Linear Ablation Using a Contact Force-Sensing Catheter in Ablation for Persistent Atrial Fibrillation: A Prospective Randomized Trial
Abstract
1. Introduction
2. Materials and Methods
2.1. Study Population
2.2. Catheter Ablation Procedure
2.3. Follow-Up
2.4. Cardiac Magnetic Resonance
2.5. Effectiveness and Procedural Outcomes
2.6. Statistical Methods
3. Results
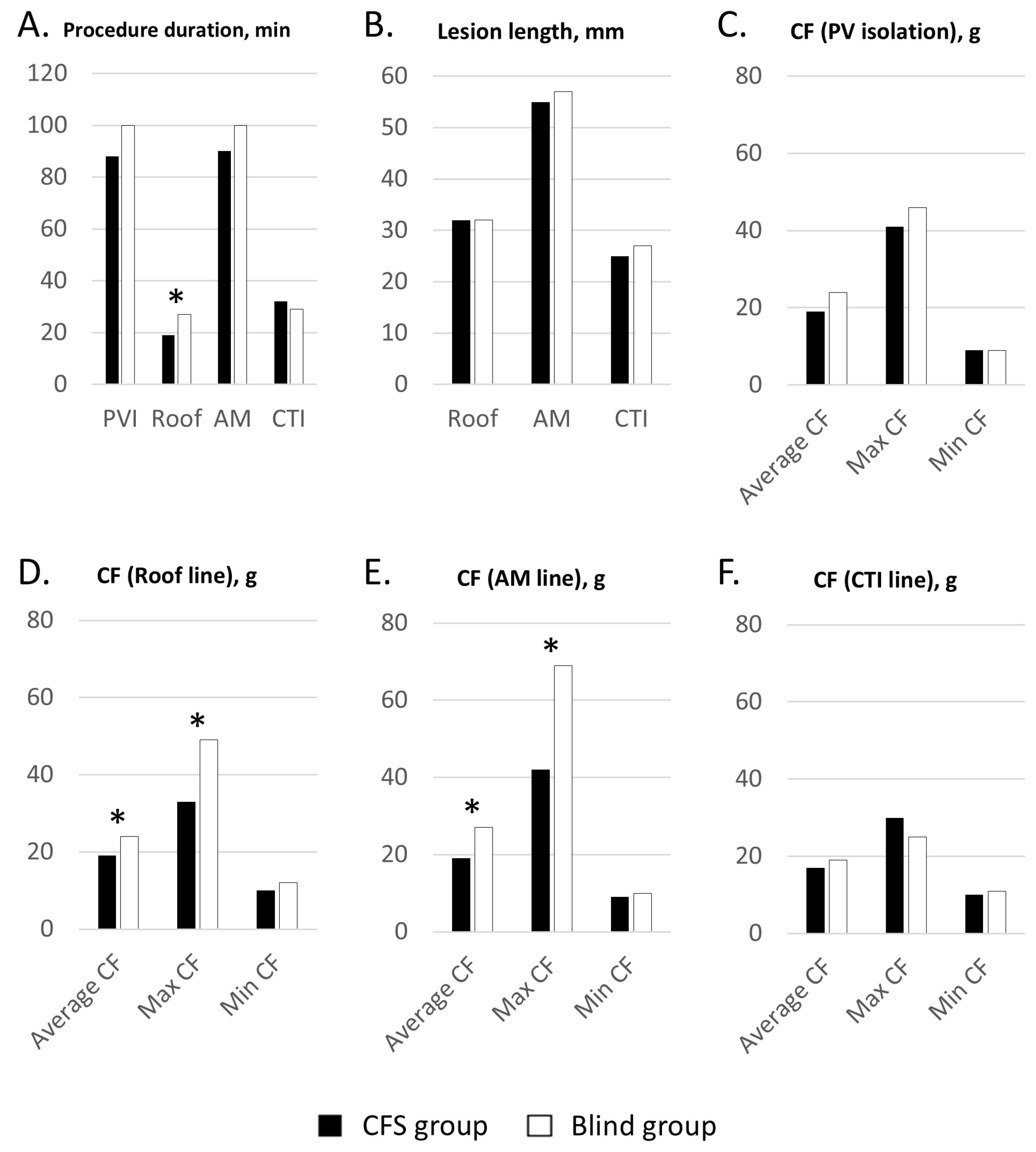
3.1. Overall Ablation Index
3.2. Contact Force Index
3.3. LGE on CMR
3.4. Clinical Outcome
4. Discussion
4.1. Advantages of Contact Force in Linear Ablation
4.2. Limitations of Contact Force in Linear Ablation
4.3. LGE as a Marker for Ablation Effectiveness and the Role of Contact Force
4.4. The Clinical Impact of Linear Ablation
4.5. Study Limitation
5. Conclusions
Author Contributions
Funding
Institutional Review Board Statement
Informed Consent Statement
Data Availability Statement
Conflicts of Interest
References
- Van Gelder, I.C.; Rienstra, M.; Bunting, K.V.; Casado-Arroyo, R.; Caso, V.; Crijns, H.; De Potter, T.J.R.; Dwight, J.; Guasti, L.; Hanke, T.; et al. 2024 ESC Guidelines for the management of atrial fibrillation developed in collaboration with the European Association for Cardio-Thoracic Surgery (EACTS). Eur. Heart J. 2024, 45, 3314–3414. [Google Scholar] [CrossRef] [PubMed]
- Schnabel, R.B.; Yin, X.; Gona, P.; Larson, M.G.; Beiser, A.S.; McManus, D.D.; Newton-Cheh, C.; Lubitz, S.A.; Magnani, J.W.; Ellinor, P.T.; et al. 50 year trends in atrial fibrillation prevalence, incidence, risk factors, and mortality in the Framingham Heart Study: A cohort study. Lancet 2015, 386, 154–162. [Google Scholar] [CrossRef] [PubMed]
- Oral, H.; Knight, B.P.; Tada, H.; Ozaydin, M.; Chugh, A.; Hassan, S.; Scharf, C.; Lai, S.W.; Greenstein, R.; Pelosi, F., Jr.; et al. Pulmonary vein isolation for paroxysmal and persistent atrial fibrillation. Circulation 2002, 105, 1077–1081. [Google Scholar] [CrossRef] [PubMed]
- Benali, K.; Barre, V.; Hermida, A.; Galand, V.; Milhem, A.; Philibert, S.; Boveda, S.; Bars, C.; Anselme, F.; Maille, B.; et al. Recurrences of Atrial Fibrillation Despite Durable Pulmonary Vein Isolation: The PARTY-PVI Study. Circ. Arrhythm. Electrophysiol. 2023, 16, e011354. [Google Scholar] [CrossRef]
- Verma, A.; Jiang, C.Y.; Betts, T.R.; Chen, J.; Deisenhofer, I.; Mantovan, R.; Macle, L.; Morillo, C.A.; Haverkamp, W.; Weerasooriya, R.; et al. Approaches to catheter ablation for persistent atrial fibrillation. N. Engl. J. Med. 2015, 372, 1812–1822. [Google Scholar] [CrossRef]
