A Study of the Prognostic Factors for Late Cervical Lymph Node Metastasis and Distant Metastasis in Patients with cT1-2N0 Tongue Cancer
Abstract
1. Introduction
2. Materials and Methods
2.1. Patients and Inclusion Criteria
2.2. Treatment and Follow-Up
2.3. Histopathological Assessment
- Pathological DOI
- Histological Grading
- Tumor Budding
- Pattern of Invasion
- Tumor–Stroma Ratio
2.4. Statistical Analysis
2.5. Clinical and Pathological Items Collected from Medical Records
3. Results
3.1. Baseline Characteristics of the Patients
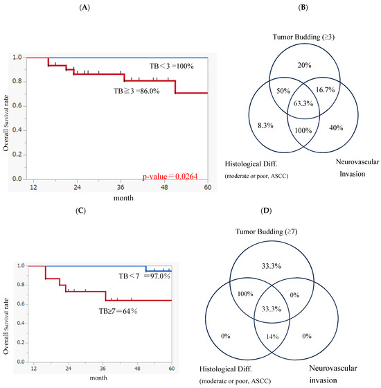
3.2. Study 1
3.3. Study 2
4. Discussion
Study Limitations
5. Conclusions
Author Contributions
Funding
Institutional Review Board Statement
Informed Consent Statement
Data Availability Statement
Conflicts of Interest
References
- Ebrahimi, A.; Ashford, B.G.; Clark, J.R. Improved survival with elective neck dissection in thick early-stage oral squamous cell carcinoma. Head Neck 2012, 34, 709–716. [Google Scholar] [CrossRef] [PubMed]
- D’Cruz, A.K.; Vaish, R.; Kapre, N.; Dandekar, M.; Gupta, S.; Hawaldar, R.; Agarwal, J.P.; Pantvaidya, G.; Chaukar, D.; Deshmukh, A.; et al. Elective versus Therapeutic Neck Dissection in Node-Negative Oral Cancer. N. Engl. J. Med. 2015, 373, 521–529. [Google Scholar] [CrossRef] [PubMed]
- Hutchison, I.L.; Ridout, F.; Cheung, S.M.Y.; Shah, N.; Hardee, P.; Surwald, C.; Thiruchelvam, J.; Cheng, L.; Mellor, T.K.; Brennan, P.A.; et al. Correction to: Nationwide randomised trial evaluating elective neck dissection for early stage oral cancer (SEND study) with meta-analysis and concurrent real-world cohort. Br. J. Cancer 2022, 126, 831. [Google Scholar] [CrossRef]
- Tam, S.; Amit, M.; Zafereo, M.; Bell, D.; Weber, R.S. Depth of invasion as a predictor of nodal disease and survival in patients with oral tongue squamous cell carcinoma. Head Neck 2019, 41, 177–184. [Google Scholar] [CrossRef] [PubMed]
- van Lanschot, C.G.F.; Klazen, Y.P.; de Ridder, M.A.J.; Mast, H.; Ten Hove, I.; Hardillo, J.A.; Monserez, D.A.; Sewnaik, A.; Meeuwis, C.A.; Keereweer, S.; et al. Depth of invasion in early stage oral cavity squamous cell carcinoma: The optimal cut-off value for elective neck dissection. Oral. Oncol. 2020, 111, 104940. [Google Scholar] [CrossRef] [PubMed]
- Wang, C.; Huang, H.; Huang, Z.; Wang, A.; Chen, X.; Huang, L.; Zhou, X.; Liu, X. Tumor budding correlates with poor prognosis and epithelial-mesenchymal transition in tongue squamous cell carcinoma. J. Oral. Pathol. Med. 2011, 40, 545–551. [Google Scholar] [CrossRef]
- Yamakawa, N.; Kirita, T.; Umeda, M.; Yanamoto, S.; Ota, Y.; Otsuru, M.; Okura, M.; Kurita, H.; Yamada, S.I.; Hasegawa, T.; et al. Tumor budding and adjacent tissue at the invasive front correlate with delayed neck metastasis in clinical early-stage tongue squamous cell carcinoma. J. Surg. Oncol. 2019, 119, 370–378. [Google Scholar] [CrossRef]
