Effects of Normobaric Hypoxia of Varying Severity on Metabolic and Hormonal Responses Following Resistance Exercise in Men and Women
Abstract
1. Introduction
2. Materials and Methods
2.1. Participants
2.2. Study Design
2.3. 1RM Test
2.4. Study Series
2.5. Blood Collection and Analysis
2.6. Statistical Methods
3. Results
3.1. Load During Study Trials
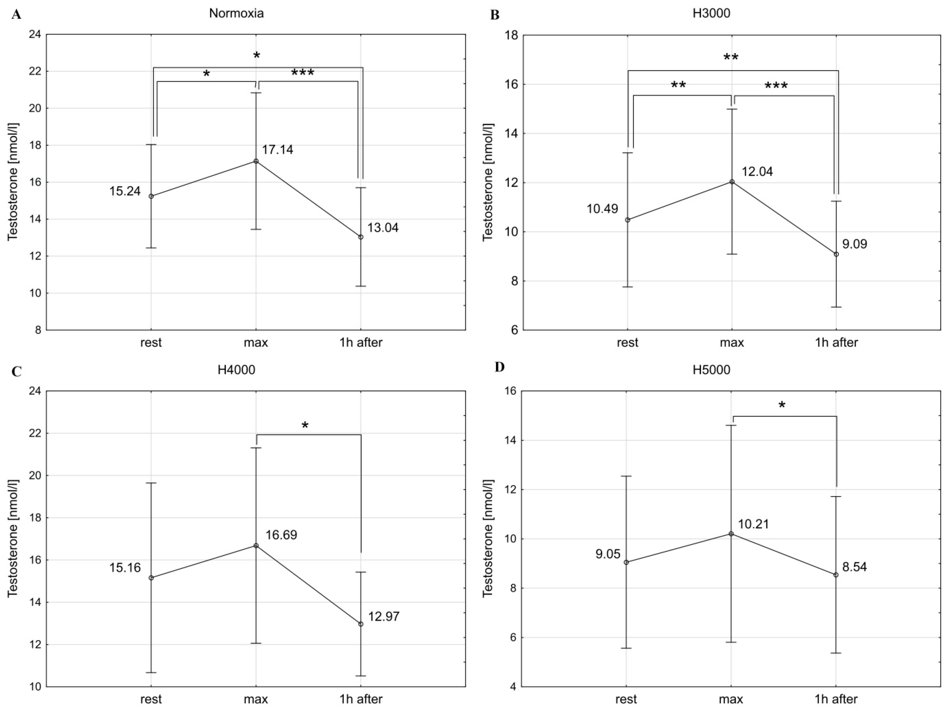
3.2. Testosterone
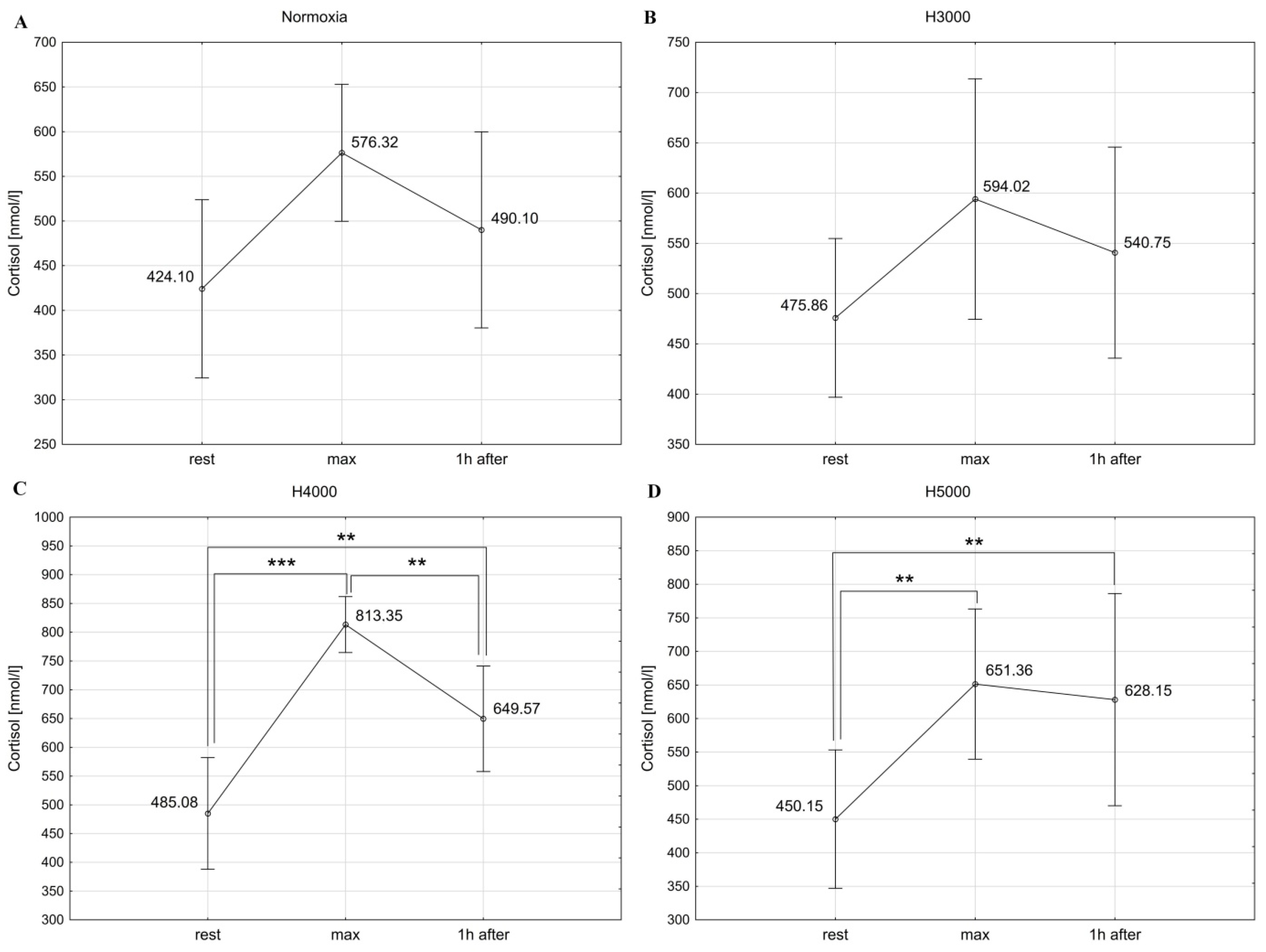
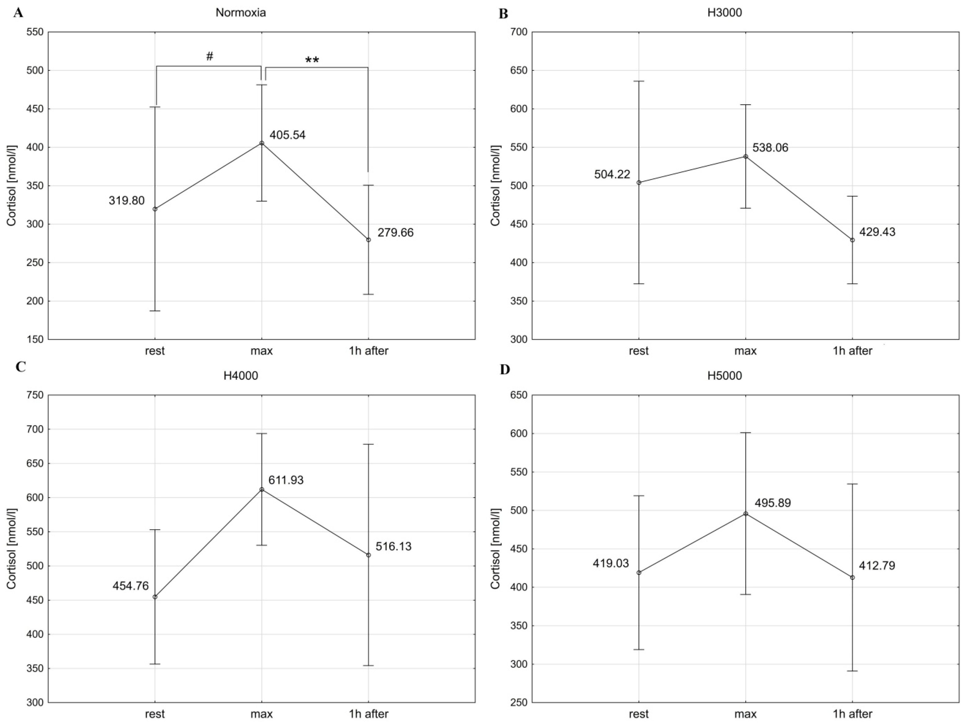
