Real-Life Use of Filgotinib in Rheumatoid Arthritis: A Retrospective Cohort Study
Abstract
1. Introduction
2. Methods
2.1. Study Design
2.2. Participants
2.3. Data Collection
2.4. Ethical Approval
2.5. Data Analysis
3. Results
3.1. Baseline Characteristics
3.2. Effectiveness of Filgotinib in Real Life
4. Discussion
Author Contributions
Funding
Institutional Review Board Statement
Informed Consent Statement
Data Availability Statement
Conflicts of Interest
References
- Di Matteo, A.; Bathon, J.M.; Emery, P. Rheumatoid arthritis. Lancet 2023, 402, 10416. [Google Scholar] [CrossRef] [PubMed]
- Smolen, J.S.; Landewé, R.B.M.; Bergstra, S.A.; Kerschbaumer, A.; Sepriano, A.; Aletaha, D.; Caporali, R.; Edwards, C.J.; Hyrich, K.L.; Pope, J.E.; et al. EULAR recommendations for the management of rheumatoid arthritis with synthetic and biological disease-modifying antirheumatic drugs: 2022 update. Ann. Rheum. Dis. 2023, 82, 3–18. [Google Scholar] [CrossRef] [PubMed]
- Tanaka, Y.; Luo, Y.; O’Shea, J.J.; Nakayamada, S. Janus kinase-targeting therapies in rheumatology: A mechanisms-based approach. Nat. Rev. Rheumatol. 2022, 18, 133–145. [Google Scholar] [CrossRef] [PubMed]
- Hu, X.; Li, J.; Fu, M.; Zhao, X.; Wang, W. The JAK/STAT signaling pathway: From bench to clinic. Signal Transduct. Target. Ther. 2021, 6, 402. [Google Scholar] [CrossRef]
- Malemud, C.J. The role of the JAK/STAT signal pathway in rheumatoid arthritis. Ther. Adv. Musculoskelet. Dis. 2018, 10, 117–127. [Google Scholar] [CrossRef]
- Leonard, W.J. Role of Jak kinases and STATs in cytokine signal transduction. Int. J. Hematol. 2001, 73, 271–277. [Google Scholar] [CrossRef]
- Namour, F.; Anderson, K.; Nelson, C.; Tasset, C. Filgotinib: A Clinical Pharmacology Review. Clin. Pharmacokinet. 2022, 61, 819–832. [Google Scholar] [CrossRef]
- Genovese, M.C.; Kalunian, K.; Gottenberg, J.-E.; Mozaffarian, N.; Bartok, B.; Matzkies, F.; Gao, J.; Guo, Y.; Tasset, C.; Sundy, J.S.; et al. Effect of Filgotinib vs. Placebo on Clinical Response in Patients with Moderate to Severe Rheumatoid Arthritis Refractory to Disease-Modifying Antirheumatic Drug Therapy: The FINCH 2 Randomized Clinical Trial. JAMA 2019, 322, 315–325. [Google Scholar] [CrossRef]
- Westhovens, R.; Taylor, P.C.; Alten, R.; Pavlova, D.; Enríquez-Sosa, F.; Mazur, M.; Greenwald, M.; Van der Aa, A.; Vanhoutte, F.; Tasset, C.; et al. Filgotinib (GLPG0634/GS-6034), an oral JAK1 selective inhibitor, is effective in combination with methotrexate (MTX) in patients with active rheumatoid arthritis and insufficient response to MTX: Results from a randomised, dose-finding study (DARWIN 1). Ann. Rheum. Dis. 2017, 76, 998–1008. [Google Scholar] [CrossRef]
- Kavanaugh, A.; Kremer, J.; Ponce, L.; Cseuz, R.; Reshetko, O.V.; Stanislavchuk, M.; Greenwald, M.M.; Van der Aa, A.; Vanhoutte, F.; Tasset, C.; et al. Filgotinib (GLPG0634/GS-6034), an oral selective JAK1 inhibitor, is effective as monotherapy in patients with active rheumatoid arthritis: Results from a randomised, dose- finding study (DARWIN 2). Ann. Rheum. Dis. 2017, 76, 1009–1019. [Google Scholar]
