Opioid Dependence Increases Complications and Costs Following Lumbar Spinal Fusion: Insights from a Nationwide Database
Abstract
1. Introduction
2. Methods
2.1. Data Source
2.2. Cohort Definition and Selection Criteria
2.3. Outcome Variables (End Points)
2.4. Statistical Analysis
2.5. Ethical Consideration
3. Results
Results of Propensity Score Weight (PSW)
4. Discussion
5. Conclusions
Author Contributions
Funding
Institutional Review Board Statement
Informed Consent Statement
Data Availability Statement
Acknowledgments
Conflicts of Interest
Abbreviations
| HCUP | Healthcare Cost and Utilization Project |
| ICD-10 | International Classification of Diseases, 10th Revision |
| LF | Lumbar Fusion |
| LOS | Length of Stay |
| NIS | Nationwide Inpatient Sample |
| SPSS | Statistical Package for the Social Sciences |
References
- Degenhardt, L.; Grebely, J.; Stone, J.; Hickman, M.; Vickerman, P.; Marshall, B.D.L.; Bruneau, J.; Altice, F.L.; Henderson, G.; Rahimi-Movaghar, A.; et al. Global patterns of opioid use and dependence: Harms to populations, interventions, and future action. Lancet 2019, 394, 1560–1579. [Google Scholar] [CrossRef] [PubMed]
- Dowell, D.; Brown, S.; Gyawali, S.; Hoenig, J.; Ko, J.; Mikosz, C.; Ussery, E.; Baldwin, G.; Jones, C.M.; Olsen, Y.; et al. Treatment for Opioid Use Disorder: Population Estimates-United States, 2022. MMWR-Morb. Mortal. Wkly. Rep. 2024, 73, 567–574. [Google Scholar] [CrossRef] [PubMed]
- Alexander, G.C.; Ballreich, J.; Mansour, O.; Dowdy, D.W. Effect of reductions in opioid prescribing on opioid use disorder and fatal overdose in the United States: A dynamic Markov model. Addiction 2022, 117, 969–976. [Google Scholar] [CrossRef] [PubMed]
- Hills, J.M.; Pennings, J.S.; Archer, K.R.; Wick, J.B.; Daryoush, J.; Butler, M.; Sivaganesan, A.; Khan, I.; Call, R.; Devin, C.J. Preoperative Opioids and 1-year Patient-reported Outcomes After Spine Surgery. Spine 2019, 44, 887–895. [Google Scholar] [CrossRef]
- Armaghani, S.J.; Lee, D.S.; Bible, J.E.; Archer, K.R.; Shau, D.N.; Kay, H.; Zhang, C.; McGirt, M.J.; Devin, C.J. Preoperative opioid use and its association with perioperative opioid demand and postoperative opioid independence in patients undergoing spine surgery. Spine 2014, 39, E1524–E1530. [Google Scholar] [CrossRef]
- Uhrbrand, P.; Helmig, P.; Haroutounian, S.; Vistisen, S.T.; Nikolajsen, L. Persistent opioid use after spine surgery: A prospective cohort study. Spine 2021, 46, 1428–1435. [Google Scholar] [CrossRef]
- Elsamadicy, A.A.; Sandhu, M.R.S.; Reeves, B.C.; Freedman, I.G.; Koo, A.B.; Jayaraj, C.; Hengartner, A.C.; Havlik, J.; Hersh, A.M.; Pennington, Z.; et al. Association of inpatient opioid consumption on postoperative outcomes after open posterior spinal fusion for adult spine deformity. Spine Deform. 2023, 11, 439–453. [Google Scholar] [CrossRef]
