Fixed-Bearing Versus Mobile-Bearing Prostheses in Total Ankle Arthroplasty: A Systematic Review and Meta-Analysis
Abstract
1. Introduction
2. Materials and Methods
2.1. Search Strategy and Eligibility Criteria
2.2. Study Assessment and Data Extraction
2.3. Statistical Analysis
3. Results
3.1. Search and Selection Process
3.2. Descriptive Data of Included Studies
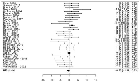
3.3. MB vs. FB: Complications
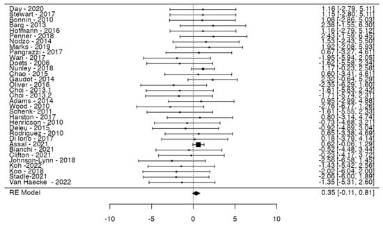
3.4. MB vs. FB: Major Events
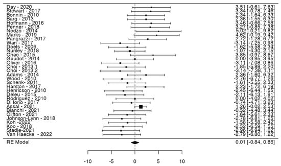
3.5. MB vs. FB: Minor Events
4. Discussion
5. Conclusions
Author Contributions
Funding
Institutional Review Board Statement
Informed Consent Statement
Data Availability Statement
Conflicts of Interest
References
- Cody, E.A.; Bejarano-Pineda, L.; Lachman, J.R.; Taylor, M.A.; Gausden, E.B.; DeOrio, J.K.; Easley, M.E.; Nunley, J.A. Risk Factors for Failure of Total Ankle Arthroplasty With a Minimum Five Years of Follow-Up. Foot Ankle Int. 2019, 40, 249–258. [Google Scholar] [CrossRef]
- Courville, X.F.; Hecht, P.J.; Tosteson, A.N.A. Is Total Ankle Arthroplasty A Cost-Effective Alternative to Ankle Fusion? Clin. Orthop. Relat. Res. 2011, 469, 1721–1727. [Google Scholar] [CrossRef]
- Saltzman, C.L.; Mann, R.A.; Ahrens, J.E.; Amendola, A.; Anderson, R.B.; Berlet, G.C.; Brodsky, J.W.; Chou, L.B.; Clanton, T.O.; Deland, J.T.; et al. Prospective Controlled Trial of STAR Total Ankle Replacement versus Ankle Fusion: Initial Results. Foot Ankle Int. 2009, 30, 579–596. [Google Scholar] [CrossRef] [PubMed]
- Zaidi, R.; Cro, S.; Gurusamy, K.; Siva, N.; Macgregor, A.; Henricson, A.; Goldberg, A. The Outcome of Total Ankle Replacement: A Systematic Review and Meta-Analysis. Bone Jt. J. 2013, 95-B, 1500–1507. [Google Scholar] [CrossRef] [PubMed]
- McKenna, B.J.; Cook, J.; Cook, E.A.; Crafton, J.; Knabel, M.; Swenson, E.; Miner, S.; Manning, E.; Basile, P. Total Ankle Arthroplasty Survivorship: A Meta-Analysis. J. Foot Ankle Surg. 2020, 59, 1040–1048. [Google Scholar] [CrossRef] [PubMed]
- Penner, M.; Davis, W.H.; Wing, K.; Bemenderfer, T.; Waly, F.; Anderson, R.B. The Infinity Total Ankle System: Early Clinical Results With 2- to 4-Year Follow-Up. Foot Ankle Spec. 2019, 12, 159–166. [Google Scholar] [CrossRef]
- González-Alonso, M.; Trapote-Cubillas, A.R.; Madera-González, F.J.; Fernández-Hernández, Ó.; Sánchez-Lázaro, J.A. Fixed-Bearing versus Mobile-Bearing Total Ankle Replacement Survivorship. A Meta-Analysis. Foot Ankle Surg. 2024, 30, 275–284. [Google Scholar] [CrossRef]
- Valderrabano, V.; Pagenstert, G.I.; Müller, A.M.; Paul, J.; Henninger, H.B.; Barg, A. Mobile- and Fixed-Bearing Total Ankle Prostheses: Is There Really a Difference? Foot Ankle Clin. 2012, 17, 565–585. [Google Scholar] [CrossRef]
