Reviewing Evidence and Patient Outcomes of Cheilectomy for Hallux Rigidus: A Systematic Review and Meta-Analysis
Abstract
1. Introduction
2. Materials and Methods
2.1. Search Strategy and Selection Criteria
2.2. Study Selection and Data Collection
- -
- Participants: number of patients (and toes) undergoing cheilectomy, patient’s sex, mean age at surgery and follow-up;
- -
- Intervention: type of surgical procedure (traditional cheilectomy, mini-invasive cheilectomy);
- -
- Comparisons: comparison of clinical scores and FMTPJ ROM between cheilectomy approaches;
- -
- Outcomes: clinical outcomes, ROM, complications, and revision rate relative to different cheilectomy approaches.
2.3. Quality Assessment
2.4. Statistical Analysis
3. Results
3.1. Quality Assessment
3.2. Population
3.3. Clinical Outcome Scores
3.4. Complications and Revision Rate
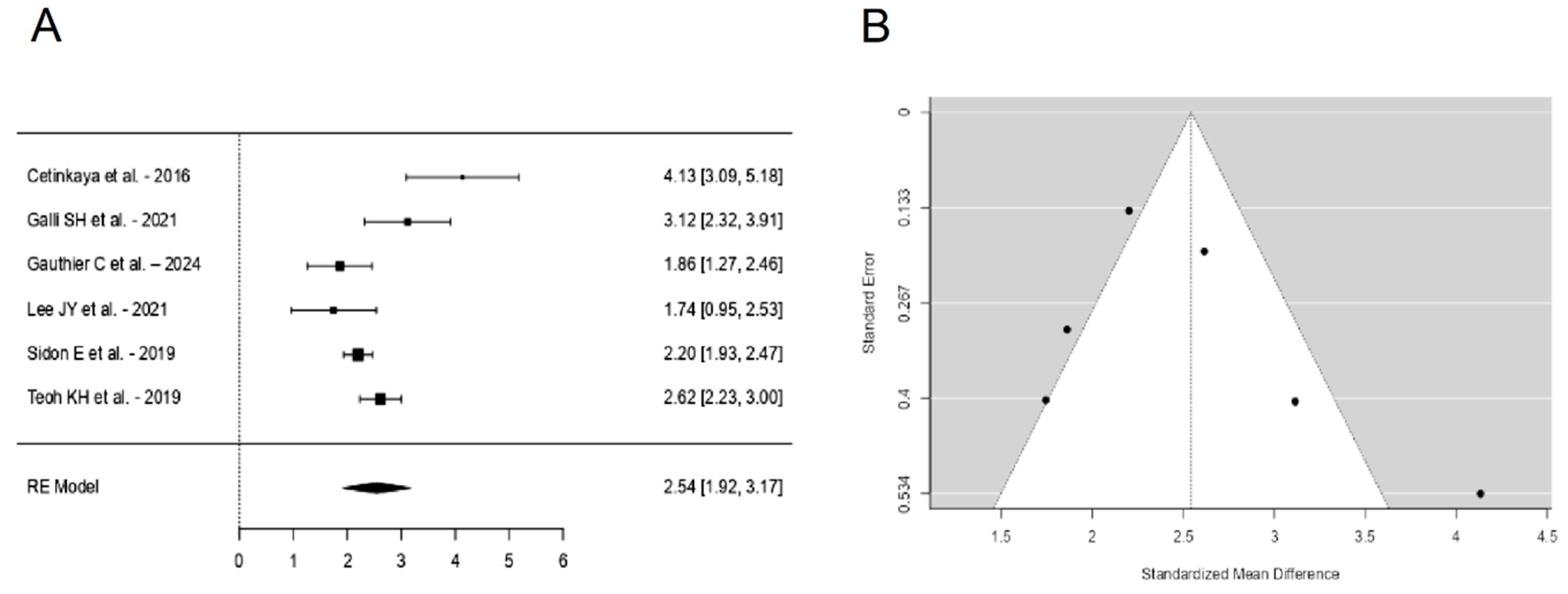
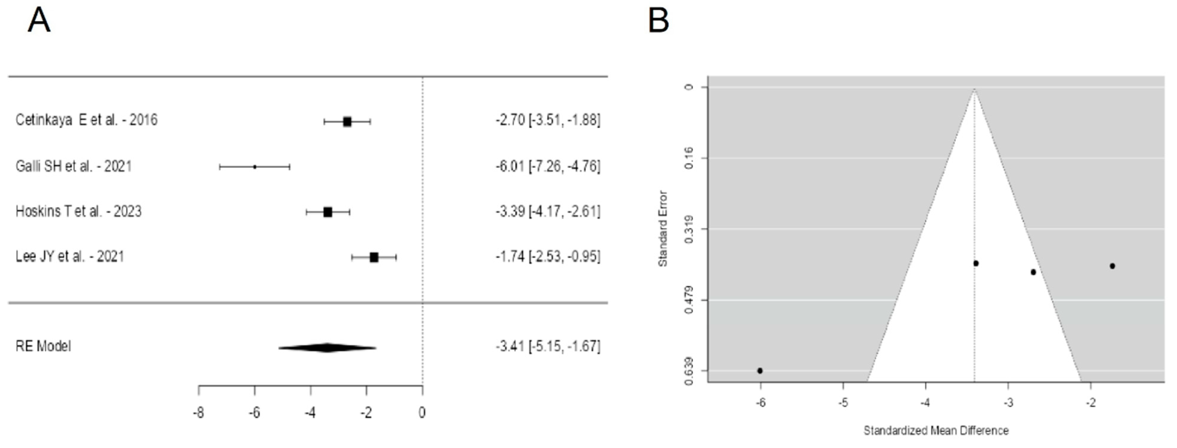
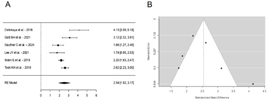
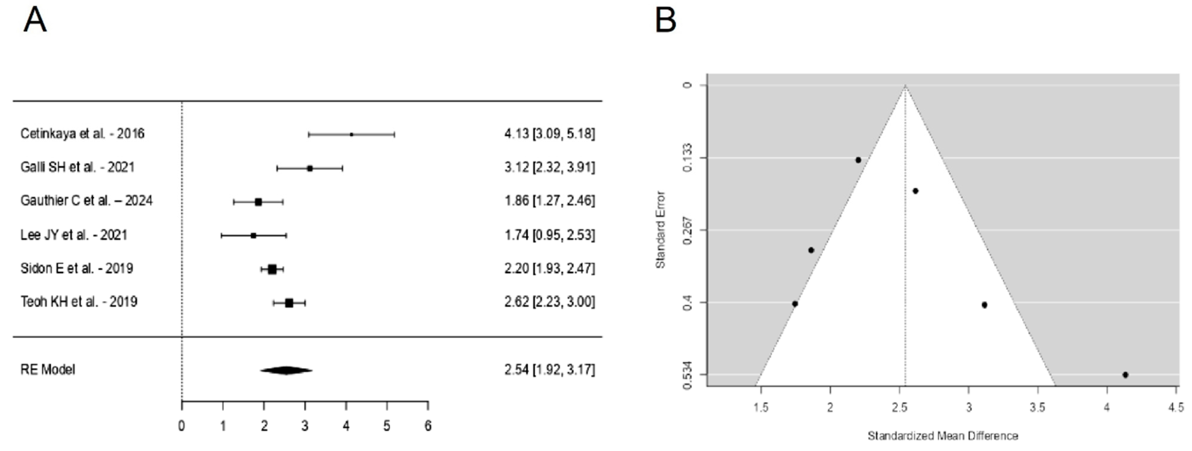
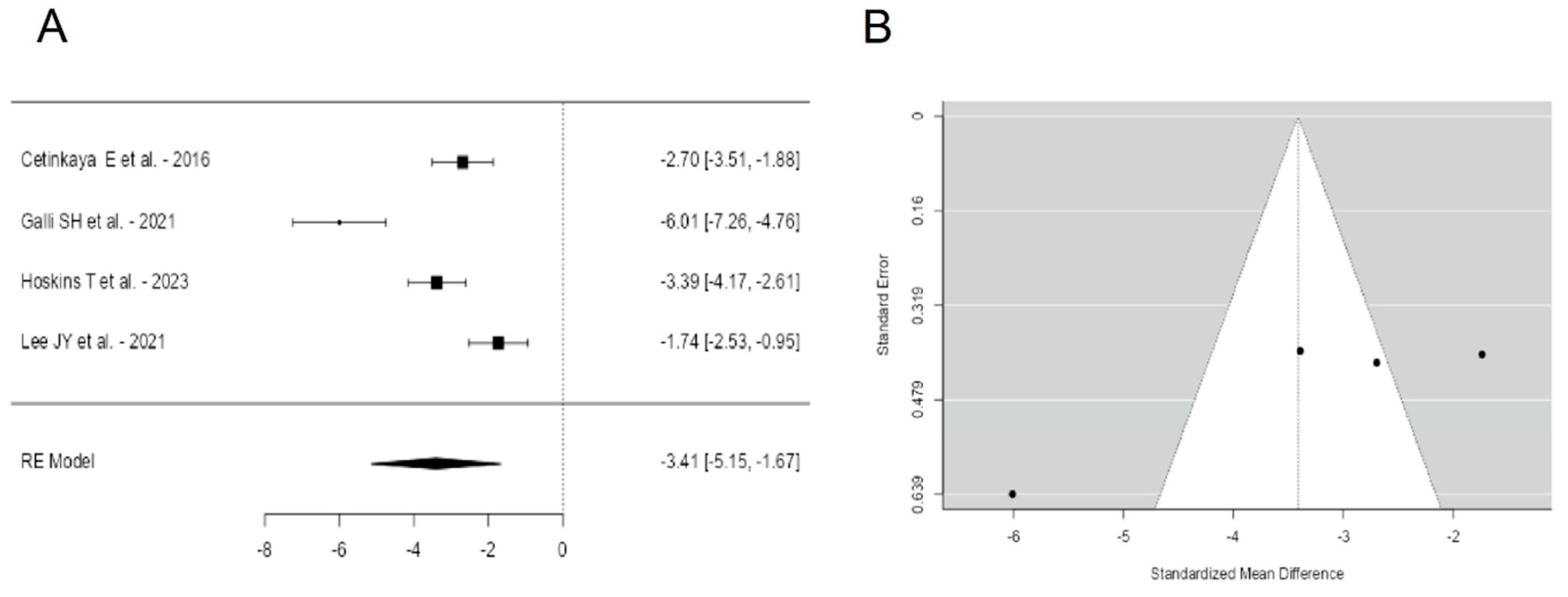
3.5. Statistical Analysis
4. Discussion
Limitations
5. Conclusions
Author Contributions
Funding
Institutional Review Board Statement
Informed Consent Statement
Data Availability Statement
Conflicts of Interest
References
- Azar, F.M.; Beaty, J.H. Campbell’s Operative Orthopaedics, 14th ed.; Elsevier: Amsterdam, The Netherlands, 2020. [Google Scholar]
- Bussewitz, B.W.; Dyment, M.M.; Hyer, C.F. Intermediate-term results following first metatarsal cheilectomy. Foot Ankle Spec. 2013, 6, 191–195. [Google Scholar] [CrossRef]
- Kilmartin, T.E. Phalangeal osteotomy versus first metatarsal decompression osteotomy for the surgical treatment of hallux rigidus: A prospective study of age-matched and condition-matched patients. J. Foot Ankle Surg. 2005, 44, 2–12. [Google Scholar] [CrossRef] [PubMed]
- Coughlin, M.J.; Shurnas, P.S. Hallux rigidus: Demographics, etiology, and radiographic assessment. Foot Ankle Int. 2003, 24, 731–743. [Google Scholar] [CrossRef] [PubMed]
- Beeson, P.; Phillips, C.; Corr, S.; Ribbans, W. Classification systems for hallux rigidus: A review of the literature. Foot Ankle Int. 2008, 29, 407–414. [Google Scholar] [CrossRef] [PubMed]
- Coughlin, M.J.; Shurnas, P.S. Hallux rigidus. Grading and long-term results of operative treatment. J. Bone Jt. Surg. 2003, 85, 2072–2088. [Google Scholar] [CrossRef]
- Caravelli, S.; Mosca, M.; Massimi, S.; Pungetti, C.; Russo, A.; Fuiano, M.; Catanese, G.; Zaffagnini, S. A comprehensive and narrative review of historical aspects and management of low-grade hallux rigidus: Conservative and surgical possibilities. Musculoskelet. Surg. 2018, 102, 201–211. [Google Scholar] [CrossRef]
- Park, C.H.; Chang, M.C. Forefoot disorders and conservative treatment. Yeungnam Univ. J. Med. 2019, 36, 92–98. [Google Scholar] [CrossRef]
- Artioli, E.; Mazzotti, A.; Zielli, S.; Bonelli, S.; Arceri, A.; Geraci, G.; Faldini, C. Keller’s arthroplasty for hallux rigidus: A systematic review. Foot Ankle Surg. 2022, 28, 526–533. [Google Scholar] [CrossRef]
- Galois, L.; Hemmer, J.; Ray, V.; Sirveaux, F. Surgical options for hallux rigidus: State of the art and review of the literature. Eur. J. Orthop. Surg. Traumatol. 2020, 30, 57–65. [Google Scholar] [CrossRef]
- DuVries, H.L. Surgery of the Foot; Mosby: Maryland Heights, MI, USA, 1959; 504p. [Google Scholar]
