Application of Fractal Radiomics and Machine Learning for Differentiation of Non-Small Cell Lung Cancer Subtypes on PET/MR Images
Abstract
1. Introduction
2. Materials and Methods
2.1. Study Design
2.2. Subjects
2.3. Input Images
2.4. Image Pre-Processing
2.5. Texture Feature Extraction
- Gray-Level Co-occurrence Matrix (GLCM)—22 features,
- Gray-Level Dependence Matrix (GLDM)—14 features,
- Gray-Level Run Length Matrix (GLRLM)—16 features,
- Gray-Level Size Zone Matrix (GLSZM)—16 features,
- Neighboring Gray-Tone Difference Matrix (NGTDM)—5 features,
Fractal Dimension Texture Analysis
2.6. Texture Feature Selection
2.7. Image Classification
- 37 texture features that showed significant differences between ADC and SCC.
- Up to 40 texture features selected from the FOS/SOS dataset.
- Up to 40 texture features selected from the FOS/SOS/FDTA dataset.
2.8. Statistical Analysis
3. Results
3.1. Texture Feature Characteristics Among NSCLC Subtypes
3.2. Texture Feature Selection for the NSCLC Subtype Classification
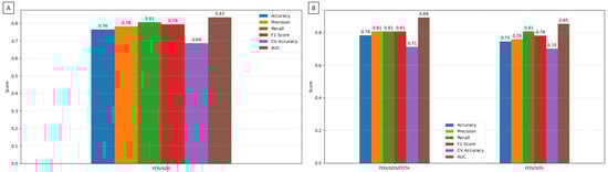
3.3. Efficiency of the NSCLC Subtype Classification Based on MR Image Analysis
4. Discussion
5. Conclusions
Supplementary Materials
Author Contributions
Funding
Institutional Review Board Statement
Informed Consent Statement
Data Availability Statement
Conflicts of Interest
References
- Siegel, R.L.; Miller, K.D.; Jemal, A. Cancer statistics, 2020. CA Cancer J. Clin. 2020, 70, 7–30. [Google Scholar] [CrossRef]
- Adamek, M.; Biernat, W.; Chorostowska-Wynimko, J.; Didkowska, J.A.; Dziadziuszko, K.; Grodzki, T.; Jassem, J.; Kępka, L.; Kowalski, D.; Krawczyk, P. Lung cancer in Poland. J. Thorac. Oncol. 2020, 15, 1271–1276. [Google Scholar] [CrossRef]
- Yoder, H.L. An overview of lung cancer symptoms, pathophysiology, and treatment. Medsurg. Nurs. 2006, 15, 231–234. [Google Scholar]
- Travis, W.; Rekhtman, N. Pathological Diagnosis and Classification of Lung Cancer in Small Biopsies and Cytology: Strategic Management of Tissue for Molecular Testing. Semin. Respir. Crit. Care Med. 2011, 32, 22–31. [Google Scholar] [CrossRef]
- Mok, T.S.; Wu, Y.-L.; Thongprasert, S.; Yang, C.-H.; Chu, D.-T.; Saijo, N.; Sunpaweravong, P.; Han, B.; Margono, B.; Ichinose, Y.; et al. Gefitinib or carboplatin–paclitaxel in pulmonary adenocarcinoma. N. Engl. J. Med. 2009, 361, 947–957. [Google Scholar] [CrossRef] [PubMed]
- Prosh, H.; Schaefer–Prokop, C. Screening for lung cancer. Curr. Opin. Oncol. 2014, 26, 131–137. [Google Scholar] [CrossRef]
- Lambin, P.; Leijenaar, R.T.H.; Deist, T.M.; Peerlings, J.; de Jong, E.E.C.; van Timmeren, J.; Sanduleanu, S.; Larue, R.T.H.M.; Even, A.J.G.; Jochems, A.; et al. Radiomics: The bridge between medical imaging and personalized medicine. Nat. Rev. Clin. Oncol. 2017, 14, 749–762. [Google Scholar] [CrossRef]