3.3. Cortisol
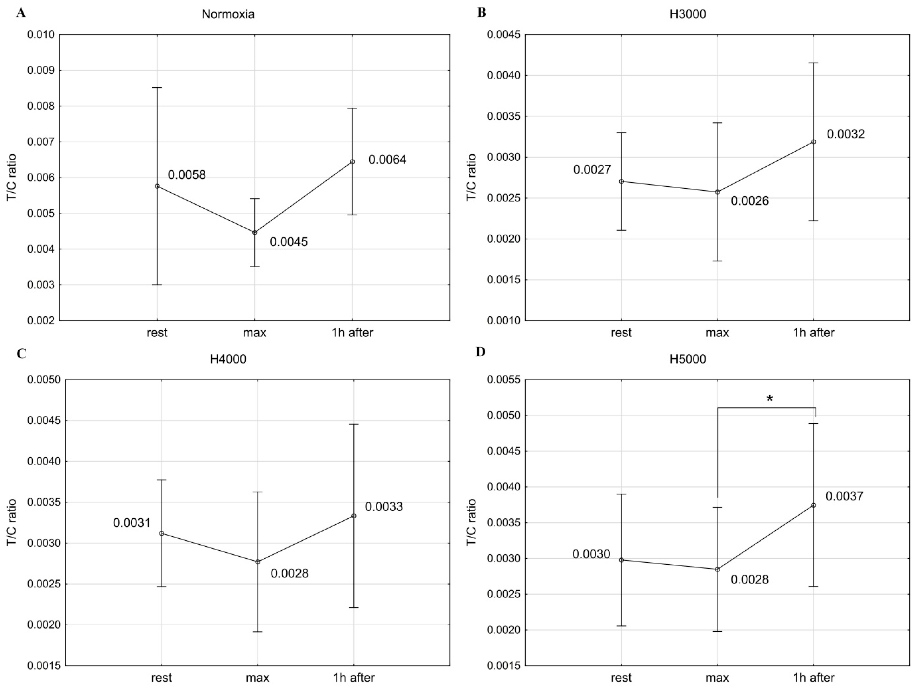
3.4. The T/C Ratio
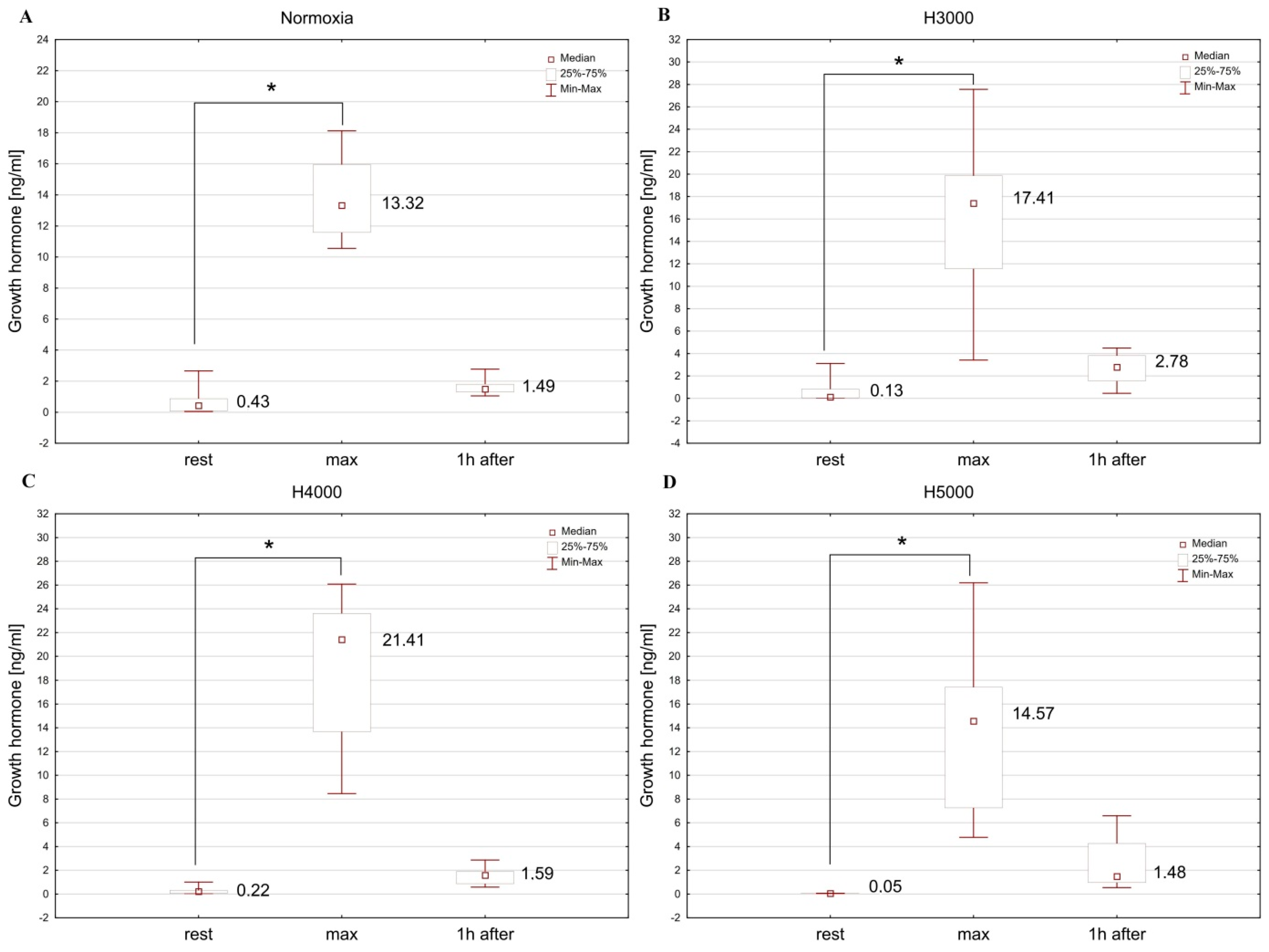
3.5. Growth Hormone
3.6. Lactate (LA), Creatine Kinase (CK), Lactate Dehydrogenase (LDH), and Uric Acid (UA)
4. Discussion
4.1. Exercise Capacity and Metabolic Response to Resistance Exercise in Normoxia and Hypoxia
4.2. Changes in Hormone Levels After Resistance Exercise
4.2.1. Testosterone (T)
4.2.2. Cortisol (C)
4.2.3. Testosterone-to-Cortisol (T/C) Ratio
4.2.4. Growth Hormone (GH)
4.3. Practical Applications
- (1)
- For women who do not engage in strength-based sports, achieving the high mechanical loads required to cause hypertrophic adaptations is more challenging compared to men, who naturally have greater strength and muscle mass [56]. In women, training under hypoxic conditions may compensate for the relatively lower mechanical loads compared to men, causing greater metabolic stress, while exercise capacity remains preserved.
