Three-Year Follow-Up of the First 100 Patients Treated with the Balloon-Expandable Myval Transcatheter Aortic Valve System: A Single-Centre Experience
Abstract
1. Introduction
2. Methods
2.1. Study Design and Patient Population
2.2. Procedure
2.3. Study Endpoints and Follow-Up
2.4. Statistical Analysis
3. Results
3.1. Patients’ Baseline Characteristics
3.2. Primary Endpoint at 30 Days
3.3. Composite Endpoints Regarding the VARC-3 Criteria
3.3.1. Technical Success
3.3.2. Device Success
3.3.3. Early Safety at 30 Days
3.3.4. Clinical Efficacy
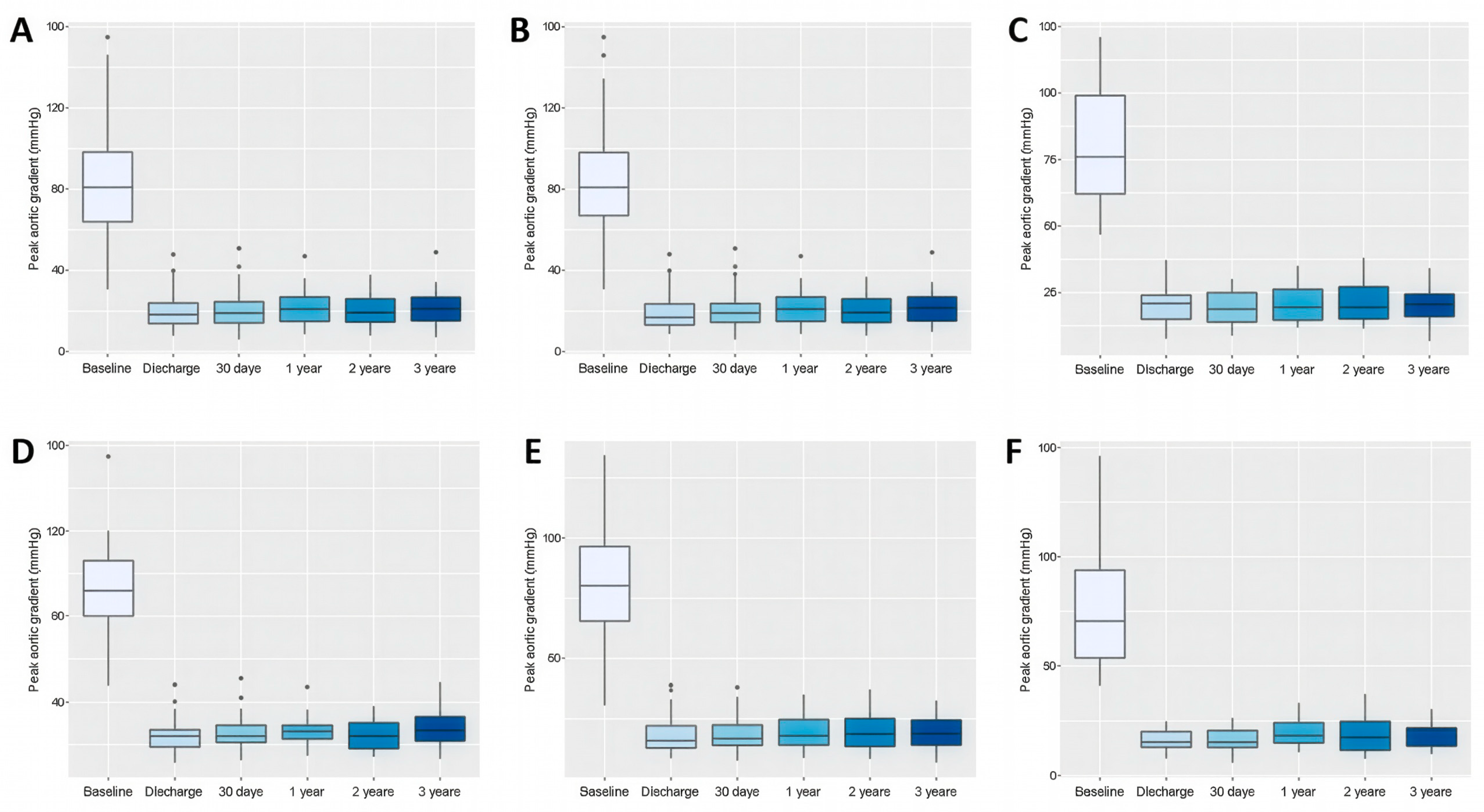
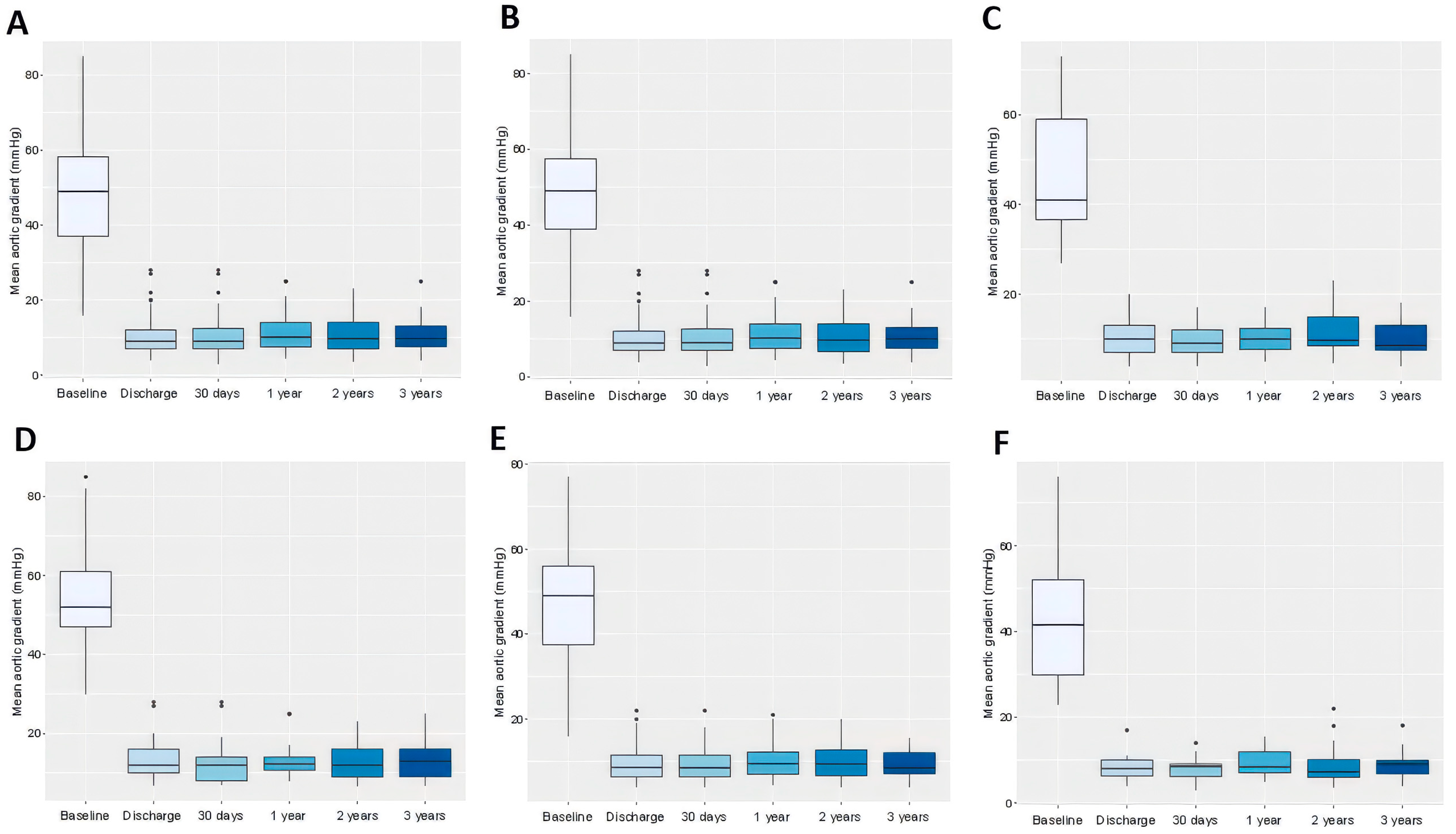
3.4. Echocardiographic Outcomes
3.5. Outcomes According to Aortic Anulus Size
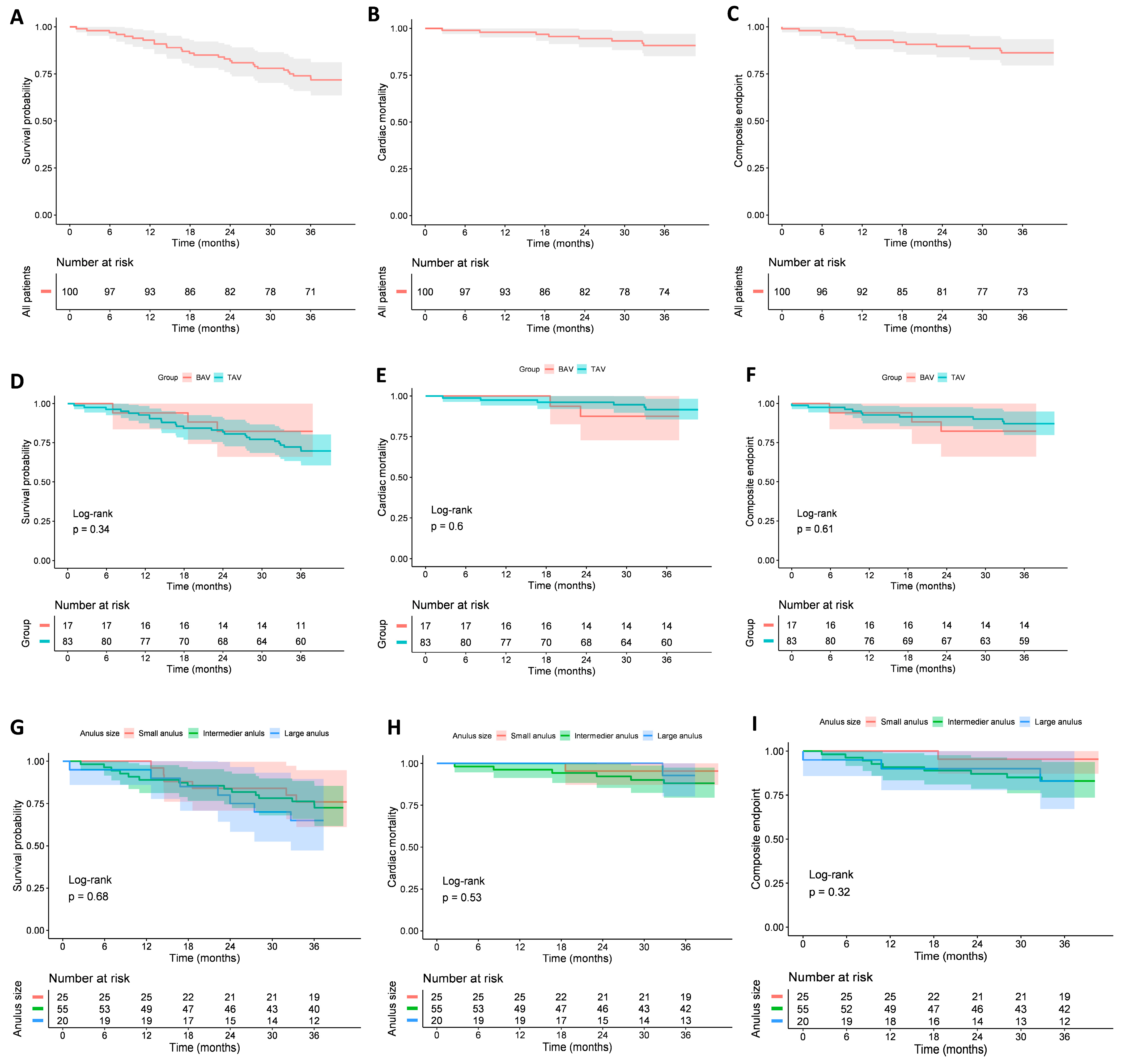
3.6. Clinical Outcomes
4. Discussion
4.1. Haemodynamic Performance and Morphological Groups
4.2. Durability and Valve-Related Dysfunction
4.3. Clinical Outcomes in Context
4.4. Limitations
5. Conclusions
Contribution to the Field Statement
Supplementary Materials
Author Contributions
Funding
Institutional Review Board Statement
Informed Consent Statement
Data Availability Statement
Conflicts of Interest
Abbreviations
| ARI | aortic regurgitation index |
| AS | aortic stenosis |
| BAV | bicuspid aortic valve |
| BVD | bioprosthetic valve dysfunction |
| BVF | bioprosthetic valve failure |
| CRT-PM | cardiac resynchronization therapy pacemaker |
| HALT | hypoattenuating leaflet thickening |
| NYHA | New York Heart Association |
| NSVD | non-structural valve dysfunction |
| mAVG | mean aortic valve gradient |
| PPI | permanent pacemaker implantation |
| PPM | patient-prothesis mismatch |
| PVR | prosthetic valve regurgitation |
| SAVR | surgical aortic valve replacement |
| SVD | structural valve dysfunction |
| TAVR | transcatheter aortic valve replacement |
| THV | transcatheter heart valve |
| THV-IE | transcatheter heart valve infective endocarditis |
| VARC-2 | Valve Academic Research Consortium-2 |
| VARC-3 | Valve Academic Research Consortium-3 |
| TAV | tricuspid aortic valve |
| LFLG-AS | low-flow, low-gradient aortic stenosis |
| pAVG | peak aortic valve gradient |
| PLGLG-AS | paradox low-flow, low-gradient aortic stenosis |
| PVL | paravalvular leak |
References
- Nishimura, R.A.; Otto, C.M.; Bonow, R.O.; Carabello, B.A.; Erwin, J.P., 3rd; Fleisher, L.A.; Jneid, H.; Mack, M.J.; McLeod, C.J.; O’Gara, P.T.; et al. 2017 AHA/ACC Focused Update of the 2014 AHA/ACC Guideline for the Management of Patients with Valvular Heart Disease: A Report of the American College of Cardiology/American Heart Association Task Force on Clinical Practice Guidelines. J. Am. Coll. Cardiol. 2017, 70, 252–289. [Google Scholar] [CrossRef] [PubMed]
- Vahanian, A.; Alfieri, O.; Andreotti, F.; Antunes, M.J.; Barón-Esquivias, G.; Baumgartner, H.; Borger, M.A.; Carrel, T.P.; De Bonis, M.; Evangelista, A.; et al. Guidelines on the management of valvular heart disease (version 2012): The Joint Task Force on the Management of Valvular Heart Disease of the European Society of Cardiology (ESC) and the European Association for Cardio-Thoracic Surgery (EACTS). Eur. J. Cardiothorac. Surg. 2012, 42, S1–S44. [Google Scholar] [CrossRef]
