Meta-Analytic Review of Coronary Angiography in Peri-Procedural Myocardial Injury and Infarction After Cardiac Surgery
Abstract
1. Introduction
2. Methods
2.1. Aims
2.2. Methodology
- Population (P): Patients with PMI.
- Intervention (I): Undergoing coronary angiography.
- Comparator (C): Treatment strategy (conservative vs. interventional/surgical therapy).
- Outcome (O): Mortality.
2.3. Statistical Analysis
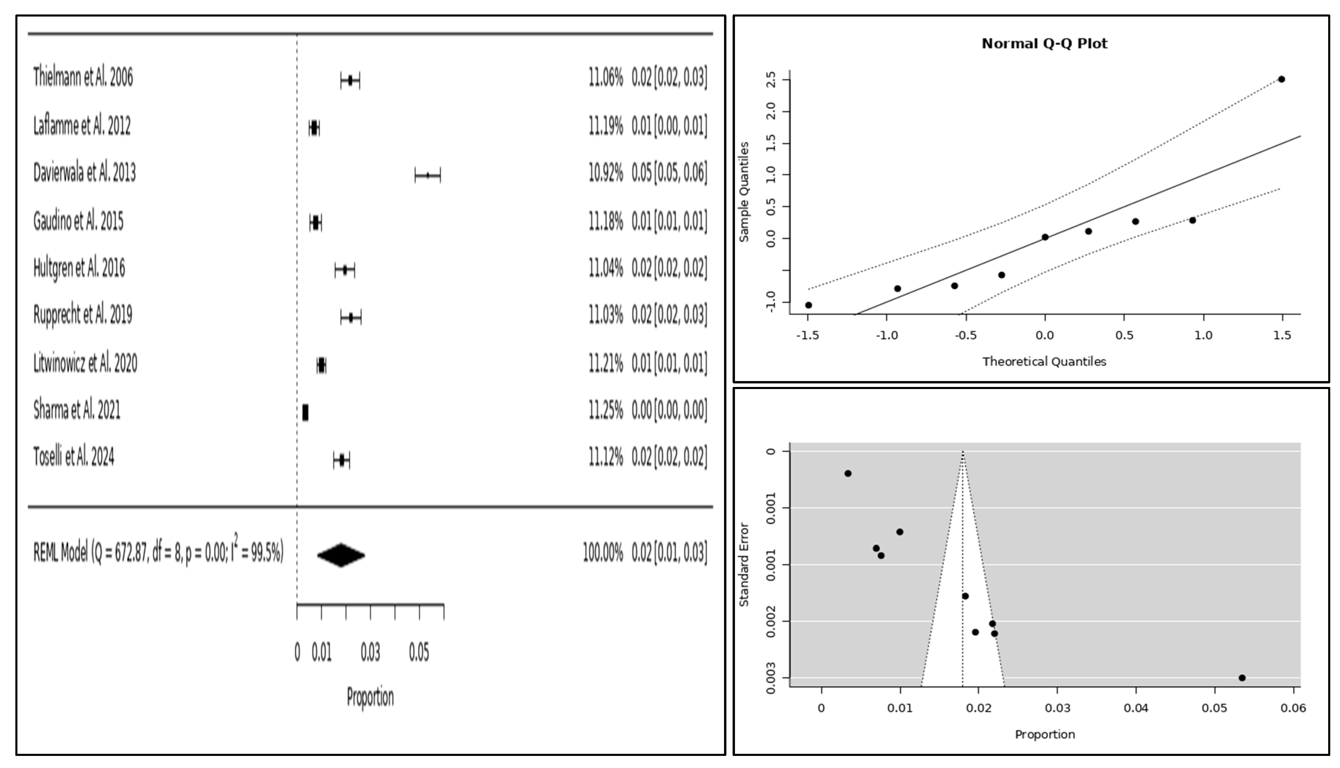
3. Results
4. Discussion
Limitations of the Research
5. Conclusions
Author Contributions
Funding
Institutional Review Board Statement
Informed Consent Statement
Data Availability Statement
Conflicts of Interest
Abbreviations
| CABG | Coronary Artery Bypass Grafting |
| cTn | Cardiac Troponin |
| CTA | Coronary Computed Tomography Angiography |
| ECG (EKG) | Electrocardiogram |
| ECMO | Extracorporeal Membrane Oxygenation |
| IABP | Intra-Aortic Balloon Pump |
| MACE | Major Adverse Cardiovascular Events |
| MCS | Mechanical Circulatory Support |
| MI | Myocardial Infarction |
| PCI | Percutaneous Coronary Intervention |
| PMI | Peri-procedural Myocardial Infarction |
| PMI-rCA | Peri-procedural Myocardial Infarction requiring Coronary Angiography |
Appendix A


| Variables | Davierwala et al. | Gaudino et al. | Laflamme et al. | Litwinowicz et al. | Sharma et al. | Toselli et al. | Thielmann et al. | Rupprecht et al. | Hultgren et al. |
|---|---|---|---|---|---|---|---|---|---|
| Total patients, N | 7461 | 5275 | 5598 | 11,537 | 53,287 | 6505 | 5427 | 4909 | 4446 |
| Patient with PMI, n/N | 399 | 40 | 39 | 115 | 180 | 119 | 118 | 108 | 87 |
| Not survided (with evidence of PMI), n/N | 29 | 4 | 7 | 42 | 28 | 38 | 10 | 19 | 6 |
| Age, years | 68 | 71 | 66 | 66 | 66 | 69 | 66 | 66 | 67 |
| Female Sex, % | 0.23 | 0.35 | 0.31 | 0.34 | 0.30 | 0.39 | 0.42 | 0.39 | 0.22 |
| Hypertension, % | 0.91 | 0.90 | 0.56 | 0.80 | 0.81 | 0.67 | 0.36 | 0.79 | 0.69 |
| Dyslipidemia, % | 0.76 | 0.58 | 0.49 | 0.67 | 0.73 | 0.60 | 0.38 | 0.64 | 0.56 |
| Diabetes, % | 0.42 | - | 0.10 | - | 0.43 | 0.23 | 0.19 | 0.28 | 0.17 |
| Smoke, % | - | - | 0.33 | - | 0.54 | 0.50 | 0.28 | 0.37 | 0.11 |
| COPD, % | 0.06 | 0.55 | 0.13 | - | - | 0.10 | 0.08 | 0.11 | 0.06 |
| Prior ACS, % | - | 0.13 | 0.44 | 0.60 | - | 0.22 | 0.34 | - | - |
| Prior PTCA, % | 0.25 | - | 0.15 | 0.31 | - | 0.16 | - | - | 0.28 |
| Lower EF, % | 0.29 | 0.28 | 0.41 | - | 0.31 | 0.50 | - | - | - |
| Triple vessel disease, % | 0.73 | 0.33 | 0.10 | - | - | - | 0.43 | 0.91 | 0.59 |
| Left main, % | 0.09 | 0.15 | 0.36 | - | - | - | - | 0.48 | 0.43 |