- (2)
- Severe hypoxia (H5000) appears particularly beneficial for women, as it triggered the greatest rise in anabolic hormones. The increased hormonal response to exercise in hypoxia could potentially enhance the effectiveness of resistance training and strength adaptations in women. Additionally, the use of severe hypoxia might be advantageous for individuals who should avoid high mechanical loads, such as the elderly or athletes returning to regular training after injury.
- (3)
- In men, the application of severe hypoxia during high-intensity resistance exercise may negatively affect exercise performance, leading to a reduction in exercise capacity and a decrease in the total training volume. Consequently, this could limit the development of muscle hypertrophy and strength. Therefore, in practice, resistance training programs should be carefully designed to ensure that hypoxia serves as an additional adaptive stimulus without compromising the metabolic and hormonal responses to exercise. As our study demonstrated, the use of moderate hypoxia (FiO2 = 14.4%, H3000) allows for maintaining high exercise performance without negatively affecting metabolic and hormonal reactions.
4.4. Limitations
5. Conclusions
Author Contributions
Funding
Institutional Review Board Statement
Informed Consent Statement
Data Availability Statement
Conflicts of Interest
References
- Kon, M.; Ohiwa, N.; Honda, A.; Matsubayashi, T.; Ikeda, T.; Akimoto, T.; Suzuki, Y.; Hirano, Y.; Russell, A.P. Effects of systemic hypoxia on human muscular adaptations to resistance exercise training. Physiol. Rep. 2014, 2, e12033. [Google Scholar] [CrossRef] [PubMed]
- Abe, T.; Loenneke, J.P.; Fahs, C.A.; Rossow, L.M.; Thiebaud, R.S.; Bemben, M.G. Exercise intensity and muscle hypertrophy in blood flow-restricted limbs and non-restricted muscles: A brief review. Clin. Physiol. Funct. Imaging 2012, 32, 247–252. [Google Scholar] [CrossRef] [PubMed]
- Gear, K.M.; Kim, K.; Lee, S. Effects of training with blood flow restriction on muscular strength: A systematic review and meta-analysis. Int. J. Exerc. Sci. 2022, 15, 1563–1577. [Google Scholar] [PubMed]
- Nishimura, A.; Sugita, M.; Kato, K.; Fukuda, A.; Sudo, A.; Uchida, A. Hypoxia increases muscle hypertrophy induced by resistance training. Int. J. Sports Physiol. Perform. 2010, 5, 497–508. [Google Scholar] [CrossRef]
- Manimmanakorn, A.; Hamlin, M.J.; Ross, J.J.; Taylor, R.; Manimmanakorn, N. Effects of low-load resistance training combined with blood flow restriction or hypoxia on muscle function and performance in netball athletes. J. Sci. Med. Sport 2013, 16, 337–342. [Google Scholar] [CrossRef] [PubMed]
- Schoenfeld, B.J. Potential mechanisms for a role of metabolic stress in hypertrophic adaptations to resistance training. Sports Med. 2013, 43, 179–194. [Google Scholar] [CrossRef] [PubMed]
- Scott, B.R.; Slattery, K.M.; Dascombe, B.J. Intermittent hypoxic resistance training: Is metabolic stress the key moderator? Med. Hypotheses 2015, 84, 145–149. [Google Scholar] [CrossRef]
- Takarada, Y.; Nakamura, Y.; Aruga, S.; Onda, T.; Miyazaki, S.; Ishii, N. Rapid increase in plasma growth hormone after low-intensity resistance exercise with vascular occlusion. J. Appl. Physiol. 2000, 88, 61–65. [Google Scholar] [CrossRef] [PubMed]
- Fry, C.S.; Glynn, E.L.; Drummond, M.J.; Timmerman, K.L.; Fujita, S.; Abe, T.; Dhanani, S.; Volpi, E.; Rasmussen, B.B. Blood flow restriction exercise stimulates mTORC1 signaling and muscle protein synthesis in older men. J. Appl. Physiol. 2010, 108, 1199–1209. [Google Scholar] [CrossRef]
- Yasuda, T.; Loenneke, J.P.; Thiebaud, R.S.; Abe, T. Effects of blood flow restricted low-intensity concentric or eccentric training on muscle size and strength. PLoS ONE 2012, 7, e52843. [Google Scholar] [CrossRef] [PubMed]
- de Freitas, M.C.; Gerosa-Neto, J.; Zanchi, N.E.; Lira, F.S.; Rossi, F.E. Role of metabolic stress for enhancing muscle adaptations: Practical applications. World J. Methodol. 2017, 7, 46–54. [Google Scholar] [CrossRef]