- Leon, M.B.; Smith, C.R.; Mack, M.J.; Makkar, R.R.; Svensson, L.G.; Kodali, S.K.; Thourani, V.H.; Tuzcu, E.M.; Miller, D.C.; Herrmann, H.C.; et al. Transcatheter or Surgical Aortic-Valve Replacement in Intermediate-Risk Patients. N. Engl. J. Med. 2016, 374, 1609–1620. [Google Scholar] [CrossRef]
- Mack, M.J.; Leon, M.B.; Thourani, V.H.; Makkar, R.; Kodali, S.K.; Russo, M.; Kapadia, S.R.; Malaisrie, S.C.; Cohen, D.J.; Pibarot, P.; et al. Transcatheter Aortic-Valve Replacement with a Balloon-Expandable Valve in Low-Risk Patients. N. Engl. J. Med. 2019, 380, 1695–1705. [Google Scholar] [CrossRef]
- Popma, J.J.; Deeb, G.M.; Yakubov, S.J.; Mumtaz, M.; Gada, H.; O’Hair, D.; Bajwa, T.; Heiser, J.C.; Merhi, W.; Kleiman, N.S.; et al. Transcatheter Aortic-Valve Replacement with a Self-Expanding Valve in Low-Risk Patients. N. Engl. J. Med. 2019, 380, 1706–1715. [Google Scholar] [CrossRef]
- Delgado-Arana, J.R.; Gordillo-Monge, M.X.; Halim, J.; De Marco, F.; Trani, C.; Martin, P.; Infusino, F.; Ancona, M.; den Heijer, P.; Bedogni, F.; et al. Early clinical and haemodynamic matched comparison of balloon-expandable valves. Heart 2022, 108, 725–732. [Google Scholar] [CrossRef]
- Baumbach, A.; van Royen, N.; Amat-Santos, I.J.; Hudec, M.; Bunc, M.; Ijsselmuiden, A.; Laanmets, P.; Unic, D.; Merkely, B.; Hermanides, R.S.; et al. LANDMARK comparison of early outcomes of newer-generation Myval transcatheter heart valve series with contemporary valves (Sapien and Evolut) in real-world individuals with severe symptomatic native aortic stenosis: A randomised non-inferiority trial. Lancet 2024, 403, 2695–2708. [Google Scholar] [CrossRef] [PubMed]
- Praz, F.; Borger, M.A.; Lanz, J.; Marin-Cuartas, M.; Abreu, A.; Adamo, M.; Ajmone Marsan, N.; Barili, F.; Bonaros, N.; Cosyns, B.; et al. 2025 ESC/EACTS Guidelines for the management of valvular heart disease. Eur. Heart. J. 2025, ehaf194. [Google Scholar] [CrossRef] [PubMed]
- Magyari, B.; Kittka, B.; Goják, I.; Kasza, G.; Schönfeld, K.; Szapáry, L.B.; Simon, M.; Kiss, R.; Bertalan, A.; Várady, E.; et al. Single center experience with the balloon-expandable Myval transcatheter aortic valve system with the first 100 patients: 30-day and 1-year follow-up. Catheter. Cardiovasc. Interv. 2023, 102, 1317–1330. [Google Scholar] [CrossRef]
- Généreux, P.; Piazza, N.; Alu, M.C.; Nazif, T.; Hahn, R.T.; Pibarot, P.; Bax, J.J.; Leipsic, J.A.; Blanke, P.; Blackstone, E.H.; et al. Valve Academic Research Consortium 3: Updated Endpoint Definitions for Aortic Valve Clinical Research. J. Am. Coll. Cardiol. 2021, 77, 2717–2746. [Google Scholar] [CrossRef]
- Sharma, S.K.; Rao, R.S.; Chandra, P.; Goel, P.K.; Bharadwaj, P.; Joseph, G.; Jose, J.; Mahajan, A.U.; Mehrotra, S.; Sengottovelu, G.; et al. First-in-human evaluation of a novel balloon-expandable transcatheter heart valve in patients with severe symptomatic native aortic stenosis: The MyVal-1 study. EuroIntervention 2020, 16, 421–429. [Google Scholar] [CrossRef]