- Razik, A.; Sott, A.H. Cheilectomy for Hallux Rigidus. Foot Ankle Clin. 2016, 21, 451–457. [Google Scholar] [CrossRef]
- Walter, R.; Perera, A. Open, Arthroscopic, and Percutaneous Cheilectomy for Hallux Rigidus. Foot Ankle Clin. 2015, 20, 421–431. [Google Scholar] [CrossRef] [PubMed]
- Nicolosi, N.; Hehemann, C.; Connors, J.; Boike, A. Long-Term Follow-Up of the Cheilectomy for Degenerative Joint Disease of the First Metatarsophalangeal Joint. J. Foot Ankle Surg. 2015, 54, 1010–1020. [Google Scholar] [CrossRef] [PubMed]
- Peace, R.A.; Hamilton, G.A. End-stage hallux rigidus: Cheilectomy, implant, or arthrodesis? Clin. Podiatr. Med. Surg. 2012, 29, 341–353. [Google Scholar] [CrossRef] [PubMed]
- Mann, R.A.; Coughlin, M.J.; DuVries, H.L. Hallux rigidus: A review of the literature and a method of treatment. Clin. Orthop. Relat. Res. 1979, 142, 57–63. [Google Scholar] [CrossRef]
- Di Caprio, F.; Mosca, M.; Ceccarelli, F.; Caravelli, S.; Vocale, E.; Zaffagnini, S.; Ponziani, L. Hallux Rigidus: Current Concepts Review and Treatment Algorithm with Special Focus on Interposition Arthroplasty. Acta Biomed. 2022, 93, e2022218. [Google Scholar] [CrossRef] [PubMed]
- Roukis, T.S. The need for surgical revision after isolated cheilectomy for hallux rigidus: A systematic review. J. Foot Ankle Surg. 2010, 49, 465–470. [Google Scholar] [CrossRef] [PubMed]
- Moher, D.; Liberati, A.; Tetzlaff, J.; Altman, D.G. Preferred Reporting Items for Systematic Reviews and Meta-Analyses: The PRISMA Statement. Ann. Intern. Med. 2009, 151, 264–269. [Google Scholar] [CrossRef] [PubMed]
- Ottawa Hospital Research Institute. Available online: https://www.ohri.ca/programs/clinical_epidemiology/oxford.asp (accessed on 12 February 2024).
- Brandao, B.; Hall, A.; Aljawadi, A.; Fox, A.; Pillai, A. Joint sparing management of hallux rigidus: Cartiva SCI vs cheilectomy a comparative review. J. Orthop. 2020, 21, 401–405. [Google Scholar] [CrossRef] [PubMed]
- Cetinkaya, E.; Yalcinkaya, M.; Sokucu, S.; Polat, A.; Ozkaya, U.; Parmaksizoglu, A.S. Cheilectomy as a First-Line Surgical Treatment Option Yields Good Functional Results in Grade III Hallux Rigidus. J. Am. Podiatr. Med. Assoc. 2016, 106, 22–26. [Google Scholar] [CrossRef] [PubMed]
- Cöster, M.E.; Montgomery, F.; Cöster, M.C. Patient-reported outcomes of joint-preserving surgery for moderate hallux rigidus: A 1-year follow-up of 296 patients from Swefoot. Acta Orthop. 2021, 92, 109–113. [Google Scholar] [CrossRef] [PubMed]
- Cullen, B.; Stern, A.L.; Weinraub, G. Rate of Revision After Cheilectomy Versus Decompression Osteotomy in Early-Stage Hallux Rigidus. J. Foot Ankle Surg. 2017, 56, 586–588. [Google Scholar] [CrossRef]
- Galli, S.H.; Ferguson, C.M.; Davis, W.H.; Anderson, R.; Cohen, B.E.; Jones, C.P.; Odum, S.; Ellington, J.K. Cheilectomy With or Without Cryopreserved Amniotic Membrane-Umbilical Cord Allograft for Hallux Rigidus. Foot Ankle Orthop. 2021, 6, 2473011420967999. [Google Scholar] [CrossRef] [PubMed]
- Gauthier, C.; Lewis, T.; O’keefe, J.; Bakaes, Y.; Vignaraja, V.; Jackson, J.B.; Franklin, S.; Kaplan, J.; Ray, R.; Gonzalez, T. Minimally invasive Dorsal cheilectomy and Hallux metatarsophalangeal joint arthroscopy for the treatment of Hallux Rigidus. Foot Ankle Surg. 2024, 30, 400–405. [Google Scholar] [CrossRef] [PubMed]
