Examining the Potential Link Between Forkhead Box P1 and Severity and Social Impairment in Children with Autism Spectrum Disorder
Abstract
1. Introduction
2. Materials and Methods
2.1. Participants
2.2. Blood Samples
2.3. Behavioral Assessment of ASD Children
2.4. Assessment of Forkhead Box P1 (FOXP1) Plasma Levels
2.5. Statistical Analysis
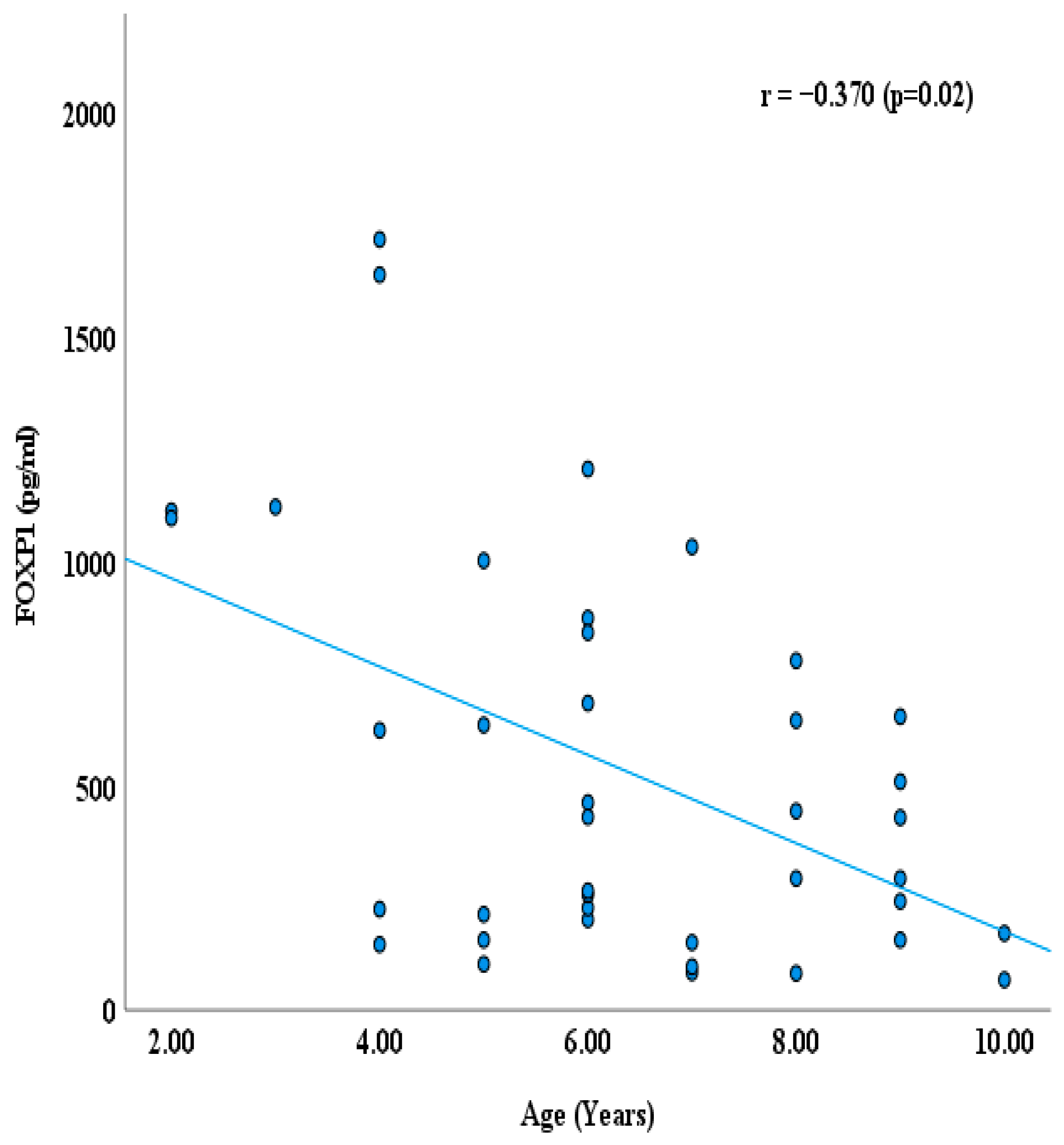
3. Results
4. Discussion
5. Limitations
6. Conclusions
Author Contributions
Funding
Institutional Review Board Statement
Informed Consent Statement
Data Availability Statement
Acknowledgments
Conflicts of Interest
References
- American Psychiatric Association. Diagnostic and Statistical Manual of Mental Disorders (DMS-V), 5th ed.; American Psychiatric Publishing Inc.: Washington, DC, USA, 2013. [Google Scholar] [CrossRef]
- Wang, L.; Wang, B.; Wu, C.; Wang, J.; Sun, M. Autism Spectrum Disorder: Neurodevelopmental Risk Factors, Biological Mechanism, and Precision Therapy. Int. J. Mol. Sci. 2023, 24, 1819. [Google Scholar] [CrossRef]
- Zhuang, H.; Liang, Z.; Ma, G.; Qureshi, A.; Ran, X.; Feng, C.; Liu, X.; Yan, X.; Shen, L. Autism spectrum disorder: Pathogenesis, biomarker, and intervention therapy. MedComm 2024, 5, e497. [Google Scholar] [CrossRef]
- Megari, K.; Frantzezou, C.K.; Polyzopoulou, Z.A.; Tzouni, S.K. Neurocognitive features in childhood & adulthood in autism spectrum disorder: A Neurodiversity Approach. Int. J. Dev. Neurosci. 2024, 84, 471–499. [Google Scholar] [CrossRef] [PubMed]
- El-Ansary, A.; Alhakbany, M.; Alfawaz, H.A.; Al-Ayadhi, L.Y. Indian Hedgehog (IHh) Protein and COX-2 as Biomarkers to Define the Mechanism of Epilepsy and Gastrointestinal Problems as Comorbid Medical Illnesses in Autism Spectrum Disorder: Combining ROC Curves to Improve Diagnostic Values. J. Clin. Med. 2024, 13, 6695. [Google Scholar] [CrossRef]
- Lv, T.; Wang, M.; Kui, L.; Wu, J.; Xiao, Y. Novel Inflammatory Biomarkers for Autism Spectrum Disorder Detected by Plasma Olink Proteomics. Children 2025, 12, 210. [Google Scholar] [CrossRef]
- Barbosa, A.G.; Pratesi, R.; Paz, G.S.C.; dos Santos, M.A.A.L.; Uenishi, R.H.; Nakano, E.Y.; Gandolfi, L.; Pratesi, C.B. Assessment of BDNF serum levels as a diagnostic marker in children with autism spectrum disorder. Sci. Rep. 2020, 10, 17348. [Google Scholar] [CrossRef]
- Noori, A.S.; Rajabi, P.; Sargolzaei, J.; Alaghmand, A. Correlation of biochemical markers and inflammatory cytokines in autism spectrum disorder (ASD). BMC Pediatr. 2024, 24, 696. [Google Scholar] [CrossRef]
- Bjørklund, G.; Meguid, N.A.; El-Ansary, A.; El-Bana, M.A.; Dadar, M.; Aaseth, J.; Hemimi, M.; Osredkar, J.; Chirumbolo, S. Diagnostic and Severity-Tracking Biomarkers for Autism Spectrum Disorder. J. Mol. Neurosci. 2018, 66, 492–511. [Google Scholar] [CrossRef]