- Sawhney, N.; Anousheh, R.; Chen, W.; Feld, G.K. Circumferential pulmonary vein ablation with additional linear ablation results in an increased incidence of left atrial flutter compared with segmental pulmonary vein isolation as an initial approach to ablation of paroxysmal atrial fibrillation. Circ. Arrhythm. Electrophysiol. 2010, 3, 243–248. [Google Scholar] [CrossRef] [PubMed]
- Weimar, T.; Schena, S.; Bailey, M.S.; Maniar, H.S.; Schuessler, R.B.; Cox, J.L.; Damiano, R.J., Jr. The cox-maze procedure for lone atrial fibrillation: A single-center experience over 2 decades. Circ. Arrhythm. Electrophysiol. 2012, 5, 8–14. [Google Scholar] [CrossRef] [PubMed]
- Chae, S.; Oral, H.; Good, E.; Dey, S.; Wimmer, A.; Crawford, T.; Wells, D.; Sarrazin, J.F.; Chalfoun, N.; Kuhne, M.; et al. Atrial tachycardia after circumferential pulmonary vein ablation of atrial fibrillation: Mechanistic insights, results of catheter ablation, and risk factors for recurrence. J. Am. Coll. Cardiol. 2007, 50, 1781–1787. [Google Scholar] [CrossRef]
- Takagi, T.; Derval, N.; Duchateau, J.; Chauvel, R.; Tixier, R.; Marchand, H.; Bouyer, B.; Andre, C.; Kamakura, T.; Krisai, P.; et al. Gaps after linear ablation of persistent atrial fibrillation (Marshall-PLAN): Clinical implication. Heart Rhythm 2023, 20, 14–21. [Google Scholar] [CrossRef]
- Reddy, V.Y.; Dukkipati, S.R.; Neuzil, P.; Natale, A.; Albenque, J.P.; Kautzner, J.; Shah, D.; Michaud, G.; Wharton, M.; Harari, D.; et al. Randomized, Controlled Trial of the Safety and Effectiveness of a Contact Force-Sensing Irrigated Catheter for Ablation of Paroxysmal Atrial Fibrillation: Results of the TactiCath Contact Force Ablation Catheter Study for Atrial Fibrillation (TOCCASTAR) Study. Circulation 2015, 132, 907–915. [Google Scholar] [CrossRef]
- De Potter, T.; Van Herendael, H.; Balasubramaniam, R.; Wright, M.; Agarwal, S.C.; Sanders, P.; Khaykin, Y.; Latcu, D.G.; Maury, P.; Pani, A.; et al. Safety and long-term effectiveness of paroxysmal atrial fibrillation ablation with a contact force-sensing catheter: Real-world experience from a prospective, multicentre observational cohort registry. Europace 2018, 20, f410–f418. [Google Scholar] [CrossRef] [PubMed]