| Isolated CABG, % | 0.00 | 0.48 | 1.00 | 0.49 | 0.57 | 0.40 | 1.00 | 1.00 | 0.89 |
| Valve Surgery, % | - | 0.38 | - | 0.08 | 0.07 | 0.39 | - | - | - |
| ST/T abnormalities, % | 0.50 | 0.63 | 0.59 | 0.25 | 0.29 | 0.39 | 0.09 | 0.67 | 0.78 |
| Ventricular arrhytmias, % | 0.20 | 0.38 | 0.23 | 0.23 | 0.32 | 0.26 | 0.22 | 0.15 | 0.10 |
| Graft failure (total), % | 0.64 | 0.43 | 0.82 | 0.31 | 0.45 | 0.31 | 0.57 | 0.65 | 0.60 |
| Only medical therapy, % | 0.59 | 0.55 | 0.51 | 0.57 | 0.54 | 0.46 | 0.66 | 0.43 | 0.67 |
| Operative revascularization, % | 0.41 | 0.45 | 0.49 | 0.43 | 0.46 | 0.38 | 0.30 | 0.57 | 0.45 |
| Redo Surgery, % | 0.33 | 0.08 | 0.10 | 0.03 | 0.24 | 0.16 | 0.21 | 0.09 | 0.29 |
| PTCA, % | 0.09 | 0.38 | 0.38 | 0.40 | 0.21 | 0.38 | 0.13 | 0.48 | 0.16 |
| Mechanic support, % | 0.25 | - | - | 0.28 | 0.40 | 0.63 | 0.22 | - | - |
| IABP insertion, % | 0.22 | - | - | 0.28 | 0.29 | 0.49 | 0.16 | - | - |
| ECMO, % | 0.03 | - | - | - | - | 0.14 | 0.12 | - | 0.02 |
| Mortality 1 year, % | 0.10 | 0.15 | 0.13 | 0.37 | 0.23 | 0.34 | 0.12 | 0.18 | 0.11 |


References
- Gaudino, M.; Dangas, G.D.; Angiolillo, D.J.; Brodt, J.; Chikwe, J.; DeAnda, A.; Hameed, I.; Rodgers, M.L.; Sandner, S.; Sun, L.Y.; et al. Considerations on the Management of Acute Postoperative Ischemia After Cardiac Surgery: A Scientific Statement from the American Heart Association. Circulation 2023, 148, 442–454. [Google Scholar] [CrossRef] [PubMed]
- Jørgensen, P.H.; Nybo, M.; Jensen, M.K.; Mortensen, P.E.; Poulsen, T.S.; Diederichsen, A.C.; Mickley, H. Optimal cut-off value for cardiac troponin I in ruling out Type 5 myocardial infarction. Interact. Cardiovasc. Thorac. Surg. 2014, 18, 544–550. [Google Scholar] [CrossRef] [PubMed]
- Gaudino, M.; Jaffe, A.S.; Milojevic, M.; Sandoval, Y.; Devereaux, P.J.; Thygesen, K.; Myers, P.O.; Kluin, J. Great debate: Myocardial infarction after cardiac surgery must be redefined. Eur. Heart J. 2024, 45, 4170–4177. [Google Scholar] [CrossRef] [PubMed] [PubMed Central]
- Gaudino, M.; Flather, M.; Capodanno, D.; Milojevic, M.; Bhatt, D.L.; Biondi Zoccai, G.; Boden, W.E.; Devereaux, P.J.; Doenst, T.; Farkouh, M.; et al. European Association of Cardio-Thoracic Surgery (EACTS) expert consensus statement on perioperative myocardial infarction after cardiac surgery. Eur. J. Cardiothorac. Surg. 2024, 65, ezad415. [Google Scholar] [CrossRef] [PubMed]