- Satterstrom, F.K.; Kosmicki, J.A.; Wang, J.; Breen, M.S.; De Rubeis, S.; An, J.-Y.; Peng, M.; Collins, R.; Grove, J.; Klei, L.; et al. Large-Scale Exome Sequencing Study Implicates Both Developmental and Functional Changes in the Neurobiology of Autism. Cell 2020, 180, 568–584.e23. [Google Scholar] [CrossRef] [PubMed]
- Garcia-Oscos, F.; Koch, T.M.I.; Pancholi, H.; Trusel, M.; Daliparthi, V.; Co, M.; Park, S.E.; Ayhan, F.; Alam, D.H.; Holdway, J.E.; et al. Autism-linked gene FoxP1 selectively regulates the cultural transmission of learned vocalizations. Sci. Adv. 2021, 7, eabd2827. [Google Scholar] [CrossRef]
- Chien, W.-H.; Gau, S.S.-F.; Chen, C.-H.; Tsai, W.-C.; Wu, Y.-Y.; Chen, P.-H.; Shang, C.-Y.; Chen, C.-H. Increased gene expression of FOXP1 in patients with autism spectrum disorders. Mol. Autism 2013, 4, 23. [Google Scholar] [CrossRef]
- Trelles, M.P.; Levy, T.; Lerman, B.; Siper, P.; Lozano, R.; Halpern, D.; Walker, H.; Zweifach, J.; Frank, Y.; Foss-Feig, J.; et al. Individuals with FOXP1 syndrome present with a complex neurobehavioral profile with high rates of ADHD, anxiety, repetitive behaviors, and sensory symptoms. Mol. Autism 2021, 12, 61. [Google Scholar] [CrossRef]
- Araujo, D.J.; Anderson, A.G.; Berto, S.; Runnels, W.; Harper, M.; Ammanuel, S.; Rieger, M.A.; Huang, H.C.; Rajkovich, K.; Loerwald, K.W. FoxP1 orchestration of ASD-relevant signaling pathways in the striatum. Genes Dev. 2015, 29, 2081–2096. [Google Scholar] [CrossRef]
- Lozano, R.; Gbekie, C.; Siper, P.M.; Srivastava, S.; Saland, J.M.; Sethuram, S.; Tang, L.; Drapeau, E.; Frank, Y.; Buxbaum, J.D.; et al. FOXP1 syndrome: A review of the literature and practice parameters for medical assessment and monitoring. J. Neurodev. Disord. 2021, 13, 18. [Google Scholar] [CrossRef]
- Pearson, C.A.; Moore, D.M.; Tucker, H.O.; Dekker, J.D.; Hu, H.; Miquelajáuregui, A.; Novitch, B.G. Foxp1 Regulates Neural Stem Cell Self-Renewal and Bias Toward Deep Layer Cortical Fates. Cell Rep. 2020, 30, 1964–1981.e3. [Google Scholar] [CrossRef]
- Alenezi, S.; Alyahya, A.; Aldhalaan, H. Autism Spectrum Disorder (ASD) and Attention Deficit Hyperactivity Disorder (ADHD) With Language Impairment Accompanied by Developmental Disability Caused by Forkhead Box Protein 1 (FOXP1) Exon Deletion: A Case Report. Cureus 2021, 13, e20595. [Google Scholar] [CrossRef]
- Benvenuto, M.; Palumbo, P.; Di Muro, E.; Perrotta, C.S.; Mazza, T.; Mandarà, G.M.L.; Palumbo, O.; Carella, M. Identification of a Novel FOXP1 Variant in a Patient with Hypotonia, Intellectual Disability, and Severe Speech Impairment. Genes 2023, 14, 1958. [Google Scholar] [CrossRef] [PubMed]
- Koene, S.; Ropers, F.G.; Wieland, J.; Rybak, T.; Wildschut, F.; Berghuis, D.; Morgan, A.; Trelles, M.P.; Scheepe, J.R.; Bökenkamp, R.; et al. Clinical phenotype of FOXP1 syndrome: Parent-reported medical signs and symptoms in 40 individuals. J. Med. Genet. 2024, 61, 399–404. [Google Scholar] [CrossRef]