- Westhovens, R.; Rigby, W.F.C.; van der Heijde, D.; Ching, D.W.T.; Stohl, W.; Kay, J.; Chopra, A.; Bartok, B.; Matzkies, F.; Yin, Z.; et al. Filgotinib in combination with methotrexate or as monotherapy versus methotrexate monotherapy in patients with active rheumatoid arthritis and limited or no prior exposure to methotrexate: The phase 3, randomised controlled FINCH 3 trial. Ann. Rheum. Dis. 2021, 80, 727–738. [Google Scholar] [CrossRef] [PubMed]
- Combe, B.; Kivitz, A.; Tanaka, Y.; van der Heijde, D.; Simon, J.A.; Baraf, H.S.B.; Kumar, U.; Matzkies, F.; Bartok, B.; Ye, L.; et al. Filgotinib versus placebo or adalimumab in patients with rheumatoid arthritis and inadequate response to methotrexate: A phase III randomised clinical trial. Ann. Rheum. Dis. 2021, 80, 848–858. [Google Scholar] [CrossRef] [PubMed]
- Ytterberg, S.R.; Bhatt, D.L.; Mikuls, T.R.; Koch, G.G.; Fleischmann, R.; Rivas, J.L.; Germino, R.; Menon, S.; Sun, Y.; Wang, C.; et al. Cardiovascular and Cancer Risk with Tofacitinib in Rheumatoid Arthritis. N. Engl. J. Med. 2022, 386, 316–326. [Google Scholar] [CrossRef]
- Kremer, J.M.; Bingham, C.O.; Cappelli, L.C.; Greenberg, J.D.; Madsen, A.M.; Geier, J.; Rivas, J.L.; Onofrei, A.M.; Barr, C.J.; Pappas , D.A.; et al. Postapproval Comparative Safety Study of Tofacitinib and Biological Disease-Modifying Antirheumatic Drugs: 5-Year Results from a United States-Based Rheumatoid Arthritis Registry. ACR Open Rheumatol. 2021, 3, 173–184. [Google Scholar] [CrossRef]
- Khosrow-Khavar, F.; Kim, S.C.; Lee, H.; Lee, S.B.; Desai, R.J. Tofacitinib and risk of cardiovascular outcomes: Results from the Safety of TofAcitinib in Routine care patients with Rheumatoid Arthritis (STAR-RA) study. Ann. Rheum. Dis. 2022, 81, 798–804. [Google Scholar] [CrossRef]
- Khosrow-Khavar, F.; Desai, R.J.; Lee, H.; Lee, S.B.; Kim, S.C. Tofacitinib and Risk of Malignancy: Results from the Safety of Tofacitinib in Routine Care Patients with Rheumatoid Arthritis (STAR-RA) Study. Arthritis Rheumatol. 2022, 74, 1648–1659. [Google Scholar] [CrossRef]
- Palleria, C.; Iannone, L.; Leporini, C.; Citraro, R.; Manti, A.; Caminiti, M.; Gigliotti, P.; Grembiale, R.D.; L’Andolina, M.; Muccari, G.; et al. Implementing a simple pharmacovigilance program to improve reporting of adverse events associated with biologic therapy in rheumatology: Preliminary results from the Calabria Biologics Pharmacovigilance Program (CBPP). PLoS ONE 2018, 13, e0205134. [Google Scholar] [CrossRef]
- Fuchs, H.A.; Brooks, R.H.; Callahan, L.F.; Pincus, T. A simplified twenty-eight-joint quantitative articular index in rheumatoid arthritis. Arthritis Rheum. 1989, 32, 531–537. [Google Scholar] [CrossRef]
- Smolen, J.S.; Breedveld, F.C.; Schiff, M.H.; Kalden, J.R.; Emery, P.; Eberl, G.; van Riel, P.L.; Tugwell, P. A simplified disease activity index for rheumatoid arthritis for use in clinical practice. Rheumatology 2003, 42, 244–257. [Google Scholar] [CrossRef]
- EMA Recommends Measures to Minimise Risk of Serious Side Effects with Janus Kinase Inhibitors for Chronic Inflammatory Disorders. Available online: https://www.ema.europa.eu/en/news/ema-recommends-measures-minimise-risk-serious-side-effects-janus-kinase-inhibitors-chronic-inflammatory-disorders (accessed on 30 October 2024).
