Comparison Between Transient Elastography and Point Shear Wave Elastography in the Assessment of Liver Fibrosis According to the Grade of Liver Steatosis
Abstract
1. Introduction
2. Materials and Methods
2.1. Patients Enrollment
2.2. TE Assessment
2.3. Statistical Analysis
3. Results
3.1. Patients’ Characteristics
3.2. Procedural Parameters
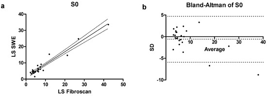
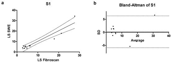
3.3. Correlation and Agreement Between pSWE and Fibroscan®
3.4. Associated Factors
4. Discussion
5. Conclusions
Author Contributions
Funding
Institutional Review Board Statement
Informed Consent Statement
Data Availability Statement
Conflicts of Interest
Abbreviations
| TE | Transient Elastography |
| pSWE | Point Shear Wave Elastography |
| MASLD | Metabolic Dysfunction-Associated Steatotic Liver Disease |
| MASH | Metabolic Dysfunction-Associated Steatohepatitis |
| SLD | Steatotic Liver Disease |
| LS | Liver Stiffness |
| CAP | Controlled Attenuation Parameter |
| APRI | AST to Platelet Ratio Index |
| ARFI | Acoustic Radiation Force Impulse |
| ROI | Region Of Interest |
| ALT | Alanine Aminotransferase |
| AST | Aspartate Aminotransferase |
| GGT | Gamma-Glutamyl Transferase |
| ALP | Alkaline Phosphatase |
| PLT | Platelets |
| BMI | Body Mass Index |
| IQR | Interquartile Range |
| IQR/M | Interquartile Range-to-Median Ratio |
| SR | Success Rate |
| EASL | European Association for the Study of the Liver |
| EFSUMB | European Federation of Societies for Ultrasound in Medicine and Biology |
| CI | Confidence Interval |
| OR | Odds Ratio |
| AUROC | Area Under the ROC Curve |
| 2D-SWE | 2 Dimensional-Shear Wave Elastography |
| MRE | Magnetic Resonance Elastography |
References
- Marchesini, G.; Day, C.P.; Dufour, J.F.; Canbay, A.; Nobili, V.; Ratziu, V.; Tilg, H.; Roden, M.; Gastaldelli, A.; Yki-Jaevinen, H.; et al. EASL-EASD-EASO clinical practice guidelines for the management of non-alcoholic fatty liver disease. J. Hepatol. 2016, 64, 1388–1402. [Google Scholar] [CrossRef]
- Huang, T.D.; Behary, J.; Zekqry, A. Non-alcoholic fatty liver disease: A review of epidemiology, risk factors, diagnosis and management. Intern. Med. J. 2020, 50, 1038–1047. [Google Scholar] [CrossRef] [PubMed]
- Leung, C.; Yeoh, S.W.; Patrick, D.; Ket, S.; Marion, K.; Gow, P.; Angus, P.W. Characteristics of hepatocellular carcinoma in cirrhotic and non-cirrhotic non-alcoholic fatty liver disease. World J. Gastroenterol. 2015, 21, 1189–1196. [Google Scholar] [CrossRef]
- Savari, F.; Mard, S.A. Nonalcoholic steatohepatitis: A comprehensive updated review of risk factors, symptoms, and treatment. Heliyon 2024, 10, e28468. [Google Scholar] [CrossRef] [PubMed] [PubMed Central]
- Bedossa, P. Diagnosis of non-alcoholic fatty liver disease/non-alcoholic steatohepatitis: Why liver biopsy is essential. Liver Int. 2018, 38 (Suppl. S1), 64–66. [Google Scholar] [CrossRef] [PubMed]
- Available online: https://efsumb.org/wp-content/uploads/2023/07/ECBCh03_liver_Elastography_FULL.pdf (accessed on 2 June 2025).
- Available online: https://pjmhsonline.com/2021/june/1990.pdf (accessed on 2 June 2025).