- Stewart, J.; Cho, G.H.Y. Autism-like features and FOXP1 syndrome: A scoping review. Brain Dev. 2025, 47, 104346. [Google Scholar] [CrossRef] [PubMed]
- Siper, P.M.; De Rubeis, S.; Trelles, M.d.P.; Durkin, A.; Di Marino, D.; Muratet, F.; Frank, Y.; Lozano, R.; Eichler, E.E.; Kelly, M.; et al. Prospective investigation of FOXP1 syndrome. Mol. Autism 2017, 8, 57. [Google Scholar] [CrossRef] [PubMed]
- Sollis, E.; Graham, S.A.; Vino, A.; Froehlich, H.; Vreeburg, M.; Dimitropoulou, D.; Gilissen, C.; Pfundt, R.; Rappold, G.A.; Brunner, H.G.; et al. Identification and functional characterization of de novo FOXP1 variants provides novel insights into the etiology of neurodevelopmental disorder. Hum. Mol. Genet. 2016, 25, 546–557. [Google Scholar] [CrossRef]
- Wang, J.; Rappold, G.A.; Fröhlich, H. Disrupted Mitochondrial Network Drives Deficits of Learning and Memory in a Mouse Model of FOXP1 Haploinsufficiency. Genes 2022, 13, 127. [Google Scholar] [CrossRef]
- Hamdan, F.F.; Daoud, H.; Rochefort, D.; Piton, A.; Gauthier, J.; Langlois, M.; Foomani, G.; Dobrzeniecka, S.; Krebs, M.-O.; Joober, R.; et al. De Novo Mutations in FOXP1 in Cases with Intellectual Disability, Autism, and Language Impairment. Am. J. Hum. Genet. 2010, 87, 671–678. [Google Scholar] [CrossRef]
- Park, S.H.E.; Kulkarni, A.; Konopka, G. FOXP1 orchestrates neurogenesis in human cortical basal radial glial cells. PLoS Biol. 2023, 21, e3001852. [Google Scholar] [CrossRef] [PubMed]
- Zhou, X.; Feliciano, P.; Shu, C.; Wang, T.; Astrovskaya, I.; Hall, J.B.; Obiajulu, J.U.; Wright, J.R.; Murali, S.C.; Xu, S.X.; et al. Integrating de novo and inherited variants in 42,607 autism cases identifies mutations in new moderate-risk genes. Nat. Genet. 2022, 54, 1305–1319. [Google Scholar] [CrossRef]
- Gilbert, J.; O’COnnor, M.; Templet, S.; Moghaddam, M.; Ioschpe, A.D.V.; Sinclair, A.; Zhu, L.-Q.; Xu, W.; Man, H.-Y. NEXMIF/KIDLIA Knock-out Mouse Demonstrates Autism-Like Behaviors, Memory Deficits, and Impairments in Synapse Formation and Function. J. Neurosci. 2020, 40, 237–254. [Google Scholar] [CrossRef] [PubMed]
- Bacon, C.; Schneider, M.; Magueresse, C.L.; Froehlich, H.; Sticht, C.; Gluch, C.; Monyer, H.; Rappold, G.A. Brain-specific Foxp1 deletion impairs neuronal development and causes autistic-like behavior. Mol. Psychiatry 2015, 20, 632–639. [Google Scholar] [CrossRef] [PubMed]
- Araujo, D.J.; Toriumi, K.; Escamilla, C.O.; Kulkarni, A.; Anderson, A.G.; Harper, M.; Usui, N.; Ellegood, J.; Lerch, J.P.; Birnbaum, S.G.; et al. Foxp1 in Forebrain Pyramidal Neurons Controls Gene Expression Required for Spatial Learning and Synaptic Plasticity. J. Neurosci. 2017, 37, 10917–10931. [Google Scholar] [CrossRef]