- Besancenot, R.; Roos-Weil, D.; Tonetti, C.; Abdelouahab, H.; Lacout, C.; Pasquier, F.; Willekens, C.; Rameau, P.; Lecluse, Y.; Micol, J.B.; et al. JAK2 and MPL protein levels determine TPO-induced megakaryocyte proliferation vs. differentiation. Blood 2014, 124, 2104–2115. [Google Scholar] [CrossRef]
- Sopjani, M.; Morina, R.; Uka, V.; Xuan, N.T.; Dërmaku-Sopjani, M. JAK2-mediated Intracellular Signaling. Curr. Mol. Med. 2021, 21, 417–425. [Google Scholar] [CrossRef] [PubMed]
- Park, S.O.; Wamsley, H.L.; Bae, K.; Hu, Z.; Li, X.; Choe, S.w.; Slayton, W.B.; Oh, S.P.; Wagner, K.-U.; Sayeski, P.P. Conditional deletion of Jak2 reveals an essential role in hematopoiesis throughout mouse ontogeny: Implications for Jak2 inhibition in humans. PLoS ONE 2013, 8, e59675. [Google Scholar] [CrossRef]
- Winthrop, K.L.; Curtis, J.R.; Lindsey, S.; Tanaka, Y.; Yamaoka, K.; Valdez, H.; Hirose, T.; Nduaka, C.I.; Wang, L.; Mendelsohn, A.M.; et al. Herpes Zoster and Tofacitinib: Clinical Outcomes and the Risk of Concomitant Therapy. Arthritis Rheumatol. 2017, 69, 1960–1968. [Google Scholar] [CrossRef]
- Smolen, J.S.; Genovese, M.C.; Takeuchi, T.; Hyslop, D.L.; Macias, W.L.; Rooney, T.; Chen, L.; Dickson, C.L.; Riddle Camp, J.; Cardillo, T.E.; et al. Safety Profile of Baricitinib in Patients with Active Rheumatoid Arthritis with over 2 Years Median Time in Treatment. J. Rheumatol. 2019, 46, 7–18. [Google Scholar] [CrossRef]
- Molander, V.; Bower, H.; Frisell, T.; Askling, J. Risk of venous thromboembolism in rheumatoid arthritis, and its association with disease activity: A nationwide cohort study from Sweden. Ann. Rheum. Dis. 2021, 80, 169–175. [Google Scholar] [CrossRef]
- Chen, C.-P.; Kung, P.-T.; Chou, W.-Y.; Tsai, W.C. Effect of introducing biologics to patients with rheumatoid arthritis on the risk of venous thromboembolism: A nationwide cohort study. Sci. Rep. 2021, 11, 17009. [Google Scholar] [CrossRef]
- Sivaraman, P.; Cohen, S.B. Malignancy and Janus Kinase Inhibition. Rheum. Dis. Clin. N. Am. 2017, 43, 79–93. [Google Scholar] [CrossRef]