- Michel, J.M.; Frangieh, A.H.; Giacoppo, D.; Alvarez-Covarrubias, H.A.; Pellegrini, C.; Rheude, T.; Deutsch, O.; Mayr, N.P.; Rumpf, P.M.; Stähli, B.E.; et al. Safety and efficacy of minimalist transcatheter aortic valve implantation using a new-generation balloon-expandable transcatheter heart valve in bicuspid and tricuspid aortic valves. Clin. Res. Cardiol. 2021, 110, 1993–2006. [Google Scholar] [CrossRef]
- Makkar, R.R.; Yoon, S.H.; Chakravarty, T.; Kapadia, S.R.; Krishnaswamy, A.; Shah, P.B.; Kaneko, T.; Skipper, E.R.; Rinaldi, M.; Babaliaros, V.; et al. Association Between Transcatheter Aortic Valve Replacement for Bicuspid vs Tricuspid Aortic Stenosis and Mortality or Stroke Among Patients at Low Surgical Risk. JAMA 2021, 326, 1034–1044. [Google Scholar] [CrossRef]
- Abushouk, A.I.; Spilias, N.; Isogai, T.; Kansara, T.; Agrawal, A.; Hariri, E.; Abdelfattah, O.; Krishnaswamy, A.; Reed, G.W.; Puri, R.; et al. Three-Year Outcomes of Balloon-Expandable Transcatheter Aortic Valve Implantation According to Annular Size. Am. J. Cardiol. 2023, 194, 9–16. [Google Scholar] [CrossRef]
- Jain, A.; Jose, J.; Montorfano, M.; Nissen, H.; Martin, P.; Seth, A.; Stambuk, K.; Sengottuvelu, G.; Abdurashid, M.; García-Gómez, M.; et al. Four-year durability of the Myval balloon-expandable transcatheter aortic valve. EuroIntervention 2025, 21, e758–e765. [Google Scholar] [CrossRef] [PubMed]
- Zhou, D.; Yidilisi, A.; Fan, J.; Zhang, Y.; Dai, H.; Zhu, G.; Guo, Y.; He, Y.; Zhu, Q.; Lin, X.; et al. Three-year outcomes of transcatheter aortic valve implantation for bicuspid versus tricuspid aortic stenosis. EuroIntervention 2022, 18, 193–202. [Google Scholar] [CrossRef] [PubMed]
- Abbas, A.E.; Mando, R.; Hanzel, G.; Goldstein, J.; Shannon, F.; Pibarot, P. Hemodynamic principles of prosthetic aortic valve evaluation in the transcatheter aortic valve replacement era. Echocardiography 2020, 37, 738–757. [Google Scholar] [CrossRef] [PubMed]
- Abbas, A.E.; Mando, R.; Kadri, A.; Khalili, H.; Hanzel, G.; Shannon, F.; Al-Azizi, K.; Waggoner, T.; Kassas, S.; Pilgrim, T.; et al. Comparison of Transvalvular Aortic Mean Gradients Obtained by Intraprocedural Echocardiography and Invasive Measurement in Balloon and Self-Expanding Transcatheter Valves. J. Am. Heart Assoc. 2021, 10, e021014. [Google Scholar] [CrossRef]
- Johnston, D.R.; Mehta, C.; Malaisrie, S.C.; Baldridge, A.S.; Pham, D.T.; Bryner, B.; Medina, M.G.; Chiu, S.; Hodges, K.E.; McCarthy, P.M. Implanted size and structural valve deterioration in the Edwards Magna bioprosthesis. Ann. Cardiothorac. Surg. 2024, 13, 275–282. [Google Scholar] [CrossRef]
- Johnston, D.R.; Soltesz, E.G.; Vakil, N.; Rajeswaran, J.; Roselli, E.E.; Sabik, J.F., 3rd; Smedira, N.G.; Svensson, L.G.; Lytle, B.W.; Blackstone, E.H. Long-term durability of bioprosthetic aortic valves: Implications from 12,569 implants. Ann. Thorac. Surg. 2015, 99, 1239–1247. [Google Scholar] [CrossRef]
- Pivato, C.A.; Cao, D.; Spirito, A.; Sartori, S.; Nicolas, J.; Chiarito, M.; Snyder, C.; Mehilli, J.; Lefèvre, T.; Stefanini, G.G.; et al. Impact of Small Valve Size on 1-Year Outcomes After Transcatheter Aortic Valve Implantation in Women (from the WIN-TAVI Registry). Am. J. Cardiol. 2022, 172, 73–80. [Google Scholar] [CrossRef] [PubMed]