- Fröhlich, H.; Kollmeyer, M.L.; Linz, V.C.; Stuhlinger, M.; Groneberg, D.; Reigl, A.; Zizer, E.; Friebe, A.; Niesler, B.; Rappold, G. Gastrointestinal dysfunction in autism displayed by altered motility and achalasia in Foxp1+/− mice. Proc. Natl. Acad. Sci. USA 2019, 116, 22237–22245. [Google Scholar] [CrossRef]
- Li, M.; Santpere, G.; Kawasawa, Y.I.; Evgrafov, O.V.; Gulden, F.O.; Pochareddy, S.; Sunkin, S.M.; Li, Z.; Shin, Y.; Zhu, Y.; et al. Integrative functional genomic analysis of human brain development and neuropsychiatric risks. Science 2018, 362, eaat7615. [Google Scholar] [CrossRef]
- Han, L.; Chen, M.; Wang, Y.; Wu, H.; Quan, Y.; Bai, T.; Li, K.; Duan, G.; Gao, Y.; Hu, Z.; et al. Pathogenic missense mutation pattern of forkhead box genes in neurodevelopmental disorders. Mol. Genet. Genom. Med. 2019, 7, e00789. [Google Scholar] [CrossRef]
- Li, X.; Hao, S.; Zou, S.; Tu, X.; Kong, W.; Jiang, T.; Chen, J.-G. Cortex-restricted deletion of Foxp1 impairs barrel formation and induces aberrant tactile responses in a mouse model of autism. Mol. Autism 2023, 14, 34. [Google Scholar] [CrossRef]
- Shiota, Y.; Nishiyama, T.; Yokoyama, S.; Yoshimura, Y.; Hasegawa, C.; Tanaka, S.; Iwasaki, S.; Kikuchi, M. Association of genetic variants with autism spectrum disorder in Japanese children revealed by targeted sequencing. Front. Genet. 2024, 15, 1352480. [Google Scholar] [CrossRef] [PubMed]
- Mick, K.A. Diagnosing Autism: Comparison of the Childhood Autism Rating Scale (CARS) and the Autism Diagnostic Observation Schedule (ADOS). Ph.D. Dissertation, Wichita State University, Whichita, KS, USA, 2005. [Google Scholar]
- Constantino, J.N.; Davis, S.A.; Todd, R.D.; Schindler, M.K.; Gross, M.M.; Brophy, S.L.; Metzger, L.M.; Shoushtari, C.S.; Splinter, R.; Reich, W. Validation of a Brief Quantitative Measure of Autistic Traits: Comparison of the Social Responsiveness Scale with the Autism Diagnostic Interview-Revised. J. Autism Dev. Disord. 2003, 33, 427–433. [Google Scholar] [CrossRef] [PubMed]
- Wang, J.; Fröhlich, H.; Torres, F.B.; Silva, R.L.; Poschet, G.; Agarwal, A.; Rappold, G.A. Mitochondrial dysfunction and oxidative stress contribute to cognitive and motor impairment in FOXP1 syndrome. Proc. Natl. Acad. Sci. USA 2022, 119, e2112852119. [Google Scholar] [CrossRef]
- Bonsi, P.; De Jaco, A.; Fasano, L.; Gubellini, P. Postsynaptic autism spectrum disorder genes and synaptic dysfunction. Neurobiol. Dis. 2022, 162, 105564. [Google Scholar] [CrossRef]
- Darbandi, S.F.; An, J.Y.; Lim, K.; Page, N.F.; Liang, L.; Young, D.M.; Young, D.M.; Ypsilanti, A.R.; Nord, A.S.; Sanders, S.J.; et al. Five autism-associated transcriptional regulators target shared loci proximal to brain-expressed genes. Cell Rep. 2024, 43, 114329. [Google Scholar] [CrossRef]