- Avina-Zubieta, J.A.; Thomas, J.; Sadatsafavi, M.; Lehman, A.J.; Lacaille, D. Risk of incident cardiovascular events in patients with rheumatoid arthritis: A meta-analysis of observational studies. Ann. Rheum. Dis. 2012, 71, 1524–1529. [Google Scholar] [CrossRef]
- De Cock, D.; Hyrich, K. Malignancy and rheumatoid arthritis: Epidemiology, risk factors and management. Best. Pract. Res. Clin. Rheumatol. 2018, 32, 869–886. [Google Scholar] [CrossRef]
- Tan, Y.Y.; Papez, V.; Chang, W.H.; Mueller, S.H.; Denaxas, S.; Lai, A.G. Comparing clinical trial population representativeness to real-world populations: An external validity analysis encompassing 43 895 trials and 5 685 738 individuals across 989 unique drugs and 286 conditions in England. Lancet Healthy Longev. 2022, 3, e674–e689. [Google Scholar] [CrossRef]
- Benucci, M.; Bardelli, M.; Cazzato, M.; Laurino, E.; Bartoli, F.; Damiani, A.; Li Gobbi, F.; Panaccione, A.; Di Cato, L.; Niccoli, L.; et al. ReLiFiRa (Real Life Filgotinib in Rheumatoid Arthritis): Retrospective Study of Efficacy and Safety in Common Clinical Practice. J. Pers. Med. 2023, 13, 1303. [Google Scholar] [CrossRef] [PubMed]
- Nagy, G.; Roodenrijs, N.M.; Welsing, P.M.; Kedves, M.; Hamar, A.; van der Goes, M.C.; Kent, A.; Bakkers, M.; Blaas, E.; Senolt, L.; et al. EULAR definition of difficult-to-treat rheumatoid arthritis. Ann. Rheum. Dis. 2021, 80, 31–35. [Google Scholar] [PubMed]
- Papatriantafyllou, M. Downregulation of invariant chain causes autoreactive T cell expansion. Nat. Rev. Rheumatol. 2024, 20, 668. [Google Scholar] [CrossRef] [PubMed]
- Taylor, P.C.; Kavanaugh, A.; Nash, P.; Pope, J.; Pongratz, G.; Fautrel, B.; Alten, R.; Hasegawa, K.; Rao, S.; de Vries, D.; et al. Impact of filgotinib on pain control in the phase 3 FINCH studies. RMD Open 2024, 10, e003839. [Google Scholar] [CrossRef]




| Age, years | 62 ± 13 |
| Female gender, n (%) | 63 (76.8) |
| Disease duration, years | 13 ± 9 |
| BMI category | |