- Berg, J.; Wahood, W.; Zreik, J.; Yolcu, Y.U.; Alvi, M.A.; Jeffery, M.; Bydon, M. Economic Burden of Hospitalizations Associated with Opioid Dependence Among Patients Undergoing Spinal Fusion. World Neurosurg. 2021, 151, e738–e746. [Google Scholar] [CrossRef]
- Jain, N.; Phillips, F.M.; Weaver, T.; Khan, S.N. Preoperative Chronic Opioid Therapy: A Risk Factor for Complications, Readmission, Continued Opioid Use and Increased Costs After One- and Two-Level Posterior Lumbar Fusion. Spine 2018, 43, 1331–1338. [Google Scholar] [CrossRef]
- Idrizi, A.; Paracha, N.; Lam, A.W.; Gordon, A.M.; Saleh, A.; Razi, A.E. Association of opioid use disorder on postoperative outcomes following lumbar laminectomy: A nationwide retrospective analysis of the medicare population. Int. J. Spine Surg. 2022, 16, 1034–1040. [Google Scholar] [CrossRef]
- Pirkle, S.B.; Reddy, S.B.; Bhattacharjee, S.B.; Shi, L.L.; Lee, M.J. Chronic opioid use is associated with surgical site infection after lumbar fusion. Spine 2020, 45, 837–842. [Google Scholar] [CrossRef] [PubMed]
- Mierke, A.; Chung, J.H.; Cheng, W.K.; Danisa, O.A. 218. Preoperative opioid use is associated with increased readmission and reoperation rates following lumbar decompression, instrumentation and fusion. Spine J. 2020, 20, S108. [Google Scholar] [CrossRef]
- Wang, M.C.; Harrop, J.S.; Bisson, E.F.; Dhall, S.; Dimar, J.; Mohamed, B.; Mummaneni, P.V.; Hoh, D.J. Congress of Neurological Surgeons Systematic Review and Evidence-Based Guidelines for Perioperative Spine: Preoperative Opioid Evaluation. Neurosurgery 2021, 89 (Suppl. S1), S1–S8. [Google Scholar] [CrossRef] [PubMed]
- Kha, S.T.; Scheman, J.; Davin, S.; Benzel, E.C. The impact of preoperative chronic opioid therapy in patients undergoing decompression laminectomy of the lumbar spine. Spine 2020, 45, 438–443. [Google Scholar] [CrossRef]
- Edwards, D.A.; Hedrick, T.L.; Jayaram, J.; Argoff, C.; Gulur, P.; Holubar, S.D.; Gan, T.J.; Mythen, M.G.; Miller, T.E.; Shaw, A.D.; et al. American society for enhanced recovery and perioperative quality initiative joint consensus statement on perioperative management of patients on preoperative opioid therapy. Anesth. Analg. 2019, 129, 553–566. [Google Scholar] [CrossRef]
- Wu, C.L.; King, A.B.; Geiger, T.M.; Grocott, M.P.W.; Gupta, R.; Hah, J.M.; Miller, T.E.; Shaw, A.D.; Gan, T.J.; Thacker, J.K.M.; et al. American Society for Enhanced Recovery and Perioperative Quality Initiative Joint Consensus Statement on Perioperative Opioid Minimization in Opioid-Naïve Patients. Anesth. Analg. 2019, 129, 567–577. [Google Scholar] [CrossRef]
- Dowell, D.; Ragan, K.R.; Jones, C.M.; Baldwin, G.T.; Chou, R. CDC Clinical Practice Guideline for Prescribing Opioids for Pain-United States, 2022. MMWR. Recomm. Rep. 2022, 71, 1–95. [Google Scholar] [CrossRef]