- Deeb, G.M.; Chetcuti, S.J.; Yakubov, S.J.; Patel, H.J.; Grossman, P.M.; Kleiman, N.S.; Heiser, J.; Merhi, W.; Zorn, G.L., 3rd; Tadros, P.N.; et al. Impact of Annular Size on Outcomes After Surgical or Transcatheter Aortic Valve Replacement. Ann. Thorac. Surg. 2018, 105, 1129–1136. [Google Scholar] [CrossRef] [PubMed]
- Besir, B.; Ramu, S.K.; Lomaia, T.; Ali Majeed-Saidan, M.M.; Rajendran, J.; Motairek, I.; Harb, S.C.; Miyasaka, R.; Reed, G.W.; Puri, R.; et al. Outcomes of Patients with a Small and Large Aortic Annulus Following Balloon-Expandable Transcatheter Aortic Valve Replacement Across Flow-Gradient Patterns. Struct. Heart 2025, 9, 100456. [Google Scholar] [CrossRef] [PubMed]
- Forrest, J.K.; Ramlawi, B.; Deeb, G.M.; Zahr, F.; Song, H.K.; Kleiman, N.S.; Chetcuti, S.J.; Michelena, H.I.; Mangi, A.A.; Skiles, J.A.; et al. Transcatheter Aortic Valve Replacement in Low-risk Patients with Bicuspid Aortic Valve Stenosis. JAMA Cardiol. 2021, 6, 50–57. [Google Scholar] [CrossRef]




| Baseline Characteristic of Study Population (n = 100) | |
|---|---|
| Age (yrs) | 74.7 ± 7.2 |
| Male/female | 63/37 |
| Body mass index (kg/m2) | 29.4 ± 4.8 |
| Body surface area (m2) | 1.94 ± 0.2 |
| Hypertension | 95 (95%) |
| Diabetes mellitus | 40 (40%) |
| Hyperlipidaemia | 84 (84%) |
| NYHA class I | 2 (2%) |
| NYHA class II | 34 (34%) |
| NYHA class III | 60 (60%) |
| NYHA class IV | 4 (4%) |
| Ischaemic heart disease | 47 (47%) |
| Prior MI | 24 (24%) |
| Prior PCI | 39 (39%) |
| Prior CABG | 22 (22%) |
| Peripheral artery disease | 10 (10%) |
| Cerebrovascular disease | 8 (8%) |
| Pulmonary disease | 15 (15%) |
| Previous aortic balloon valvuloplasty | 5 (5%) |
| Permanent PM | 9 (9%) |
| Atrial fibrillation | 18 (18%) |
| Logistic EuroSCORE (%) | 15.7 ±15.5 |
| Euroscore II | 4.8 ± 4.9 |
| STS score (%) | 5.6 ± 3.9 |
| Aortic valve calcium score | 3395 ± 1832 |
| Serum creatinine (umol/L) | 102.7 ± 58.8 |
| Estimated GFR (mL/min) | 69.6 ± 26.6 |
| Estimated GFR < 60 mL/min | 40 (40%) |
| Bicuspid aortic valve | 17 (17%) |
| Prior MVR | 0 (0%) |
| Prior AVR | 1 (1%) |
| Dialysis | 2 (2%) |
| Procedure indication | |
| Elective | 94 (94%) |
| Urgent | 6 (6%) |
| Acute | 0 (0%) |
| Primary Endpoint at 30 Days | Total Study Population (n = 100) | Tricuspid (n = 83) | Bicuspid (n = 17) | p Value |
|---|---|---|---|---|
| All-cause mortality | 1 | 1 | 0 | 1.000 |
| All stroke | 1 | 1 | 0 | 1.000 |
| All TIA | 0 | 0 | 0 | 1.000 |
| Bleeding (types 3 and 4) | 2 | 2 | 0 | 1.000 |
| Acute kidney injury (stages 2–4) | 3 | 3 | 0 | 1.000 |
| Moderate or severe prosthetic valve regurgitation | 5 | 4 | 1 | 1.000 |
| Conduction system disturbances resulting in a new PPI | 29 | 25 | 4 | 0.771 |
| Major vascular complications | 1 | 1 | 0 | 1.000 |
| Minor vascular complication | 10 | 5 | 5 | 0.012 |
| Secondary endpoints at 30 days | ||||
| All-cause mortality | 1 | 1 | 0 | 1.000 |
| Cardiovascular mortality | 0 | 0 | 0 | 1.000 |