- Ferraioli, G.; Tinelli, C.; Lissandrin, R.; Zicchetti, M.; Dal Bello, B.; Filice, G.; Filice, C. Point shear wave elastography method for assessing liver stiffness. World J. Gastroenterol. 2014, 20, 4787–4796. [Google Scholar] [CrossRef] [PubMed]
- Paige, J.S.; Bernstein, G.S.; Heba, E.; Costa, E.A.C.; Fereirra, M.; Wolfson, T.; Gamst, A.C.; Valasek, M.A.; Lin, G.Y.; Han, A.; et al. A Pilot Comparative Study of Quantitative Ultrasound, Conventional Ultrasound, and MRI for Predicting Histology Determined Steatosis Grade in Adult Nonalcoholic Fatty Liver Disease. AJR Am. J. Roentgenol. 2017, 208, W168–W177. [Google Scholar] [CrossRef]
- Principi, M.; Iannone, A.; Losurdo, G.; Mangia, M.; Shahini, E.; Albano, F.; Rizzi, S.F.; La Fortezza, R.F.; Lovero, R.; Contaldo, A.; et al. Nonalcoholic Fatty Liver Disease in Inflammatory Bowel Disease: Prevalence and Risk Factors. Inflamm. Bowel Dis. 2018, 24, 1589–1596. [Google Scholar] [CrossRef]
- Saadi, T.; Khoury, J.; Toukan, W.; Krimasky, R.; Veitsman, E.; Baruch, Y.; Gaitini, D.; Beck-Razi, N. Point Shear Wave Elastography for Assessing Liver Stiffness in Chronic Liver Diseases of Different Etiologies Compared to Biopsy. Isr. Med. Assoc. J. 2021, 23, 223–228. [Google Scholar] [PubMed]
- Losurdo, G.; Ditonno, I.; Novielli, D.; Celiberto, F.; Iannone, A.; Castellaneta, A.; Dell’Aquila, P.; Ranaldo, N.; Rendina, M.; Barone, M.; et al. Comparison of Transient Elastography and Point Shear Wave Elastography for Analysis of Liver Stiffness: A Prospective Study. Diagnostics 2024, 14, 604. [Google Scholar] [CrossRef] [PubMed]
- Bedossa, P.; Poynard, T. An algorithm for the grading of activity in chronic hepatitis C. The METAVIR Cooperative Study Group. Hepatology 1996, 24, 289–293. [Google Scholar] [CrossRef] [PubMed]
- Pár, A.; Pár, G. The 43rd Annual Meeting of the European Association for the Study of the Liver (EASL), Milan Italy April 23–27, 2008. Orv. Hetil. 2008, 149, 1329–1332. [Google Scholar] [CrossRef] [PubMed]
- Cassinotto, C.; Lapuyade, B.; Mouries, A.; Hiriart, J.B.; Vergniol, J.; Gaye, D.; Castain, C.; Le Bail, B.; Chermak, F.; Foucher, J.; et al. Non-invasive assessment of liver fibrosis with impulse elastography: Comparison of Supersonic Shear Imaging with ARFI and Fibroscan. J. Hepatol. 2014, 61, 550–557. [Google Scholar] [CrossRef]
- Joo, I.; Kim, S.Y.; Park, H.S.; Lee, E.S.; Kang, H.J.; Lee, J.M. Validation of a New Point Shear-Wave Elastography Method for Noninvasive Assessment of Liver Fibrosis: A Prospective Multicenter Study. Korean J. Radiol. 2019, 20, 1527–1535. [Google Scholar] [CrossRef]
- Kohla, M.A.S.; El Fayoumi, A.; Abdelsameea, E.; Elsabaawy, M.; Aly, R.A.; Elkhadry, S.W.; Assem, M. Comparison of transient elastography and shear wave elastography in patients with MAFLD: A single-center experience. Rom. J. Intern. Med. 2024, 62, 331–340. [Google Scholar] [CrossRef]
- Dietrich, C.F.; Bamber, J.; Berzigotti, A.; Bota, S.; Cantisani, V.; Castera, L.; Cosgrove, D.; Ferraioli, G.; Friedrich-Rust, M.; Gilja, O.H.; et al. EFSUMB Guidelines and Recommendations on the Clinical Use of Liver Ultrasound Elastography, Update 2017 (Long Version). Ultraschall Med. 2017, 38, e16–e47. [Google Scholar]