- Kahn, J.; Madinson, R.; Waltz, J.; Ravele, J.G. Advances in lung cancer imaging. Semin. Roentgenol. 2020, 55, 70–78. [Google Scholar] [CrossRef]
- Guevara-Hernandez, D.L. The role of PET/CT imaging in lung cancer. J. Cancer Ther. 2016, 6, 690–700. [Google Scholar] [CrossRef][Green Version]
- Dahlsgaard-Wallenius, S.E.; Hildebrandt, M.G.; Johansen, A.; Vilstrup, M.H.; Petersen, H.; Gerke, O.; Høilund-Carlsen, P.F.; Morsing, A.; Andersen, T.L. Hybrid PET/MRI in non–small cell lung cancer (NSCLC) and lung nodules—A literature review. Eur. J. Nucl. Med. Mol. Imagin. 2021, 48, 584–591. [Google Scholar] [CrossRef] [PubMed]
- Pan, F.; Feng, L.; Liu, B.; Hu, Y.; Wang, Q. Application of radiomics in diagnosis and treatment of lung cancer. Front. Pharmacol. 2023, 14, 1295511. [Google Scholar] [CrossRef]
- Aerts, H.J.; Valezques, E.R.; Leijenaar, R.T.H.; Parmar, C.; Grossmann, P.; Carvalho, S.; Bussink, J.; Monshouwer, R.; Haibe-Kains, B.; Rietveld, D. Decoding tumour phenotype by noninvasive imaging using a quantitative radiomics approach. Nat. Commun. 2014, 5, 4006. [Google Scholar] [CrossRef]
- Mandelbort, B.-B. The Fractal Geometry of Nature; W.H. Freeman and Company: San Francisco, CA, USA, 1982; Volume 173. [Google Scholar]
- Vasiljevic, J.; Pribic, J.; Kanjer, K.; Jonakowski, W.; Sopta, J.; Nikolic-Vukosavljevic, D.; Radulovic, M. Multifractal analysis of tumour microscopic images in the prediction of breast cancer chemotherapy response. Biomed. Microdevices 2015, 17, 93. [Google Scholar] [CrossRef] [PubMed]
- Sim, A.J.; Kaza, E.; Sinder, L.; Rosenberg, S.A. A review of the role of MRI in diagnosis and treatment of early stage lung cancer. Clin. Transl. Radiat. Oncol. 2020, 6, 16–22. [Google Scholar] [CrossRef] [PubMed]
- Tanabe, N.; Sato, S.; Suki, B.; Hirai, T. Fractal Analysis of Lung Structure in Chronic Obstructive Pulmonary Disease. Front. Physiol. 2020, 11, 603197. [Google Scholar] [CrossRef]
- Otsu, N. A threshold selection method from gray-level histograms. IEEE Trans. Syst. Man Cybern. 1979, 9, 62–66. [Google Scholar] [CrossRef]
- Lowekamp, B.C.; Chen, D.T.; Ibáñez, L.; Blezek, D. The design of SimpleITK. Front. Neuroinf. 2013, 7, 45. [Google Scholar] [CrossRef]
- Soille, P. Morphological Image Analysis: Principles and Applications; Springer: New York, NY, USA, 2003. [Google Scholar]
- Shafiq-Ul-Hassan, M.; Zhang, G.G.; Latifi, K.; Ullah, G.; Hunt, D.C.; Balagurunathan, Y.; Abdalah, M.A.; Schabath, M.B.; Goldgof, D.G.; Mackin, D.; et al. Intrinsic dependencies of CT radiomic features on voxel size and number of gray levels. Med. Phys. 2017, 44, 1050–1062. [Google Scholar] [CrossRef]
- Van Griethuysen, J.J.M.; Fedorov, A.; Parmar, C.; Hosny, A.; Aucoin, N.; Narayan, V.; RGH, B.-T.; Fillion-Robin, J.-C.; Pieper, S.; Aerts, H.J.W.L. Computational radiomics system to decode the radiographic phenotype. Cancer Res. 2017, 77, e104–e107. [Google Scholar] [CrossRef] [PubMed]