- Ortiz, A.; Ayhan, F.; Khandelwal, N.; Outland, E.; Jankovic, M.; Harper, M.; Konopka, G. Cell-type-specific roles of FOXP1 in the excitatory neuronal lineage during early neocortical murine development. Cell Rep. 2025, 44, 115384. [Google Scholar] [CrossRef]
- Co, M.; Anderson, A.G.; Konopka, G. FOXP transcription factors in vertebrate brain development, function, and disorders. Wiley Interdiscip. Rev. Dev. Biol. 2020, 9, e375. [Google Scholar] [CrossRef]





| Variables | Group | n (Age in Years) | FOXP1 (pg/mL) Median (IQR) | Change | p-Value | Score |
|---|---|---|---|---|---|---|
| Controls | 40 (3–10) | 810 (671–1102) | - | <0.01 * | - | |
| CARS | Autism | 40 (3–12) | 430 (178–826) | 47% | - | - |
| Severe | 19 | 266 (150–624) | 67% | <0.01 *** | ˃36.5 | |
| Mild-to-moderate | 21 | 635 (235–1065) | 21% | 0.045 ** 0.05 # | <36.5 | |
| SRS | Severe | 32 | 430 (171–779) | 47% | <0.01 *** | ˃76 |
| Mild-to-moderate | 8 | 250 (174–984) | 69% | 0.016 ** 0.83 # | <76 | |
| Age | ˃6 years | 17 | 293 (123–577) | 0.04 § | - | |
| ≤6 years | 23 | 624 (225–1097) | - |
Disclaimer/Publisher’s Note: The statements, opinions and data contained in all publications are solely those of the individual author(s) and contributor(s) and not of MDPI and/or the editor(s). MDPI and/or the editor(s) disclaim responsibility for any injury to people or property resulting from any ideas, methods, instructions or products referred to in the content. |
© 2025 by the authors. Licensee MDPI, Basel, Switzerland. This article is an open access article distributed under the terms and conditions of the Creative Commons Attribution (CC BY) license (https://creativecommons.org/licenses/by/4.0/).
Share and Cite
Al-Ayadhi, L.Y.; Elamin, N.E.; Abdulmaged, D.A.; Halepota, A.T.; Halepoto, D.M. Examining the Potential Link Between Forkhead Box P1 and Severity and Social Impairment in Children with Autism Spectrum Disorder. J. Clin. Med. 2025, 14, 7132. https://doi.org/10.3390/jcm14207132
Al-Ayadhi LY, Elamin NE, Abdulmaged DA, Halepota AT, Halepoto DM. Examining the Potential Link Between Forkhead Box P1 and Severity and Social Impairment in Children with Autism Spectrum Disorder. Journal of Clinical Medicine. 2025; 14(20):7132. https://doi.org/10.3390/jcm14207132
Chicago/Turabian StyleAl-Ayadhi, Laila Yousef, Nadra Elyass Elamin, Durria Ahmed Abdulmaged, Aurangzeb Taj Halepota, and Dost Muhammad Halepoto. 2025. "Examining the Potential Link Between Forkhead Box P1 and Severity and Social Impairment in Children with Autism Spectrum Disorder" Journal of Clinical Medicine 14, no. 20: 7132. https://doi.org/10.3390/jcm14207132
APA StyleAl-Ayadhi, L. Y., Elamin, N. E., Abdulmaged, D. A., Halepota, A. T., & Halepoto, D. M. (2025). Examining the Potential Link Between Forkhead Box P1 and Severity and Social Impairment in Children with Autism Spectrum Disorder. Journal of Clinical Medicine, 14(20), 7132. https://doi.org/10.3390/jcm14207132