| Underweight, n (%) | 4 (4.9) |
| Normal weight, n (%) | 25 (30.5) |
| Overweight, n (%) | 38 (46.3) |
| Obesity, n (%) | 15 (18.3) |
| Smoking | |
| Current smoker, n (%) | 12 (14.6) |
| Former smoker, n (%) | 7 (8.5) |
| History of ASCVD, n (%) | 4 (4.9) |
| Type 2 diabetes, n (%) | 12 (14.6) |
| High blood pressure, n (%) | 43 (52.4) |
| Dyslipidemia, n (%) | 28 (34.1) |
| RF positive, n (%) | 59 (72.0) |
| ACPA positive, n (%) | 50 (61.0) |
| bDMARDs failure, n (%) | 50 (61.0) |
| N° of previous bDMARDs, n [range] | 1 [1–6] |
| Received three or more bDMARDs, n (%) | 18 (22) |
| JAKi failure, n (%) | 11 (13.4) |
| Current treatment with steroids | |
| ≤5 mg/d prednisone-equivalent, n (%) | 34 (41.5) |
| >5 mg/d prednisone-equivalent, n (%) | 10 (12.2) |
| FIL monotherapy, n (%) | 57 (69.5) |
| MTX combination therapy, n (%) | 24 (29.3) |
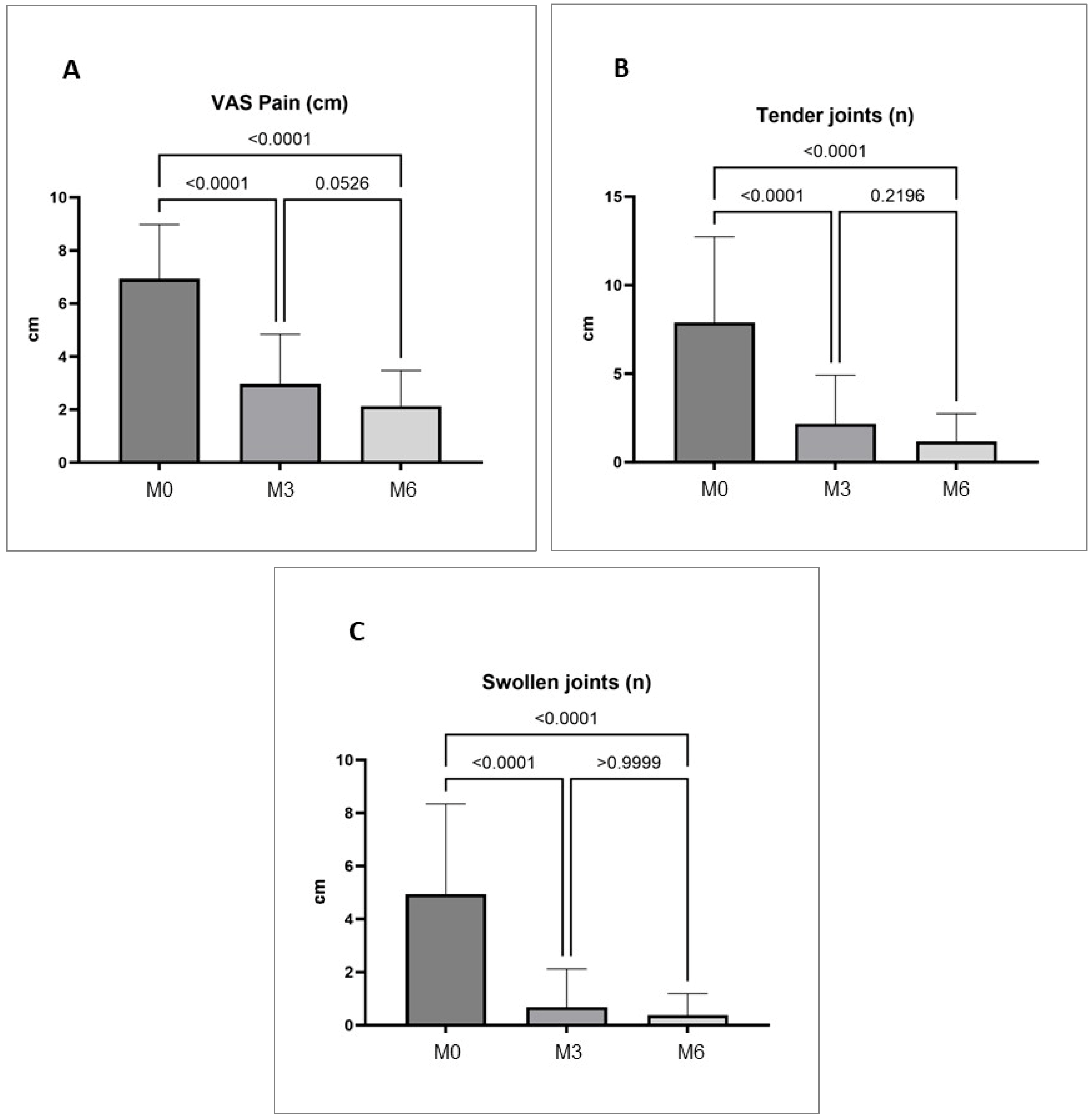
| M0 (n = 82) | M3 (n = 82) | M6 (n = 68) | p Value M0 vs. M3 | p Value M0 vs. M6 | p Value M3 vs. M6 | |
|---|---|---|---|---|---|---|
| VAS pain, mm | 7 ± 2 | 3 ± 2 | 2 ± 1 | <0.0001 | <0.0001 | 0.05 |
| Tender joints, n | 8 ± 5 | 2 ± 3 | 1 ± 2 | <0.0001 | <0.0001 | 0.22 |
| Swollen joints, n | 5 ± 3 | 1 ± 1 | 0 ± 1 | <0.0001 | <0.0001 | >0.99 |
| DAS28-CRP categories | ||||||
| Remission, n (%) | 0.0 (0.0) | 38 (46.3) | 45 (66.2) | <0.0001 | <0.0001 | 0.021 |
| Low disease activity, n (%) | 13 (15.9) | 31 (37.8) | 15 (22.1) | 0.002 | 0.40 | 0.05 |
| Moderate disease activity, n (%) | 37 (45.1) | 10 (12.2) | 8 (11.8) | <0.0001 | <0.0001 | >0.99 |
| High disease activity, n (%) | 32 (39.0) | 3 (3.7) | 0 (0.0) | <0.0001 | <0.0001 | 0.25 |
| SDAI categories | ||||||
| Remission, n (%) | 0 (0.0) | 18 (22.0) | 36 (52.9) | <0.0001 | <0.001 | 0.0001 |
| Low disease activity, n (%) | 7 (8.5) | 37 (45.1) | 15 (22.1) | <0.0001 | 0.022 | 0.003 |
| Moderate disease activity, n (%) | 33 (40.2) | 23 (28.0) | 15 (22.1) | 0.138 | 0.02 | 0.45 |
| High disease activity, n (%) | 42 (51.2) | 4 (4.9) | 1 (1.5) | <0.0001 | <0.0001 | 0.38 |
