Longitudinal Changes in Factors Associated with Walking Independence at Hospital Discharge in Patients with Stroke: A Retrospective Study
Abstract
1. Introduction
2. Materials and Methods
2.1. Participants
2.2. Ethics Declarations
2.3. Clinical Assessments
2.4. Statistical Analysis
3. Results
3.1. Characteristics of Participants
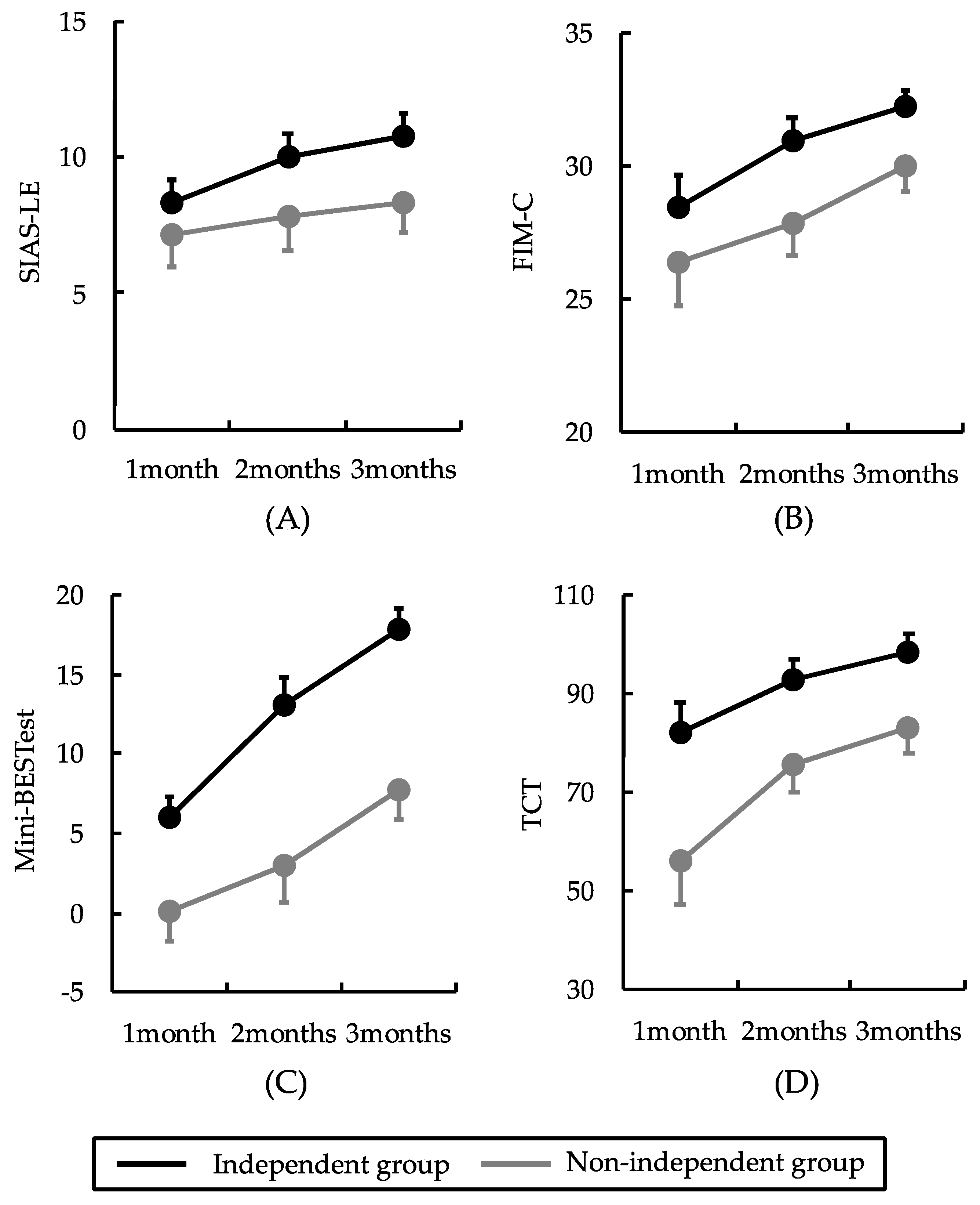
3.2. Results of Two-Factor Analysis of Variance
3.3. Results of the Logistic Regression Analysis
4. Discussion
4.1. Temporal Changes in Physical Function in Patients with Stroke and Comparisons of the Independent and Non-Independent Groups
4.2. Factors Associated with Walking Independence at Hospital Discharge
4.3. Limitations
5. Conclusions
Author Contributions
Funding
Institutional Review Board Statement
Informed Consent Statement
Data Availability Statement
Acknowledgments
Conflicts of Interest
References
- Kouao, M.; Maki, Y.; Goda, A.; Uchida, K.; Ogawa, S.; Matsui, T.; Hidemura, N.; Adachi, T. The clinical variables predicting the acquisition of independent ambulation in the acute phase of stroke: A retrospective study. Geriatrics 2023, 8, 80. [Google Scholar] [CrossRef] [PubMed]
- Lopes, P.G.; Lopes, J.A.; Brito, C.M.; Alfieri, F.M.; Rizzo Battistella, L. Relationships of balance, gait performance, and functional outcome in chronic stroke patients: A comparison of left and right lesions. Biomed. Res. Int. 2015, 2015, 716042. [Google Scholar] [CrossRef]
- Menezes-Oliveira, E.; da Silva Matuti, G.; de Oliveira, C.B.; de Freitas, S.F.; Kawamura, C.M.; Lopes, J.A.F.; Arida, R.M. Effects of lower extremity constraint-induced movement therapy on gait and balance of chronic hemiparetic patients after stroke: Description of a study protocol for a randomized controlled clinical trial. Trials 2021, 22, 463. [Google Scholar] [CrossRef]
- Miller, E.L.; Murray, L.; Richards, L.; Zorowitz, R.D.; Bakas, T.; Clark, P.; Billinger, S.A.; American Heart Association Council on Cardiovascular Nursing and the Stroke Council. Comprehensive overview of the stroke patient’s nursing and interdisciplinary rehabilitation care: A scientific statement from the American Heart Association. Stroke 2010, 41, 2402–2448. [Google Scholar] [CrossRef]
- Belda-Lois, J.M.; Mena-del Horno, S.; Bermejo-Bosch, I.; Moreno, J.C.; Pons, J.L.; Farina, D.; Iosa, M.; Molinari, M.; Tamburella, F.; Ramos, A.; et al. Rehabilitation of gait after stroke: A review towards a top-down approach. J. Neuroeng. Rehabil. 2011, 8, 66. [Google Scholar] [CrossRef]