- Page, M.J.; McKenzie, J.E.; Bossuyt, P.M.; Boutron, I.; Hoffmann, T.C.; Mulrow, C.D.; Shamseer, L.; Tetzlaff, J.M.; Akl, E.A.; Brennan, S.E.; et al. The PRISMA 2020 Statement: An Updated Guideline for Reporting Systematic Reviews. BMJ 2021, 372, n71. [Google Scholar] [CrossRef]
- Slim, K.; Nini, E.; Forestier, D.; Kwiatkowski, F.; Panis, Y.; Chipponi, J. Methodological Index for Non-Randomized Studies (Minors): Development and Validation of a New Instrument. ANZ J. Surg. 2003, 73, 712–716. [Google Scholar] [CrossRef]
- Viechtbauer, W. Confidence Intervals for the Amount of Heterogeneity in Meta-Analysis. Stat. Med. 2007, 26, 37–52. [Google Scholar] [CrossRef]
- Cochran, W.G. The Combination of Estimates from Different Experiments. Biometrics 1954, 10, 101–129. [Google Scholar] [CrossRef]
- Day, J.; Principe, P.S.; Caolo, K.C.; Fragomen, A.T.; Rozbruch, S.R.; Ellis, S.J. A Staged Approach to Combined Extra-Articular Limb Deformity Correction and Total Ankle Arthroplasty for End-Stage Ankle Arthritis. Foot Ankle Int. 2021, 42, 257–267. [Google Scholar] [CrossRef]
- Stewart, M.G.; Green, C.L.; Adams, S.B.; DeOrio, J.K.; Easley, M.E.; Nunley, J.A. Midterm Results of the Salto Talaris Total Ankle Arthroplasty. Foot Ankle Int. 2017, 38, 1215–1221. [Google Scholar] [CrossRef]
- Bonnin, M.; Gaudot, F.; Laurent, J.R.; Ellis, S.; Colombier, J.A.; Judet, T. The Salto Total Ankle Arthroplasty: Survivorship and Analysis of Failures at 7 to 11 Years. Clin. Orthop. Relat. Res. 2011, 469, 225–236. [Google Scholar] [CrossRef]
- Barg, A.; Elsner, A.; Chuckpaiwong, B.; Hintermann, B. Insert Position in Three-Component Total Ankle Replacement. Foot Ankle Int. 2010, 31, 754–759. [Google Scholar] [CrossRef]
- Hofmann, K.J.; Shabin, Z.M.; Ferkel, E.; Jockel, J.; Slovenkai, M.P. Salto Talaris Total Ankle Arthroplasty: Clinical Results at a Mean of 5.2 Years in 78 Patients Treated by a Single Surgeon. JBJS 2016, 98, 2036–2046. [Google Scholar] [CrossRef]
- Nodzo, S.R.; Miladore, M.P.; Kaplan, N.B.; Ritter, C.A. Short to Midterm Clinical and Radiographic Outcomes of the Salto Total Ankle Prosthesis. Foot Ankle Int. 2014, 35, 22–29. [Google Scholar] [CrossRef]
- Marks, R.M. Mid-Term Prospective Clinical and Radiographic Outcomes of a Modern Fixed-Bearing Total Ankle Arthroplasty. J. Foot Ankle Surg. 2019, 58, 1163–1170. [Google Scholar] [CrossRef]
- Pangrazzi, G.J.; Baker, E.A.; Shaheen, P.J.; Okeagu, C.N.; Fortin, P.T. Single-Surgeon Experience and Complications of a Fixed-Bearing Total Ankle Arthroplasty. Foot Ankle Int. 2018, 39, 46–58. [Google Scholar] [CrossRef] [PubMed]
- Wan, D.D.; Choi, W.J.; Shim, D.W.; Hwang, Y.; Park, Y.J.; Lee, J.W. Short-Term Clinical and Radiographic Results of the Salto Mobile Total Ankle Prosthesis. Foot Ankle Int. 2018, 39, 155–165. [Google Scholar] [CrossRef]
- Doets, H.C.; Brand, R.; Nelissen, R.G.H.H. Total Ankle Arthroplasty in Inflammatory Joint Disease with Use of Two Mobile-Bearing Designs. J. Bone Jt. Surg. Am. 2006, 88, 1272–1284. [Google Scholar] [CrossRef]
