Diagnosis of Coronary Artery Aneurysm in a Caucasian Population Cohort: Evaluating the Agreement Between Japanese Criteria and Different Z Score Formulas
Abstract
1. Introduction
2. Materials and Methods
2.1. Patients
2.2. Coronary Artery Evaluations
2.3. Statistical Analysis
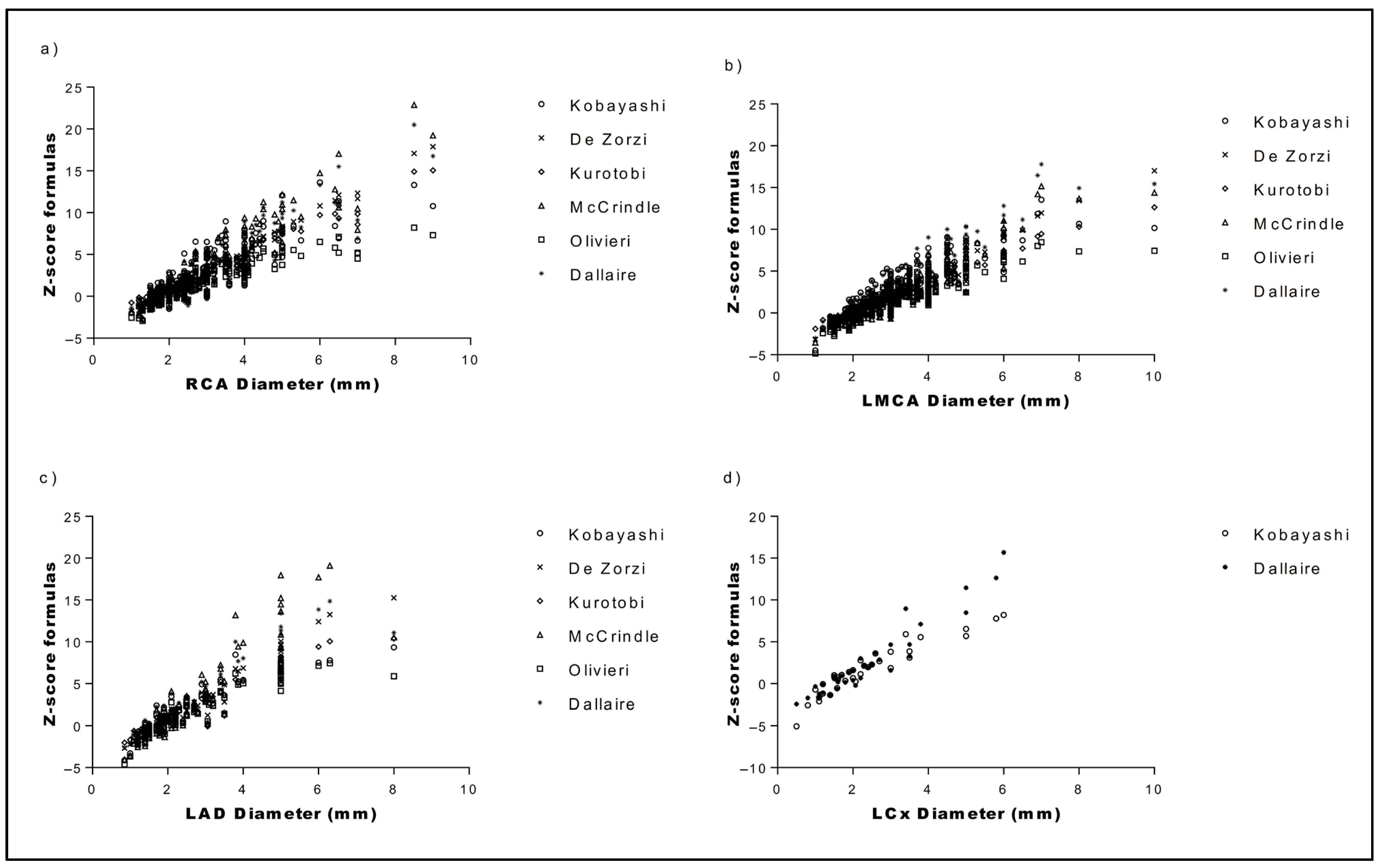
3. Results
3.1. Study Population
3.2. Comparison of JMH Criteria and Z Score Formulas for CAA Prevalence Rates
3.3. Comparison of Z Score Formulas for Caa Diagnosis
4. Discussion
5. Conclusions
Supplementary Materials
Author Contributions
Funding
Institutional Review Board Statement
Informed Consent Statement
Data Availability Statement
Acknowledgments
Conflicts of Interest
Clinical Trial Registration
Abbreviations
| AHA | American Heart Association |
| BSA | body surface area |
| CAA | coronary artery abnormalities |
| ESPED | German Pediatric Surveillance Study for Rare Diseases |
| JMH | Japanese Ministry of Health |
| KD | Kawasaki disease |
| LAD | left anterior descending |
| LCx | left circumflex |
| LMU | Ludwig Maximilian University |
| LMCA | left main coronary arteries |
| RCA | right coronary arteries |
| SD | standard deviation |
References
- McCrindle, B.W.; Rowley, A.H.; Newburger, J.W.; Burns, J.C.; Bolger, A.F.; Gewitz, M.; Baker, A.L.; Jackson, M.A.; Takahashi, M.; Shah, P.B.; et al. Diagnosis, Treatment, and Long-Term Management of Kawasaki Disease: A Scientific Statement for Health Professionals from the American Heart Association. Circulation 2017, 135, e927–e999. [Google Scholar] [CrossRef]
- Newburger, J.W.; Takahashi, M.; Burns, J.C. Kawasaki Disease. J. Am. Coll. Cardiol. 2016, 67, 1738–1749. [Google Scholar] [CrossRef] [PubMed]
- Jakob, A.; Whelan, J.; Kordecki, M.; Berner, R.; Stiller, B.; Arnold, R.; Von Kries, R.; Neumann, E.; Roubinis, N.; Robert, M.; et al. Kawasaki Disease in Germany: A Prospective, Population-Based Study Adjusted for Underreporting. Pediatr. Infect. Dis. J. 2016, 35, 129–134. [Google Scholar] [CrossRef] [PubMed]
- Kato, H.; Sugimura, T.; Akagi, T.; Sato, N.; Hashino, K.; Maeno, Y.; Kazue, T.; Eto, G.; Yamakawa, R. Long-Term Consequences of Kawasaki Disease. A 10- to 21-Year Follow-up Study of 594 Patients. Circulation 1996, 94, 1379–1385. [Google Scholar] [CrossRef] [PubMed]
- JCS Joint Working Group Guidelines for Diagnosis and Management of Cardiovascular Sequelae in Kawasaki Disease (JCS 2013)—Digest Version. Circ. J. 2014, 78, 2521–2562. [CrossRef]