- Glenn, R.L.; Gonzalez, T.A.; Peterson, A.B.; Kaplan, J. Minimally Invasive Dorsal Cheilectomy and Hallux Metatarsal Phalangeal Joint Arthroscopy for the Treatment of Hallux Rigidus. Foot Ankle Orthop. 2021, 6, 2473011421993103. [Google Scholar] [CrossRef] [PubMed]
- Hickey, B.A.; Siew, D.; Nambiar, M.; Bedi, H.S. Intermediate-term results of isolated minimally invasive arthroscopic cheilectomy in the treatment of hallux rigidus. Eur. J. Orthop. Surg. Traumatol. 2020, 30, 1277–1283. [Google Scholar] [CrossRef] [PubMed]
- Hoskins, T.; Barr, S.; Begley, B.; Fitzpatrick, B.; Senat, S.; Patel, J.; Heiman, E.; Mazzei, C.; Miller, J.; Wittig, J.; et al. Synthetic cartilage implant hemiarthroplasty versus cheilectomy for the treatment of hallux rigidus. Eur. J. Orthop. Surg. Traumatol. 2023, 33, 2567–2572. [Google Scholar] [CrossRef] [PubMed]
- Lee, J.Y.; Tay, K.S.; Rikhraj, I.S. Distal oblique osteotomy versus cheilectomy for moderate-advanced hallux rigidus: A 2-year propensity-score-matched study. Foot Ankle Surg. 2021, 27, 443–449. [Google Scholar] [CrossRef]
- Jones, M.D.; Sweet, K.J. Comparison of Hallux Rigidus Surgical Treatment Outcomes Between Active Duty and Non-Active Duty Populations A Retrospective Review. J. Am. Podiatr. Med. Assoc. 2018, 108, 272–279. [Google Scholar] [CrossRef]
- Kim, J.; Rajan, L.; Fuller, R.M.; Mizher, R.; Cororaton, A.D.; Kumar, P.; An, T.W.; Deland, J.T.; Ellis, S.J. A Patient-Reported Outcome-Based Comparison of Cheilectomy With and Without Proximal Phalangeal Dorsiflexion Osteotomy for Hallux Rigidus. Foot Ankle Spec. 2024, 17, 67–77. [Google Scholar] [CrossRef]
- Pastides, P.S.; El-Sallakh, S.; Charalambides, C. Minimally Invasive Cheilectomy for the Treatment of Grade I to III Hallux Rigidus: A Prospective Study Reporting on Early Patient Outcome. Tech. Foot Ankle Surg. 2014, 13, 98–102. [Google Scholar] [CrossRef]
- Sidon, E.; Rogero, R.; Bell, T.; McDonald, E.; Shakked, R.J.; Fuchs, D.; Daniel, J.N.; Pedowitz, D.I.; Raikin, S.M. Long-term Follow-up of Cheilectomy for Treatment of Hallux Rigidus. Foot Ankle Int. 2019, 40, 1114–1121. [Google Scholar] [CrossRef] [PubMed]
- Stevens, J.; de Bot, R.T.; Witlox, A.M.; Borghans, R.; Smeets, T.; Beertema, W.; Hendrickx, R.P.; Schotanus, M.G. Long-term Effects of Cheilectomy, Keller’s Arthroplasty, and Arthrodesis for Symptomatic Hallux Rigidus on Patient-Reported and Radiologic Outcome. Foot Ankle Int. 2020, 41, 775–783. [Google Scholar] [CrossRef] [PubMed]
- Teoh, K.H.; Tan, W.T.; Atiyah, Z.; Ahmad, A.; Tanaka, H.; Hariharan, K. Clinical Outcomes Following Minimally Invasive Dorsal Cheilectomy for Hallux Rigidus. Foot Ankle Int. 2019, 40, 195–201. [Google Scholar] [CrossRef] [PubMed]
- Mizher, R.; Fuller, R.; Kim, J.; Rajan, L.; Cororaton, A.D.; Kumar, P.; An, T.W.; Deland, J.T.; Ellis, S.J. A Patient-Reported Outcome Based Comparison of Cheilectomy with and without Proximal Phalangeal Dorsiflexion Osteotomy for Hallux Rigidus. Foot Ankle Orthop. 2022, 7, 1–2. [Google Scholar] [CrossRef]
- Viechtbauer, W. Bias and Efficiency of Meta-Analytic Variance Estimators in the Random-Effects Model. J. Educ. Behav. Stat. 2005, 30, 261–293. [Google Scholar] [CrossRef]
- Cochran, W.G. The combination of estimates from different experiments. Biometrics 1954, 10, 101–129. [Google Scholar] [CrossRef]