- Afzal, M.R.; Chatta, J.; Samanta, A.; Waheed, S.; Mahmoudi, M.; Vukas, R.; Gunda, S.; Reddy, M.; Dawn, B.; Lakkireddy, D. Use of contact force sensing technology during radiofrequency ablation reduces recurrence of atrial fibrillation: A systematic review and meta-analysis. Heart Rhythm 2015, 12, 1990–1996. [Google Scholar] [CrossRef] [PubMed]
- Hwang, S.H.; Roh, S.Y.; Shim, J.; Choi, J.I.; Kim, Y.H.; Oh, Y.W. Atrial Fibrillation: Relationship between Left Atrial Pressure and Left Atrial Appendage Emptying Determined with Velocity-encoded Cardiac MR Imaging. Radiology 2017, 284, 381–389. [Google Scholar] [CrossRef] [PubMed][Green Version]
- Roh, S.Y.; Lee, D.I.; Hwang, S.H.; Lee, K.N.; Baek, Y.S.; Iqbal, M.; Kim, D.H.; Ahn, J.; Shim, J.; Choi, J.I.; et al. Association of left atrial pressure with late gadolinium enhancement extent in patient who underwent catheter ablation for atrial fibrillation. Sci. Rep. 2020, 10, 16486. [Google Scholar] [CrossRef] [PubMed]
- Schwartzman, D.; Kuck, K.H. Anatomy-guided linear atrial lesions for radiofrequency catheter ablation of atrial fibrillation. Pacing Clin. Electrophysiol. 1998, 21, 1959–1978. [Google Scholar] [CrossRef]
- Ho, S.Y.; Sanchez-Quintana, D.; Cabrera, J.A.; Anderson, R.H. Anatomy of the left atrium: Implications for radiofrequency ablation of atrial fibrillation. J. Cardiovasc. Electrophysiol. 1999, 10, 1525–1533. [Google Scholar] [CrossRef]
- Mansour, M.; Calkins, H.; Osorio, J.; Pollak, S.J.; Melby, D.; Marchlinski, F.E.; Athill, C.A.; Delaughter, C.; Patel, A.M.; Gentlesk, P.J.; et al. Persistent Atrial Fibrillation Ablation With Contact Force-Sensing Catheter: The Prospective Multicenter PRECEPT Trial. JACC Clin. Electrophysiol. 2020, 6, 958–969. [Google Scholar] [CrossRef]
- Ullah, W.; Schilling, R.J.; Wong, T. Contact Force and Atrial Fibrillation Ablation. J. Atr. Fibrillation 2016, 8, 1282. [Google Scholar] [CrossRef]
- Benali, K.; Khairy, P.; Hammache, N.; Petzl, A.; Da Costa, A.; Verma, A.; Andrade, J.G.; Macle, L. Procedure-Related Complications of Catheter Ablation for Atrial Fibrillation. J. Am. Coll. Cardiol. 2023, 81, 2089–2099. [Google Scholar] [CrossRef]
- Akoum, N.; Wilber, D.; Hindricks, G.; Jais, P.; Cates, J.; Marchlinski, F.; Kholmovski, E.; Burgon, N.; Hu, N.; Mont, L.; et al. MRI Assessment of Ablation-Induced Scarring in Atrial Fibrillation: Analysis from the DECAAF Study. J. Cardiovasc. Electrophysiol. 2015, 26, 473–480. [Google Scholar] [CrossRef]