| Valve-related mortality | 0 | 0 | 0 | 1.000 |
| Non-cardiac death | 1 | 1 | 0 | 1.000 |
| Stroke | ||||
| Fatal stroke | 0 | 0 | 0 | 1.000 |
| Disabling stroke | 0 | 0 | 0 | 1.000 |
| Non-disabling stroke | 1 | 1 | 0 | 1.000 |
| Prosthetic valve regurgitation (moderate and severe) | ||||
| Prosthetic valve regurgitation (moderate) | 4 | 3 | 1 | 0.531 |
| Prosthetic valve regurgitation (severe) | 0 | 0 | 0 | 1.000 |
| Paravalvular leakage (moderate) | 1 | 1 | 0 | 1.000 |
| Paravalvular leakage (severe) | 0 | 0 | 0 | 1.000 |
| Conversion to open surgery | 0 | 0 | 0 | 1.000 |
|
Sternotomy or thoracotomy without cardiopulmonary bypass | 0 | 0 | 0 | 1.000 |
|
Implantation of multiple (>1) transcatheter valves during the index hospitalisation | 0 | 0 | 0 | 1.000 |
| TAV in TAV deployment | 0 | 0 | 0 | 1.000 |
| Valve malposition | 0 | 0 | 0 | 1.000 |
|
Hospitalisation for valve-related symptoms or worsening congestive heart failure | 0 | 0 | 0 | 1.000 |
| Incidence of patients with mean gradient > 20 mm Hg | 3 | 3 | 0 | 1.000 |
| Composite Endpoints Regarding VARC-3 Definitions | Total Study Population (n = 100) | Tricuspid (n = 83) | Bicuspid (n = 17) | p Value |
|---|---|---|---|---|
| Technical success at exit from the procedure room | 98% | |||
| Mortality | 0 | 0 | 0 | 1 |
| Unsuccessful access, unsuccessful delivery of the device, or unsuccessful retrieval of the delivery system | 1 | 1 | 0 | 1 |
| Mispositioning of valve | 0 | 0 | 0 | 1 |
| Multiple valve implantation | 0 | 0 | 0 | 1 |
| Surgery or intervention related to the device or to a major vascular, access-related, or cardiac structural complication | 1 | 1 | 0 | 1 |
|
Sternotomy or thoracotomy with cardiopulmonary bypass (conversion to surgical valve) | 0 | 0 | 0 | 1 |
| Sternotomy or thoracotomy without cardiopulmonary bypass | 0 | 0 | 0 | 1 |
| Vascular surgery related to the device | 1 | 1 | 0 | 1 |
| Intervention related to the device | 1 | 1 | 0 | 1 |
| Vascular surgery related to major vascular or access-related complications | 1 | 1 | 0 | 1 |
| Percutaneous intervention related to major vascular or access-related complications | 0 | 0 | 0 | 1 |
| Percutaneous intervention related to cardiac structural complications | 0 | 0 | 0 | 1 |
| Coronary artery obstruction requiring intervention | 0 | 0 | 0 | 1 |
| Device success at 30 days (n = 99) | 88 | 72 | 16 | 0.685 |
| Technical success | 98 | 81 | 17 | 1 |
| Freedom from mortality | 99 | 82 | 17 | 1 |
| Surgery or intervention related to the device or to a major vascular, access-related, or cardiac structural complication | 99 | 82 | 17 | 1 |
| Intended performance of the valve | 91 | 75 | 16 | 1 |
| Early safety at 30 days (n = 99) | ||||
| Freedom from all-cause mortality | 99 | 82 | 17 | 1 |
| Freedom from all strokes | 98 | 81 | 17 | 1 |
| VARC type 2–4 bleeding | ||||
| VARC type 2 bleeding | 34 | 26 | 8 | 0.2635 |
| VARC type 3 bleeding | 2 | 2 | 0 | 1 |
| VARC type 4 bleeding | 0 | 0 | 0 | 1 |
| Freedom from major vascular, access-related, or cardiac structural complications | 99 | 82 | 17 | 1.000 |
