Performance of a Trocar Sleeve Adapter for Faster Silicone Oil Extraction in Real-World Vitreoretinal Surgery
Abstract
1. Introduction
2. Methods
2.1. Materials
2.2. Study Design
2.3. Surgery
2.3.1. Trocar Sleeve Adapter Technique
2.3.2. Standard Cannula Technique for Extracting Heavy Silicone Oil
2.4. Time Measurement
2.5. Assessment
2.6. Statistical Analysis
3. Results
3.1. Demographics
3.2. Safety
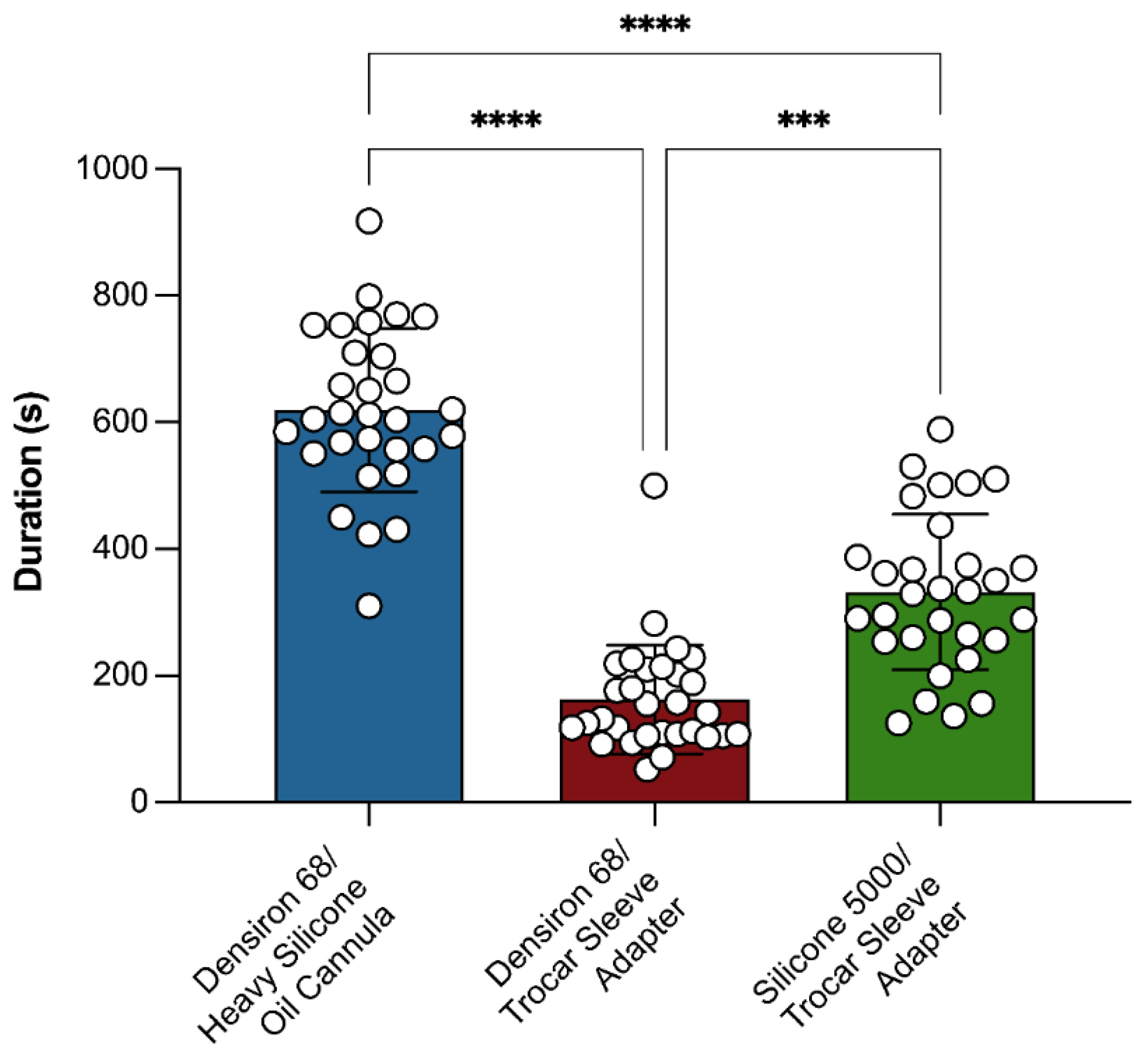
3.3. Silicone Oil Extraction Duration

4. Discussion
5. Conclusions
Author Contributions
Funding
Institutional Review Board Statement
Informed Consent Statement
Data Availability Statement
Conflicts of Interest
References
- Toklu, Y.; Cakmak, H.B.; Ergun, S.B.; Yorgun, M.A.; Simsek, S. Time course of silicone oil emulsification. Retina 2012, 32, 2039–2044. [Google Scholar] [CrossRef] [PubMed]
- Wilson, D.I.; Te Water Naude, A.D.; Snead, M.P. Refinements in the use of silicone oil as an intraocular tamponade. Eye 2024, 38, 1810–1815. [Google Scholar] [CrossRef] [PubMed]
- Crisp, A.; de Juan, E., Jr.; Tiedeman, J. Effect of silicone oil viscosity on emulsification. Arch. Ophthalmol. 1987, 105, 546–550. [Google Scholar] [CrossRef] [PubMed]
- Williams, R.L.; Day, M.J.; Garvey, M.J.; Morphis, G.; Irigoyen, C.; Wong, D.; Stappler, T. Injectability of silicone oil-based tamponade agents. Br. J. Ophthalmol. 2011, 95, 273–276. [Google Scholar] [CrossRef] [PubMed]
- Childers, C.P.; Maggard-Gibbons, M. Understanding Costs of Care in the Operating Room. JAMA Surg. 2018, 153, e176233. [Google Scholar] [CrossRef] [PubMed]
- Wakili, P.; Boden, K.T.; Rudolph, C.N.; Szurman, P.; Roberts, P.K.; Lorenz, A.T.; Seitz, B.; Englisch, C.N. Efficiency of an Innovative Trocar Adapter for Faster Silicone Oil Injection in Vitreoretinal Surgery: A Comparative Laboratory Study. Retina, 2025; ahead of print. [Google Scholar] [CrossRef] [PubMed]
- Borkenstein, A.F.; Borkenstein, E.M.; Langenbucher, A. VIVEX: A Formula for Calculating Individual Vitreous Volume: A New Approach Towards Tailored Patient Dosing Regime in Intravitreal Therapy. Ophthalmol. Ther. 2024, 13, 205–219. [Google Scholar] [CrossRef] [PubMed]
- Postel, E.A.; Pulido, J.S.; Byrnes, G.A.; Heier, J.; Waterhouse, W.; Han, D.P.; Mieler, W.F.; Guse, C.; Wipplinger, W. Long-term follow-up of iatrogenic phototoxicity. Arch. Ophthalmol. 1998, 116, 753–757. [Google Scholar] [CrossRef] [PubMed]