- Botek, G.; Anderson, M.A. Etiology, pathophysiology, and staging of hallux rigidus. Clin. Podiatr. Med. Surg. 2011, 28, 229–243. [Google Scholar] [CrossRef] [PubMed]
- Anderson, M.R.; Ho, B.S.; Baumhauer, J.F. Republication of “Current Concepts Review: Hallux Rigidus”. Foot Ankle Orthop. 2023, 8, 24730114231188123. [Google Scholar] [CrossRef]
- Baumhauer, J.F.; Singh, D.; Glazebrook, M.; Blundell, C.M.; De Vries, G.; Le, I.L.D.; Nielsen, D.; Pedersen, M.E.; Sakellariou, A.; Solan, M.; et al. Correlation of Hallux Rigidus Grade with Motion, VAS Pain, Intraoperative Cartilage Loss, and Treatment Success for First MTP Joint Arthrodesis and Synthetic Cartilage Implant. Foot Ankle Int. 2017, 38, 1175–1182. [Google Scholar] [CrossRef] [PubMed]
- Lam, A.; Chan, J.J.; Surace, M.F.; Vulcano, E. Hallux rigidus: How do I approach it? World J. Orthop. 2017, 8, 364–371. [Google Scholar] [CrossRef] [PubMed]
- Georgiannos, D.; Lampridis, V.; Kazamias, K.; Kitridis, D.; Bisbinas, I.; Badekas, A. Converting 1st metatarsophalangeal joint fusion to interposition arthroplasty. Mid-term results of a case series. Foot 2023, 56, 102029. [Google Scholar] [CrossRef] [PubMed]
- Anderson, R.B.; Shawen, S.B. Chapter 18—Great-Toe Disorders. In Baxter’s the Foot and Ankle in Sport, 2nd ed.; Porter, D.A., Schon, L.C., Eds.; Mosby: Philadelphia, PA, USA, 2008; pp. 411–433. Available online: https://www.sciencedirect.com/science/article/abs/pii/B9780323023580100181 (accessed on 17 November 2024). [CrossRef]
- Nawoczenski, D.A.; Baumhauer, J.F.; Umberger, B.R. Relationship between clinical measurements and motion of the first metatarsophalangeal joint during gait. J. Bone Jt. Surg. 1999, 81, 370–376. [Google Scholar] [CrossRef] [PubMed]
- Baumhauer, J.F.; Daniels, T.; Glazebrook, M. New Technology in the Treatment of Hallux Rigidus with a Synthetic Cartilage Implant Hemiarthroplasty. Orthop. Clin. 2019, 50, 109–118. [Google Scholar] [CrossRef]
- Maffulli, N.; Papalia, R.; Palumbo, A.; Del Buono, A.; Denaro, V. Quantitative review of operative management of hallux rigidus. Br. Med. Bull. 2011, 98, 75–98. [Google Scholar] [CrossRef] [PubMed][Green Version]
- McNeil, D.S.; Baumhauer, J.F.; Glazebrook, M.A. Evidence-based analysis of the efficacy for operative treatment of hallux rigidus. Foot Ankle Int. 2013, 34, 15–32. [Google Scholar] [CrossRef] [PubMed]



| Grade | Dorsiflexion | Radiographic Findings | Clinical Findings |
|---|---|---|---|
| 0 | 40°–60° | Normal | No pain, only stiffness and some loss of motion |
| 1 | 30°–40° | Dorsal osteophytes as main finding; minimal joint narrowing, flattening of the metatarsal head, and/or periarticular sclerosis | Mild and/or intermittent pain and stiffness at maximal dorsiflexion and/or plantar flexion of the joint |
| 2 | 10°–30° | Periarticular osteophytes with mild to moderate joint narrowing, flattening of the metatarsal head, and/or periarticular sclerosis | Moderate to severe pain and stiffness with a more pronounced frequency; pain evoked near end range of motion of the joint |
| 3 | Less than or equal to 10° | Same as grade 2 but with the addition of cystic changes subchondrally and likely sesamoid irregularities | Nearly constant pain and stiffness with the pain being elicited with end range of motion, but not at midrange |