- Nanni, S.; Garofalo, M.; Schinzari, M.; Nardi, E.; Semprini, F.; Battistini, P.; Barberini, F.; Foà, A.; Baiocchi, M.; Castelli, A.; et al. Prognostic value of high-sensitivity cardiac troponin I early after coronary artery bypass graft surgery. J. Cardiothorac. Surg. 2022, 17, 280. [Google Scholar] [CrossRef] [PubMed] [PubMed Central]
- Steuer, J.; Hörte, L.-G.; Lindahl, B.; Ståhle, E. Impact of perioperative myocardial injury on early and long-term outcome after coronary artery bypass grafting. Eur. Heart J. 2002, 23, 1219–1227. [Google Scholar] [CrossRef] [PubMed]
- Rasmussen, C.; Thiis, J.J.; Clemmensen, P.; Efsen, F.; Arendrup, H.C.; Saunamäki, K.; Madsen, J.K.; Pettersson, G. Significance and management of early graft failure after coronary artery bypass grafting: Feasibility and results of acute angiography and re-re-vascularization. Eur. J. Cardiothorac. Surg. 1997, 12, 847–852. [Google Scholar] [CrossRef]
- Heuts, S.; Gollmann-Tepeköylü, C.; Denessen, E.J.S.; Olsthoorn, J.R.; Romeo, J.L.R.; Maessen, J.G.; van ‘t Hof, A.W.J.; Bekers, O.; Hammarsten, O.; Pölzl, L.; et al. Cardiac troponin release following coronary artery bypass grafting: Mechanisms and clinical implications. Eur. Heart J. 2023, 44, 100–112. [Google Scholar] [CrossRef] [PubMed] [PubMed Central]
- Thielmann, M.; Massoudy, P.; Jaeger, B.R.; Neuhäuser, M.; Marggraf, G.; Sack, S.; Erbel, R.; Jakob, H. Emergency re-revascularization with percutaneous coronary intervention, reoperation, or conservative treatment in patients with acute perioperative graft failure following coronary artery bypass surgery. Eur. J. Cardiothorac. Surg. 2006, 30, 117–125. [Google Scholar] [CrossRef]
- Laflamme, M.; DeMey, N.; Bouchard, D.; Carrier, M.; Demers, P.; Pellerin, M.; Couture, P.; Perrault, L.P. Management of early postoperative coronary artery bypass graft failure. Interact. Cardiovasc. Thorac. Surg. 2012, 14, 452–456. [Google Scholar] [CrossRef]
- Davierwala, P.M.; Verevkin, A.; Leontyev, S.; Misfeld, M.; Borger, M.A.; Mohr, F.W. Impact of expeditious management of perioperative myocardial ischemia in patients undergoing isolated coronary artery bypass surgery. Circulation 2013, 128 (Suppl. 1), S226–S234. [Google Scholar] [CrossRef]
- Gaudino, M.; Nesta, M.; Burzotta, F.; Trani, C.; Coluccia, V.; Crea, F.; Massetti, M. Results of emergency postoperative re-angiography after cardiac surgery procedures. Ann. Thorac. Surg. 2015, 99, 1576–1582. [Google Scholar] [CrossRef] [PubMed]
- Hultgren, K.; Andreasson, A.; Axelsson, T.A.; Albertsson, P.; Lepore, V.; Jeppsson, A. Acute coronary angiography after coronary artery bypass grafting. Scand. Cardiovasc. J. 2016, 50, 123–127. [Google Scholar] [CrossRef]