- Allsopp, G.L.; Britto, F.A.; Wright, C.R.; Deldicque, L. The Effects of Normobaric Hypoxia on the Acute Physiological Responses to Resistance Training: A Narrative Review. J. Strength Cond. Res. 2024, 38, 2001–2011. [Google Scholar] [CrossRef] [PubMed]
- Kon, M.; Ikeda, T.; Homma, T.; Akimoto, T.; Suzuki, Y.; Kawahara, T. Effects of acute hypoxia on metabolic and hormonal responses to resistance exercise. Med. Sci. Sports Exerc. 2010, 42, 1279–1285. [Google Scholar] [CrossRef] [PubMed]
- Kon, M.; Ikeda, T.; Homma, T.; Suzuki, Y. Effects of low-intensity resistance exercise under acute systemic hypoxia on hormonal responses. J. Strength Cond. Res. 2012, 26, 611–617. [Google Scholar] [CrossRef]
- Ho, J.Y.; Huang, T.Y.; Chien, Y.C.; Chen, Y.C.; Liu, S.Y. Effects of acute exposure to mild simulated hypoxia on hormonal responses to low-intensity resistance exercise in untrained men. Res. Sports Med. 2014, 22, 240–252. [Google Scholar] [CrossRef] [PubMed]
- Kurobe, K.; Huang, Z.; Nishiwaki, M.; Yamamoto, M.; Kanehisa, H.; Ogita, F. Effects of resistance training under hypoxic conditions on muscle hypertrophy and strength. Clin. Physiol. Funct. Imaging 2015, 35, 197–202. [Google Scholar] [CrossRef] [PubMed]
- Yan, B.; Lai, X.; Yi, L.; Wang, Y.; Hu, Y. Effects of five-week resistance training in hypoxia on hormones and muscle strength. J. Strength Cond. Res. 2016, 30, 184–193. [Google Scholar] [CrossRef] [PubMed]
- Benavente, C.; León, J.; Feriche, B.; Schoenfeld, B.J.; Bonitch-Góngora, J.; Almeida, F.; Pérez-Regalado, S.; Padial, P. Hormonal and inflammatory responses to hypertrophy-oriented resistance training at acute moderate altitude. Int. J. Environ. Res. Public Health 2021, 18, 4233. [Google Scholar] [CrossRef] [PubMed]
- Crewther, B.; Keogh, J.; Cronin, J.; Cook, C. Possible stimuli for strength and power adaptation: Acute hormonal responses. Sports Med. 2006, 36, 215–238. [Google Scholar] [CrossRef] [PubMed]
- Vingren, J.L.; Kraemer, W.J.; Ratamess, N.A.; Anderson, J.M.; Volek, J.S.; Maresh, C.M. Testosterone physiology in resistance exercise and training: The up-stream regulatory elements. Sports Med. 2010, 40, 1037–1053. [Google Scholar] [CrossRef]
- Burtscher, J.; Raberin, A.; Brocherie, F.; Malatesta, D.; Manferdelli, G.; Citherlet, T.; Krumm, B.; Bourdillon, N.; Antero, J.; Rasica, L.; et al. Recommendations for women in mountain sports and hypoxia training/conditioning. Sports Med. 2024, 54, 795–811. [Google Scholar] [CrossRef] [PubMed]
- Jiang, G.; Qin, S.; Yan, B.; Girard, O. Metabolic and hormonal responses to acute high-load resistance exercise in normobaric hypoxia using a saturation clamp. Front. Physiol. 2024, 15, 1445229. [Google Scholar] [CrossRef] [PubMed]
- Ramos-Campo, D.J.; Rubio-Arias, J.Á.; Freitas, T.T.; Camacho, A.; Jiménez-Diaz, J.F.; Alcaraz, P.E. Acute physiological and performance responses to high-intensity resistance circuit training in hypoxic and normoxic conditions. J. Strength Cond. Res. 2017, 31, 1040–1047. [Google Scholar] [CrossRef] [PubMed]
- Brzycki, M. Strength testing—Predicting a one-rep max from reps to fatigue. JOPERD 1993, 64, 88–90. [Google Scholar] [CrossRef]
- Van Beaumont, W. Evaluation of hemoconcentration from hematocrit measurement. J. Appl. Physiol. 1972, 32, 712–713. [Google Scholar] [CrossRef] [PubMed]
- Deldicque, L. Does normobaric hypoxic resistance training confer benefit over normoxic training in athletes? A narrative review. J. Sci. Sport Exerc. 2022, 4, 306–314. [Google Scholar] [CrossRef]
- Suga, T.; Okita, K.; Takada, S.; Omokawa, M.; Kadoguchi, T.; Yokota, T.; Hirabayashi, K.; Takahashi, M.; Morita, N.; Horiuchi, M.; et al. Effect of multiple set on intramuscular metabolic stress during low-intensity resistance exercise with blood flow restriction. Eur. J. Appl. Physiol. 2012, 112, 3915–3920. [Google Scholar] [CrossRef]