- Nunley, J.A.; Adams, S.B.; Easley, M.E.; DeOrio, J.K. Prospective Randomized Trial Comparing Mobile-Bearing and Fixed-Bearing Total Ankle Replacement. Foot Ankle Int. 2019, 40, 1239–1248. [Google Scholar] [CrossRef]
- Chao, J.; Choi, J.H.; Grear, B.J.; Tenenbaum, S.; Bariteau, J.T.; Brodsky, J.W. Early Radiographic and Clinical Results of Salto Total Ankle Arthroplasty as a Fixed-Bearing Device. Foot Ankle Surg. 2015, 21, 91–96. [Google Scholar] [CrossRef]
- Gaudot, F.; Colombier, J.-A.; Bonnin, M.; Judet, T. A Controlled, Comparative Study of a Fixed-Bearing versus Mobile-Bearing Ankle Arthroplasty. Foot Ankle Int. 2014, 35, 131–140. [Google Scholar] [CrossRef]
- Oliver, S.M.; Coetzee, J.C.; Nilsson, L.J.; Samuelson, K.M.; Stone, R.M.; Fritz, J.E.; Giveans, M.R. Early Patient Satisfaction Results on a Modern Generation Fixed-Bearing Total Ankle Arthroplasty. Foot Ankle Int. 2016, 37, 938–943. [Google Scholar] [CrossRef]
- Choi, G.W.; Kim, H.J.; Yeo, E.D.; Song, S.Y. Comparison of the HINTEGRA and Mobility Total Ankle Replacements. Short- to Intermediate-Term Outcomes. Bone Jt. J. 2013, 95-B, 1075–1082. [Google Scholar] [CrossRef]
- Adams, S.B.; Demetracopoulos, C.A.; Queen, R.M.; Easley, M.E.; DeOrio, J.K.; Nunley, J.A. Early to Mid-Term Results of Fixed-Bearing Total Ankle Arthroplasty with a Modular Intramedullary Tibial Component. J. Bone Jt. Surg. Am. 2014, 96, 1983–1989. [Google Scholar] [CrossRef]
- Wood, P.L.R.; Karski, M.T.; Watmough, P. Total Ankle Replacement: The Results of 100 Mobility Total Ankle Replacements. J. Bone Jt. Surg. Br. 2010, 92, 958–962. [Google Scholar] [CrossRef]
- Schenk, K.; Lieske, S.; John, M.; Franke, K.; Mouly, S.; Lizee, E.; Neumann, W. Prospective Study of a Cementless, Mobile-Bearing, Third Generation Total Ankle Prosthesis. Foot Ankle Int. 2011, 32, 755–763. [Google Scholar] [CrossRef]
- Harston, A.; Lazarides, A.L.; Adams, S.B.; DeOrio, J.K.; Easley, M.E.; Nunley, J.A. Midterm Outcomes of a Fixed-Bearing Total Ankle Arthroplasty With Deformity Analysis. Foot Ankle Int. 2017, 38, 1295–1300. [Google Scholar] [CrossRef]
- Henricson, A.; Knutson, K.; Lindahl, J.; Rydholm, U. The AES Total Ankle Replacement: A Mid-Term Analysis of 93 Cases. Foot Ankle Surg. 2010, 16, 61–64. [Google Scholar] [CrossRef]
- Deleu, P.A.; Devos Bevernage, B.; Gombault, V.; Maldague, P.; Leemrijse, T. Intermediate-Term Results of Mobile-Bearing Total Ankle Replacement. Foot Ankle Int. 2015, 36, 518–530. [Google Scholar] [CrossRef] [PubMed]
- Rodriguez, D.; Bevernage, B.D.; Maldague, P.; Deleu, P.-A.; Tribak, K.; Leemrijse, T. Medium Term Follow-up of the AES Ankle Prosthesis: High Rate of Asymptomatic Osteolysis. Foot Ankle Surg. 2010, 16, 54–60. [Google Scholar] [CrossRef]
- Di Iorio, A.; Viste, A.; Fessy, M.H.; Besse, J.L. The AES Total Ankle Arthroplasty Analysis of Failures and Survivorship at Ten Years. Int. Orthop. 2017, 41, 2525–2533. [Google Scholar] [CrossRef]