- Fukazawa, R.; Kobayashi, J.; Ayusawa, M.; Hamada, H.; Miura, M.; Mitani, Y.; Tsuda, E.; Nakajima, H.; Matsuura, H.; Ikeda, K.; et al. JCS/JSCS 2020 Guideline on Diagnosis and Management of Cardiovascular Sequelae in Kawasaki Disease. Circ. J. 2020, 84, 1348–1407. [Google Scholar] [CrossRef]
- Manlhiot, C.; Millar, K.; Golding, F.; McCrindle, B.W. Improved Classification of Coronary Artery Abnormalities Based Only on Coronary Artery Z-Scores After Kawasaki Disease. Pediatr. Cardiol. 2010, 31, 242–249. [Google Scholar] [CrossRef]
- Jone, P.N.; Tremoulet, A.; Choueiter, N.; Dominguez, S.R.; Harahsheh, A.S.; Mitani, Y.; Zimmerman, M.; Lin, M.T.; Friedman, K.G. Update on Diagnosis and Management of Kawasaki Disease: A Scientific Statement from the American Heart Association. Circulation 2024, 150, 3. [Google Scholar] [CrossRef]
- Newburger, J.W.; Takahashi, M.; Gerber, M.A.; Gewitz, M.H.; Tani, L.Y.; Burns, J.C.; Shulman, S.T.; Bolger, A.F.; Ferrieri, P.; Baltimore, R.S.; et al. Diagnosis, Treatment, and Long-Term Management of Kawasaki Disease: A Statement for Health Professionals from the Committee on Rheumatic Fever, Endocarditis, and Kawasaki Disease, Council on Cardiovascular Disease in the Young, American Heart Association. Pediatrics 2004, 114, 1708–1733. [Google Scholar] [CrossRef]
- De Zorzi, A.; Colan, S.D.; Gauvreau, K.; Baker, A.L.; Sundel, R.P.; Newburger, J.W. Coronary Artery Dimensions May Be Misclassified as Normal in Kawasaki Disease. J. Pediatr. 1998, 133, 254–258. [Google Scholar] [CrossRef]
- Cantinotti, M.; Scalese, M.; Contini, F.V.; Franchi, E.; Viacava, C.; Corana, G.; Pizzuto, A.; Pietro, M.; Santoro, G.; Assanta, N. Comprehensive Two-Dimensional Pediatric Echocardiographic Nomograms for Coronary Artery Sizes in Caucasian Children and Comparison among Major Nomograms. Diagnostics 2024, 14, 1029. [Google Scholar] [CrossRef] [PubMed]
- Jakob, A.; von Kries, R.; Horstmann, J.; Hufnagel, M.; Stiller, B.; Berner, R.; Schachinger, E.; Meyer, K.; Obermeier, V. Failure to Predict High-Risk Kawasaki Disease Patients in a Population-Based Study Cohort in Germany. Pediatr. Infect. Dis. J. 2018, 37, 850–855. [Google Scholar] [CrossRef] [PubMed]
- Meyer, K.; Volkmann, A.; Hufnagel, M.; Schachinger, E.; Klau, S.; Horstmann, J.; Berner, R.; Fischer, M.; Lehner, A.; Haas, N.; et al. Breastfeeding and Vitamin D Supplementation Reduce the Risk of Kawasaki Disease in a German Population-Based Case-Control Study. BMC Pediatr. 2019, 19, 66. [Google Scholar] [CrossRef] [PubMed]