- Yasuda, M.; Chiodo, C.; Lilley, C.; Mehrotra, S.; Ananthanarayanan, V.; Ziegler, A.; Thorpe, E. Relationship Between Worst Pattern of Invasion and Extranodal Extension in Oral Tongue Squamous Cell Carcinomas. Head Neck Pathol. 2023, 17, 460–466. [Google Scholar] [CrossRef]
- Mascitti, M.; Zhurakivska, K.; Togni, L.; Caponio, V.C.A.; Almangush, A.; Balercia, P.; Balercia, A.; Rubini, C.; Lo Muzio, L.; Santarelli, A.; et al. Addition of the tumour-stroma ratio to the 8th edition American Joint Committee on Cancer staging system improves survival prediction for patients with oral tongue squamous cell carcinoma. Histopathology 2020, 77, 810–822. [Google Scholar] [CrossRef]
- Lugli, A.; Kirsch, R.; Ajioka, Y.; Bosman, F.; Cathomas, G.; Dawson, H.; El Zimaity, H.; Fléjou, J.F.; Hansen, T.P.; Hartmann, A.; et al. Recommendations for reporting tumor budding in colorectal cancer based on the International Tumor Budding Consensus Conference (ITBCC) 2016. Mod. Pathol. 2017, 30, 1299–1311. [Google Scholar] [CrossRef]
- Brandwein-Gensler, M.; Teixeira, M.S.; Lewis, C.M. Oral squamous cell carcinoma: Histologic risk assessment, but not margin status, is strongly predictive of local disease-free and overall survival. Am. J. Surg. Pathol. 2005, 29, 167–178. [Google Scholar] [CrossRef]
- Almangush, A.; Heikkinen, I.; Bakhti, N.; Mäkinen, L.K.; Kauppila, J.H.; Pukkila, M.; Hagström, J.; Laranne, J.; Soini, Y.; Kowalski, L.P.; et al. Prognostic impact of tumour–stroma ratio in early-stage oral tongue cancers. Histopathology 2018, 72, 1128–1135. [Google Scholar] [CrossRef] [PubMed]
- van Pelt, G.W.; Kjær-Frifeldt, S.; van Krieken, J.; Al Dieri, R.; Morreau, H.; Tollenaar, R.; Sørensen, F.B.; Mesker, W.E. Scoring the tumor-stroma ratio in colon cancer: Procedure and recommendations. Virchows Arch. 2018, 473, 405–412. [Google Scholar] [CrossRef] [PubMed]
- Weiss, M.H.; Harrison, L.B.; Isaacs, R.S. Use of decision analysis in planning a management strategy for the stage N0 neck. Arch. Otolaryngol. Head Neck Surg. 1994, 120, 699–702. [Google Scholar] [CrossRef] [PubMed]
- Okura, M.; Aikawa, T.; Sawai, N.Y.; Iida, S.; Kogo, M. Decision analysis and treatment threshold in a management for the N0 neck of the oral cavity carcinoma. Oral. Oncol. 2009, 45, 908–911. [Google Scholar] [CrossRef]
- Stoeckli, S.J.; Alkureishi, L.W.; Ross, G.L. Sentinel node biopsy for early oral and oropharyngeal squamous cell carcinoma. Eur. Arch. Otorhinolaryngol. 2009, 266, 787–793. [Google Scholar] [CrossRef]
- Civantos, F.J.; Stoeckli, S.J.; Takes, R.P.; Woolgar, J.A.; de Bree, R.; Paleri, V.; Devaney, K.O.; Rinaldo, A.; Silver, C.E.; Mondin, V.; et al. What is the role of sentinel lymph node biopsy in the management of oral cancer in 2010? Eur. Arch. Otorhinolaryngol. 2010, 267, 839–844. [Google Scholar] [CrossRef] [PubMed]
- Coughlin, A.; Resto, V.A. Oral cavity squamous cell carcinoma and the clinically n0 neck: The past, present, and future of sentinel lymph node biopsy. Curr. Oncol. Rep. 2010, 12, 129–135. [Google Scholar] [CrossRef][Green Version]