- Assal, M.; Kutaish, H.; Acker, A.; Hattendorf, J.; Lübbeke, A.; Crevoisier, X. Three-Year Rates of Reoperation and Revision Following Mobile Versus Fixed-Bearing Total Ankle Arthroplasty: A Cohort of 302 Patients with 2 Implants of Similar Design. JBJS 2021, 103, 2080. [Google Scholar] [CrossRef]
- Bianchi, A.; Martinelli, N.; Caboni, E.; Raggi, G.; Manfroni, F.; Sansone, V. Long-Term Follow-up of Bologna-Oxford (BOX) Total Ankle Arthroplasty. Int. Orthop. 2021, 45, 1223–1231. [Google Scholar] [CrossRef]
- Clifton, L.J.; Kingman, A.; Rushton, P.R.P.; Murty, A.; Kakwani, R.; Coorsh, J.; Townshend, D.N. The Hintegra Total Ankle Replacement: Survivorship, Failure Modes and Patient Reported Outcomes in Seventy Consecutive Cases with a Minimum Five Year Follow-Up. Int. Orthop. 2021, 45, 2331–2336. [Google Scholar] [CrossRef]
- Johnson-Lynn, S.E.; Ramaskandhan, J.; Siddique, M.S. The Effect of Patient Age and Diagnosis on the 5-Year Outcomes of Mobile-Bearing Total Ankle Replacement. Foot 2018, 36, 1. [Google Scholar] [CrossRef]
- Koh, D.T.S.; Chen, J.Y.; Tan, S.M.; Tay, K.S.; Singh, I.R.; Yeo, N.E.M. Mid-Term Functional and Radiological Outcomes of Total Ankle Replacement in an Asian Cohort. J. Foot Ankle Surg. 2022, 61, 363–368. [Google Scholar] [CrossRef]
- Koo, K.; Liddle, A.D.; Pastides, P.S.; Rosenfeld, P.F. The Salto Total Ankle Arthroplasty—Clinical and Radiological Outcomes at Five Years. Foot Ankle Surg. 2019, 25, 523–528. [Google Scholar] [CrossRef]
- Stadler, C.; Stöbich, M.; Ruhs, B.; Kaufmann, C.; Pisecky, L.; Stevoska, S.; Gotterbarm, T.; Klotz, M.C. Intermediate to Long-Term Clinical Outcomes and Survival Analysis of the Salto Mobile Bearing Total Ankle Prothesis. Arch. Orthop. Trauma Surg. 2022, 142, 3697–3704. [Google Scholar] [CrossRef]
- Van Haecke, A.; Semay, B.; Fessy, M.-H.; Romain-Scelle, N.; Besse, J.-L. 97 HINTEGRA Ankle Prostheses: Results and Survival at More than 5 Years’ Follow-Up. Foot Ankle Surg. 2022, 28, 1241–1247. [Google Scholar] [CrossRef]
- Saltzman, C.L.; Amendola, A.; Anderson, R.; Coetzee, J.C.; Gall, R.J.; Haddad, S.L.; Herbst, S.; Lian, G.; Sanders, R.W.; Scioli, M.; et al. Surgeon Training and Complications in Total Ankle Arthroplasty. Foot Ankle Int. 2003, 24, 514–518. [Google Scholar] [CrossRef]
- Wu, Y.; Liu, P.; Chu, P.K. Mechano-Bactericidal Activities of Orthopedic Implants with Nanostructured Surfaces: Recent Advances and Prospects. Adv. Mater. Interfaces 2025, 12, 2400004. [Google Scholar] [CrossRef]








| First Author—Year Published | Study Type | N. Patients | N Ankles | Sex (Male) | Age (Mean) | BMI (kg/m2) | FU (Months) (Mean) | Hardware Type | Insert Type | Reoperation | Revision | Revision of 1 or Both Components | Arthrodesis | Underwent Below-the-Knee Amputations |
|---|---|---|---|---|---|---|---|---|---|---|---|---|---|---|