- Kobayashi, T.; Fuse, S.; Sakamoto, N.; Mikami, M.; Ogawa, S.; Hamaoka, K.; Arakaki, Y.; Nakamura, T.; Nagasawa, H.; Kato, T.; et al. A New Z Score Curve of the Coronary Arterial Internal Diameter Using the Lambda-Mu-Sigma Method in a Pediatric Population. J. Am. Soc. Echocardiogr. 2016, 29, 794–801.e29. [Google Scholar] [CrossRef]
- Kurotobi, S.; Nagai, T.; Kawakami, N.; Sano, T. Coronary Diameter in Normal Infants, Children and Patients with Kawasaki Disease. Pediatr. Int. 2002, 44, 1–4. [Google Scholar] [CrossRef]
- McCrindle, B.W.; Li, J.S.; Minich, L.L.A.; Colan, S.D.; Atz, A.M.; Takahashi, M.; Vetter, V.L.; Gersony, W.M.; Mitchell, P.D.; Newburger, J.W. Coronary Artery Involvement in Children with Kawasaki Disease: Risk Factors from Analysis of Serial Normalized Measurements. Circulation 2007, 116, 174–179. [Google Scholar] [CrossRef]
- Olivieri, L.; Arling, B.; Friberg, M.; Sable, C. Coronary Artery Z Score Regression Equations and Calculators Derived From a Large Heterogeneous Population of Children Undergoing Echocardiography. J. Am. Soc. Echocardiogr. 2009, 22, 159–164. [Google Scholar] [CrossRef]
- Dallaire, F.; Dahdah, N. New Equations and a Critical Appraisal of Coronary Artery Z Scores in Healthy Children. J. Am. Soc. Echocardiogr. 2011, 24, 60–74. [Google Scholar] [CrossRef]
- Walter, S.D.; Altman, D.G. Practical Statistics for Medical Research. Biometrics 1990, 48, 656. [Google Scholar] [CrossRef]
- Crystal, M.A.; Manlhiot, C.; Yeung, R.S.M.; Smallhorn, J.F.; McCrindle, B.W. Coronary Artery Dilation after Kawasaki Disease for Children within the Normal Range. Int. J. Cardiol. 2009, 136, 27–32. [Google Scholar] [CrossRef]
- Lin, M.-T.; Chang, C.-H.; Hsieh, W.-C.; Chang, C.-E.; Chang, Y.-M.; Chen, Y.-C.; Hsu, J.-Y.; Huang, Y.-L.; Ma, J.-Y.; Sun, L.-C.; et al. Coronary Diameters in Taiwanese Children Younger than 6 Years Old: Z-Score Regression Equations Derived from Body Surface Area. Acta Cardiol. Sin. 2014, 30, 266. [Google Scholar]
- Colan, S.D. The Why and How of Z Scores. J. Am. Soc. Echocardiogr. 2013, 26, 38–40. [Google Scholar] [CrossRef]
- Gerling, S.; Hörl, M.; Geis, T.; Zant, R.; Dechant, M.J.; Melter, M.; Michel, H. Coronary Artery Z-Scores in Febrile Children with Suspected Kawasaki’s Disease-The Value of Serial Echocardiography. Thorac. Cardiovasc. Surg. 2022, 70, E1–E6. [Google Scholar] [CrossRef]