- Rupprecht, L.; Schmid, C.; Debl, K.; Lunz, D.; Flörchinger, B.; Keyser, A. Impact of coronary angiography early after CABG for suspected postoperative myocardial ischemia. J. Cardiothorac. Surg. 2019, 14, 54. [Google Scholar] [CrossRef] [PubMed]
- Litwinowicz, R.; Filip, G.; Bryndza, M.; Bartus, M.; Sadowski, J.; Kapelak, B.; Mazur, P.; Vuddanda, V.; Lakkireddy, D.; Bartus, K. Outcomes of emergency coronary angiography after cardiac surgery. Eur. J. Prev. Cardiol. 2020, 27, 1339–1342. [Google Scholar] [CrossRef] [PubMed]
- Sharma, V.; Chen, K.; Alansari, S.A.R.; Verma, B.; Soltesz, E.G.; Johnston, D.R.; Tong, M.Z.; Roselli, E.E.; Wierup, P.; Pettersson, G.B.; et al. Outcomes of Early Coronary Angiography or Revascularization After Cardiac Surgery. Ann. Thorac. Surg. 2021, 111, 1494–1501. [Google Scholar] [CrossRef]
- Toselli, M.; Cimaglia, P.; Cereda, A.; Fabbri, G.; Latta, F.; Giovannini, D.; Galli, M.; Calvi, S.; Nerla, R.; Castriota, F. Urgent Coronary Angiography Following Cardiac Surgery: Insights from a High-Volume Cardiac Surgery Center. Catheter. Cardiovasc. Interv. 2025, 105, 525–531. [Google Scholar] [CrossRef]
- Nevill, C.R.; Cooper, N.J.; Sutton, A.J. A multifaceted graphical display, including treatment ranking, was developed to aid interpretation of network meta-analysis. J. Clin. Epidemiol. 2023, 157, 83–91. [Google Scholar] [CrossRef]
- Spagnolo, M.; Occhipinti, G.; Laudani, C.; Greco, A.; Capodanno, D. Periprocedural myocardial infarction and injury. Eur. Heart J. Acute Cardiovasc. Care 2024, 13, 433–445. [Google Scholar] [CrossRef] [PubMed]
- Pölzl, L.; Thielmann, M.; Cymorek, S.; Nägele, F.; Hirsch, J.; Graber, M.; Sappler, N.; Eder, J.; Staggl, S.; Theurl, F.; et al. Impact of myocardial injury after coronary artery bypass grafting on long-term prognosis. Eur. Heart J. 2022, 43, 2407–2417. [Google Scholar] [CrossRef] [PubMed]
- Hara, H.; Serruys, P.W.; Takahashi, K.; Kawashima, H.; Ono, M.; Gao, C.; Wang, R.; Mohr, F.W.; Holmes, D.R.; Davierwala, P.M.; et al. SYNTAXExtended Survival Investigators Impact of Peri-Procedural Myocardial Infarction on Outcomes After Revascularization. J. Am. Coll. Cardiol. 2020, 76, 1622–1639. [Google Scholar] [CrossRef] [PubMed]
- Di Lazzaro, D.; Crusco, F. CT angio for the evaluation of graft patency. J. Thorac. Dis. 2017, 9 (Suppl. 4), S283–S288. [Google Scholar] [CrossRef] [PubMed] [PubMed Central][Green Version]
- Trivedi, D.P.; Chigarapalli, S.R.; Gangahar, D.M.; Machiraju, V.R. The impact of advances in percutaneous catheter interventions on redo cardiac surgery. Indian. J. Thorac. Cardiovasc. Surg. 2021, 37, 61–69. [Google Scholar] [CrossRef] [PubMed] [PubMed Central]