- Leong, W.L.; Lai, L.L.; Nik Mustapha, N.R.; Vijayananthan, A.; Rahmat, K.; Mahadeva, S.; Chan, W.K. Comparing point shear wave elastography (ElastPQ) and transient elastography for diagnosis of fibrosis stage in non-alcoholic fatty liver disease. J. Gastroenterol. Hepatol. 2020, 35, 135–141. [Google Scholar] [CrossRef]
- Argalia, G.; Ventura, C.; Tosi, N.; Campioni, D.; Tagliati, C.; Tufillaro, M.; Cucco, M.; Svegliati Baroni, G.; Giovagnoni, A. Comparison of point shear wave elastography and transient elastography in the evaluation of patients with NAFLD. Radiol. Med. 2022, 127, 571–576. [Google Scholar] [CrossRef] [PubMed]
- Petta, S.; Maida, M.; Macaluso, F.S.; Di Marco, V.; Cammà, C.; Cabibi, D.; Craxì, A. The severity of steatosis influences liver stiffness measurement in patients with nonalcoholic fatty liver disease. Hepatology 2015, 62, 1101–1110. [Google Scholar] [CrossRef] [PubMed]
- Kumada, T.; Toyoda, H.; Yasuda, S.; Ogawa, S.; Gotoh, T.; Ito, T.; Tada, T.; Tanaka, J. Liver Stiffness Measurements by 2D Shear-Wave Elastography: Effect of Steatosis on Fibrosis Evaluation. AJR Am. J. Roentgenol. 2022, 219, 604–612. [Google Scholar] [CrossRef]
- Park, C.C.; Nguyen, P.; Hernandez, C.; Bettencourt, R.; Ramirez, K.; Fortney, L.; Hooker, J.; Sy, E.; Savides, M.T.; Alquiraish, M.H.; et al. Magnetic Resonance Elastography vs. Transient Elastography in Detection of Fibrosis and Noninvasive Measurement of Steatosis in Patients with Biopsy-Proven Nonalcoholic Fatty Liver Disease. Gastroenterology 2017, 152, 598–607.e2. [Google Scholar] [CrossRef]
- Haukeland, J.W.; Konopski, Z.; Linnestad, P.; Azimy, S.; Marit Løberg, E.; Haaland, T.; Birkeland, K.; Bjøro, K. Abnormal glucose tolerance is a predictor of steatohepatitis and fibrosis in patients with non-alcoholic fatty liver disease. Scand. J. Gastroenterol. 2005, 40, 1469–1477. [Google Scholar] [CrossRef] [PubMed]
- Somda, S.; Lebrun, A.; Tranchart, H.; Lamouri, K.; Prevot, S.; Njike-Nakseu, M.; Gaillard, M.; Lainas, P.; Balian, A.; Dagher, I.; et al. Adaptation of controlled attenuation parameter (CAP) measurement depth in morbidly obese patients addressed for bariatric surgery. PLoS ONE 2019, 14, e0217093. [Google Scholar] [CrossRef] [PubMed]
- Lv, D.; Wang, Z.; Meng, C.; Li, Y.; Ji, S. A study of the relationship between serum asprosin levels and MAFLD in a population undergoing physical examination. Sci. Rep. 2024, 14, 11170. [Google Scholar] [CrossRef] [PubMed]
- Ronot, M.; Ferraioli, G.; Müller, H.P.; Friedrich-Rust, M.; Filice, C.; Vilgrain, V.; Cosgrove, D.; Lim, A.K. Comparison of liver stiffness measurements by a 2D-shear wave technique and transient elastography: Results from a European prospective multi-centre study. Eur. Radiol. 2021, 31, 1578–1587. [Google Scholar] [CrossRef]





| Variables | N (%) o Mean ± SD |
|---|---|
| Age | 54.72 ± 13.15 |
| Sex | F 22 (25.9%) M63 (74.1%) |
| Diabetes | 7 (21.9%) |
| Hypertension | 20 (62.5%) |
| BMI | 28.64 ± 3.54 |
| ALT | 0.87 ± 0.45 |
| AST | 0.85 ± 0.34 |