- Kim, S.H.; Kim, J.Y.; Kim, G.B.; Yu, J.J.; Choi, J.W. Diagnosis of Coronary Artery Abnormalities in Patients with Kawasaki Disease According to Established Guidelines and Z Score Formulas. J. Am. Soc. Echocardiogr. 2021, 34, 662–672.e3. [Google Scholar] [CrossRef]
- Liu, H.H.; Qiu, Z.; Fan, G.Z.; Jiang, Q.; Li, R.X.; Chen, W.X.; Liu, F.F.; Wu, Y.; Wang, J.J.; Wu, Y.F.; et al. Assessment of Coronary Artery Abnormalities and Variability of Z-Score Calculation in the Acute Episode of Kawasaki Disease—A Retrospective Study from China. Eur. J. Clin. Investig. 2021, 51, e13409. [Google Scholar] [CrossRef]
- Si, X.; Hou, C.; Wang, H.; Yan, W.; Tang, Y.; Hu, X.; Ni, J.; Sun, L.; Lv, H.; Xu, Q.Q. Comparison of Six Z-Score Formulas Based on Echocardiography for Coronary Artery Lesions in Kawasaki Disease. Int. J. Cardiol. 2024, 409, 132102. [Google Scholar] [CrossRef] [PubMed]
- Dallaire, F.; Fournier, A.; Breton, J.; Nguyen, T.D.; Spigelblatt, L.; Dahdah, N. Marked Variations in Serial Coronary Artery Diameter Measures in Kawasaki Disease: A New Indicator of Coronary Involvement. J. Am. Soc. Echocardiogr. 2012, 25, 859–865. [Google Scholar] [CrossRef] [PubMed]
- Ronai, C.; Hamaoka-Okamoto, A.; Baker, A.L.; De Ferranti, S.D.; Colan, S.D.; Newburger, J.W.; Friedman, K.G. Coronary Artery Aneurysm Measurement and Z Score Variability in Kawasaki Disease. J. Am. Soc. Echocardiogr. 2016, 29, 150–157. [Google Scholar] [CrossRef] [PubMed]
- Lorenzoni, R.P.; Elkins, N.; Quezada, M.; Silver, E.J.; Mahgerefteh, J.; Hsu, D.T.; Choueiter, N.F. Impact of Z Score System on the Management of Coronary Artery Lesions in Kawasaki Disease. Cardiol. Young 2022, 32, 952–959. [Google Scholar] [CrossRef]
- Weisser, J.; Arnold, L.; Wällisch, W.; Quandt, D.; Opgen-Rhein, B.; Riede, F.; Gräfe, F.; Michel, J.; Arnold, R.; Schneider, H.; et al. Specific Morphology of Coronary Artery Aneurysms in Mainly White Patients With Kawasaki Disease: Initial Data From the Cardiac Catheterization in Kawasaki Disease Registry. J. Am. Heart Assoc. 2024, 13, e034248. [Google Scholar] [CrossRef]
- Ogata, S.; Tremoulet, A.H.; Sato, Y.; Ueda, K.; Shimizu, C.; Sun, X.; Jain, S.; Silverstein, L.; Baker, A.L.; Tanaka, N.; et al. Coronary Artery Outcomes among Children with Kawasaki Disease in the United States and Japan. Int. J. Cardiol. 2013, 168, 3825. [Google Scholar] [CrossRef]
- Tools|IKDS. Available online: https://www.ikds.org/our-tools (accessed on 5 September 2025).