| 4 | Same as grade 3 | Same as grade 3 | Same as grade 3 but with pain present at midrange of passive motion of the joint |
| Authors and Years | Representativeness of Cases | Selection of Controls | Ascertainment of Exposure | Demonstration That Outcome of Interest Was Not Present at Start of Study | Comparability | Assessment of Outcome | Follow-Up Long Enough | Adequacy of Follow-Up | Total |
|---|---|---|---|---|---|---|---|---|---|
| Brandao, B. et al.—2020 [21] | - | - | ★ | ★ | ★ | ★ | ★ | ★ | 6★ |
| Cetinkaya, E. et al.—2016 [22] | - | - | ★ | ★ | - | ★ | ★ | ★ | 5★ |
| Cöster, M.E. et al.—2021 [23] | - | - | ★ | ★ | - | ★ | - | ★ | 4★ |
| Cullen, B. et al.—2017 [24] | - | - | ★ | ★ | ★ | ★ | ★ | ★ | 6★ |
| Galli, S.H. et al.—2021 [25] | - | - | ★ | ★ | ★ | ★ | ★ | ★ | 6★ |
| Gauthier, C. et al.—2024 [26] | - | - | ★ | ★ | - | ★ | ★ | ★ | 5★ |
| Glenn, R. L. et al.—2021 [27] | - | - | ★ | ★ | - | ★ | - | ★ | 4★ |
| Hickey, B.A. et al.—2020 [28] | - | - | ★ | ★ | - | ★ | ★ | ★ | 5★ |
| Hoskins, T. et al.—2023 [29] | - | - | ★ | ★ | ★ | ★ | ★ | ★ | 6★ |
| Lee, J.Y. et al.—2021 [30] | - | - | ★ | ★ | ★ | ★ | ★ | ★ | 6★ |
| Jones, M.D. et al.—2018 [31] | - | - | ★ | ★ | - | ★ | - | ★ | 4★ |
| Kim, J. et al.—2023 [32] | - | - | ★ | ★ | ★ | ★ | - | ★ | 5★ |
| Pastides, P.S. et al.—2014 [33] | - | - | ★ | ★ | - | ★ | ★ | ★ | 5★ |
| Sidon, E. et al.—2019 [34] | - | - | ★ | ★ | - | ★ | ★ | ★ | 5★ |
| Stevens, J. et al.—2020 [35] | - | - | ★ | ★ | ★ | ★ | ★ | ★ | 6★ |
| Teoh, K.H. et al.—2019 [36] | - | - | ★ | ★ | - | ★ | ★ | ★ | 5★ |
| Authors—Years | Study Design and LOE | Number of Patients (Halluces) | Gender F:M | Age at Surgery (Years) | Type of Surgical Procedure | Classification and Grades | FU (Months) |
|---|---|---|---|---|---|---|---|
| Brandao, B. et al.—2020 [21] | Prospective comparative study; LOE II | 23 (23) | 19:4 | 58 ± 10.25 (38–79) | Traditional cheilectomy | Hattrup and Johnson Grade I = 5 Grade II = 10 Grade III = 8 | 69 ± 10.9 (50–90) |
| Cetinkaya, E. et al.—2016 [22] | Retrospective case series; LOE IV | 21 (22) | 14:7 | 59.2 ± 3.75 (52–67) | Traditional cheilectomy | Coughlin-Shurnas Grade III = 22 | 24.8 ± 12.75 (12–63) |
| Cöster, M.E. et al.—2021 [23] | Retrospective case series; LOE IV | 181 (181) | 112:69 | 58 ± 11 | Traditional cheilectomy | Coughlin-Shurnas Grade II = 70 Grade III = 111 | 12 |
| Cullen, B. et al.—2017 [24] | Retrospective comparative study; LOE III | 330 (340) | 206:124 | - | Traditional cheilectomy | Coughlin-Shurnas Grade II = 340 | 39.2 |
| Galli, S.H. et al.—2021 [25] | Prospective comparative study; LOE II | 51 (58) | 36:15 | 51.7 ± 9.1 (34.7–71.1) | Cheilectomy vs. cheilectomy + (UC-AM) allograft | - | 44.9 |
| Gauthier, C. et al.—2024 [26] | Retrospective case series; LOE IV | 31 (31) | 21:10 | 54.2 ± 11.6 (26.2–80.8) | Minimally invasive cheilectomy in combination with FMTPJ arthroscopy | - | 16.5 ± 4.5 (12.0–26.2) |
| Glenn, R.L. et al.—2021 [27] | Retrospective case series; LOE IV | 20 (20) | 14:6 | 52 ± 7.25 (40–69) | Minimally invasive cheilectomy in combination with FMTPJ arthroscopy | - | 16.5 ± 7.5 (3–33) |
| Hickey, B.A. et al.—2020 [28] | Retrospective case series; LOE IV | 36 (36) | 26:10 | 50.0 ± 10.62 (24.5–67.0) | Minimally invasive cheilectomy in combination with FMTPJ arthroscopy | Coughlin-Shurnas Grade I = 5 Grade II = 27 Grade III = 1 Not reported = 3 Outerbridge classification: 3.39 ± 1.78, range 0–8 | 56.3 ± 15.9 (24–87.6) |