- Wu, C.-M.; Chen, Y.-C.; Hsieh, K.-S. Texture features for classification of ultrasonic liver images. IEEE Trans. Med. Imaging 1992, 11, 141–152. [Google Scholar]
- Voss, R.F. Random Fractal Forgeries. In Fundamental Algorithms for Computer Graphics; Earnshaw, R.A., Ed.; NATO ASI Series; Springer: Berlin/Heidelberg, Germany, 1985; Volume 17. [Google Scholar]
- Regression, N. An Introduction to Kernel and Nearest-Neighbor. Am. Stat. 1992, 46, 175–185. [Google Scholar]
- Cover, T.; Hart, P. Nearest neighbor pattern classification. IEEE Trans. Inf. Theory 1967, 13, 21–27. [Google Scholar] [CrossRef]
- Bashir, U.; Siddique, M.M.; Mclean, E.; Goh, V.; Cook, G.J. Imaging Heterogeneity in Lung Cancer: Techniques, Applications, and Challenges. Am. J. Roentgenol. 2016, 207, 534–543. [Google Scholar] [CrossRef]
- Limkin, E.J.; Reuzé, S.; Carré, A.; Sun, R.; Schernberg, A.; Alexis, A.; Deutsch, E.; Ferté, C.; Robert, C. The complexity of tumor shape, spiculatedness, correlates with tumor radiomic shape features. Sci. Rep. 2019, 9, 4329. [Google Scholar] [CrossRef]
- Rendon–Gonzalez, E.; Ponomaryov, V. Automatic Lung nodule segmentation and classification in CT images based on SVM. In Proceedings of the 2016 9th International Kharkiv Symposium on Physics and Engineering of Microwaves, Millimeter and Submillimeter Waves (MSMW), Kharkiv, Ukraine, 20–24 June 2016; IEEE: Piscataway, NJ, USA, 2016; pp. 1–4. [Google Scholar]
- Hamad, A.M. Lung cancer diagnosis by using fuzzy logic. Int. J. Comput. Sci. Mob. Comput. 2016, 5, 32–41. [Google Scholar]
- Kuruvilla, J.; Gunavathi, K. Lung cancer classification using fuzzy logic for CT images. Int. J. Med. Eng. Inform. 2015, 7, 233–249. [Google Scholar] [CrossRef]
- Adi, K.; Widodo, C.E.; Widodo, A.P.; Gernowo, R. Detection lung cancer using Gray Level Co-Occurrence Matrix (GLCM) and back propagation neural network classification. J. Eng. Sci. Technol. Rev. 2018, 11, 32–41. [Google Scholar]
- Hossain, M.R.I.; Imran, A.; Kabir, M.H. Automatic lung tumor detection based on GLCM features. In Asian Conference on Computer Vision; Springer: Cham, Switzerland, 2014; pp. 109–121. [Google Scholar]
- Rakshitha, B.; Rohith, V. Patch analysis based lung cancer classification. Int. J. Res. Pharm. Sci. 2019, 10, 2163–2173. [Google Scholar] [CrossRef]
- Cao, P.; Wu, S.; Guo, W.; Zhang, Q.; Gong, W.; Li, Q.; Zhang, R.; Dong, X.; Xu, S.; Liu, Y.; et al. Precise pathological classification of non–small cell lung adenocarcinoma and squamous carcinoma based on an integrated platform of targeted metabolome and lipidome. Metabolomics 2021, 17, 98. [Google Scholar] [CrossRef] [PubMed]