| Day, 2020 [13] | Retrospective study | 82 | 85 | 34 | 63.5 | 28.1 | 85.2 | Salto Talaris | FB | 18 | 2 | 2 | 0 | 0 |
| Stewart, 2017 [14] | Retrospective study | 72 | 72 | 22 | 61.9 | 29.6 | 81.1 | Salto Talaris | FB | 17 | 2 | 2 | 0 | 0 |
| Bonnin, 2010 [15] | Retrospective study | 96 | 96 | 36 | 56 | 24 | 106.8 | Salto | FB | 16 | 8 | 2 | 6 | 0 |
| Barg, 2013 [16] | Retrospective study | 684 | 722 | 387 | 61.1 | 26.9 | 75.6 | HINTEGRA | FB | 0 | 61 | 54 | 7 | 0 |
| Hofmann, 2016 [17] | Retrospective study | 78 | 81 | 32 | 64.3 | 29.4 | 64.2 | Salto Talaris | FB | 17 | 2 | 2 | 0 | 0 |
| Penner, 2018 [6] | Retrospective study | 67 | 67 | 37 | 61.5 | 29.8 | 35.4 | Infinity | FB | 6 | 2 | 2 | 0 | 0 |
| Nodzo, 2014 [18] | Retrospective study | 74 | 75 | 33 | 60.6 | 31 | 43 | Salto Talaris | FB | 13 | 0 | 0 | 0 | 0 |
| Marks, 2019 [19] | Retrospective study | 46 | 50 | 25 | 65.3 | 29.4 | 58.8 | Salto Talaris | FB | 6 | 0 | 0 | 0 | 0 |
| Pangrazzi, 2017 [20] | Retrospective study | 96 | 104 | 48 | 65 | 29.0 | 46 | Salto Talaris | FB | 29 | 6 | 5 | 1 | 0 |
| Wan, 2017 [21] | Retrospective study | 59 | 59 | 31 | 64.1 | 26.1 | 35.9 | Salto | MB | 5 | 2 | 0 | 2 | 0 |
| Doets, 2006 [22] | Prospective study | 76 | 93 | 63 | 57.6 | NR | 91.2 | LCS | MB | 0 | 15 | 2 | 13 | 0 |
| Nunley, 2018 [23] | Prospective randomized trial | 84 | 84 | 31 | NR | NR | 54 | STAR; Salto Talaris | MB; FB | 3 (FB); 8 (MB) | 1 (FB) | 1 (fixed) | 0 | 0 |
| Chao, 2015 [24] | Retrospective study | 23 | 23 | 6 | 68.6 | 28.4 | 36 | Salto | FB | 8 | 1 | 0 | 1 | 0 |
| Gaudot, 2014 [25] | Retrospective study | 66 | 66 | 18; 19 | 64 | NR | 24; 23 | Salto; Salto Talaris | MB; FB | 4 (MB) | 1 (FB) | 0 | 1 (FB) | 0 |
| Oliver, 2016 [26] | Retrospective study | 245 | 245 | 131 | 65.5 | NR | 38.9 | Salto Talaris | MB | 11 | 10 | 2 | 8 | 0 |
| Choi, 2013 [27] | Retrospective study | 102 | 67 | 63 | 21;20 | NR | 53; 34 | Hintegra; Mobility | MB | 1; 4 | 4; 1 | 4 (Hintegra) | 1 (Mobility) | 0 |
| Adams, 2014 [28] | Retrospective study | 194 | 194 | 135 | 64 | NR | 44.4 | INBONE | FB | 28 | 12 | 6 | 6 | 0 |
| Wood, 2010 [29] | Prospective study | 94 | 91 | 53 | 60 | NR | 43 | Mobility | MB | 0 | 5 | 3 | 2 | 0 |
| Schenk, 2011 [30] | Prospective study | 218 | 218 | NR | 56.8 | NR | 29 | Salto | MB | 0 | 36 | 24 | 12 | 0 |
| Harston, 2017 [31] | Retrospective study | 142 | 149 | 93 | 63.2 | 29.3 | 70.8 | INBONE I | FB | 32 | 14 | 9 | 4 | 1 |
| Henricson, 2010 [32] | Retrospective study | 93 | 93 | 35 | NR | NR | 42 | AES | MB | 23 | 7 | 3 | 4 | 0 |
| Deleu, 2015 [33] | Retrospective study | 50 | 50 | 25 | 54.9 | 27.1 | 45 | Hintegra | MB | 9 | 5 | 2 | 3 | 0 |
| Rodriguez, 2010 [34] | Retrospective study | 18 | 18 | 8 | 57.6 | NR | 39.4 | AES | MB | 3 | 0 | 0 | 0 | 0 |
| Di Iorio, 2017 [35] | Prospective study | 44 | 50 | 27 | 56 | 28 | 120 | AES | MB | 0 | 20 | 0 | 20 | 0 |