- Lee, D.W.; Cavender, M.A. Periprocedural Myocardial Infarction in Contemporary Practice. Interv. Cardiol. Clin. 2019, 8, 209–223. [Google Scholar] [CrossRef] [PubMed]
- Hanna, E.B.; Hennebry, T.A. Periprocedural myocardial infarction: Review and classification. Clin. Cardiol. 2010, 33, 476–483. [Google Scholar] [CrossRef] [PubMed] [PubMed Central]
- Felekos, I.; Theodoropoulos, K.C.; Mullen, L. Acute Circumflex Occlusion After a Successful Mitral Valve Repair. Cardiovasc. Revascularization Med. 2020, 21, 60–62. [Google Scholar] [CrossRef]
- Imamura, T.; Oshima, A.; Narang, N.; Onoda, H.; Tanaka, S.; Ushijima, R.; Sobajima, M.; Fukuda, N.; Ueno, H.; Kinugawa, K. Clinical implications of troponin-T elevations following TAVR: Troponin Increase Following TAVR. J. Cardiol. 2022, 79, 240–246. [Google Scholar] [CrossRef]
- Sabra, M.J.; Andrews, W.G.; Crandall, M.L.; Pirris, J.P. The postoperative use of Impella as a ventricular assist device in high-risk patients undergoing coronary artery bypass surgery: A case series and comparison. J. Card. Surg. 2020, 35, 113–117. [Google Scholar] [CrossRef] [PubMed]







| Demographic and Clinical Profile | |
|---|---|
| All patients undergoing cardiac surgery, N | 104,445 |
| Number of patients with peri-procedural MI, N | 1205 |
| Mean age, years ± SD | 67 ± 2 |
| Female sex, n/N(%) | 365 (30.3) |
| Hypertension, n/N(%) | 928 (77) |
| Dyslipidemia, n/N(%) | 786 (65) |
| Diabetes, n/N(%) | 341 (32.5) |
| Hystory of Smoking, n/N(%) | 254 (39) |
| COPD, n/N(%) | 91 (10) |
| Prior ACS, n/N(%) | 157 (36) |
| Prior PCI, n/N(%) | 185 (24.3) |
| Prior Heart Surgery, n/N(%) | 33 (4.9) |
| EF < 55%, n/N(%) | 258 (33) |
| Type of Surgery | |
| Isolated CABG Surgery, n/N(%) | 568 (47.1) |
| Isolated Valve Surgery, n/N(%) | 83 (6.9) |
| Combine Surgery, n/N (%) | 554 (46) |
| Cross-Clamping Time, min ± SD | 63 ± 38 |
| Clinical Indication for Cag | |
| ST/T EKG Abnormalities, n/N(%) | 526 (43.7) |
| Ventricular Arrhythmias, n/N(%) | 269 (22.3) |
| Hemodinamic Instability, n/N(%) | 410 (34) |
| Mechanical Circulatory Support | |
| Mechanical Support, n/N(%) | 304 (25.2) |
| IABP insertion, n/N(%) | 248 (20.5) |
| CPR/Resuscitation, n/n (%) | 160 (13.2) |
| ECMO, n/N(%) | 46 (3.8) |
| Cag Findings | |
| Graft Failure, n/N(%) | 647 (53.7) |
| Native Vessel Ischemia, n/N(%) | 125 (10.4) |
| Non-Critical Angiography Findings, n/N(%) | 413 (34.2) |
| Spasm, n/N(%) | 20 (1.7) |