- Khan, M.A.; Rubab, S.; Kashif, A.; Sharif, M.I.; Muhammad, N.; Shah, J.H.; Zhang, Y.-D.; Satapathy, S.C. Lungs cancer classification from CT images: An integrated design of contrast based classical features fusion and selection. Pattern Recognit. Lett. 2020, 129, 77–85. [Google Scholar] [CrossRef]
- Haralick, R.M.; Shanmugam, K. Textural features for image classification. IEEE Trans. Syst. Man Cybern. 1973, SMC-3, 610–621. [Google Scholar] [CrossRef]
- Bębas, E. Zastosowanie metod analizy fraktalnej do oceny guzów płuc w obrazach PER/MRI. Ph.D. Thesis, Bialystok University of Technology, Bialystok, Poland, 2024; p. 162. [Google Scholar]
- Ting, J.Y.C.; Wood, A.T.A.; Barnard, A.S. Sphractal: Estimating the fractal dimension of surfaces computed from precise atomic coordinates via Box–Counting algorithm. Adv. Theory Simul. 2024, 7, 202470013. [Google Scholar] [CrossRef]
- Santos, I.G.; de Faria, F.R.; Silva Campos, M.J.; Barros, B.A.C.; Rabelo, G.D.; Devito, K.L. Fractal dimension, lacunarity, and cortical thickness in the mandible: Analyzing differences between healthy men and women with cone-beam computed tomography. Imaging Sci. Dent. 2023, 53, 153–159. [Google Scholar] [CrossRef]
- Dimitriadis, S.I.; Liparas, D.; Tsolaki, M.N.; Alzheimer’s Disease Neuroimaging Initiative. Random forest feature selection, fusion and ensemble strategy: Combining multiple morphological MRI measures to discriminate among healhy elderly, MCI, cMCI and Alzheimer’s disease patients: From the Alzheimer’s disease neuroimaging initiative (ADNI) database. J. Neurosci. Methods 2018, 302, 14–23. [Google Scholar] [PubMed]
- He, B.; Ji, T.; Zhang, H.; Zhu, Y.; Shu, R.; Zhao, W.; Wang, K. MRI-based radiomics signature for tumor grading of rectal carcinoma using random forest model. J. Cell. Physiol. 2019, 234, 20501–20509. [Google Scholar] [CrossRef]
- Aggarwal, A.K. Learning texture features from GLCM for classification of brain tumor MRI images using random forest classifier. Trans. Signal Process. 2022, 18, 60–63. [Google Scholar] [CrossRef]
- Yacouby, R.; Axman, D. Probabilistic extension of precision, recall, and f1 score for more thorough evaluation of classification models. In Proceedings of the First Workshop on Evaluation and Comparison of NLP Systems, Online, 20 November 2020; pp. 79–91. [Google Scholar]
- Juba, B.; Le, H.S. Precision-recall versus accuracy and the role of large data sets. In Proceedings of the AAAI Conference on Artificial Intelligence, Honolulu, HI, USA, 27 January–1 February 2019; pp. 4039–4048. [Google Scholar]
- Bębas, E.; Borowska, M.; Derlatka, M.; Oczeretko, E.; Hładuński, M.; Szumowski, P.; Mojsak, M. Machine-learning-based classification of the histological subtype of non-small-cell lung cancer using MRI texture analysis. Biomed. Signal Process. Control. 2021, 66, 102446. [Google Scholar] [CrossRef]