- van den Biesen, P.R.; Berenschot, T.; Verdaasdonk, R.M.; van Weelden, H.; van Norren, D. Endoillumination during vitrectomy and phototoxicity thresholds. Br. J. Ophthalmol. 2000, 84, 1372–1375. [Google Scholar] [CrossRef] [PubMed]
- Stappler, T.; Williams, R.; Gibran, S.K.; Liazos, E.; Wong, D. A guide to the removal of heavy silicone oil. Br. J. Ophthalmol. 2008, 92, 844–847. [Google Scholar] [CrossRef] [PubMed]
- Boger, D.V.; Walters, K. Rheological Phenomena in Focus; Elsevier: Amsterdam, The Netherlands, 1993; p. 29. [Google Scholar]
- Dresp, J.H.; Menz, D.H. The phenomenon of “sticky” silicone oil. Graefe’s Arch. Clin. Exp. Ophthalmol. 2007, 245, 863–868. [Google Scholar] [CrossRef] [PubMed]
- Song, Z.M.; Hu, X.T.; Wang, L.; Hu, Z.X.; Zhao, P.Q.; Chen, D. A modified approach to actively remove high viscosity silicone oil through 23-gauge cannula. Int. J. Ophthalmol. 2016, 9, 1294–1298. [Google Scholar] [CrossRef] [PubMed]
- Zhang, Z.; Zhang, S. Novel and easy techniques for 27-gauge silicone oil infusion and removal. Int. Ophthalmol. 2019, 39, 1543–1551. [Google Scholar] [CrossRef] [PubMed]
- Hammer, M.; Schickhardt, S.; Munro, D.; Scheuerle, A.; Khoramnia, R.; Uhl, P.; Auffarth, G.U. New approaches to explanting high-viscosity silicone oil in retinal surgery-polyimide cannulas vs extraction sleeves vs a luer-trocar. Int. J. Retin. Vitr. 2023, 9, 43. [Google Scholar] [CrossRef] [PubMed]
- Ohayon, A.; Esa, S.; Rubowitz, A. A Two-Port Inexpensive and Effective Method for Silicone Oil Removal. Isr. Med. Assoc. J. 2020, 22, 89–93. [Google Scholar] [PubMed]
- Priester, L.D.; Laspas, P.; Stoffelns, B.; Pfeiffer, N. Removal of higher viscosity oil through a hybrid 2-port 23/25 gauge pars plana vitrectomy. Ophthalmologe 2021, 118, 394–396. [Google Scholar] [CrossRef] [PubMed]
- Jusufbegovic, D.; Gambrell, J.D.; Barak, Y.; Schaal, S. Twenty-five-gauge vitrectomy for the removal of 5000 centistokes silicone oil. Retina 2013, 33, 1938–1942. [Google Scholar] [CrossRef] [PubMed]


| Densiron 68/ Heavy Silicone Oil Cannula | Densiron 68/ Trocar Sleeve Adapter | Silicone 5000/ Trocar Sleeve Adapter | p | ||
|---|---|---|---|---|---|
| Total (n) | 30 | 30 | 30 | >0.99 | |
| Sex (n) | Male Female | 17 13 | 21 9 | 17 13 | 0.5 |
| Age (Years) | 66 ± 9.7 | 61 ± 12.7 | 51 ± 22 | 0.06 | |
| Eye (n) | Right Left | 17 13 | 16 14 | 18 12 | 0.96 |
| Axial Length (mm) | 24.0 ± 1.9 | 23.8 ± 2.5 | 23.4 ± 1.7 | 0.1 | |
| Vitreous Volume (cm3) | 5.7 ± 1.4 | 5.5 ± 1.6 | 5.1 ± 1.2 | 0.1 | |