- Otsuru, M.; Ota, Y.; Yanamoto, S.; Okura, M.; Umeda, M.; Kirita, T.; Kurita, H.; Ueda, M.; Komori, T.; Yamakawa, N.; et al. A Multicenter Retrospective Study of Elective Neck Dissection for T1-2N0M0 Tongue Squamous Cell Carcinoma: Analysis Using Propensity Score-Matching. Ann. Surg. Oncol. 2019, 26, 555–563. [Google Scholar] [CrossRef]
- Quinton, B.A.; Cabrera, C.I.; Tamaki, A.; Li, S.; Fowler, N.; Rezaee, R.; Lavertu, P.; Teknos, T.; Pan, Q.; Thuener, J. The impact of microscopic versus macroscopic extranodal extension in oral cavity squamous cell carcinoma: National cancer database analysis and review of the literature. Am. J. Otolaryngol. 2022, 43, 103511. [Google Scholar] [CrossRef]
- Harada, H.; Omura, K.; Maeda, A. Risk factors for neck failure in patients with squamous cell carcinoma of tongue—Analysis of the pattern of cervical lymph node metastases. Jpn. J. Oral. Maxillofac. Surg. 2002, 48, 301–305. (In Japanese) [Google Scholar] [CrossRef]
- Liao, L.J.; Hsu, W.L.; Wang, C.T.; Lo, W.C.; Lai, M.S. Analysis of sentinel node biopsy combined with other diagnostic tools in staging cN0 head and neck cancer: A diagnostic meta-analysis. Head Neck 2016, 38, 628–634. [Google Scholar] [CrossRef] [PubMed]
- Mohit-Tabatabai, M.A.; Sobel, H.J.; Rush, B.F.; Mashberg, A. Relation of thickness of floor of mouth stage I and II cancers to regional metastasis. Am. J. Surg. 1986, 152, 351–353. [Google Scholar] [CrossRef] [PubMed]
- Spiro, R.H.; Huvos, A.G.; Wong, G.Y.; Spiro, J.D.; Gnecco, C.A.; Strong, E.W. Predictive value of tumor thickness in squamous carcinoma confined to the tongue and floor of the mouth. Am. J. Surg. 1986, 152, 345–350. [Google Scholar] [CrossRef] [PubMed]
- Sparano, A.; Weinstein, G.; Chalian, A.; Yodul, M.; Weber, R. Multivariate predictors of occult neck metastasis in early oral tongue cancer. Otolaryngol. Head Neck Surg. 2004, 131, 472–476. [Google Scholar] [CrossRef]
- Charoenrat, P.; Pillai, G.; Patel, S.; Fisher, C.; Archer, D.; Eccles, S.; Rhys-Evans, P. Tumour thickness predicts cervical nodal metastases and survival in early oral tongue cancer. Oral. Oncol. 2003, 39, 386–390. [Google Scholar] [CrossRef]
- Fukano, H.; Matsuura, H.; Hasegawa, Y.; Nakamura, S. Depth of invasion as a predictive factor for cervical lymph node metastasis in tongue carcinoma. Head Neck 1997, 19, 205–210. [Google Scholar] [CrossRef]
- Kurokawa, H.; Yamashita, Y.; Takeda, S.; Zhang, M.; Fukuyama, H.; Takahashi, T. Risk factors for late cervical lymph node metastases in patients with stage I or II carcinoma of the tongue. Head Neck 2002, 24, 731–736. [Google Scholar] [CrossRef]
- Asakage, T.; Yokose, T.; Mukai, K.; Tsugane, S.; Tsubono, Y.; Asai, M.; Ebihara, S. Tumor thickness predicts cervical metastasis in patients with stage I/II carcinoma of the tongue. Cancer 1998, 82, 1443–1448. [Google Scholar] [CrossRef]
- Gonzalez-Moles, M.A.; Esteban, F.; Rodriguez-Archilla, A.; Ruiz-Avila, I.; Gonzalez-Moles, S. Importance of tumour thickness measurement in prognosis of tongue cancer. Oral. Oncol. 2002, 38, 394–397. [Google Scholar] [CrossRef]