- Song, F.; Song, X.; Feng, Y.; Fan, G.; Sun, Y.; Zhang, P.; Li, J.; Liu, F.; Zhang, G. Radiomics feature analysis and model research for predicting histopathological subtypes of non-small cell lung cancer on CT images: A multi-dataset study. Med. Phys. 2023, 50, 4351–4365. [Google Scholar] [CrossRef]
- Bracci, S.; Dolciami, M.; Trobiani, C.; Izzo, A.; Pernazza, A.; D’aMati, G.; Manganaro, L.; Ricci, P. Quantitative CT texture analysis in predicting PD-L1 expression in locally advanced or metastatic NSCLC patients. Radiol. Med. 2021, 126, 1425–1433. [Google Scholar] [CrossRef]
- Ganeshan, B.; Abaleke, S.; Young, R.C.; Chatwin, C.R.; Miles, K.A. Texture Analysis of Non-Small Cell Lung Cancer on Unenhanced Computed Tomography: Initial Evidence for a Relationship with Tumour Glucose Metabolism and Stage. Cancer Imaging 2010, 10, 137–143. [Google Scholar] [CrossRef]





| FOS | SOS | FDTA | ||||
|---|---|---|---|---|---|---|
| GLCM | GLDM | GLRLM | GLSZM | NGTDM | ||
| Mean | Autocorrelation | SDE (Small Dependence Emphasis) | SRE (Short Run Emphasis) | SAE (Small Area Emphasis) | Busyness | FD (Fractal Dimension) |
| Median | CP (Cluster Prominence) | LDE (Large Dependence Emphasis) | LRE (Long Run Emphasis) | LAE (Large Area Emphasis) | Coarseness | Lacunarity |
| Skewness | CS (Cluster Shade) | GLN (Gray-Level Non-Uniformity) | GLN (Gray-Level Non-Uniformity) | GLN (Gray-Level Non-Uniformity) | Complexity | FSVI (Fractal Scale Variability Index) |
| Kurtosis | CT (Cluster Tendency) | DN (Dependence Non-Uniformity) | GLNN (Gray-Level Non-Uniformity Normalized) | GLNN (Gray-Level Non-Uniformity Normalized) | Contrast | |
| Energy | Contrast | DNN (Dependence Non-Uniformity Normalized) | RLN (Run Length Non-Uniformity) | SZN (Size Zone Non-Uniformity) | Strength | |
| Entropy | Correlation | GLV (Gray-Level Variance) | RLNN (Run Length Non-Uniformity Normalized) | SZNN (Size Zone Non-Uniformity Normalized) | ||
| Min (Minimum) | DA (Difference Average) | DV (Dependence Variance) | RP (Run Percentage) | ZP (Zone Percentage) | ||
| Max (Maximum) | DE (Difference Entropy) | DE (Dependence Entropy) | GLV (Gray-Level Variance) | GLV (Gray-Level Variance) | ||
| 10th Percentile | DV (Difference Variance) | LGLE (Low Gray-Level Emphasis) | RV (Run Variance) | ZV (Zone Variance) | ||
| 90th Percentile | ID (Inverse Difference) | HGLE (High Gray-Level Emphasis) | RE (Run Entropy) | ZE (Zone Entropy) | ||
| IR (Interquartile Range) | IDN (Inverse Difference Normalized) | SDLGLE (Small Dependence Low Gray-Level Emphasis) | LGLRE (Low Gray-Level Run Emphasis) | LGLZE (Low Gray-Level Zone Emphasis) | ||
| Range | IMC1 (Informational Measure of Correlation 1) | SDHGLE (Small Dependence High Gray-Level Emphasis) | HGLRE (High Gray-Level Run Emphasis) | HGLZE (High Gray-Level Zone Emphasis) | ||