| Assal, 2021 [36] | Retrospective study | 302 | 302 | 63; 87 | 68; 62 | 27.6; 28 | 36 | Salto; Salto Talaris | FB | 22 MB, 11 FB | 22 MB, 5 FB | 6 MB, 1 FB | 7 MB, 2 FB | 0 |
| Bianchi, 2021 [37] | Retrospective study | 52 | 54 | NR | NR | NR | 120 | BOX | MB | 0 | 20 | 9 | 11 | 0 |
| Clifton, 2021 [38] | Retrospective study | 70 | 70 | 54 | 69 | NR | 76 | Hintegra | MB | 9 | 11 | 8 | 3 | 0 |
| Johnson, Lynn, 2018 [39] | Prospective study | 76 | 76 | 52 | 63 | 28.5 | 60 | Mobility | MB | 1 | 4 | 4 | 0 | 0 |
| Koh, 2022 [40] | Retrospective study | 43 | 43 | 19 | 60 | 26.7 | 96 | Mobility | MB | 1 | 7 | 4 | 3 | 0 |
| Koo, 2018 [41] | Retrospective study | 42 | 46 | 33 | 70 | NR | 60 | Salto | MB | 2 | 3 | 2 | 1 | 0 |
| Stadler, 2021 [42] | Retrospective study | 169 | 171 | 87 | 60.5 | NR | 86.4 | Salto | MB | 11 | 8 | 3 | 5 | 0 |
| Van Haecke, 2022 [43] | Retrospective study | 94 | 94 | 57 | 62.4 | 27.5 | 81.4 | HINTEGRA | MB | 14 | 5 | 3 | 2 | 0 |
Disclaimer/Publisher’s Note: The statements, opinions and data contained in all publications are solely those of the individual author(s) and contributor(s) and not of MDPI and/or the editor(s). MDPI and/or the editor(s) disclaim responsibility for any injury to people or property resulting from any ideas, methods, instructions or products referred to in the content. |
© 2025 by the authors. Licensee MDPI, Basel, Switzerland. This article is an open access article distributed under the terms and conditions of the Creative Commons Attribution (CC BY) license (https://creativecommons.org/licenses/by/4.0/).
Share and Cite
Comisi, C.; De Mauro, D.; Greco, T.; Mascio, A.; Cinelli, V.; Capece, G.; Di Gialleonardo, E.; Maccauro, G.; Perisano, C. Fixed-Bearing Versus Mobile-Bearing Prostheses in Total Ankle Arthroplasty: A Systematic Review and Meta-Analysis. J. Clin. Med. 2025, 14, 6178. https://doi.org/10.3390/jcm14176178
Comisi C, De Mauro D, Greco T, Mascio A, Cinelli V, Capece G, Di Gialleonardo E, Maccauro G, Perisano C. Fixed-Bearing Versus Mobile-Bearing Prostheses in Total Ankle Arthroplasty: A Systematic Review and Meta-Analysis. Journal of Clinical Medicine. 2025; 14(17):6178. https://doi.org/10.3390/jcm14176178
Chicago/Turabian StyleComisi, Chiara, Domenico De Mauro, Tommaso Greco, Antonio Mascio, Virginia Cinelli, Giacomo Capece, Emidio Di Gialleonardo, Giulio Maccauro, and Carlo Perisano. 2025. "Fixed-Bearing Versus Mobile-Bearing Prostheses in Total Ankle Arthroplasty: A Systematic Review and Meta-Analysis" Journal of Clinical Medicine 14, no. 17: 6178. https://doi.org/10.3390/jcm14176178
APA StyleComisi, C., De Mauro, D., Greco, T., Mascio, A., Cinelli, V., Capece, G., Di Gialleonardo, E., Maccauro, G., & Perisano, C. (2025). Fixed-Bearing Versus Mobile-Bearing Prostheses in Total Ankle Arthroplasty: A Systematic Review and Meta-Analysis. Journal of Clinical Medicine, 14(17), 6178. https://doi.org/10.3390/jcm14176178