| Freedom from acute kidney injury stage 3 or 4 | 99 | 82 | 17 | 1.000 |
| Freedom from moderate or severe aortic regurgitation | 94 | 78 | 16 | 1.000 |
| Freedom from a new permanent pacemaker due to procedure-related conduction abnormalities | 70 | 57 | 13 | 0.772 |
| Freedom from surgery or intervention related to the device | 99 | 82 | 17 | 1.000 |
| Clinical efficacy (at 1 year, n = 93) | ||||
| All-cause mortality | 7 | 6 | 1 | 1.000 |
| Cardiac mortality | 2 | 2 | 0 | 1.000 |
| All stroke rate | 5 | 4 | 1 | 1.000 |
| Hospitalisation for procedure- or valve-related causes | 3 | 3 | 0 | 1.000 |
| Endocarditis | 2 | 2 | 0 | 1.000 |
| Valve thrombosis | 0 | 0 | 0 | 1.000 |
| Clinical efficacy (at 2 year, n = 83) | ||||
| All-cause mortality | 17 | 14 | 3 | 1.000 |
| Cardiac mortality | 5 | 3 | 2 | 0.216 |
| All stroke rate | 5 | 4 | 1 | 1.000 |
| Hospitalisation for procedure- or valve-related causes | 3 | 3 | 0 | 1.000 |
| Endocarditis | 4 | 3 | 1 | 0.549 |
| Valve thrombosis | 0 | 0 | 0 | 1.000 |
| Clinical efficacy (at 3 year, n = 74) | ||||
| All-cause mortality | 28 | 25 | 3 | 0.552 |
| Cardiac mortality | 7 | 5 | 2 | 0.339 |
| All stroke rate | 5 | 4 | 1 | 1.000 |
| Hospitalisation for procedure- or valve-related causes | 3 | 3 | 0 | 1.000 |
| Endocarditis | 4 | 3 | 1 | 0.549 |
| Valve thrombosis | 0 | 0 | 0 | 1.000 |
| Peak Aortic Gradient, mmHg * | Mean Aortic Gradient, mmHg * | LVEF (%) | AR Grade ≥ 2 | PVL Grade ≥ 2 | |
|---|---|---|---|---|---|
| Baseline | |||||
| Overall | 82.7 ± 25.1 | 48.5 ± 14.8 | 55.8 ± 13.6 | 29 | NA |
| TAV | 83.1 ± 25.5 | 48.9 ± 14.9 | 55.9 ± 13.5 | 25 | NA |
| BAV | 80.8 ± 23.5 | 47.0 ± 14.8 | 53.9 ± 14.3 | 4 | NA |
| p-value | 0.723 | 0.639 | 0.591 | ||
| Discharge | |||||
| Overall | 19.5 ± 7.6 | 10.2 ± 4.6 | 56.2 ± 9.9 | 4 | 1 |
| TAV | 19.4 ± 7.7 | 10.2 ± 4.8 | 56.1 ± 9.9 | 3 | 1 |
| BAV | 20.0 ± 6.9 | 10.3 ± 3.9 | 56.9 ± 10.2 | 1 | 0 |
| p-value | 0.744 | 0.976 | 0.724 | 0.535 | >0.999 |
| 30 days follow-up | |||||
| Overall | 20.2 ± 7.9 | 10.1 ± 4.6 | 58 ± 9.6 | 4 | 1 |
| TAV | 20.3 ± 8.2 | 10.1 ± 4.8 | 58.1 ± 9.6 | 3 | 1 |
| BAV | 19.5 ± 6.7 | 10.0 ± 3.7 | 57.8 ± 9.6 | 1 | 0 |
| p-value | 0.684 | 0.955 | 0.886 | 0.535 | >0.999 |
| 1-year follow-up | |||||
| Overall | 21.5 ± 7.5 | 10.7 ± 4.2 | 59.4 ± 11.1 | 3 | 1 |
| TAV | 21.7 ± 7.6 | 10.9 ± 4.3 | 59.9 ± 11.4 | 1 | 1 |
| BAV | 20.4 ± 7.1 | 10.0 ± 3.5 | 57.4 ± 9.4 | 2 | 0 |
| p-value | 0.489 | 0.384 | 0.354 | 0.076 | >0.999 |
| 2-year follow-up | |||||
| Overall | 20.6 ± 7.8 | 10.5 ± 4.6 | 58 ± 12.1 | 7 | 1 |
| TAV | 20.4 ± 7.7 | 10.3 ± 4.6 | 58.1 ± 11.9 | 5 | 1 |
| BAV | 21.6 ± 8.3 | 11.2 ± 4.8 | 57.5 ± 13.6 | 2 | 0 |
| p-value | 0.633 | 0.542 | 0.885 | 0.598 | >0.999 |
| 3-year follow-up | |||||
| Overall | 21.3 ± 7.8 | 10.2 ± 4.0 | 62.2 ± 12.7 | 5 | 1 |
| TAV | 21.8 ± 7.8 | 10.4 ± 4.0 | 63.0 ± 11.8 | 3 | 1 |
| BAV | 19.5 ± 7.7 | 9.4 ± 4.1 | 58.8 ± 16.2 | 2 | 0 |
| p-value | 0.347 | 0.432 | 0.401 | 0.471 | >0.999 |
| Echocardiographic Parameter | Study Population | |||
|---|---|---|---|---|
| Overall | Small Annuli | Intermediate Annuli | Large Annuli | |