- Livingston, C.J.; Berenji, M.; Titus, T.M.; Caplan, L.S.; Freeman, R.J.; Sherin, K.M.; Mohammad, A.; Salisbury-Afshar, E.M. American college of preventive medicine: Addressing the opioid epidemic through a prevention framework. Am. J. Prev. Med. 2022, 63, 454–465. [Google Scholar] [CrossRef]
- Weick, J.; Bawa, H.; Dirschl, D.R.; Luu, H.H. Preoperative Opioid Use Is Associated with Higher Readmission and Revision Rates in Total Knee and Total Hip Arthroplasty. J. Bone Jt. Surg. 2018, 100, 1171–1176. [Google Scholar] [CrossRef]
- Martini, M.L.; Nistal, D.A.; Deutsch, B.C.; Caridi, J.M. Characterizing the risk and outcome profiles of lumbar fusion procedures in patients with opioid use disorders: A step toward improving enhanced recovery protocols for a unique patient population. Neurosurg. Focus 2019, 46, E12. [Google Scholar] [CrossRef]
- Tank, A.; Hobbs, J.; Ramos, E.; Rubin, D.S. Opioid Dependence and Prolonged Length of Stay in Lumbar Fusion: A Retrospective Study Utilizing the National Inpatient Sample 2003–2014. Spine 2018, 43, 1739–1745. [Google Scholar] [CrossRef] [PubMed]
- Schoenfeld, A.J.; Munigala, S.; Gong, J.; Schoenfeld, R.J.; Banaag, A.; Coles, C.; Koehlmoos, T.P. Reductions in sustained prescription opioid use within the US between 2017 and 2021. Sci. Rep. 2024, 14, 1432. [Google Scholar] [CrossRef] [PubMed]
- Larochelle, M.R.; Jones, C.M.; Zhang, K. Change in opioid and buprenorphine prescribers and prescriptions by specialty, 2016–2021. Drug Alcohol Depend. 2023, 248, 109933. [Google Scholar] [CrossRef] [PubMed]
- Casillas, S.M.; Pickens, C.M.; Stokes, E.K.; Walters, J.; Vivolo-Kantor, A. Patient-Level and County-Level Trends in Nonfatal Opioid-Involved Overdose Emergency Medical Services Encounters-491 Counties, United States, January 2018–March 2022. MMWR Morb. Mortal. Wkly. Rep. 2022, 71, 1073–1080. [Google Scholar] [CrossRef]
- Kuczyńska, K.M.; Boncler, M. Emerging role of fentanyl in antiplatelet therapy. J. Cardiovasc. Pharmacol. 2020, 76, 267–275. [Google Scholar] [CrossRef]
- Hobl, E.L.; Stimpfl, T.; Ebner, J.; Schoergenhofer, C.; Derhaschnig, U.; Sunder-Plassmann, R.; Jilma-Stohlawetz, P.; Mannhalter, C.; Posch, M.; Jilma, B. Morphine decreases clopidogrel concentrations and effects: A randomized, double-blind, placebo-controlled trial. J. Am. Coll. Cardiol. 2014, 63, 630–635. [Google Scholar] [CrossRef]
- McEvoy, J.W.; Ibrahim, K.; Kickler, T.S.; Clarke, W.A.; Hasan, R.K.; Czarny, M.J.; Keramati, A.R.; Goli, R.R.; Gratton, T.P.; Brinker, J.A.; et al. Effect of intravenous fentanyl on ticagrelor absorption and platelet inhibition among patients undergoing percutaneous coronary intervention: The PACIFY randomized clinical trial (platelet aggregation with ticagrelor inhibition and fentanyl). Circulation 2018, 137, 307–309. [Google Scholar] [CrossRef]