| Total Bilirubin | 0.86 ± 0.48 |
| GGT | 2.11 ± 5.80 |
| ALP | 0.74 ± 0.18 |
| PLT | 204.28 ± 60.07 |
| LS Fibroscan® | 7.97 ± 8.61 |
| CAP | 271.04 ± 52.78 |
| LS pSWE | 7.33 ± 8.24 |
| Variables | N (%) |
|---|---|
| F0 Fibroscan® | 51 (60%) |
| F1 Fibroscan® | 16 (18.8%) |
| F2 Fibroscan® | 4 (4.7%) |
| F3 Fibroscan® | 5 (5.9%) |
| F4 Fibroscan® | 9 (10.6%) |
| S0 | 25 (29.4%) |
| S1 | 11 (12.9%) |
| S2 | 13 (15.3%) |
| S3 | 36 (42.4%) |
| F0 pSWE | 58 (68.2%) |
| F1 pSWE | 13 (15.3%) |
| F2 pSWE | 2 (2.4%) |
| F3 pSWE | 5 (5.9%) |
| F4 pSWE | 7 (8.2%) |
| Variable | OR (95% CI) | p |
|---|---|---|
| ALT | 0.98 (0.0006–968) | 1 |
| AST | 0.48 (0.0012–689) | 0.98 |
| GGT | 4.8 (0.044–21.2) | 0.78 |
| PLT | 3.14 (0.003–87.7) | 0.97 |
| BMI | 732 (0.004–11,569) | 0.92 |
| Diabetes | 348.7 (332–365) | <0.001 |
| Hypertension | 0.83 (0.16–4.44) | 0.83 |
Disclaimer/Publisher’s Note: The statements, opinions and data contained in all publications are solely those of the individual author(s) and contributor(s) and not of MDPI and/or the editor(s). MDPI and/or the editor(s) disclaim responsibility for any injury to people or property resulting from any ideas, methods, instructions or products referred to in the content. |
© 2025 by the authors. Licensee MDPI, Basel, Switzerland. This article is an open access article distributed under the terms and conditions of the Creative Commons Attribution (CC BY) license (https://creativecommons.org/licenses/by/4.0/).
Share and Cite
Losurdo, G.; Castellaneta, A.; Di Nuccio, C.; Dell’Aquila, P.; Ditonno, I.; Novielli, D.; Continisio, A.; De Bellis, M.; Di Leo, A.; Principi, M.; et al. Comparison Between Transient Elastography and Point Shear Wave Elastography in the Assessment of Liver Fibrosis According to the Grade of Liver Steatosis. J. Clin. Med. 2025, 14, 5417. https://doi.org/10.3390/jcm14155417
Losurdo G, Castellaneta A, Di Nuccio C, Dell’Aquila P, Ditonno I, Novielli D, Continisio A, De Bellis M, Di Leo A, Principi M, et al. Comparison Between Transient Elastography and Point Shear Wave Elastography in the Assessment of Liver Fibrosis According to the Grade of Liver Steatosis. Journal of Clinical Medicine. 2025; 14(15):5417. https://doi.org/10.3390/jcm14155417
Chicago/Turabian StyleLosurdo, Giuseppe, Antonino Castellaneta, Claudia Di Nuccio, Paola Dell’Aquila, Ilaria Ditonno, Domenico Novielli, Antonio Continisio, Margherita De Bellis, Alfredo Di Leo, Mariabeatrice Principi, and et al. 2025. "Comparison Between Transient Elastography and Point Shear Wave Elastography in the Assessment of Liver Fibrosis According to the Grade of Liver Steatosis" Journal of Clinical Medicine 14, no. 15: 5417. https://doi.org/10.3390/jcm14155417
APA StyleLosurdo, G., Castellaneta, A., Di Nuccio, C., Dell’Aquila, P., Ditonno, I., Novielli, D., Continisio, A., De Bellis, M., Di Leo, A., Principi, M., & Barone, M. (2025). Comparison Between Transient Elastography and Point Shear Wave Elastography in the Assessment of Liver Fibrosis According to the Grade of Liver Steatosis. Journal of Clinical Medicine, 14(15), 5417. https://doi.org/10.3390/jcm14155417