| Hoskins, T. et al.—2023 [29] | Retrospective comparative study; LOE III | 30 (31) | 20:10 | 57 ± 8 (43–75) | Traditional cheilectomy | - | 67 ± 16.75 (39–106) |
| Lee, J.Y. et al.—2021 [30] | Retrospective comparative study; LOE III | 17 (17) | 12:5 | 54.8 ± 7.82 (41.5–72.8) | Traditional cheilectomy | Hattrup and Johnson Grade I = 2 Grade II = 6 Grade III = 9 | 24 |
| Jones, M.D. et al.—2018 [31] | Retrospective comparative study; LOE III | 26 (26) | - | - | Traditional cheilectomy | Drago, Oloff and Jacobs scoring system Grade I = 3 Grade II = 16 Grade III = 7 | - |
| Kim, J. et al.—2023 [32] | Retrospective comparative study; LOE III | 62 (62) | 42:20 | 51.18 | Traditional cheilectomy | Coughlin-Shurnas Grade I = 4 Grade II = 22 Grade III = 28 Grade IV = 6 Not reported = 2 | 20.5 |
| Pastides, P.S. et al.—2014 [33] | Retrospective case series; LOE IV | 41 (54) | 35:6 | 43 ± 11.25 (16–61) | Minimally invasive cheilectomy without FMTPJ arthroscopy | Coughlin-Shurnas Grade I = 9 Grade II = 19 Grade III = 26 | 17 ± 6 (6–30) |
| Sidon, E. et al.—2019 [34] | Retrospective case series; LOE IV | 165 (169) | 110:55 | 54.2 ± 14.5 (18–76) | Traditional cheilectomy | Hattrup and Johnson Grade I = 30 Grade II = 118 Grade III = 21 | 79.2 ± 17.7 (60–130.8) |
| Stevens, J. et al.—2020 [35] | Retrospective comparative study; LOE III | 10 (11) | 4:6 | 51.4 ± 7.0 (39–62) | Traditional cheilectomy | - | 271.1 ± 27 (228–336) |
| Teoh, K.H. et al.—2019 [36] | Retrospective case series; LOE IV | 89 (98) | 64:25 | 54 ± 10.5 (29–71) | Minimally invasive cheilectomy without FMTPJ arthroscopy | Coughlin-Shurnas Grade I = 33 Grade II = 54 Grade III = 11 | 50 ± 18 (12–84) |
| Mean | 54.14 | 42.44 | |||||
| Tot | 1133 (1179) | 735F:372M | Traditional cheilectomy = 11 Minimally invasive cheilectomy = 5 | Hattrup and Johnson Grade I = 37 Grade II = 134 Grade III = 38 Grade IV = 0 Coughlin-Shurnas Grade I = 51 Grade II = 532 Grade III = 199 Grade IV = 6 |
| Authors and Years | N° Patients (Halluces) | VAS Pre | VAS Post | AOFAS Pre | AOFAS Post | Other Clinical Scores | Range of Motion | Dorsiflexion | Plantarflexion |
|---|---|---|---|---|---|---|---|---|---|
| Brandao, B. et al.—2020 [21] | 23 (23) | - | - | - | - | MOXFQ Index: 14 FAAM Sports subscale 82.7% | - | - | - |
| Cetinkaya, E. et al.—2016 [22] | 21 (22) | 8.9 ± 1 (6.0–10.0) | 2.9 ± 1.75 (0–7.0) | 53 ± 9.5 (29–67) | 78 ± 8.75 (57–92) | - | Pre-op 13° ± 4.75 (5°–24°) Post-op 41° ± 1.75 (24°–31°) | - | - |
| Cöster, M.E. et al.—2021 [23] | 181 (181) | - | - | - | - | SEFAS: pre-op 26 post-op 36 EQ-5D index: pre-op 0.61 Post-op 0.77 | - | - | - |
| Cullen, B. et al.—2017 [24] | 330 (340) | - | - | - | - | - | - | - | - |
| Galli, S.H. et al.—2021—Cheilectomy [25] * | 25 (27) | 4.6 ± 1.65 (0.7–7.3) | 0.66 ± 0.62 (0–2.5) | 69 ± 2 (64–72) | 81.5 ± 2.1 (76.5–85) | Foot function index: mean 26.3 | - | - | - |
| Galli, S.H. et al.—2021— Cheilectomy + UC-AM [25] * | 26 (31) | 5.2 ± 1.82 (1–8.3) | 0.86 ± 0.85 (0–3.4) | 65 ± 1.25 (62–67) | 90 ± 3.25 (82–95) | - | - | - | - |
| Gauthier, C. et al.—2024 [26] | 31 (31) | 6.5 ± 2.7 | 2.1 ± 1.9 | - | - | EQ-5D index: pre. 0.64 ± 0.2 post. 0.76 ± 0.21 MOXFQ Index: pre. 54.7 ± 18.9 post. 22.4 ± 23.5 | Pre-op 61.3° Post-op 108.2° | Pre-op 50 ± 20.8 Post-op 89.6 ± 1.3 | Pre-op 11.3 ± 9.6 Post-op 18.6 ± 7.8 |