- Chin, K.J.; Lewis, S. Opioid-free Analgesia for Posterior Spinal Fusion Surgery Using Erector Spinae Plane (ESP) Blocks in a Multimodal Anesthetic Regimen. Spine 2019, 44, E379–E383. [Google Scholar] [CrossRef]
- Kaciroglu, A.; Ekinci, M.; Gurbuz, H.; Ulusoy, E.; Ekici, M.A.; Dogan, Ö.; Golboyu, B.E.; Alver, S.; Ciftci, B. Surgical vs ultrasound-guided lumbar erector spinae plane block for pain management following lumbar spinal fusion surgery. Eur. Spine J. 2024, 33, 2630–2636. [Google Scholar] [CrossRef]
- Elder, J.B.; Hoh, D.J.; Wang, M.Y. Postoperative continuous paravertebral anesthetic infusion for pain control in lumbar spinal fusion surgery. Spine 2008, 33, 210–218. [Google Scholar] [CrossRef]

| Category | Variable | Codes |
|---|---|---|
| Lumbar Fusion Procedures | Lumbar Fusion | 0SG0070, 0SG0071, 0G007J |
| 0SG00A0, 0SG00AJ, 0SG00J0 | ||
| 0SG00J1, 0SG00JJ, 0SG00K0 | ||
| 0SG00K1, 0SG0370, 0SG0371 | ||
| 0SG037J, 0SG03A0, 0SG03AJ | ||
| 0SG03J0, 0SG03J1, 0SG03K0 | ||
| 0SG03K1, 0SG03KJ, 0SG0471 | ||
| Comorbidities | Opioid Dependence | F11.2x |
| Type 2 Diabetes | E11.x | |
| Hypertension | I10 | |
| Dyslipidemia | E78.x | |
| Sleep Apnea | G47.3x | |
| Anemia | D64.x | |
| Alcohol Abuse | F10.x | |
| Smoking | Z72.0 | |
| Chronic Kidney Disease | N18.x | |
| COPD | J44.x | |
| Complications | Surgical Site Infection | T81.4x |
| Urinary Tract Infection | N39.x | |
| Respiratory Complications | J96.x, J95.x, J80.x, J15.x, J18.x | |
| Dural Tear/CSF Leak/Nerve Root Injury | G96.11, G96.00, G96.02, S34.x | |
| Acute Renal Failure | N17.x | |
| Embolism (PE, DVT) | I26.x, I82.4x | |
| Blood Loss | D62.x | |
| Cardiac Complications | I44.x, I20.x, I49.x, I50.x, I51.x, I23.x, R96.x, I21.x, I22.x, I24.x, I46.x, T81.1 | |
| Stroke | I63.x, G45.x |
| Characteristic | Not Opioid Dependent n = 589,740 | Opioid Dependent n = 7715 | p-Value |
|---|---|---|---|
| Demographics | |||
| Age, mean (SD) | 62.16 (12.09) | 58.23 (11.36) | <0.001 |
| Female, n (%) | 331,750 (56.3) | 4450 (57.7) | 0.25 |
| Hospital Bed Size, n (%) | |||
| Small | 162,105 (27.5) | 1165 (15.1) | <0.001 |
| Medium | 149,380 (25.3) | 1645 (21.3) | <0.001 |
| Large | 278,255 (47.2) | 4905 (63.6) | <0.001 |
| Hospital Location/Teaching, n (%) | |||
| Rural | 23,100 (3.9) | 305 (4.0) | <0.001 |
| Urban Non-teaching | 133,695 (22.7) | 1220 (15.8) | <0.001 |
| Urban Teaching | 432,945 (73.4) | 6190 (80.2) | <0.001 |
| Hospital Region, n (%) | |||
| Northeast | 95,440 (16.2) | 880 (11.4) | <0.001 |
| Midwest | 140,800 (23.9) | 2110 (27.3) | <0.001 |
| South | 242,980 (41.2) | 2445 (31.7) | <0.001 |
| West | 110,520 (18.7) | 2280 (29.6) | <0.001 |
| Race, n (%) | |||