| baseline pAVG | 82.9 (1.39) | 91.6 (2.54) | 81.1 (1.71) | 76.0 (2.84) |
| discharge pAVG | 20.2 (1.41) | 24.7 (2.54) | 18.3 (1.71) | 17.5 (2.90) |
| 1-month pAVG | 20.7 (1.41) | 25.9 (2.54) | 19.0 (1.71) | 17.3 (2.90) |
| 1-year pAVG | 22.6 (1.42) | 27.2 (2.58) | 19.9 (1.78) | 20.9 (2.90) |
| 2-year pAVG | 21.9 (1.52) | 25.5 (2.73) | 19.7 (1.88) | 20.5 (3.12) |
| 3-year pAVG | 22.4 (1.63) | 27.7 (2.91) | 19.5 (1.98) | 19.9 (3.41) |
| baseline mAVG | 48.6 (0.806) | 54.80 (1.470) | 47.59 (0.991) | 43.30 (1.640) |
| discharge mAVG | 10.5 (0.815) | 13.18 (1.470) | 9.53 (0.991) | 8.77 (1.680) |
| 1-month mAVG | 10.3 (0.815) | 12.79 (1.470) | 9.51 (0.991) | 8.51 (1.680) |
| 1-year mAVG | 11.2 (0.826) | 13.51 (1.500) | 10.08 (1.030) | 9.99 (1.680) |
| 2-year mAVG | 11.1 (0.882) | 13.31 (1.590) | 10.06 (1.090) | 9.88 (1.810) |
| 3-year mAVG | 10.8 (0.952) | 13.40 (1.700) | 9.25 (1.150) | 9.85 (1.990) |
| Type of Comparison Regarding Peak Aortic Gradient | p Value for Small Aortic Annuli | p Value for Intermediate Aortic Annuli | p Value for Large Aortic Annuli |
|---|---|---|---|
| Baseline vs. discharge | ≤0.0001 | ≤0.0001 | ≤0.0001 |
| Baseline vs. 1-month | ≤0.0001 | ≤0.0001 | ≤0.0001 |
| Baseline vs. 1-year | ≤0.0001 | ≤0.0001 | ≤0.0001 |
| Baseline vs. 2-year | ≤0.0001 | ≤0.0001 | ≤0.0001 |
| Baseline vs. 3-year | ≤0.0001 | ≤0.0001 | ≤0.0001 |
| Discharge vs. 1-month | 0.7002 | 0.7259 | 0.9431 |
| Discharge vs. 1-year | 0.4214 | 0.4274 | 0.3338 |
| Discharge vs. 2-year | 0.7999 | 0.5052 | 0.4072 |
| Discharge vs. 3-year | 0.3612 | 0.5712 | 0.5391 |
| 1-month vs. 1-year | 0.6717 | 0.6504 | 0.2994 |
| 1-month vs. 2-year | 0.9109 | 0.7347 | 0.37 |
| 1-month vs. 3-year | 0.5719 | 0.8017 | 0.498 |
| 1-year vs. 2-year | 0.6066 | 0.9242 | 0.9287 |
| 1-year vs. 3-year | 0.8601 | 0.8685 | 0.8058 |
| 2-year vs. 3-year | 0.5151 | 0.9425 | 0.8751 |
| Type of Comparison Regarding Mean Aortic Gradient | p Value for Small Aortic Annuli | p Value for Intermediate Aortic Annuli | p Value for Large Aortic Annuli |
|---|---|---|---|
| Baseline vs. discharge | ≤0.0001 | ≤0.0001 | ≤0.0001 |
| Baseline vs. 1-month | ≤0.0001 | ≤0.0001 | ≤0.0001 |
| Baseline vs. 1-year | ≤0.0001 | ≤0.0001 | ≤0.0001 |
| Baseline vs. 2-year | ≤0.0001 | ≤0.0001 | ≤0.0001 |
| Baseline vs. 3-year | ≤0.0001 | ≤0.0001 | ≤0.0001 |
| Discharge vs. 1-month | 0.8279 | 0.9881 | 0.9008 |
| Discharge vs. 1-year | 0.8573 | 0.6588 | 0.5533 |
| Discharge vs. 2-year | 0.9474 | 0.6845 | 0.6084 |
| Discharge vs. 3-year | 0.9118 | 0.8385 | 0.6414 |
| 1-month vs. 1-year | 0.6932 | 0.6483 | 0.4731 |
| 1-month vs. 2-year | 0.7853 | 0.6742 | 0.5282 |
| 1-month vs. 3-year | 0.7585 | 0.849 | 0.5641 |
| 1-year vs. 2-year | 0.9157 | 0.9856 | 0.9592 |
| 1-year vs. 3-year | 0.9573 | 0.5468 | 0.9505 |
| 2-year vs. 3-year | 0.9631 | 0.568 | 0.989 |
| Transcatheter Heart Valve Dysfunction According to the VARC-3 Criteria | 1 Month | 1 Year | 2 Year | 3 Year | ||||||||
|---|---|---|---|---|---|---|---|---|---|---|---|---|
| Overall | TAV | BAV | Overall | TAV | BAV | Overall | TAV | BAV | Overall | TAV | BAV | |