| Glenn, R.L. et al.—2021 [27] | 20 (20) | 7.05 ± 1.25 (5–10) | 0.75 | - | - | - | Pre-op 47° Post-op 67° | Pre-op 32° ± 12.5 (10°–60°) Post-op 48° | Pre-op 15° ± 7.5 (0°–30°) Post-op 19° |
| Hickey, B.A. et al.—2020 [28] | 36 (36) | - | 2.7 | - | - | - | - | Pre-op 31.86° ± 9.71 (10°–50°) Post-op 72.71° ± 10.80 (45°–90°) | - |
| Hoskins, T. et al.—2023 [29] | 30 (31) | - | - | 49.6 ± 11.7 | 85.3 ± 8.9 | FAOS: pre. 55.5 ± 14.0 post 88.4 ± 8.6 | Pre-op 40.9° Post-op 57.1° | Pre-op 24° ± 10.2 Post-op 38° ± 7.8 | Pre-op 16.9° ± 5.4 Post-op 19° ± 5.2 |
| Lee, J.Y. et al.—2021 [30] | 17 (17) | 6.1 ± 2.2 | 1.7 ± 2.7 | 46.9 ± 14.2 | 78.8 ± 21.0 | SF-36 subscales: PCS: pre. 42.5 ± 10.7 post. 48.3 ± 11.2 MCS: pre. 56.2 ± 7.8 post. 52.2 ± 11.7 | - | - | - |
| Jones, M.D. et al.—2018 [31] | 26 (26) | - | - | - | - | Maryland Foot Score: 83.1 * | - | - | - |
| Kim, J. et al.—2023 [32] | 62 (62) | - | - | - | - | PROMIS: pre- and postoperative [37] | - | - | - |
| Pastides, P.S. et al.—2014 [33] | 35 (47) | - | - | 71.1 | 87.1 | - | Pre-op 39° Post-op 48° | Pre-op 32° ± 7.25 (15–44) Post-op 39° ± 7 (28–56) | Pre-op 7° ± 2.5 (0–10) Post-op 9° ± 2.5 (5–15) |
| Sidon, E. et al.—2019 [34] | 165 (169) | 6.4 ± 2.5 | 1.1 ± 2.3 | - | - | - | - | - | - |
| Stevens, J. et al.—2020 [35] | 10 (11) | 2 | 1.81 ± 2.28 (0–7.1) | 79.8 | 77.1 ± 27.2 (24–100) | Forgotten joint score-12: 71.8 ± 30.7 (25–100) * MOXFQ Index: 26 ± 24.9 (0–70.3) | 43.1 ± 18.7 | Post-op 24.6° ± 19.0 (10°–55°) | Post-op 18.5° |
| Teoh, K.H. et al.—2019 [36] | 89 (98) | 8.0 ± 1 (6–10) | 3 ± 2.5 (0–10) | - | - | - | - | Pre-op 11.3° ± 7.5 (0°–30°) Post-op 69.1° ± 10 (50°–90°) | - |
| Mean | 1127 (1172) | Pre-op: 6.60 | Post-op: 1.76 | Pre-op: 62.35 | Post-op: 84.04 | - | Pre-op: 38.43° Post-op: 62.32° | Pre-op: 25.44° Post-op: 59.88° | Pre-op: 11.65° Post-op: 15.51° |
| Traditional Cheilectomy | |||||||||
|---|---|---|---|---|---|---|---|---|---|
| Author/Year | Halluces | VAS Pre-Op | VAS Post-Op | Mean ROM Pre-Op | Mean ROM Post-Op | Dorsiflexion Pre-Op | Dorsiflexion Post-Op | Plantarflexion Pre-Op | Plantarflexion Post-Op |
| Cetinkaya et al.—2016 [22] | 22 | 8.9 ± 1 | 2.9 ± 1.75 | 13° ± 4.75 | 41° ± 1.75 | - | - | - | - |
| Galli, S.H. et al.—2021 [25] | 27 | 4.6 ± 1.65 | 0.66 ± 0.62 | - | - | - | - | - | - |
| Hoskins, T. et al.—2023 [29] | 31 | - | - | 40.9° | 57.1° | 24 ± 10.2° | 38 ± 7.8° | 16.9 ± 5.4° | 19 ± 5.2° |
| Lee, J.Y. et al.—2021 [30] | 17 | 6.1 ± 2.2 | 1.7 ± 2.7 | - | - | - | - | - | - |
| Sidon, E. et al.—2019 [34] | 169 | 6.4 ± 2.5 | 1.1 ± 2.3 | - | - | - | - | - | - |
| Stevens, J. et al.—2020 [35] | 11 | 2 | 1.8 ± 2.28 | - | 43.1 ± 18.7° | - | 24.6 ± 19.0° | - | 18.5° |
| Tot | 277 | ||||||||
| Mean | 6.20 | 1.28 | 29.31° | 49.15° | 24° | 34.49° | 16.9° | 18.86° | |
| Mini-Invasive Cheilectomy | |||||||||
| Author/Year | Halluces | VAS Pre-Op | VAS Post-Op | Mean ROM Pre-Op | Mean ROM Post-Op | Dorsiflexion Pre-Op | Dorsiflexion Post-Op | Plantarflexion Pre-Op | Plantarflexion Post-Op |
| Gauthier C. et al.—2024 [26] | 31 | 6.5 ± 2.7 | 2.1 ± 1.9 | 61.3° | 108.2° | 50 ± 20.8° | 89.6 ± 1.3° | 11.3 ± 9.6° | 18.6 ± 7.8° |
| Glenn R.L. et al.—2021 [27] | 20 | 7.05 ± 1.25 | 0.75 | 47° | 67° | 32 ± 12.5° | 48° | 15 ± 7.5° | 19° |