- La Fazia, V.M.; Pierucci, N.; Schiavone, M.; Compagnucci, P.; Mohanty, S.; Gianni, C.; Della Rocca, D.G.; Horton, R.; Al-Ahmad, A.; Di Biase, L.; et al. Comparative effects of different power settings for achieving transmural isolation of the left atrial posterior wall with radiofrequency energy. Europace 2024, 26, euae265. [Google Scholar] [CrossRef] [PubMed]
- Matsuo, S.; Wright, M.; Knecht, S.; Nault, I.; Lellouche, N.; Lim, K.T.; Arantes, L.; O’Neill, M.D.; Hocini, M.; Jais, P.; et al. Peri-mitral atrial flutter in patients with atrial fibrillation ablation. Heart Rhythm 2010, 7, 2–8. [Google Scholar] [CrossRef] [PubMed]
- Hocini, M.; Jais, P.; Sanders, P.; Takahashi, Y.; Rotter, M.; Rostock, T.; Hsu, L.F.; Sacher, F.; Reuter, S.; Clementy, J.; et al. Techniques, evaluation, and consequences of linear block at the left atrial roof in paroxysmal atrial fibrillation: A prospective randomized study. Circulation 2005, 112, 3688–3696. [Google Scholar] [CrossRef] [PubMed]
- Anousheh, R.; Sawhney, N.S.; Panutich, M.; Tate, C.; Chen, W.C.; Feld, G.K. Effect of mitral isthmus block on development of atrial tachycardia following ablation for atrial fibrillation. Pacing Clin. Electrophysiol. 2010, 33, 460–468. [Google Scholar] [CrossRef] [PubMed]
- Sanders, P.; Jais, P.; Hocini, M.; Hsu, L.F.; Scavee, C.; Sacher, F.; Rotter, M.; Takahashi, Y.; Pasquie, J.L.; Shah, D.C.; et al. Electrophysiologic and clinical consequences of linear catheter ablation to transect the anterior left atrium in patients with atrial fibrillation. Heart Rhythm 2004, 1, 176–184. [Google Scholar] [CrossRef]
- Brooks, A.G.; Stiles, M.K.; Laborderie, J.; Lau, D.H.; Kuklik, P.; Shipp, N.J.; Hsu, L.F.; Sanders, P. Outcomes of long-standing persistent atrial fibrillation ablation: A systematic review. Heart Rhythm 2010, 7, 835–846. [Google Scholar] [CrossRef]
- Yokokawa, M.; Chugh, A.; Ulfarsson, M.; Takaki, H.; Han, L.; Yoshida, K.; Sugimachi, M.; Morady, F.; Oral, H. Effect of linear ablation on spectral components of atrial fibrillation. Heart Rhythm 2010, 7, 1732–1737. [Google Scholar] [CrossRef]




| Total n = 62 | CFS Group n =33 | Blind Group n = 29 | p-Value | |
|---|---|---|---|---|
| Age, years | 58 ± 10 | 58 ± 9 | 58 ± 11 | 0.963 |
| Male gender (%) | 48 (77) | 26 (79) | 22 (76) | 0.510 |
| CHADS2 VASc score | 1.6 ± 1.4 | 1.3 ± 1.1 | 1.9 ± 1.6 | 0.101 |
| Body mass index, kg/m2 | 25 ± 3 | 25 ± 2 | 26 ± 3 | 0.598 |
| Comorbidity | ||||
| Hypertension (%) | 25 (40) | 10 (30) | 15 (52) | 0.073 |