| Treatment | |
| Conservative Treatment, n/N(%) | 669 (55.5) |
| PTCA, n/N(%) | 284 (23.5) |
| Redo Surgery, n/N(%) | 252 (21) |
| Outcomes | |
| 30 d mortality in conservative treatment, n/N(%) | 92 (14.9) |
| 30 d mortality in PTCA, n/N(%) | 55 (19.3) |
| 30 d mortality in Redo Surgery, n/N(%) | 46 (18.3) |
| 30 d mortality, n/N(%) | 193 (16) |
| One year mortality, n/N(%) | 204 (16.9) |
Disclaimer/Publisher’s Note: The statements, opinions and data contained in all publications are solely those of the individual author(s) and contributor(s) and not of MDPI and/or the editor(s). MDPI and/or the editor(s) disclaim responsibility for any injury to people or property resulting from any ideas, methods, instructions or products referred to in the content. |
© 2025 by the authors. Licensee MDPI, Basel, Switzerland. This article is an open access article distributed under the terms and conditions of the Creative Commons Attribution (CC BY) license (https://creativecommons.org/licenses/by/4.0/).
Share and Cite
Cereda, A.F.; Toselli, M.; Cimaglia, P.; Franchina, A.G.; Tua, L.; Carlà, M.; Tumminello, G.; Aseni, P.; Sangiorgi, G.M.; Biolcati, M.; et al. Meta-Analytic Review of Coronary Angiography in Peri-Procedural Myocardial Injury and Infarction After Cardiac Surgery. J. Clin. Med. 2025, 14, 3407. https://doi.org/10.3390/jcm14103407
Cereda AF, Toselli M, Cimaglia P, Franchina AG, Tua L, Carlà M, Tumminello G, Aseni P, Sangiorgi GM, Biolcati M, et al. Meta-Analytic Review of Coronary Angiography in Peri-Procedural Myocardial Injury and Infarction After Cardiac Surgery. Journal of Clinical Medicine. 2025; 14(10):3407. https://doi.org/10.3390/jcm14103407
Chicago/Turabian StyleCereda, Alberto Francesco, Marco Toselli, Paolo Cimaglia, Antonio Gabriele Franchina, Lorenzo Tua, Matteo Carlà, Gabriele Tumminello, Paolo Aseni, Giuseppe Massimo Sangiorgi, Marco Biolcati, and et al. 2025. "Meta-Analytic Review of Coronary Angiography in Peri-Procedural Myocardial Injury and Infarction After Cardiac Surgery" Journal of Clinical Medicine 14, no. 10: 3407. https://doi.org/10.3390/jcm14103407
APA StyleCereda, A. F., Toselli, M., Cimaglia, P., Franchina, A. G., Tua, L., Carlà, M., Tumminello, G., Aseni, P., Sangiorgi, G. M., Biolcati, M., Spangaro, A., Rocchetti, M., Pezzoli, E., Vanelli, P., & Lucreziotti, S. (2025). Meta-Analytic Review of Coronary Angiography in Peri-Procedural Myocardial Injury and Infarction After Cardiac Surgery. Journal of Clinical Medicine, 14(10), 3407. https://doi.org/10.3390/jcm14103407