| Bioprosthetic Valve Dysfunction | 4 | 4 | 0 | 9 | 8 | 1 | 17 | 14 | 3 | 17 | 14 | 3 |
| SVD | 1 | 1 | 0 | 4 | 3 | 1 | 10 | 8 | 2 | 10 | 8 | 2 |
| Moderate HVD-mAVG | 1 | 1 | 0 | 2 | 2 | 0 | 2 | 2 | 0 | 2 | 2 | 0 |
| Moderate HVD-AR | 0 | 0 | 0 | 2 | 1 | 1 | 8 | 6 | 2 | 8 | 6 | 2 |
| Severe HVD-mAVG | 0 | 0 | 0 | 0 | 0 | 0 | 0 | 0 | 0 | 0 | 0 | 0 |
| Severe HVD-AR | 0 | 0 | 0 | 0 | 0 | 0 | 0 | 0 | 0 | 0 | 0 | 0 |
| Thrombosis | 0 | 0 | 0 | 0 | 0 | 0 | 0 | 0 | 0 | 0 | 0 | 0 |
| Endocarditis | 0 | 0 | 0 | 2 | 2 | 0 | 4 | 3 | 1 | 4 | 3 | 1 |
| Non-SVD (PVL) | 1 | 1 | 0 | 1 | 1 | 0 | 1 | 1 | 0 | 1 | 1 | 0 |
| Non-SVD (PPM) | 2 | 2 | 0 | 2 | 2 | 0 | 2 | 2 | 0 | 2 | 2 | 0 |
| Bioprosthetic Valve Failure (BVF) | 0 | 0 | 0 | 2 | 2 | 0 | 4 | 3 | 1 | 4 | 3 | 1 |
| BVF-Stage 1 | 0 | 0 | 0 | 0 | 0 | 0 | 1 | 1 | 0 | 1 | 1 | 0 |
| BVF-Stage 2 | 0 | 0 | 0 | 0 | 0 | 0 | 0 | 0 | 0 | 0 | 0 | 0 |
| BVF-Stage 3 | 0 | 0 | 0 | 2 | 2 | 0 | 3 | 2 | 1 | 3 | 2 | 1 |
Disclaimer/Publisher’s Note: The statements, opinions and data contained in all publications are solely those of the individual author(s) and contributor(s) and not of MDPI and/or the editor(s). MDPI and/or the editor(s) disclaim responsibility for any injury to people or property resulting from any ideas, methods, instructions or products referred to in the content. |
© 2025 by the authors. Licensee MDPI, Basel, Switzerland. This article is an open access article distributed under the terms and conditions of the Creative Commons Attribution (CC BY) license (https://creativecommons.org/licenses/by/4.0/).
Share and Cite
Magyari, B.; Kittka, B.; Goják, I.; Kasza, G.; Schönfeld, K.; Szapáry, L.B.; Simon, M.; Kiss, R.; Bertalan, A.; Várady, E.; et al. Three-Year Follow-Up of the First 100 Patients Treated with the Balloon-Expandable Myval Transcatheter Aortic Valve System: A Single-Centre Experience. J. Clin. Med. 2025, 14, 7883. https://doi.org/10.3390/jcm14217883
Magyari B, Kittka B, Goják I, Kasza G, Schönfeld K, Szapáry LB, Simon M, Kiss R, Bertalan A, Várady E, et al. Three-Year Follow-Up of the First 100 Patients Treated with the Balloon-Expandable Myval Transcatheter Aortic Valve System: A Single-Centre Experience. Journal of Clinical Medicine. 2025; 14(21):7883. https://doi.org/10.3390/jcm14217883
Chicago/Turabian StyleMagyari, Balázs, Bálint Kittka, Ilona Goják, Gábor Kasza, Kristóf Schönfeld, László Botond Szapáry, Mihály Simon, Rudolf Kiss, Andrea Bertalan, Edit Várady, and et al. 2025. "Three-Year Follow-Up of the First 100 Patients Treated with the Balloon-Expandable Myval Transcatheter Aortic Valve System: A Single-Centre Experience" Journal of Clinical Medicine 14, no. 21: 7883. https://doi.org/10.3390/jcm14217883
APA StyleMagyari, B., Kittka, B., Goják, I., Kasza, G., Schönfeld, K., Szapáry, L. B., Simon, M., Kiss, R., Bertalan, A., Várady, E., Mátrai, P., Szokodi, I., & Horváth, I. (2025). Three-Year Follow-Up of the First 100 Patients Treated with the Balloon-Expandable Myval Transcatheter Aortic Valve System: A Single-Centre Experience. Journal of Clinical Medicine, 14(21), 7883. https://doi.org/10.3390/jcm14217883