| Main Diagnosis (n) | Rhegmatogenous Retinal Detachment | 26 | 27 | 25 | 0.1 |
| Tractional Retinal Detachment | 1 | 2 | 5 | ||
| Full-Thickness Macular Hole | 3 | 0 | 0 | ||
| Trauma | 0 | 1 | 0 | ||
| Visual Acuity (LogMAR) | Preoperatively Postoperatively | 1.0 ± 0.4 0.7 ± 0.5 | 1.2 ± 0.5 1.0 ± 0.7 | 1.3 ± 0.7 1.0 ± 0.7 | 0.5 0.3 |
| Intraocular Pressure (mmHg) | Preoperatively Postoperatively | 18.0 ± 7.9 16.1 ± 4.4 | 15.9 ± 5.2 15.1 ± 6.1 | 16.0 ± 6.2 15.2 ± 4.9 | 0.8 0.7 |
Disclaimer/Publisher’s Note: The statements, opinions and data contained in all publications are solely those of the individual author(s) and contributor(s) and not of MDPI and/or the editor(s). MDPI and/or the editor(s) disclaim responsibility for any injury to people or property resulting from any ideas, methods, instructions or products referred to in the content. |
© 2025 by the authors. Licensee MDPI, Basel, Switzerland. This article is an open access article distributed under the terms and conditions of the Creative Commons Attribution (CC BY) license (https://creativecommons.org/licenses/by/4.0/).
Share and Cite
Wakili, P.; Englisch, C.N.; Szurman, P.; Englisch, C.E.; Rudolph, C.N.; Pérez Guerra, N.; Fröhlich, A.T.; Stanzel, B.V.; Boden, K.T. Performance of a Trocar Sleeve Adapter for Faster Silicone Oil Extraction in Real-World Vitreoretinal Surgery. J. Clin. Med. 2025, 14, 6052. https://doi.org/10.3390/jcm14176052
Wakili P, Englisch CN, Szurman P, Englisch CE, Rudolph CN, Pérez Guerra N, Fröhlich AT, Stanzel BV, Boden KT. Performance of a Trocar Sleeve Adapter for Faster Silicone Oil Extraction in Real-World Vitreoretinal Surgery. Journal of Clinical Medicine. 2025; 14(17):6052. https://doi.org/10.3390/jcm14176052
Chicago/Turabian StyleWakili, Philip, Colya N. Englisch, Peter Szurman, Clara E. Englisch, Clemens N. Rudolph, Núria Pérez Guerra, Anna Theresa Fröhlich, Boris V. Stanzel, and Karl T. Boden. 2025. "Performance of a Trocar Sleeve Adapter for Faster Silicone Oil Extraction in Real-World Vitreoretinal Surgery" Journal of Clinical Medicine 14, no. 17: 6052. https://doi.org/10.3390/jcm14176052
APA StyleWakili, P., Englisch, C. N., Szurman, P., Englisch, C. E., Rudolph, C. N., Pérez Guerra, N., Fröhlich, A. T., Stanzel, B. V., & Boden, K. T. (2025). Performance of a Trocar Sleeve Adapter for Faster Silicone Oil Extraction in Real-World Vitreoretinal Surgery. Journal of Clinical Medicine, 14(17), 6052. https://doi.org/10.3390/jcm14176052