- Wei, T.S.; Liu, P.T.; Chang, L.W.; Liu, S.Y. Gait asymmetry, ankle spasticity, and depression as independent predictors of falls in ambulatory stroke patients. PLoS ONE 2017, 12, e0177136. [Google Scholar] [CrossRef]
- Miyazaki, Y.; Kawakami, M.; Kondo, K.; Tsujikawa, M.; Honaga, K.; Suzuki, K.; Tsuji, T. Comparing the contribution of each clinical indicator in predictive models trained on 980 subacute stroke patients: A retrospective study. Sci. Rep. 2023, 13, 12324. [Google Scholar] [CrossRef]
- Paolucci, S.; Bragoni, M.; Coiro, P.; De Angelis, D.; Fusco, F.R.; Morelli, D.; Venturiero, V.; Pratesi, L. Quantification of the probability of reaching mobility independence at discharge from a rehabilitation hospital in nonwalking early ischemic stroke patients: A multivariate study. Cerebrovasc. Dis. 2008, 26, 16–22. [Google Scholar] [CrossRef]
- Preston, E.; Ada, L.; Dean, C.M.; Stanton, R.; Waddington, G. What is the probability of nonambulatory patients regaining independent walking after stroke? A systematic review. Int. J. Stroke 2011, 6, 531–540. [Google Scholar] [CrossRef]
- Ishiwatari, M.; Tani, M.; Isayama, R.; Honaga, K.; Hayakawa, M.; Takakura, T.; Tanuma, A.; Kurosu, A.; Hatori, K.; Wada, F.; et al. Prediction of gait independence using the Trunk Impairment Scale in patients with acute stroke. Ther. Adv. Neurol. Disord. 2022, 15, 17562864221140180. [Google Scholar] [CrossRef]
- Jenkin, J.; Parkinson, S.; Jacques, A.; Kho, L.; Hill, K. Berg Balance Scale score as a predictor of independent walking at discharge among adult stroke survivors. Physiother. Can. 2021, 73, 252–256. [Google Scholar] [CrossRef] [PubMed]
- Kong, K.H.; Ratha Krishnan, R. Truncal impairment after stroke: Clinical correlates, outcome and impact on ambulatory and functional outcomes after rehabilitation. Singap. Med. J. 2021, 62, 87–91. [Google Scholar] [CrossRef] [PubMed]
- Louie, D.R.; Eng, J.J. Berg Balance Scale score at admission can predict walking suitable for community ambulation at discharge from inpatient stroke rehabilitation. J. Rehabil. Med. 2018, 50, 37–44. [Google Scholar] [CrossRef] [PubMed]
- Madhavan, S.; Bishnoi, A. Comparison of the Mini-Balance Evaluations Systems Test with the Berg Balance Scale related to walking speed and motor recovery post-stroke. Top. Stroke Rehabil. 2017, 24, 579–584. [Google Scholar] [CrossRef]
- Lee, K.B.; Lim, S.H.; Kim, K.H.; Kim, K.J.; Kim, Y.R.; Chang, W.N.; Yeom, J.W.; Kim, Y.D.; Hwang, B.Y. Six-month functional recovery of stroke patients: A multi-time-point study. Int. J. Rehabil. Res. 2015, 8, 173–180. [Google Scholar] [CrossRef]