| White | 471,060 (79.9) | 6225 (80.7) | 0.008 |
| Black | 47,125 (8.0) | 650 (8.4) | 0.008 |
| Hispanic | 31,300 (5.3) | 415 (5.4) | 0.008 |
| Asian | 7295 (1.2) | 15 (0.2) | 0.008 |
| Other | 32,960 (5.6) | 410 (5.3) | 0.008 |
| Primary Payer, n (%) | |||
| Medicare | 288,315 (48.9) | 3885 (50.4) | <0.001 |
| Medicaid | 34,490 (5.8) | 990 (12.8) | <0.001 |
| Private | 223,510 (37.9) | 2275 (29.5) | <0.001 |
| Other | 43,425 (7.4) | 565 (7.3) | <0.001 |
| Comorbidities, n (%) | |||
| Type 2 Diabetes | 129,170 (21.9) | 1715 (22.2) | 0.75 |
| Hypertension | 314,400 (53.3) | 4045 (52.4) | 0.49 |
| Dyslipidemia | 247,720 (42.0) | 3030 (39.3) | 0.02 |
| Sleep Apnea | 95,790 (16.2) | 1455 (18.9) | 0.005 |
| Chronic Anemia | 27,720 (4.7) | 475 (6.2) | 0.01 |
| Alcohol Abuse | 6085 (1.0) | 265 (3.4) | <0.001 |
| Smoker | 4220 (0.7) | 60 (0.8) | 0.77 |
| Chronic Kidney Disease | 36,770 (6.2) | 595 (7.7) | 0.02 |
| COPD | 43,690 (7.4) | 985 (12.8) | <0.001 |
| Characteristic | Overall | Not Opioid Dependent n = 7715 | Opioid Dependent n = 7715 | p-Value |
|---|---|---|---|---|
| Age, mean (SD) | 61.88 (11.83) | 62.11 (12.08) | 61.62 (11.54) | 0.20 |
| Female (%) | 55.7 | 56.3 | 55.0 | 0.45 |
| DM type 2 (%) | 22.2 | 21.9 | 22.5 | 0.65 |
| Hypertension (%) | 53.3 | 53.3 | 53.3 | 0.98 |
| Dyslipidemia (%) | 42.7 | 42.0 | 43.5 | 0.33 |
| Sleep apnea (%) | 16.2 | 16.3 | 16.2 | 0.92 |
| Anemia (%) | 4.6 | 4.7 | 4.4 | 0.66 |
| Alcohol abuse (%) | 1.1 | 1.1 | 1.2 | 0.60 |
| Smoking (%) | 0.7 | 0.7 | 0.7 | 0.93 |
| Renal disease (%) | 6.2 | 6.3 | 6.1 | 0.85 |
| Lung disease (%) | 7.8 | 7.5 | 8.1 | 0.40 |
| Hospital Size (%) | ||||
| Small | 27.2 | 27.3 | 27.0 | 0.88 |
| Medium | 24.9 | 25.3 | 24.5 | |
| Large | 47.9 | 47.4 | 48.5 | |
| Hospital Type (%) | ||||
| Rural | 4.3 | 3.9 | 4.7 | 0.71 |
| Urban non-teaching | 22.2 | 22.6 | 21.8 | |
| Urban teaching | 73.5 | 73.5 | 73.5 | |
| Region (%) | ||||
| Northeast | 15.8 | 16.1 | 15.4 | 0.62 |
| Midwest | 23.0 | 23.9 | 21.9 | |
| South | 41.6 | 41.1 | 42.2 | |
| West | 19.6 | 18.9 | 20.5 | |
| Insurance (%) | ||||
| Medicare | 48.2 | 48.9 | 47.4 | 0.73 |
| Medicaid | 6.0 | 5.9 | 6.1 | |
| Private | 38.2 | 37.8 | 38.6 | |
| Other | 7.6 | 7.4 | 7.9 |
| Complications | (%) | Effect | Estimate | Lower CI | Upper CI | p-Value |
|---|---|---|---|---|---|---|
| Urinary Tract Infection | 2.6 | OR | 1.40 | 0.90 | 2.16 | 0.12 |
| Stroke | 17.8 | OR | 1.34 | 0.39 | 4.61 | 0.63 |
| Surgical Site Infection | 0.2 | OR | 3.94 | 1.26 | 12.2 | <0.005 |
| Blood Loss Anemia | 17.8 | OR | 1.79 | 1.53 | 2.11 | <0.005 |
| Cardiac Complications | 5.3 | OR | 1.53 | 1.15 | 2.03 | <0.005 |
| Acute Renal Failure | 2.8 | OR | 1.39 | 0.94 | 2.05 | 0.09 |
| Dural Tear/Nerve Root Injury | 0.9 | OR | 1.99 | 0.98 | 4.04 | 0.054 |