| MAD (Mean Absolute Deviation) | IMC2 (Informational Measure of Correlation 2) | LDLGLE (Large Dependence Low Gray-Level Emphasis) | LRLGLE (Long Run Low Gray-Level Emphasis) | SALGLE (Small Area Low Gray-Level Emphasis) | ||
| rMAD (Robust Mean Absolute Deviation) | IDM (Inverse Difference Moment) | LDHGLE (Large Dependence High Gray-Level Emphasis) | LRHGLE (Long Run High Gray-Level Emphasis) | SAHGLE (Small Area High Gray-Level Emphasis) | ||
| RMS (Root Mean Squared) | IDMN (Inverse Difference Moment Normalized) | SRLGLE (Short Run Low Gray-Level Emphasis) | LALGLE (Large Area Low Gray-Level Emphasis) | |||
| Uniformity | JA (Joint Average) | SRHGLE (Short Run High Gray-Level Emphasis) | LAHGLE (Large Area High Gray-Level Emphasis) | |||
| Variance | JEn (Joint Energy) | |||||
| JEnt (Joint Entropy) | ||||||
| IV (Inverse Variance) | ||||||
| MP (Maximum Probability) | ||||||
| SE (Sum Entropy) | ||||||
| SS (Sum Squares) | ||||||
| FOS Texture Features | ADC | SCC | p-Value |
|---|---|---|---|
| Mean | 0.46 (0.39; 0.54) a | 0.44 (0.32; 0.51) b | 0.01 |
| Median | 0.58 (0.48; 0.66) a | 0.54 (0.39; 0.62) b | 0.003 |
| Kurtosis | 3.19 (2.55; 4.69) a | 3.97 (3.01; 5.24) b | 0.001 |
| Min | −1.68 (−1.98; −1.41) a | −1.82 (−2.22; −1.61) b | 0.004 |
| 10th Percentile | −0.48 (−0.61; −0.23) a | −0.34 (−0.55; −0.15) b | 0.01 |
| 90th Percentile | 1.17 (1.01; 1.32) a | 1.05 (0.93; 1.19) b | <0.0001 |
| IR | 0.83 (0.58; 1.05) a | 0.62 (0.48; 0.92) b | 0.0003 |
| MAD | 0.52 (0.40; 0.60) a | 0.42 (0.34; 0.54) b | 0.0003 |
| rMAD | 0.37 (0.26; 0.44) a | 0.28 (0.22; 0.40) b | 0.0006 |
| RMS | 0.82 (0.71; 0.87) a | 0.74 (0.66; 0.81) b | <0.0001 |
| Variance | 0.42 (0.29; 0.55) a | 0.30 (0.22; 0.46) b | 0.0007 |
| GLCM Texture Features | ADC | SCC | p-Value |
|---|---|---|---|
| CP | 1.19 (1.12; 1.22) a | 1.15 (1.01; 1.22) b | 0.008 |
| CS | −0.67 (−0.70; −0.60) a | −0.65 (−0.69; −0.55) b | 0.02 |
| Correlation | 0.90 (0.88; 0.91) a | 0.89 (0.87; 0.91) b | 0.02 |
| IMC2 | 0.81 (0.77; 0.84) a | 0.80 (0.74; 0.82) b | 0.005 |
| GLDM Texture Feature | ADC | SCC | p-Value |
|---|---|---|---|
| SDHGLE | 0.046 (0.045; 0.047) a | 0.047 (0.046; 0.048) b | 0.0009 |
| GLRLM Texture Features | ADC | SCC | p-Value |
|---|---|---|---|
| SRE | 0.10 (0.08; 0.11) a | 0.11 (0.08; 0.12) b | 0.01 |
| GLNN | 0.53 (0.52; 0.54) a | 0.52 (0.51; 0.54) b | 0.0002 |
| GLV | 0.237 (0.228; 0.242) a | 0.241 (0.232; 0.247) b | 0.0002 |
| LGLRE | 0.71 (0.69; 0.74) a | 0.70 (0.66; 0.73) b | 0.0002 |
| HGLRE | 2.16 (2.05; 2.23) a | 2.21 (2.10; 2.35) b | 0.0002 |
| SRLGLE | 0.08 (0.07; 0.10) a | 0.09 (0.07; 0.11) b | 0.04 |
| SRHGLE | 0.13 (0.10; 0.16) a | 0.14 (0.10; 0.20) b | 0.04 |
| GLSZM Texture Features | ADC | SCC | p-Value |
|---|---|---|---|
| GLN | 5.29 (2.50; 11.15) a | 7.96 (4.14; 17.85) b | 0.0006 |
| GLNN | 0.65 (0.56; 0.76) a | 0.72 (0.61; 0.80) b | 0.002 |