- Scott, B.R.; Slattery, K.M.; Sculley, D.V.; Hodson, J.A.; Dascombe, B.J. Physical performance during high-intensity resistance exercise in normoxic and hypoxic conditions. J. Strength Cond. Res. 2015, 29, 807–815. [Google Scholar] [CrossRef] [PubMed]
- Filopoulos, D.; Cormack, S.J.; Whyte, D.G. Normobaric hypoxia increases the growth hormone response to maximal resistance exercise in trained men. Eur. J. Sport Sci. 2017, 17, 821–829. [Google Scholar] [CrossRef]
- Richalet, J.P.; Letournel, M.; Souberbielle, J.C. Effects of high-altitude hypoxia on the hormonal response to hypothalamic factors. Am. J. Physiol. Regul. Integr. Comp. Physiol. 2010, 299, R1685–R1692. [Google Scholar] [CrossRef]
- Ramos-Campo, D.J.; Rubio-Arias, J.A.; Dufour, S.; Chung, L.; Ávila-Gandía, V.; Alcaraz, P.E. Biochemical responses and physical performance during high-intensity resistance circuit training in hypoxia and normoxia. Eur. J. Appl. Physiol. 2017, 117, 809–818. [Google Scholar] [CrossRef]
- Czuba, M.; Płoszczyca, K.; Kaczmarczyk, K.; Langfort, J.; Gajda, R. Chronic exposure to normobaric hypoxia increases testosterone levels and testosterone/cortisol ratio in cyclists. Int. J. Environ. Res. Public Health 2022, 19, 5246. [Google Scholar] [CrossRef] [PubMed]
- Harridge, S.D. Plasticity of human skeletal muscle: Gene expression to in vivo function. Exp. Physiol. 2007, 92, 783–797. [Google Scholar] [CrossRef] [PubMed]
- Nindl, B.C.; Kraemer, W.J.; Gotshalk, L.A.; Marx, J.O.; Volek, J.S.; Bush, J.A.; Häkkinen, K.; Newton, R.U.; Fleck, S.J. Testosterone responses after resistance exercise in women: Influence of regional fat distribution. Int. J. Sport Nutr. Exerc. Metab. 2001, 11, 451–465. [Google Scholar] [CrossRef]
- Häkkinen, K.; Pakarinen, A. Acute hormonal responses to heavy resistance exercise in men and women at different ages. Int. J. Sports Med. 1995, 16, 507–513. [Google Scholar] [CrossRef] [PubMed]
- Pullinen, T.; Mero, A.; Huttunen, P.; Pakarinen, A.; Komi, P.V. Resistance exercise-induced hormonal responses in men, women, and pubescent boys. Med. Sci. Sports Exerc. 2002, 34, 806–813. [Google Scholar] [CrossRef]
- Ahtiainen, J.P.; Pakarinen, A.; Kraemer, W.J.; Häkkinen, K. Acute hormonal and neuromuscular responses and recovery to forced vs maximum repetitions multiple resistance exercises. Int. J. Sports Med. 2003, 24, 410–418. [Google Scholar] [PubMed]
- Häkkinen, K.; Pakarinen, A. Acute hormonal responses to two different fatiguing heavy-resistance protocols in male athletes. J. Appl. Physiol. 1993, 74, 882–887. [Google Scholar] [CrossRef] [PubMed]
- Roelfsema, F.; Yang, R.J.; Olson, T.P.; Joyner, M.J.; Takahashi, P.Y.; Veldhuis, J.D. Enhanced coupling within gonadotropic and adrenocorticotropic axes by moderate exercise in healthy men. J. Clin. Endocrinol. Metab. 2017, 102, 2482–2490. [Google Scholar] [CrossRef] [PubMed]
- Taipale, R.S.; Kyröläinen, H.; Gagnon, S.S.; Nindl, B.; Ahtiainen, J.; Häkkinen, K. Active and passive recovery influence responses of luteinizing hormone and testosterone to a fatiguing strength loading. Eur. J. Appl. Physiol. 2018, 118, 123–131. [Google Scholar] [CrossRef] [PubMed]
- Sutton, J.R. Effect of acute hypoxia on the hormonal response to exercise. J. Appl. Physiol. 1977, 42, 587–592. [Google Scholar] [CrossRef] [PubMed]
- Gordon, S.E.; Kraemer, W.J.; Vos, N.H.; Lynch, J.M.; Knuttgen, H.G. Effect of acid-base balance on the growth hormone response to acute high-intensity cycle exercise. J. Appl. Physiol. 1994, 76, 821–829. [Google Scholar] [CrossRef] [PubMed]
- Raastad, T.; Bjøro, T.; Hallén, J. Hormonal responses to high- and moderate-intensity strength exercise. Eur. J. Appl. Physiol. 2000, 82, 121–128. [Google Scholar] [CrossRef] [PubMed]
- Kjear, M.; Bangsbo, J.; Lortie, G.; Galbo, H. Hormonal response to exercise in humans: Influence of hypoxia and exercise training. Am. J. Physiol. 1988, 254, R197–R203. [Google Scholar]