| Hickey B.A. et al.—2020 [28] | 36 | - | 2.7 | - | - | 31.86 ± 9.71° | 72.71 ± 10.8° | - | - |
| Pastides, P.S. et al.—2014 [33] | 47 | - | - | 39° | 48° | 32 ± 7.25° | 39 ± 7° | 7 ± 2.5° | 9 ± 2.5° |
| Teoh K.H. et al.—2019 [36] | 98 | 8 ± 1 | 3 ± 2.5 | - | - | 11.3 ± 7.5° | 69.1 ± 10° | - | - |
| Tot | 232 | ||||||||
| Mean | 7.28 | 2.55 | 47.68° | 70.92° | 25.64° | 64.48° | 9.99° | 14.07° | |
| Traditional Cheilectomy | ||||||
|---|---|---|---|---|---|---|
| Author/Year | Halluces | Infection | EHL Lesion | Nerve Injury | Postoperative Pain | Delayed Wound Healing |
| Brandao, B. et al.—2020 [21] | 23 | - | - | - | - | - |
| Cetinkaya et al.—2016 [22] | 22 | - | - | 3 | - | - |
| Galli, S.H. et al.—2021 [25] | 27 | - | - | - | 2 | 2 |
| Hoskins, T. et al.—2023 [29] | 31 | - | - | - | 6 | - |
| Lee, J.Y. et al.—2021 [30] | 17 | - | - | - | - | - |
| Kim, J. et al.—2023 [32] | 62 | 1 | - | - | 5 | - |
| Sidon, E. et al.—2019 [34] | 169 | - | - | - | 22 | - |
| Tot | 351 | 1 (0.28%) | 0 | 3 (0.85%) | 35 (9.97%) | 2 (0.56%) |
| Mini-invasive Cheilectomy | ||||||
| Gauthier, C. et al.—2024 [26] | 31 | - | 1 | - | 1 | - |
| Glenn, R.L. et al.—2021 [27] | 20 | - | - | - | - | - |
| Hickey, B.A. et al.—2020 [28] | 36 | - | 1 | 3 | 4 | - |
| Teoh, K.H. et al.—2019 [36] | 98 | 2 | - | 4 | - | 2 |
| Tot | 185 | 2 (1.08%) | 2 (1.08%) | 7 (3.78%) | 5 (2.70%) | 2 (1.08%) |
| All approaches | ||||||
| 536 | 3 (0.55%) | 2 (0.37%) | 10 (1.86%) | 40 (7.46%) | 4 (0.74%) | |
Disclaimer/Publisher’s Note: The statements, opinions and data contained in all publications are solely those of the individual author(s) and contributor(s) and not of MDPI and/or the editor(s). MDPI and/or the editor(s) disclaim responsibility for any injury to people or property resulting from any ideas, methods, instructions or products referred to in the content. |
© 2024 by the authors. Licensee MDPI, Basel, Switzerland. This article is an open access article distributed under the terms and conditions of the Creative Commons Attribution (CC BY) license (https://creativecommons.org/licenses/by/4.0/).
Share and Cite
Arceri, A.; Di Paola, G.; Mazzotti, A.; Zielli, S.O.; Artioli, E.; Langone, L.; Sgubbi, F.; Faldini, C. Reviewing Evidence and Patient Outcomes of Cheilectomy for Hallux Rigidus: A Systematic Review and Meta-Analysis. J. Clin. Med. 2024, 13, 7299. https://doi.org/10.3390/jcm13237299
Arceri A, Di Paola G, Mazzotti A, Zielli SO, Artioli E, Langone L, Sgubbi F, Faldini C. Reviewing Evidence and Patient Outcomes of Cheilectomy for Hallux Rigidus: A Systematic Review and Meta-Analysis. Journal of Clinical Medicine. 2024; 13(23):7299. https://doi.org/10.3390/jcm13237299
Chicago/Turabian StyleArceri, Alberto, Gianmarco Di Paola, Antonio Mazzotti, Simone Ottavio Zielli, Elena Artioli, Laura Langone, Federico Sgubbi, and Cesare Faldini. 2024. "Reviewing Evidence and Patient Outcomes of Cheilectomy for Hallux Rigidus: A Systematic Review and Meta-Analysis" Journal of Clinical Medicine 13, no. 23: 7299. https://doi.org/10.3390/jcm13237299
APA StyleArceri, A., Di Paola, G., Mazzotti, A., Zielli, S. O., Artioli, E., Langone, L., Sgubbi, F., & Faldini, C. (2024). Reviewing Evidence and Patient Outcomes of Cheilectomy for Hallux Rigidus: A Systematic Review and Meta-Analysis. Journal of Clinical Medicine, 13(23), 7299. https://doi.org/10.3390/jcm13237299