- Shimbashi, W.; Kawabata, K.; Mitani, H.; Yoneyama, H.; Fukushima, H.; Sasaki, T.; Seto, A.; Kitano, M.; Koizumi, Y.; Kamiyama, R.; et al. Appropriate area of selective neck dissection for tongue carcinoma. Head Neck Cancer 2012, 38, 425–429. (In Japanese) [Google Scholar]
- Iandelli, A.; Marchi, F.; Chen, A.C.; Young, C.K.; Liao, C.T.; Tsao, C.K.; Kang, C.J.; Wang, H.M.; Chang, T.J.; Huang, S.F. Adequacy of Disease Control by Supraomohyoid Neck Dissection in cT1/T2 Tongue Cancer. J. Pers. Med. 2022, 12, 1535. [Google Scholar] [CrossRef]
- Chen, T.M.; Terng, S.D.; Lee, L.Y.; Lee, S.R.; Ng, S.H.; Kang, C.J.; Lin, J.C.; Chien, C.Y.; Hua, C.H.; Wang, C.P.; et al. Is elective neck dissection justified in cT2N0M0 oral cavity cancer defined according to the AJCC eighth edition staging system? Cancer Med. 2024, 13, e6894. [Google Scholar] [CrossRef]
- Chien, C.Y.; Wang, C.P.; Lee, L.Y.; Lee, S.R.; Ng, S.H.; Kang, C.J.; Lin, J.C.; Terng, S.D.; Hua, C.H.; Chen, T.M.; et al. Indications for elective neck dissection in cT1N0M0 oral cavity cancer according to the AJCC eight edition: A nationwide study. Oral. Oncol. 2023, 140, 106366. [Google Scholar] [CrossRef]
- Pantvaidya, G.H.; Pal, P.; Vaidya, A.D.; Pai, P.S.; D’Cruz, A.K. Prospective study of 583 neck dissections in oral cancers: Implications for clinical practice. Head Neck 2014, 36, 1503–1507. [Google Scholar] [CrossRef]
- Vassiliou, L.V.; Acero, J.; Gulati, A.; Hölzle, F.; Hutchison, I.L.; Prabhu, S.; Testelin, S.; Wolff, K.D.; Kalavrezos, N. Management of the clinically N (0) neck in early-stage oral squamous cell carcinoma (OSCC). An EACMFS position paper. J. Craniomaxillofac. Surg. 2020, 48, 711–718. [Google Scholar] [CrossRef] [PubMed]
- Balasubramanian, D.; Thankappan, K.; Battoo, A.J.; Rajapurkar, M.; Kuriakose, M.A.; Iyer, S. Isolated skip nodal metastasis is rare in T1 and T2 oral tongue squamous cell carcinoma. Otolaryngol. Head Neck Surg. 2012, 147, 275–277. [Google Scholar] [CrossRef] [PubMed]
- Results of a prospective trial on elective modified radical classical versus supraomohyoid neck dissection in the management of oral squamous carcinoma. Brazilian Head and Neck Cancer Study Group. Am. J. Surg. 1998, 176, 422–427.
- Lindberg, R. Distribution of cervical lymph node metastases from squamous cell carcinoma of the upper respiratory and digestive tracts. Cancer 1972, 29, 1446–1449. [Google Scholar] [CrossRef] [PubMed]
- Parikh, S.; Tedman, B.M.; Scott, B.; Lowe, D.; Rogers, S.N. A double blind randomised trial of IIb or not IIb neck dissections on electromyography, clinical examination, and questionnaire-based outcomes: A feasibility study. Br. J. Oral. Maxillofac. Surg. 2012, 50, 394–403. [Google Scholar] [CrossRef] [PubMed]
- Koybaşioğlu, A.; Bora Tokçaer, A.; Inal, E.; Uslu, S.; Koçak, T.; Ural, A. Accessory nerve function in lateral selective neck dissection with undissected level IIb. ORL J. Otorhinolaryngol. Relat. Spec. 2006, 68, 88–92. [Google Scholar] [CrossRef]