- Wahl, P.; Schmidt, A.; Demarees, M.; Achtzeh, S.; Bloch, W.; Mester, J. Responses of angio-genic growth factors to exercise, to hypoxia and to exercise under hypoxic conditions. Int. J. Sports Med. 2013, 34, 95–100. [Google Scholar] [PubMed]
- Boyd, A.E.; Lebovitz, H.E.; Pfeiffer, J.B. Stimulation of human growth hormone secretion by L-DOPA. N. Engl. J. Med. 1970, 283, 1425–1429. [Google Scholar] [CrossRef]
- Sutton, J.; Lazarus, L. Effect of adrenergic blocking agents on growth hormone responses to physical stress. Horm. Met. Res. 1974, 6, 428–429. [Google Scholar] [CrossRef]
- Voelkel, N.F.; Hegstrand, L.; Reeves, J.T.; McMurty, I.F.; Molinoff, P.B. Effects of hypoxia on density of beta-adrenergic receptors. J. Appl. Physiol. 1981, 50, 363–366. [Google Scholar] [CrossRef]
- Favret, F.; Henderson, K.K.; Clancy, R.L.; Richalet, J.P.; Gonzalez, N.C. Exercise training alters the effect of chronic hypoxia on myocardial adrenergic and muscarinic receptor number. J. Appl. Physiol. 2001, 91, 1283–1288. [Google Scholar] [CrossRef] [PubMed]
- Feriche, B.; García-Ramos, A.; Morales-Artacho, A.J.; Padial, P. Resistance training using different hypoxic training strategies: A basis for hypertrophy and muscle power development. Sports Med. Open 2017, 3, 12. [Google Scholar] [CrossRef]
- Stokes, K.A.; Nevill, M.E.; Hall, G.M.; Lakomy, H.K. The time course of the human growth hormone response to a 6 s and a 30 s cycle ergometer sprint. J. Sports Sci. 2002, 20, 487–494. [Google Scholar] [CrossRef]
- Drinkwater, B.L.; Kramar, P.O.; Bedi, J.F.; Folinsbee, L.J. Women at altitude: Cardiovascular response 1to hypoxia. Aviat. Space Environ. Med. 1982, 53, 472–477. [Google Scholar] [PubMed]
- Raberin, A.; Burst, J.; Ciherlet, T.; Manferdelli, G.; Krumm, B.; Bourdillon, N.; Antero, J.; Rasica, L.; Malatesta, D.; Brocherie, F.; et al. Women at Altitude: Sex-Related Physiological Responses to Exercise in Hypoxia. Sports Med. 2024, 54, 271–287. [Google Scholar] [CrossRef] [PubMed]
- Beall, C.M.; Worthman, C.M.; Stallings, J.; Strohl, K.P.; Brittenham, G.M.; Barragan, M. Salivary testosterone concentration of Aymara man native to 3600m. Ann. Hum. Biol. 1992, 19, 67–78. [Google Scholar] [CrossRef] [PubMed]
- Benavente, C.; Schoenfeld, B.J.; Padial, P.; Feriche, B. Efficacy of resistance training in hypoxia on muscle hypertrophy and strength development: A systematic review with meta-analysis. Sci. Rep. 2023, 13, 3676. [Google Scholar]
- Miller, A.E.; MacDougall, J.D.; Tarnopolsky, M.A.; Sale, D.G. Gender differences in strength and muscle fiber characteristics. Eur. J. Appl. Physiol. Occup. Physiol. 1993, 66, 254–262. [Google Scholar] [CrossRef] [PubMed]
- Sokoloff, C.N.; Misra, M.; Ackerman, K.E. Exercise, training, and the hypothalamic-pituitary-gonadal axis in men and women. Front. Horm. Res. 2016, 47, 27–43. [Google Scholar]
- Kraemer, W.J.; Gordon, S.E.; Fleck, S.J.; Marchitelli, L.J.; Mello, R.; Dziados, J.E.; Friedl, K.; Harman, E.; Maresh, C.; Fry, A.C. Endogenous anabolic hormonal and growth factor responses to heavy resistance exercise in males and females. Int. J. Sports Med. 1991, 12, 228–235. [Google Scholar] [CrossRef] [PubMed]
- Pierce, J.R.; Martin, B.J.; Rarick, K.R.; Alemany, J.A.; Staab, J.S.; Kraemer, W.J.; Hymer, W.C.; Nindl, B.C. Growth hormone and insulin-like growth factor-I molecular weight isoform responses to resistance exercise are sex-dependent. Front. Endocrinol. 2020, 11, 571. [Google Scholar] [CrossRef]
- Schijf, C.P.; van der Mooren, M.J.; Doesburg, W.H.; Thomas, C.M.; Rolland, R. Differences in serum lipids, lipoproteins, sex hormone binding globulin and testosterone between the follicular and the luteal phase of the menstrual cycle. Acta Endocrinol. 1993, 129, 130–133. [Google Scholar] [CrossRef]
- Nakamura, Y.; Aizawa, K.; Imai, T.; Kono, I.; Mesaki, N. Hormonal responses to resistance exercise during different menstrual cycle states. Med. Sci. Sports Exerc. 2011, 43, 967–973. [Google Scholar] [CrossRef] [PubMed]