- Chang, K.W.; Lin, C.M.; Yen, C.W.; Yang, C.C.; Tanaka, T.; Guo, L.Y. The effect of walking backward on a treadmill on balance, speed of walking and cardiopulmonary fitness for patients with chronic stroke: A pilot study. Int. J. Environ. Res. Public Health 2021, 18, 2376. [Google Scholar] [CrossRef]
- Sakurai, H.; Sugiura, Y.; Motoya, I.; Kawamura, T.; Okanisi, T.; Kanada, Y. The validity of FIM as a predictor of functional independence of stroke patients: A comparison between the early and late elderly. J. Phys. Ther. Sci. 2012, 24, 321–329. [Google Scholar] [CrossRef][Green Version]
- Mehrholz, J.; Wagner, K.; Rutte, K.; Meissner, D.; Pohl, M. Predictive validity and responsiveness of the functional ambulation category in hemiparetic patients after stroke. Arch. Phys. Med. Rehabil. 2007, 88, 1314–1319. [Google Scholar] [CrossRef]
- Yoo, Y.J.; Lim, S.H. Assessment of lower limb motor function, ambulation, and balance after stroke. Brain Neurorehabil. 2022, 15, e17. [Google Scholar] [CrossRef]
- Sato, A.; Okuda, Y.; Fujita, T.; Kimura, N.; Hoshina, N.; Kato, S.; Tanaka, S. Cognitive and physical functions related to the level of supervision and dependence in the toileting of stroke patients. Phys. Ther. Res. 2016, 19, 32–38. [Google Scholar] [CrossRef]
- Liao, L.Y.; He, X.H.; Li, X.Z.; Ge, Y.L.; Gao, Q. Effects of kinesiology taping on trunk function, balance, and mobility in stroke patients: A pilot feasibility study. J. Phys. Ther. Sci. 2020, 32, 359–364. [Google Scholar] [CrossRef] [PubMed]
- Miyata, K.; Hasegawa, S.; Iwamoto, H.; Otani, T.; Kaizu, Y.; Shinohara, T.; Usuda, S. Comparing the measurement properties and relationship to gait speed recovery of the Mini-Balance Evaluation Systems Test and the Berg Balance Scale in ambulatory individuals with subacute stroke. Phys. Ther. Res. 2020, 23, 72–78. [Google Scholar] [CrossRef] [PubMed]
- Otaka, E.; Otaka, Y.; Morita, M.; Yokoyama, A.; Kondo, T.; Liu, M. Validation of the Japanese Version of the Mini-Balance Evaluation Systems Test (Mini-BESTest). Jpn. J. Rehabil. Med. 2014, 51, 565–573. [Google Scholar] [CrossRef]
- Gialanella, B.; Santoro, R.; Ferlucci, C. Predicting outcome after stroke: The role of basic activities of daily living predicting outcome after stroke. Eur. J. Phys. Rehabil. Med. 2013, 49, 629–637. [Google Scholar]
- Cook, P.; Sunnerhagen, K.S.; Persson, H.C. Level of physical activity is positively correlated with perceived impact on life 12 months after stroke: A cross-sectional study. J. Rehabil. Med. 2020, 52, jrm00056. [Google Scholar] [CrossRef]