| Diabetes mellitus (%) | 6 (10) | 2 (6) | 4 (14) | 0.275 |
| Dyslipidemia (%) | 9 (14) | 4 (12) | 5 (17) | 0.114 |
| Myocardial infarction (%) | 0 | 0 | 0 | |
| Cerebrovascular accident (%) | 9 (15) | 5 (15) | 4 (14) | 0.585 |
| History of heart failure (%) | 13 (21) | 7 (21) | 6 (21) | 0.604 |
| Chronic kidney disease (%) | 0 | 0 | 0 | |
| Echocardiographic data | ||||
| LV ejection fraction, % | 52 ± 9 | 54 ± 9 | 51 ± 8 | 0.297 |
| LA AP diameter, mm | 43 ± 5 | 43 ± 4 | 43 ± 6 | 0.925 |
| E/e’ ratio | 9 ± 3 | 8 ± 3 | 9 ± 4 | 0.865 |
Disclaimer/Publisher’s Note: The statements, opinions and data contained in all publications are solely those of the individual author(s) and contributor(s) and not of MDPI and/or the editor(s). MDPI and/or the editor(s) disclaim responsibility for any injury to people or property resulting from any ideas, methods, instructions or products referred to in the content. |
© 2024 by the authors. Licensee MDPI, Basel, Switzerland. This article is an open access article distributed under the terms and conditions of the Creative Commons Attribution (CC BY) license (https://creativecommons.org/licenses/by/4.0/).
Share and Cite
Lee, D.-I.; Lee, K.-N.; Roh, S.-Y.; Kim, Y.G.; Shim, J.; Choi, J.-I.; Kim, Y.-H. Linear Ablation Using a Contact Force-Sensing Catheter in Ablation for Persistent Atrial Fibrillation: A Prospective Randomized Trial. J. Clin. Med. 2024, 13, 7310. https://doi.org/10.3390/jcm13237310
Lee D-I, Lee K-N, Roh S-Y, Kim YG, Shim J, Choi J-I, Kim Y-H. Linear Ablation Using a Contact Force-Sensing Catheter in Ablation for Persistent Atrial Fibrillation: A Prospective Randomized Trial. Journal of Clinical Medicine. 2024; 13(23):7310. https://doi.org/10.3390/jcm13237310
Chicago/Turabian StyleLee, Dae-In, Kwang-No Lee, Seung-Young Roh, Yun Gi Kim, Jaemin Shim, Jong-Il Choi, and Young-Hoon Kim. 2024. "Linear Ablation Using a Contact Force-Sensing Catheter in Ablation for Persistent Atrial Fibrillation: A Prospective Randomized Trial" Journal of Clinical Medicine 13, no. 23: 7310. https://doi.org/10.3390/jcm13237310
APA StyleLee, D.-I., Lee, K.-N., Roh, S.-Y., Kim, Y. G., Shim, J., Choi, J.-I., & Kim, Y.-H. (2024). Linear Ablation Using a Contact Force-Sensing Catheter in Ablation for Persistent Atrial Fibrillation: A Prospective Randomized Trial. Journal of Clinical Medicine, 13(23), 7310. https://doi.org/10.3390/jcm13237310