- Cooper, J.S.; Pajak, T.F.; Forastiere, A.A.; Jacobs, J.; Campbell, B.H.; Saxman, S.B.; Kish, J.A.; Kim, H.E.; Cmelak, A.J.; Rotman, M.; et al. Postoperative concurrent radiotherapy and chemotherapy for high-risk squamous-cell carcinoma of the head and neck. N. Engl. J. Med. 2004, 350, 1937–1944. [Google Scholar] [CrossRef] [PubMed]
- Karjol, U.; Jonnada, P.; Annavarjula, V.; Cherukuru, S.; Chandranath, A.; Anwar, A. Prognostic Role of Tumor Budding in Carcinoma Tongue: A Systemic Review and Meta-Analysis. Cureus 2020, 12, e9316. [Google Scholar] [CrossRef]
- Seki, M.; Sano, T.; Yokoo, S.; Oyama, T. Histologic assessment of tumor budding in preoperative biopsies to predict nodal metastasis in squamous cell carcinoma of the tongue and floor of the mouth. Head Neck 2016, 38 (Suppl. S1), E1582–E1590. [Google Scholar] [CrossRef]
- Angadi, P.V.; Patil, P.V.; Hallikeri, K.; Mallapur, M.D.; Hallikerimath, S.; Kale, A.D. Tumor budding is an independent prognostic factor for prediction of lymph node metastasis in oral squamous cell carcinoma. Int. J. Surg. Pathol. 2015, 23, 102–110. [Google Scholar] [CrossRef] [PubMed]
- Sekikawa, S.; Ikeda, Y.; Kozakai, A.; Kogou, T.; Saito, H.; Ogane, S.; Nomura, T.; Takano, N.; Hashimoto, K.; Shibahara, T. Clinical study of tumor budding as a predictive factor of occult lymph node metastasis in stage I to II Squamous cell carcinoma of the tongue. Jpn. J. Oral. Maxillofac. Surg. 2018, 64, 48–56. (In Japanese) [Google Scholar] [CrossRef]
- Asakage, T.; Kishimoto, S.; Saikawa, M.; Hayashi, R.; Kawabata, K.; Hayasaki, K.; Doi, K.; Yoshizumi, T.; Nibu, K.; Shirane, M.; et al. The treatment for cwevical lymph node with stage II tongue cancer. Otologia Fukuoka 2009, 55 (Suppl. S1), S45–S54. (In Japanese) [Google Scholar]
- Harada, H.; Tomioka, H.; Yokokawa, M.; Nojima, H.; Komiya, R.; Kayamori, K.; Ikeda, T.; Kurabayashi, T. Depth of invasion (DOI) introduced in UICC 8th T classification in tongue carcinoma—Evaluation of histopathological DOI and clinical DOI in consideration of shrinkage rate of the specimen. Head Neck Cancer 2019, 45, 1–7. (In Japanese) [Google Scholar]
- Ishii, J.; Yagihara, K.; kAtsurano, M.; Sumimoto, W.; Miyajima, D.; Yagishita, H. IzunoT: Evaluation of tumor extension in tongue cancer by ultrasound: Comparison of ultrasound images and histological findings in living and fresh material. J. Jpn. Soc. Oral. Tumors 2012, 24, 129–135. (In Japanese) [Google Scholar] [CrossRef]
- Yanamoto, S.; Michi, Y.; Otsuru, M.; Inomata, T.; Nakayama, H.; Nomura, T.; Hasegawa, T.; Yamamura, Y.; Yamada, S.I.; Kusukawa, J.; et al. Protocol for a multicentre, prospective observational study of elective neck dissection for clinically node-negative oral tongue squamous cell carcinoma (END-TC study). BMJ Open 2022, 12, e059615. [Google Scholar] [CrossRef]