| SZN | 1.00 (1.00; 1.42) a | 1.21 (1.00; 1.93) b | 0.002 |
| SZNN | 0.14 (0.09; 0.25) a | 0.11 (0.08; 0.18) b | 0.01 |
| ZP | 0.0006 (0.0005; 0.0011) a | 0.0007 (0.0005; 0.0015) b | 0.04 |
| GLV | 0.17 (0.12; 0.22) a | 0.14 (0.10; 0.19) b | 0.002 |
| ZE | 2.83 (2.00; 3.71) a | 3.18 (2.54; 4.04) b | 0.005 |
| LGLZE | 0.83 (0.75; 0.89) a | 0.88 (0.80; 0.92) b | 0.002 |
| HGLZE | 1.68 (1.43; 2.00) a | 1.50 (1.33; 1.79) b | 0.002 |
| SALGLE | 0.08 (0.002; 0.16) a | 0.12 (0.02; 0.20) b | 0.04 |
| NGTDM Texture Features | ADC | SCC | p-Value |
|---|---|---|---|
| Coarseness | 0.006 (0.004; 0.008) a | 0.005 (0.003; 0.007) b | 0.03 |
| Strength | 0.006 (0.003; 0.008) a | 0.005 (0.003; 0.007) b | 0.03 |
| FDTA Texture Features | ADC | SCC | p-Value |
|---|---|---|---|
| FD | 2.428 (2.422; 2.434) a | 2.433 (2.426; 2.445) b | <0.0001 |
| Lacunarity | 0.32 (0.29; 0.35) a | 0.30 (0.27; 0.34) b | 0.002 |
Disclaimer/Publisher’s Note: The statements, opinions and data contained in all publications are solely those of the individual author(s) and contributor(s) and not of MDPI and/or the editor(s). MDPI and/or the editor(s) disclaim responsibility for any injury to people or property resulting from any ideas, methods, instructions or products referred to in the content. |
© 2025 by the authors. Licensee MDPI, Basel, Switzerland. This article is an open access article distributed under the terms and conditions of the Creative Commons Attribution (CC BY) license (https://creativecommons.org/licenses/by/4.0/).
Share and Cite
Bębas, E.; Pauk, K.; Pauk, J.; Daunoravičienė, K.; Mojsak, M.; Hładuński, M.; Domino, M.; Borowska, M. Application of Fractal Radiomics and Machine Learning for Differentiation of Non-Small Cell Lung Cancer Subtypes on PET/MR Images. J. Clin. Med. 2025, 14, 5776. https://doi.org/10.3390/jcm14165776
Bębas E, Pauk K, Pauk J, Daunoravičienė K, Mojsak M, Hładuński M, Domino M, Borowska M. Application of Fractal Radiomics and Machine Learning for Differentiation of Non-Small Cell Lung Cancer Subtypes on PET/MR Images. Journal of Clinical Medicine. 2025; 14(16):5776. https://doi.org/10.3390/jcm14165776
Chicago/Turabian StyleBębas, Ewelina, Konrad Pauk, Jolanta Pauk, Kristina Daunoravičienė, Małgorzata Mojsak, Marcin Hładuński, Małgorzata Domino, and Marta Borowska. 2025. "Application of Fractal Radiomics and Machine Learning for Differentiation of Non-Small Cell Lung Cancer Subtypes on PET/MR Images" Journal of Clinical Medicine 14, no. 16: 5776. https://doi.org/10.3390/jcm14165776
APA StyleBębas, E., Pauk, K., Pauk, J., Daunoravičienė, K., Mojsak, M., Hładuński, M., Domino, M., & Borowska, M. (2025). Application of Fractal Radiomics and Machine Learning for Differentiation of Non-Small Cell Lung Cancer Subtypes on PET/MR Images. Journal of Clinical Medicine, 14(16), 5776. https://doi.org/10.3390/jcm14165776