Disclaimer/Publisher’s Note: The statements, opinions and data contained in all publications are solely those of the individual author(s) and contributor(s) and not of MDPI and/or the editor(s). MDPI and/or the editor(s) disclaim responsibility for any injury to people or property resulting from any ideas, methods, instructions or products referred to in the content. |
© 2024 by the authors. Licensee MDPI, Basel, Switzerland. This article is an open access article distributed under the terms and conditions of the Creative Commons Attribution (CC BY) license (https://creativecommons.org/licenses/by/4.0/).
Share and Cite
Raimondo, V.; Caminiti, M.; Olivo, D.; Gigliotti, P.; L’Andolina, M.; Muto, P.; Pellegrini, R.; Varcasia, G.; Bruno, C.; Massaro, L.; et al. Real-Life Use of Filgotinib in Rheumatoid Arthritis: A Retrospective Cohort Study. J. Clin. Med. 2024, 13, 7185. https://doi.org/10.3390/jcm13237185
Raimondo V, Caminiti M, Olivo D, Gigliotti P, L’Andolina M, Muto P, Pellegrini R, Varcasia G, Bruno C, Massaro L, et al. Real-Life Use of Filgotinib in Rheumatoid Arthritis: A Retrospective Cohort Study. Journal of Clinical Medicine. 2024; 13(23):7185. https://doi.org/10.3390/jcm13237185
Chicago/Turabian StyleRaimondo, Vincenzo, Maurizio Caminiti, Domenico Olivo, Pietro Gigliotti, Massimo L’Andolina, Pietro Muto, Roberta Pellegrini, Giuseppe Varcasia, Caterina Bruno, Laura Massaro, and et al. 2024. "Real-Life Use of Filgotinib in Rheumatoid Arthritis: A Retrospective Cohort Study" Journal of Clinical Medicine 13, no. 23: 7185. https://doi.org/10.3390/jcm13237185
APA StyleRaimondo, V., Caminiti, M., Olivo, D., Gigliotti, P., L’Andolina, M., Muto, P., Pellegrini, R., Varcasia, G., Bruno, C., Massaro, L., Pagano Mariano, G., Luppino, J. M. E., Cirillo, M., Caira, V., Calabria, M., Ciaffi, J., Ferri, C., & Ursini, F. (2024). Real-Life Use of Filgotinib in Rheumatoid Arthritis: A Retrospective Cohort Study. Journal of Clinical Medicine, 13(23), 7185. https://doi.org/10.3390/jcm13237185