- Tanaka, K.; Hanai, N.; Eba, J.; Mizusawa, J.; Asakage, T.; Homma, A.; Kiyota, N.; Fukuda, H.; Hayashi, R. Randomized phase III study to evaluate the value of omission of prophylactic neck dissection for stage I/II tongue cancer: Japan Clinical Oncology Group study (JCOG1601, RESPOND). Jpn. J. Clin. Oncol. 2018, 48, 1105–1108. [Google Scholar] [CrossRef] [PubMed]



| Cases | (%) | ||
|---|---|---|---|
| age | 23~94 y | ||
| mean | 66 y | ||
| sex | M:F | 54:48 | |
| T-Stage | T1 | 45 | 44.1 | 
| T2 | 57 | 55.9 | |
| Treatment | Surgery | 74 | 72.5 | 
| Radiotherapy | 28 | 27.5 | |
| Au | 11 | ||
| Ir | 16 | ||
| external irradiation | 1 | ||
| LCLM | No | 74 | 72.5 | 
| Yes | 28 | 27.5 | |
| Distant metastasis | No | 95 | 93.1 | 
| Yes | 7 | 6.9 | 
| Univariate | Multivariate | |||||
|---|---|---|---|---|---|---|
| LCLM | ||||||
| No | Yes | p-Value | HR | 95%CI | p-Value | |
| Age | 0.4618 | |||||
| <65 | 34 | 15 | ||||
| ≥65 | 43 | 13 | ||||
| sex | 0.379 | 1.15 | 0.41–3.27 | 0.78 | ||
| Male | 37 | 17 | ||||
| Female | 37 | 11 | ||||
| T-Stage | 0.0247 * | 1.8 | 0.30–13.8 | 0.51 | ||
| T1 | 38 | 7 | ||||
| T2 | 36 | 21 | ||||
| Tumor Size | 0.0076 * | 0.29 | 0.046–1.58 | 0.157 | ||
| <20 mm | 41 | 7 | ||||
| ≥20 mm | 33 | 21 | ||||
| Tumor Thickness | 0.0007 ** | 0.284 | 0.077–0.94 | 0.0399 * | ||
| <4 mm | 45 | 6 | ||||
| ≥4 mm | 29 | 22 | ||||
| Tumor growth pattern | 0.0015 ** | 0.3313 | 0.117–0.96 | 0.044 * | ||
| Superficial/Exophytic | 65 | 15 | ||||
| Endophytic | 11 | 13 | ||||
| Method of Neck Dissection | RND | 15 | Number of metastatic lymph nodes | 1 | 13 | 
| ExSOHND | 6 | 2 | 5 | ||
| SOHND | 7 | 3 | 5 | ||
| 4~ | 5 | ||||
| Region of LCLM | I | 5 | adjuvant treatment | Non | 7 | 
| I, II | 10 | Chemo therapy | 0 | ||
| I–III | 11 | Radiotherapy | 0 | ||
| I–IV | 2 | Chemoradiotherapy | 21 | ||
| I–V | 0 | Distant metastasis | Non | 0 | |
| Duration until lymph node metastasis appears | ~3 months | 11 | Yes | 7 | |
| 4~6 months | 12 | Prognosis | Alive | 20 | |
| 7~9 months | 5 | Cause specific death | 8 | ||
| 10~12 months | 0 | by local recurrence | 1 | ||
| 12 months~ | 0 | by regional recurrence | 0 | ||
| ENE | No | 7 | by distant metastasis | 7 | |
| Yes | 21 | 
| Distant Metastasis | |||
|---|---|---|---|
| No | Yes | p-Value | |
| Number of metastatic lymph nodes | 0.0012 ** | ||
| <4 | 20 | 2 | |
| ≥4 | 1 | 5 | |
| ENE | |||
| No | 7 | 0 | 0.14 | 
| Yes | 14 | 7 | |
| Region of LCLM | |||
| ~II | 13 | 2 | 0.19 | 
| ~III/~IV | 8 | 5 | |
| Post-operative treatment | |||
| Non | 6 | 1 | 0.64 | 
| Adjuvant CRT | 15 | 6 | |
| (A) | |||||||
|---|---|---|---|---|---|---|---|
| Univariate | Multivariate | ||||||
| LCLM | p-Value | HR | 95%CI | p-Value | |||
| No | Yes | ||||||
| Histological differentiation | 0.015 * | 0.19 | 0.034–0.894 | 0.035 * | |||
| well | 30 | 4 | |||||
| moderate/poor/ASCC | 16 | 11 | |||||
| pDOI | 0.0083 ** | ||||||
| <2 mm | 24 | 2 | |||||
| ≥2 mm | 22 | 13 | |||||
| Tumor Budding | <0.0001 ** | 6.99 × 10−9 | 0.0–0.12 | <0.0002 ** | |||
| <3 | 31 | 0 | |||||
| ≥3 | 15 | 15 | |||||
| TSR | 0.0031 * | ||||||
| <50% | 36 | 5 | |||||
| ≥50% | 10 | 10 | |||||