- Lauzon-Schnittka, J.; Plante, V.; Dahdah, N.; Greenway, S.C.; Drolet, C.; Wong, K.; Mackie, A.S.; Mertens, L.; Cavallé-Garrido, T.; Penslar, J.; et al. Z Scores for Pediatric Echocardiography Dimensions Adjusted for Body Size, BMI, and Age. Circ. Cardiovasc. Imaging 2025, 18, 17944. [Google Scholar] [CrossRef]
- Gerling, S.; Dalla-Pozza, R.; Michel, H.; Jakob, A.; Melter, M.; Dechant, M.J. Successful Non-Invasive Imaging of the Coronary Artery IMT in Pediatric Patients with Kawasaki Disease Using High-Resolution Echocardiography. Sci. Rep. 2024, 14, 25547. [Google Scholar] [CrossRef]




| n | ||
|---|---|---|
| Males | 309 | 204 (66) |
| Age at manifestation (months) | 309 | 32.3 (42.0) |
| Height (cm) | 309 | 95.0 (31.6) |
| Weight (kg) | 309 | 13.5 (8.0) |
| BSA (m2) | 309 | 0.601 (0.28) |
| Proximal RCA (mm) | 226 | 2.45 (1.42) |
| Proximal LMCA (mm) | 252 | 3.00 (1.28) |
| Proximal LAD (mm) | 75 | 2.20 (1.42) |
| Proximal LCx (mm) | 36 | 2.035 (1.50) |
| Prevalence (%) | Z Score Formulas | Prevalence (%) | p Value | |
|---|---|---|---|---|
| RCA dilatation/aneurysm (n = 226) | ||||
| Japanese Criteria | 32.7 | Kobayashi | 39.8 | <0.001 |
| de Zorzi | 38.9 | <0.001 | ||
| Kurotobi | 37.2 | 0.013 | ||
| McCrindle | 37.6 | 0.013 | ||
| Olivieri | 30.5 | 0.405 | ||
| Dallaire | 35.0 | 0.359 | ||
| LMCA dilatation/aneurysm (n = 252) | ||||
| Japanese Criteria | 47.6 | Kobayashi | 44.8 | 0.324 |
| de Zorzi | 29.4 | <0.001 | ||
| Kurotobi | 25.8 | <0.001 | ||
| McCrindle | 30.6 | <0.001 | ||
| Olivieri | 29.4 | <0.001 | ||
| Dallaire | 42.9 | 0.065 | ||
| LAD dilatation/aneurysm (n = 75) | ||||
| Japanese Criteria | 26.7 | Kobayashi | 36.0 | 0.016 |
| de Zorzi | 37.3 | 0.008 | ||
| Kurotobi | 30.7 | 0.250 | ||
| McCrindle | 38.7 | 0.004 | ||
| Olivieri | 29.3 | 0.625 | ||
| Dallaire | 38.7 | 0.004 | ||
| LCx dilatation/aneurysm (n = 36) | ||||
| Japanese Criteria | 25.0 | Kobayashi | 33.3 | 0.250 |
| Dallaire | 33.3 | 0.250 | ||
| Kobayashi | de Zorzi | Kurotobi | McCrindle | Olivieri | Dallaire | |
|---|---|---|---|---|---|---|
| Z score models for proximal RCA (n = 226) | 2.6 ± 2.9 | 2.5 ± 3.1 | 2.5 ± 2.6 | 2.8 ± 3.8 | 1.5 ± 2 | 2.6 ± 3.4 |
| Z score models for proximal LMCA (n = 252) | 2.7 ± 2.7 | 1.9 ± 2.7 | 1.8 ± 2 | 1.9 ± 3 | 1.7 ± 2.1 | 2.8 ± 3.2 |
| Z score models for proximal LAD (n = 75) | 2.1 ± 2.9 | 2.7 ± 3.9 | 2.1 ± 2.9 | 3.1 ± 5.4 | 1.6 ± 2.7 | 3 ± 4.1 |
| Z score models for proximal LCx (n = 36) | 1.7 ± 2.9 | 2.5 ± 4.3 |
| RCA | LMCA | LAD | LCx | |||||
|---|---|---|---|---|---|---|---|---|
|
Value of
Agreement |
Level of
Agreement |
Value of
Agreement |
Level of
Agreement |
Value of
Agreement |
Level of
Agreement |
Value of
Agreement |
Level of
Agreement | |
| Kobayashi—de Zorzi | 0.588 | Moderate | 0.467 | Moderate | 0.779 | Substantial | - | - |
| Kobayashi—Kurotobi | 0.695 | Substantial | 0.397 | Fair | 0.723 | Substantial | - | - |
| Kobayashi—McCrindle | 0.754 | Substantial | 0.542 | Moderate | 0.649 | Substantial | - | - |
| Kobayashi—Olivieri | 0.476 | Moderate | 0.468 | Moderate | 0.657 | Substantial | - | - |