- Olsson, O.A.; Persson, H.C.; Alt Murphy, M.; Sunnerhagen, K.S. Early prediction of physical activity level 1 year after stroke: A longitudinal cohort study. BMJ Open 2017, 7, e016369. [Google Scholar] [CrossRef]
- Ishiwatari, M.; Honaga, K.; Tanuma, A.; Takakura, T.; Hatori, K.; Kurosu, A.; Fujiwara, T. Trunk impairment as a predictor of activities of daily living in acute stroke. Front. Neurol. 2021, 12, 665592. [Google Scholar] [CrossRef]
- Alomari, R.A.; BinMulayh, E.A.; Alqarni, A.M.; Alsobhi, M.; Chevidikunnan, M.F.; Basuodan, R.; Khan, F. Trunk control and acute-phase multifactorial predictors of community mobility after stroke: A longitudinal observational study. Front. Neurol. 2024, 15, 1376444. [Google Scholar] [CrossRef]
- Buvarp, D.; Rafsten, L.; Abzhandadze, T.; Sunnerhagen, K.S. A cohort study on longitudinal changes in postural balance during the first year after stroke. BMC Neurol. 2022, 22, 324. [Google Scholar] [CrossRef]
- Godi, M.; Franchignoni, F.; Caligari, M.; Giordano, A.; Turcato, A.M.; Nardone, A. Comparison of reliability, validity, and responsiveness of the mini-BESTest and Berg Balance Scale in patients with balance disorders. Phys. Ther. 2013, 93, 158–167. [Google Scholar] [CrossRef]
- Dong, Y.; Ding, M.; Cui, M.; Fang, M.; Gong, L.; Xu, Z.; Zhang, Y.; Wang, X.; Xu, X.; Liu, X.; et al. Development and validation of a clinical model (DREAM-LDL) for post-stroke cognitive impairment at 6 months. Aging 2021, 13, 21628–21641. [Google Scholar] [CrossRef] [PubMed]
- Zhu, Y.; Zhao, S.; Fan, Z.; Li, Z.; He, F.; Lin, C.; Topatana, W.; Yan, Y.; Liu, Z.; Chen, Y.; et al. Evaluation of the Mini-Mental State Examination and the Montreal Cognitive Assessment for predicting post-stroke cognitive impairment during the acute phase in Chinese minor stroke patients. Front. Aging Neurosci. 2020, 12, 236. [Google Scholar] [CrossRef] [PubMed]
- Boutros, C.F.; Khazaal, W.; Taliani, M.; Sadier, N.S.; Salameh, P.; Hosseini, H. Factors associated with cognitive impairment at 3, 6, and 12 months after the first stroke among Lebanese survivors. Brain Behav. 2023, 13, e2837. [Google Scholar] [CrossRef] [PubMed]
- Oyama, C.; Otaka, Y.; Onitsuka, K.; Takagi, H.; Tan, E.; Otaka, E. Reliability and validity of the Japanese version of the Mini-balance Evaluation Systems Test in patients with subacute stroke. Prog. Rehabil. Med. 2018, 3, 20180015. [Google Scholar] [CrossRef] [PubMed]
- Tsang, C.S.; Liao, L.R.; Chung, R.C.; Pang, M.Y. Psychometric properties of the Mini-Balance Evaluation Systems Test (Mini-BESTest) in community-dwelling individuals with chronic stroke. Phys. Ther. 2013, 93, 1102–1115. [Google Scholar] [CrossRef]
