, 1.43) | 1.28 (1.24, 1.31) |
| Age < 50 | 1.45 (1.40, 1.50) | 1.34 (1.29, 1.40) |
| Age ≥ 50 | 1.35 (1.31, 1.39) | 1.20 (1.16, 1.24) |
| Depression | ||
| All | 1.44 (1.41, 1.47) | 1.31 (1.28, 1.35) |
| Age < 50 | 1.51 (1.46, 1.57) | 1.40 (1.35, 1.46) |
| Age ≥ 50 | 1.37 (1.33, 1.41) | 1.22 (1.18, 1.26) |
| Males | ||
| Anxiety | ||
| All | 1.42 (1.38, 1.46) | 1.30 (1.26, 1.34) |
| Age < 50 | 1.48 (1.42, 1.55) | 1.37 (1.30, 1.43) |
| Age ≥ 50 | 1.36 (1.31, 1.41) | 1.22 (1.17, 1.28) |
| Depression | ||
| All | 1.46 (1.41, 1.50) | 1.33 (1.28, 1.37) |
| Age < 50 | 1.51 (1.44, 1.57) | 1.37 (1.31, 1.44) |
| Age ≥ 50 | 1.41 (1.35, 1.47) | 1.27 (1.21, 1.33) |
| Crude | Adjusted | |
|---|---|---|
| Received mental health care in the past year | 1.58 (1.43, 1.73) | 1.70 (1.53, 1.87) |
| Delayed mental health care because of cost | 1.85 (1.60, 2.15) | 1.96 (1.67, 2.30) |
| Needed mental health care but did not get it because of the cost | 1.97 (1.70, 2.28) | 2.14 (1.82, 2.50) |
| Natural Indirect Effect (OR, 95% CI) | % Mediated (%, 95% CI) | p-Value Interaction | |
|---|---|---|---|
| Received mental health care in the past year | |||
| Insurance coverage | 1.01 (1.01, 1.02) | 2.08 (1.40, 3.02) | 0.3145 |
| Residence (metropolitan and nonmetropolitan) | 1.00 (1.00, 1.01) | 0.72 (0.12, 1.55) | 0.3700 |
| Delayed mental health care because of its cost | |||
| Insurance coverage | 0.98 (0.97, 0.99) | −3.70 (−6.42, −2.08) | 0.4278 |
| Residence (metropolitan and nonmetropolitan) | 1.00 (1.00, 1.01) | 0.42 (0.04, 1.16) | 0.3891 |
| Needed mental health care but did not get it because of the cost | |||
| Insurance coverage | 0.98 (0.97, 0.99) | −3.17 (−5.23, −1.83) | 0.5826 |
| Residence (metropolitan and nonmetropolitan) | 1.00 (1.00, 1.01) | 0.49 (0.04, 1.14) | 0.8464 |
Disclaimer/Publisher’s Note: The statements, opinions and data contained in all publications are solely those of the individual author(s) and contributor(s) and not of MDPI and/or the editor(s). MDPI and/or the editor(s) disclaim responsibility for any injury to people or property resulting from any ideas, methods, instructions or products referred to in the content. |
© 2025 by the authors. Licensee MDPI, Basel, Switzerland. This article is an open access article distributed under the terms and conditions of the Creative Commons Attribution (CC BY) license (https://creativecommons.org/licenses/by/4.0/).
Share and Cite
Sawadogo, W.; Njoku, A.; Jegede, J. Insomnia Symptoms, Mental Health Diagnosis, Mental Health Care Utilization, and Perceived Barriers in U.S. Males and Females. J. Clin. Med. 2025, 14, 2989. https://doi.org/10.3390/jcm14092989
Sawadogo W, Njoku A, Jegede J. Insomnia Symptoms, Mental Health Diagnosis, Mental Health Care Utilization, and Perceived Barriers in U.S. Males and Females. Journal of Clinical Medicine. 2025; 14(9):2989. https://doi.org/10.3390/jcm14092989
Chicago/Turabian StyleSawadogo, Wendemi, Anuli Njoku, and Joy Jegede. 2025. "Insomnia Symptoms, Mental Health Diagnosis, Mental Health Care Utilization, and Perceived Barriers in U.S. Males and Females" Journal of Clinical Medicine 14, no. 9: 2989. https://doi.org/10.3390/jcm14092989
APA StyleSawadogo, W., Njoku, A., & Jegede, J. (2025). Insomnia Symptoms, Mental Health Diagnosis, Mental Health Care Utilization, and Perceived Barriers in U.S. Males and Females. Journal of Clinical Medicine, 14(9), 2989. https://doi.org/10.3390/jcm14092989