| Kobayashi—Dallaire | 0.765 | Substantial | 0.831 | Almost perfect | 0.745 | Substantial | 0.857 | Almost perfect |
| de Zorzi—Kurotobi | 0.799 | Substantial | 0.836 | Almost perfect | 0.722 | Substantial | - | - |
| de Zorzi—McCrindle | 0.664 | Substantial | 0.684 | Substantial | 0.688 | Substantial | - | - |
| de Zorzi—Olivieri | 0.563 | Moderate | 0.640 | Substantial | 0.519 | Moderate | - | - |
| de Zorzi—Dallaire | 0.659 | Substantial | 0.486 | Moderate | 0.741 | Substantial | - | - |
| Kurotobi—McCrindle | 0.714 | Substantial | 0.717 | Substantial | 0.559 | Moderate | - | - |
| Kurotobi—Olivieri | 0.627 | Substantial | 0.718 | Substantial | 0.783 | Substantial | - | - |
| Kurotobi—Dallaire | 0.731 | Substantial | 0.402 | Moderate | 0.576 | Moderate | - | - |
| McCrindle—Olivieri | 0.417 | Moderate | 0.770 | Substantial | 0.406 | Moderate | - | - |
| McCrindle—Dallaire | 0.834 | Almost perfect | 0.569 | Moderate | 0.870 | Almost perfect | - | - |
| Olivieri—Dallaire | 0.544 | Moderate | 0.453 | Moderate | 0.425 | Moderate | - | - |
Disclaimer/Publisher’s Note: The statements, opinions and data contained in all publications are solely those of the individual author(s) and contributor(s) and not of MDPI and/or the editor(s). MDPI and/or the editor(s) disclaim responsibility for any injury to people or property resulting from any ideas, methods, instructions or products referred to in the content. |
© 2025 by the authors. Licensee MDPI, Basel, Switzerland. This article is an open access article distributed under the terms and conditions of the Creative Commons Attribution (CC BY) license (https://creativecommons.org/licenses/by/4.0/).
Share and Cite
Pastor-Villaescusa, B.; Mandilaras, G.; Weißer, J.; Pattathu, J.; Haas, N.A.; Jakob, A. Diagnosis of Coronary Artery Aneurysm in a Caucasian Population Cohort: Evaluating the Agreement Between Japanese Criteria and Different Z Score Formulas. J. Clin. Med. 2025, 14, 6581. https://doi.org/10.3390/jcm14186581
Pastor-Villaescusa B, Mandilaras G, Weißer J, Pattathu J, Haas NA, Jakob A. Diagnosis of Coronary Artery Aneurysm in a Caucasian Population Cohort: Evaluating the Agreement Between Japanese Criteria and Different Z Score Formulas. Journal of Clinical Medicine. 2025; 14(18):6581. https://doi.org/10.3390/jcm14186581
Chicago/Turabian StylePastor-Villaescusa, Belén, Guido Mandilaras, Julia Weißer, Joseph Pattathu, Nikolaus A. Haas, and André Jakob. 2025. "Diagnosis of Coronary Artery Aneurysm in a Caucasian Population Cohort: Evaluating the Agreement Between Japanese Criteria and Different Z Score Formulas" Journal of Clinical Medicine 14, no. 18: 6581. https://doi.org/10.3390/jcm14186581
APA StylePastor-Villaescusa, B., Mandilaras, G., Weißer, J., Pattathu, J., Haas, N. A., & Jakob, A. (2025). Diagnosis of Coronary Artery Aneurysm in a Caucasian Population Cohort: Evaluating the Agreement Between Japanese Criteria and Different Z Score Formulas. Journal of Clinical Medicine, 14(18), 6581. https://doi.org/10.3390/jcm14186581