| Neuro-vascular invasion | 0.0018 ** | 0.62 | 0.09–3.50 | 0.59 | |||
| Neither of the above | 34 | 4 | |||||
| Any of the above | 12 | 11 | |||||
| POI | 0.014 * | 1.11 | 0.94–15.8 | 0.94 | |||
| 1,2,3 | 24 | 2 | |||||
| 4,5 | 22 | 13 | |||||
| (B) | |||||||
| Univariate | Multivariate | ||||||
| Distant Metastasis | p-Value | HR | 95%CI | p-Value | |||
| No | Yes | ||||||
| Histological differentiation | 0.1606 | 4.27 × 10−8 | 0–0.467 | 0.0129 | |||
| well | 33 | 1 | |||||
| moderate/poor/ASCC | 23 | 4 | |||||
| pDOI | 0.17 | ||||||
| <4.25 mm | 40 | 2 | |||||
| ≥4.25 mm | 16 | 3 | |||||
| Tumor Budding | 0.0005 ** | 1.17 × 10−15 | 0–0.041 | <0.0001 ** | |||
| <7 | 46 | 0 | |||||
| ≥7 | 10 | 5 | |||||
| TSR | 0.0026 ** | ||||||
| <50% | 41 | 0 | |||||
| ≥50% | 15 | 5 | |||||
| Neuro-vascular invasion | 1.00 | 5.7 × 10−8 | 0.0005–0.643 | 0.025 | |||
| Neither of the above | 35 | 3 | |||||
| Any of the above | 21 | 2 | |||||
| POI | 0.065 | ||||||
| 1,2,3 | 26 | 0 | |||||
| 4,5 | 30 | 5 | |||||
| Disclaimer/Publisher’s Note: The statements, opinions and data contained in all publications are solely those of the individual author(s) and contributor(s) and not of MDPI and/or the editor(s). MDPI and/or the editor(s) disclaim responsibility for any injury to people or property resulting from any ideas, methods, instructions or products referred to in the content. | 
© 2024 by the authors. Licensee MDPI, Basel, Switzerland. This article is an open access article distributed under the terms and conditions of the Creative Commons Attribution (CC BY) license (https://creativecommons.org/licenses/by/4.0/).
Share and Cite
Obayashi, F.; Koizumi, K.; Ito, N.; Higaki, M.; Ishida, Y.; Hamada, A.; Yamasaki, S.; Tani, R.; Yanamoto, S. A Study of the Prognostic Factors for Late Cervical Lymph Node Metastasis and Distant Metastasis in Patients with cT1-2N0 Tongue Cancer. J. Clin. Med. 2024, 13, 976. https://doi.org/10.3390/jcm13040976
Obayashi F, Koizumi K, Ito N, Higaki M, Ishida Y, Hamada A, Yamasaki S, Tani R, Yanamoto S. A Study of the Prognostic Factors for Late Cervical Lymph Node Metastasis and Distant Metastasis in Patients with cT1-2N0 Tongue Cancer. Journal of Clinical Medicine. 2024; 13(4):976. https://doi.org/10.3390/jcm13040976
Chicago/Turabian StyleObayashi, Fumitaka, Koichi Koizumi, Nanako Ito, Mirai Higaki, Yasutaka Ishida, Atsuko Hamada, Sachiko Yamasaki, Ryouji Tani, and Souichi Yanamoto. 2024. "A Study of the Prognostic Factors for Late Cervical Lymph Node Metastasis and Distant Metastasis in Patients with cT1-2N0 Tongue Cancer" Journal of Clinical Medicine 13, no. 4: 976. https://doi.org/10.3390/jcm13040976
APA StyleObayashi, F., Koizumi, K., Ito, N., Higaki, M., Ishida, Y., Hamada, A., Yamasaki, S., Tani, R., & Yanamoto, S. (2024). A Study of the Prognostic Factors for Late Cervical Lymph Node Metastasis and Distant Metastasis in Patients with cT1-2N0 Tongue Cancer. Journal of Clinical Medicine, 13(4), 976. https://doi.org/10.3390/jcm13040976
 
        


 
       