- Chinsongkram, B.; Chaikeeree, N.; Saengsirisuwan, V.; Horak, F.B.; Boonsinsukh, R. Responsiveness of the Balance Evaluation Systems Test (BESTest) in people with subacute stroke. Phys. Ther. 2016, 96, 1638–1647. [Google Scholar] [CrossRef]
- Zeiler, S.R.; Krakauer, J.W. The interaction between training and plasticity in the poststroke brain. Curr. Opin. Neurol. 2013, 26, 609–616. [Google Scholar] [CrossRef]
- Kollen, B.; van de Port, I.; Lindeman, E.; Twisk, J.; Kwakkel, G. Predicting improvement in gait after stroke: A longitudinal prospective study. Stroke 2005, 36, 2676–2680. [Google Scholar] [CrossRef]


| All (n = 27) | Independent (n = 18) | Non-Independent (n = 9) | p-Value | ||||
|---|---|---|---|---|---|---|---|
| Mean | SD | Mean | SD | Mean | SD | ||
| Age (years) | 71.74 | 8.37 | 71.17 | 8.55 | 72.89 | 8.39 | 0.62 |
| Height (cm) | 156.87 | 9.27 | 158.08 | 9.75 | 154.44 | 8.23 | 0.35 |
| Body weight (kg) | 52.96 | 8.66 | 53.38 | 8.65 | 52.11 | 9.15 | 0.73 |
| Length of hospital stay (days) | 128.56 | 5.35 | 121.11 | 23.81 | 138.88 | 29.18 | 0.12 |
| Sex: male/female (n) | 12/15 | 9/9 | 3/6 | 0.68 | |||
| Stroke type: ischemic/hemorrhagic (n) | 19/8 | 14/4 | 5/4 | 0.38 | |||
| FAC at hospital discharge (n) | <0.01 | ||||||
| 0 1 2 3 4 5 | 0 1 3 5 10 8 | 0 0 0 0 10 8 | 0 1 3 5 0 0 | ||||
| 1 Month | 2 Months | 3 Months | Interaction Effect Time × Group | Main Effect Time | Main Effect Group | Post Hoc Test | ||||||||
|---|---|---|---|---|---|---|---|---|---|---|---|---|---|---|
| Mean | SD | Mean | SD | Mean | SD | F Value | p-Value | F Value | p-Value | F Value | p-Value | Time | Group | |
| SIAS-LE | ||||||||||||||
| Independent | 8.33 | 3.48 | 10.00 | 3.38 | 10.78 | 3.14 | 1.62 | 0.21 | 13.18 | <0.01 | 2.02 | 0.17 | 1 < 2 < 3 m | |
| Non-independent | 7.11 | 3.62 | 7.78 | 4.15 | 8.33 | 3.97 | ||||||||
| TCT | ||||||||||||||
| Independent | 81.94 | 23.17 | 92.72 | 12.93 | 98.39 | 4.72 | 1.42 | 0.25 | 22.17 | <0.01 | 7.23 | 0.01 | 1 < 2 < 3 m | Non-independent < Independent |
| Non-independent | 56.00 | 32.00 | 75.67 | 23.28 | 82.89 | 26.24 | ||||||||
| Mini-BESTest | ||||||||||||||
| Independent | 6.00 | 7.10 | 13.11 | 7.71 | 17.83 | 4.05 | 1.43 | 0.25 | 23.22 | <0.01 | 20.03 | <0.01 | 1 < 2 < 3 m | Non-independent < Independent |
| Non-independent | 0.11 | 0.33 | 3.00 | 5.87 | 7.78 | 7.90 | ||||||||
| FIM-C | ||||||||||||||
| Independent | 28.50 | 5.19 | 30.94 | 3.04 | 32.33 | 2.26 | 0.39 | 0.69 | 17.90 | <0.01 | 2.91 | 0.10 | 1 < 2 < 3 m | |