| Respiratory Complications | 0.3 | OR | 2.17 | 1.54 | 3.06 | <0.005 |
| Hospital Outcomes | ||||||
| Prolonged LOS (75th %) ($) | RR | 1.17 | 1.12 | 1.22 | <0.005 | |
| Length of stay | RR | 1.20 | 1.15 | 1.26 | <0.005 |
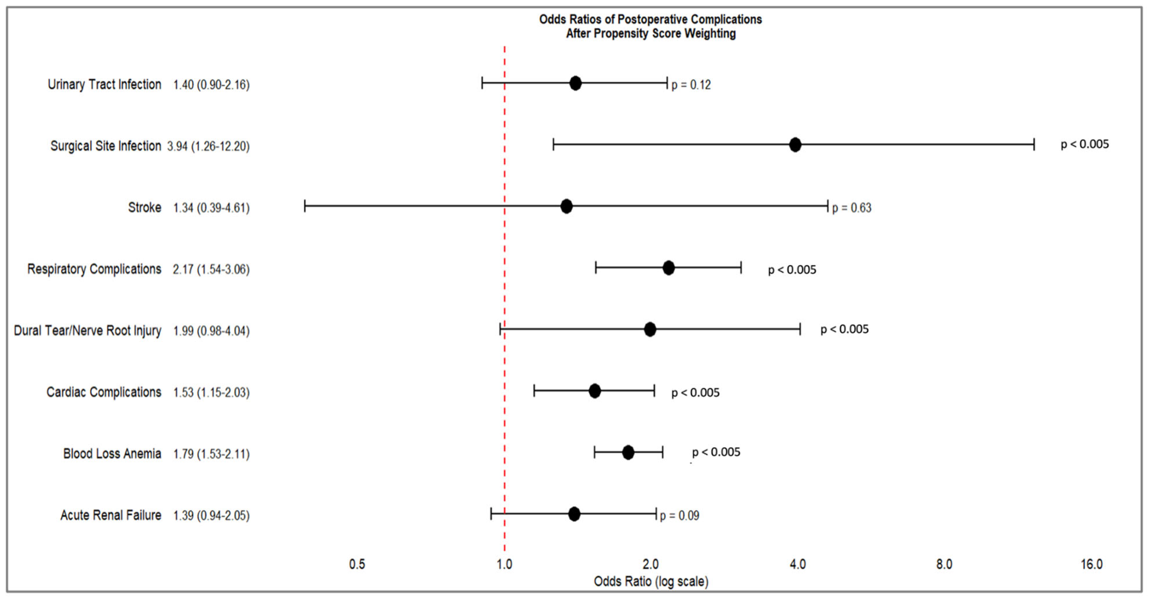
| Complications | ES | Estimate | Lower CI | Upper CI | p-Value |
|---|---|---|---|---|---|
| Stroke | OR | 1.51 | 0.48 | 4.74 | 0.48 |
| Blood Loss Anemia | OR | 1.84 | 1.62 | 2.08 | <0.005 |
| Cardiac Complications | OR | 1.32 | 1.07 | 1.64 | 0.01 |
| Acute Renal Failure | OR | 1.36 | 1.00 | 1.84 | 0.04 |
| Dural Tear/Nerve Root Injury | OR | 2.21 | 1.40 | 3.49 | <0.005 |
| Respiratory Complications | OR | 2.10 | 1.61 | 2.73 | <0.005 |
| Urinary Tract Infection | OR | 1.49 | 1.09 | 2.03 | 0.01 |
| Surgical Site Infection | OR | 3.27 | 1.34 | 8.02 | 0.009 |
| Hospital Outcomes | |||||
| Prolonged LOS (75th %) (USD) | RR | 1.25 | 1.10 | 1.42 | <0.005 |
| Length of stay | RR | 1.36 | 1.20 | 1.53 | <0.005 |
Disclaimer/Publisher’s Note: The statements, opinions and data contained in all publications are solely those of the individual author(s) and contributor(s) and not of MDPI and/or the editor(s). MDPI and/or the editor(s) disclaim responsibility for any injury to people or property resulting from any ideas, methods, instructions or products referred to in the content. |
© 2025 by the authors. Licensee MDPI, Basel, Switzerland. This article is an open access article distributed under the terms and conditions of the Creative Commons Attribution (CC BY) license (https://creativecommons.org/licenses/by/4.0/).
Share and Cite
Mahamid, A.; Laver, L.; Alfandari, L.; Jabareen, H.; Martonovich, N.; Keren, A.; Behrbalk, E. Opioid Dependence Increases Complications and Costs Following Lumbar Spinal Fusion: Insights from a Nationwide Database. J. Clin. Med. 2025, 14, 3929. https://doi.org/10.3390/jcm14113929
Mahamid A, Laver L, Alfandari L, Jabareen H, Martonovich N, Keren A, Behrbalk E. Opioid Dependence Increases Complications and Costs Following Lumbar Spinal Fusion: Insights from a Nationwide Database. Journal of Clinical Medicine. 2025; 14(11):3929. https://doi.org/10.3390/jcm14113929
Chicago/Turabian StyleMahamid, Assil, Lior Laver, Liad Alfandari, Hamza Jabareen, Noa Martonovich, Amit Keren, and Eyal Behrbalk. 2025. "Opioid Dependence Increases Complications and Costs Following Lumbar Spinal Fusion: Insights from a Nationwide Database" Journal of Clinical Medicine 14, no. 11: 3929. https://doi.org/10.3390/jcm14113929
APA StyleMahamid, A., Laver, L., Alfandari, L., Jabareen, H., Martonovich, N., Keren, A., & Behrbalk, E. (2025). Opioid Dependence Increases Complications and Costs Following Lumbar Spinal Fusion: Insights from a Nationwide Database. Journal of Clinical Medicine, 14(11), 3929. https://doi.org/10.3390/jcm14113929