- Nakamura, Y.; Aizawa, K. Sex hormones, menstrual cycle, and resistance exercise. In Sex Hormones, Exercise and Women; Hackney, A.C., Ed.; Springer: Cham, Switzerland, 2023; pp. 227–243. [Google Scholar]
- Boisseau, N.; Enea, C.; Diaz, V.; Dugué, B.; Corcuff, J.B.; Duclos, M. Oral contraception but not menstrual cycle phase is associated with increased free cortisol levels and low hypothalamo-pituitary-adrenal axis reactivity. J. Endocrinol. Invest. 2013, 36, 955–964. [Google Scholar] [PubMed]
- Draper, C.F.; Duisters, K.; Weger, B.; Chakrabarti, A. Menstrual cycle rhythmicity: Metabolic patterns in healthy women. Sci. Rep. 2018, 8, 14568. [Google Scholar] [CrossRef] [PubMed]
- Leung, K.C.; Johannsson, G.; Leong, G.M.; Ho, K.K. Estrogen regulation of growth hormone action. Endocr. Rev. 2004, 25, 693–721. [Google Scholar] [CrossRef] [PubMed]









| Normoxia | H3000 | H4000 | H5000 | ||
|---|---|---|---|---|---|
| Delta T (nmol/L) | M | 1.90 ± 1.05 | 1.55 ± 0.95 | 1.53 ±3.61 | 1.15 ± 1.67 |
| F | 0.17 ± 0.21 | −0.01 ± 0.11 | 0.24 ± 0.25 ** | 0.18 ± 0.16 * | |
| Delta C (nmol/L) | M | 152.2 ± 186.7 | 118.2 ± 169.7 | 328.3 ± 121.0 * | 201.2 ± 107.6 |
| F | 85.7 ± 121.5 | 33.8 ± 194.5 | 157.2 ± 153.5 | 76.9 ± 156.0 | |
| Delta T/C | M | −0.0049 ± 0.0095 | 0.0001 ± 0.0073 | −0.0118 ± 0.0066 * | −0.0054 ± 0.0075 |
| F | −0.0013 ± 0.0028 | −0.0001 ± 0.0009 | −0.0003 ± 0.0005 | −0.0001 ± 0.0009 | |
| Delta GH (ng/mL) | M | 13.11 ± 3.22 | 15.44 ± 7.10 | 18.71 ± 6.24 | 13.48 ± 7.17 |
| F | 4.64 ± 3.39 | 3.77 ± 2.15 | 5.35 ± 4.13 | 13.33 ± 4.86 * | |
| Normoxia | H3000 | H4000 | H5000 | ||
|---|---|---|---|---|---|
| Delta LA (mmol/L) | M | 10.2 ± 1.8 | 11.6 ± 2.9 | 10.4 ± 1.9 | 8.3 ± 1.8 ## ^ |
| F | 3.7 ± 1.3 | 7.4 ± 2.4 *** | 6.0 ± 1.3 ## ** | 5.4 ± 2.4 ### ** | |
| Delta CK (U/L) | M | 177.0 ± 154.8 | 172.8 ± 88.9 | 109.4 ± 71.4 | 73.9 ± 39.8 # |
| F | 22.1 ± 15.3 | 29.3 ± 20.5 | 17.4 ± 6.9 | 15.0 ± 5.1 | |
| Delta LDH (U/L) | M | 19.9 ± 10.8 | 27.8 ± 5.3 | 21.1 ± 15.3 | 13.1 ± 8.6 |
| F | 7.9 ± 4.5 | 16.0 ± 6.9 | 6.4 ± 6.5 | 22.7 ± 15.8 *** # ^^^ | |
| Delta UA (mg/dL) | M | 0.02 ± 0.35 | 0.04 ± 0.16 | 0.26 ± 0.63 | −0.03 ± 0.23 |
| F | −0.09 ± 0.13 | −0.01 ± 0.12 | 0.05 ± 0.28 | −0.14 ± 0.07 | |
Disclaimer/Publisher’s Note: The statements, opinions and data contained in all publications are solely those of the individual author(s) and contributor(s) and not of MDPI and/or the editor(s). MDPI and/or the editor(s) disclaim responsibility for any injury to people or property resulting from any ideas, methods, instructions or products referred to in the content. |
© 2025 by the authors. Licensee MDPI, Basel, Switzerland. This article is an open access article distributed under the terms and conditions of the Creative Commons Attribution (CC BY) license (https://creativecommons.org/licenses/by/4.0/).
Share and Cite
Foltyn, J.; Płoszczyca, K.; Czuba, M.; Niemaszyk, A.; Langfort, J.; Gajda, R. Effects of Normobaric Hypoxia of Varying Severity on Metabolic and Hormonal Responses Following Resistance Exercise in Men and Women. J. Clin. Med. 2025, 14, 1514. https://doi.org/10.3390/jcm14051514
Foltyn J, Płoszczyca K, Czuba M, Niemaszyk A, Langfort J, Gajda R. Effects of Normobaric Hypoxia of Varying Severity on Metabolic and Hormonal Responses Following Resistance Exercise in Men and Women. Journal of Clinical Medicine. 2025; 14(5):1514. https://doi.org/10.3390/jcm14051514
Chicago/Turabian StyleFoltyn, Jakub, Kamila Płoszczyca, Miłosz Czuba, Adam Niemaszyk, Józef Langfort, and Robert Gajda. 2025. "Effects of Normobaric Hypoxia of Varying Severity on Metabolic and Hormonal Responses Following Resistance Exercise in Men and Women" Journal of Clinical Medicine 14, no. 5: 1514. https://doi.org/10.3390/jcm14051514
APA StyleFoltyn, J., Płoszczyca, K., Czuba, M., Niemaszyk, A., Langfort, J., & Gajda, R. (2025). Effects of Normobaric Hypoxia of Varying Severity on Metabolic and Hormonal Responses Following Resistance Exercise in Men and Women. Journal of Clinical Medicine, 14(5), 1514. https://doi.org/10.3390/jcm14051514