| Non-independent | 26.44 | 4.67 | 27.89 | 4.59 | 30.00 | 3.57 | ||||||||
| B | SE | Wald | df | p-Value | Exp(B) | 95% CI | ||
|---|---|---|---|---|---|---|---|---|
| Lower | Upper | |||||||
| Mini-BESTest | 0.58 | 0.54 | 1.13 | 1.00 | 0.29 | 1.78 | 0.62 | 5.13 |
| B | SE | Wald | df | p-Value | Exp(B) | 95% CI | ||
|---|---|---|---|---|---|---|---|---|
| Lower | Upper | |||||||
| Mini-BESTest | 0.19 | 0.08 | 6.58 | 1.00 | 0.01 | 1.21 | 1.05 | 1.41 |
| B | SE | Wald | df | p-Value | Exp(B) | 95% CI | ||
|---|---|---|---|---|---|---|---|---|
| Lower | Upper | |||||||
| Mini-BESTest | 0.29 | 0.11 | 6.22 | 1.00 | 0.01 | 1.33 | 1.06 | 1.66 |
Disclaimer/Publisher’s Note: The statements, opinions and data contained in all publications are solely those of the individual author(s) and contributor(s) and not of MDPI and/or the editor(s). MDPI and/or the editor(s) disclaim responsibility for any injury to people or property resulting from any ideas, methods, instructions or products referred to in the content. |
© 2024 by the authors. Licensee MDPI, Basel, Switzerland. This article is an open access article distributed under the terms and conditions of the Creative Commons Attribution (CC BY) license (https://creativecommons.org/licenses/by/4.0/).
Share and Cite
Yamamoto, R.; Murata, S.; Sawai, S.; Fujikawa, S.; Shizuka, Y.; Maru, T.; Nakagawa, K.; Nakano, H. Longitudinal Changes in Factors Associated with Walking Independence at Hospital Discharge in Patients with Stroke: A Retrospective Study. J. Clin. Med. 2024, 13, 7184. https://doi.org/10.3390/jcm13237184
Yamamoto R, Murata S, Sawai S, Fujikawa S, Shizuka Y, Maru T, Nakagawa K, Nakano H. Longitudinal Changes in Factors Associated with Walking Independence at Hospital Discharge in Patients with Stroke: A Retrospective Study. Journal of Clinical Medicine. 2024; 13(23):7184. https://doi.org/10.3390/jcm13237184
Chicago/Turabian StyleYamamoto, Ryosuke, Shin Murata, Shun Sawai, Shoya Fujikawa, Yusuke Shizuka, Takayuki Maru, Kotaro Nakagawa, and Hideki Nakano. 2024. "Longitudinal Changes in Factors Associated with Walking Independence at Hospital Discharge in Patients with Stroke: A Retrospective Study" Journal of Clinical Medicine 13, no. 23: 7184. https://doi.org/10.3390/jcm13237184
APA StyleYamamoto, R., Murata, S., Sawai, S., Fujikawa, S., Shizuka, Y., Maru, T., Nakagawa, K., & Nakano, H. (2024). Longitudinal Changes in Factors Associated with Walking Independence at Hospital Discharge in Patients with Stroke: A Retrospective Study. Journal of Clinical Medicine, 13(23), 7184. https://doi.org/10.3390/jcm13237184

