Myeloproliferative Neoplasms: Challenging Dogma
Abstract
1. Introduction
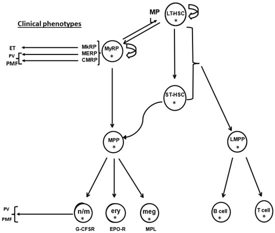
2. Hematopoietic Stem Cell Physiology

3. Phenotypic Mimicry and MPN Diagnosis
3.1. Blood Volume Physiology
3.2. PV Diagnostic Criteria
3.3. Natural History of PV
3.4. Role of Age
3.5. Role of Sex
4. Role of MPN Gene Mutations
4.1. MPN Driver Mutations, MPL, and MPN Disease Behavior
4.2. JAK2 Mutations
4.3. MPL, MPL, and CALR Mutations
4.4. The Management of PV
5. Myelofibrosis
Transformation to Acute Myelogenous Leukemia
6. Going Forward
Funding
Acknowledgments
Conflicts of Interest
Glossary
| ARCH | Age-related clonal hematopoiesis is an accelerated version of CHIP, occurring after the age of 60 years. |
| ACVR1 | Activin A Receptor Type 1, also known as ALK-2, is a member of the BMP/TGF-β receptor family. |
| CHIP | Clonal hematopoiesis with an indeterminate potential is a syndrome characterized by the acquisition of gene mutations by hematopoietic stem cells (HSCs) as they age, with a MAB of ≥2%. Most of these mutations are not potentially deleterious, but a few are, including DNM3Ta, ASXL1, TP53, TET2, and JAK2 V617F. |
| Contiguous gene syndrome | Contiguous gene syndrome (CGS) is a de novo or treatment-related genetic disorder in which chromosomal copy number changes involving multiple neighboring genes occur, causing del(5q) or –7/del(7q) or complex karyotypes with an adverse prognosis. |
| Erythremia | An archaic term for polycythemia vera. |
| Genotype | The genetic basis for phenotype. |
| Homologous recombination | A mechanism for exchanging genes between similar DNA molecules. |
| Latency | The time between a biologic change, such as the acquisition of a gene mutation, and the phenotypic expression of that mutation. |
| LOH | Loss of heterozygosity occurs when a single allele or a larger segment of DNA is lost from a normal chromosome by one of several mechanisms, including gene mutation, deletion, or mitotic recombination, and most commonly in MPNs by uniparental disomy (UPD). |
| MAB | Mutation allele burden, also known as the VAF, or variant allele fraction, is the percentage of chromosomes in a cell that carries a particular gene mutation. Either one allele (heterozygosity for the mutation) or both alleles of the gene (homozygosity for the mutation) can be involved. |
| Newtonian fluid | A fluid whose shear stress from flow is linearly correlated with its rate of change in deformation over time. |
| Next-generation sequencing | Massive, parallel DNA sequencing, also known as NGS, allows the interrogation of the human genome accurately and rapidly to detect gene mutations. |
| Nitric oxide scavenging | When nitric oxide in the blood stream is bound by either free hemoglobin or red cells, vasoconstriction and increased platelet adherence to the vascular endothelium occur. |
| Non-Newtonian fluid | The behavior of a fluid that deviates from Newton’s law of viscosity. As an example, blood is more viscous when flowing slowly than when it is flowing rapidly. |
| Pagophagia | A form of Pica in which disordered gustatory behavior focuses on eating ice. |
| Phenotype | The observable features of an individual. |
| Penetration | The extent to which a genetic change is expressed. |
| Phenotypic mimicry | When appearance is clinically deceiving, which is a particular problem with MPNs, where the same mutation causes two or three different disease phenotypes. |
| Reactive oxygen species | Reactive oxygen species, such as superoxide, singlet oxygen, hydroperoxide, or hydroxyl radicals, are unstable and can damage DNA, RNA, or proteins. |
| Ribonucleotide reductase | This enzyme catalyzes the reduction in ribonucleotides to deoxyribonucleotides for use in DNA synthesis. It is a target for hydroxyurea, which destroys its tyrosyl free radical. |
| JAK2 pseudokinase domain | This is a region of the JAK2 protein that lacks the necessary residues to be a kinase, but can act as an inhibitor of the protein’s tyrosine kinase domain. |
| Uniparental disomy | Acquired uniparental disomy (UPD), a common feature of PV, is a mitotic recombination resulting in an exchange of genes inherited from one parent on the same segment of one of two homologous chromosomes, causing the copy neutral loss of heterozygosity that is undetectable by cytogenetics. |
References
- Spivak, J.L. Myeloproliferative Neoplasms. N. Engl. J. Med. 2017, 376, 2168–2181. [Google Scholar] [CrossRef] [PubMed]
- Theocharides, A.; Boissinot, M.; Girodon, F.; Garand, R.; Teo, S.-S.; Lippert, E.; Talmant, P.; Tichelli, A.; Hermouet, S.; Skoda, R.C. Leukemic blasts in transformed JAK2-V617F-positive myeloproliferative disorders are frequently negative for the JAK2-V617F mutation. Blood 2007, 110, 375–379. [Google Scholar] [CrossRef] [PubMed]
- Moliterno, A.R.; Williams, D.M.; Rogers, O.; Spivak, J.L. Molecular mimicry in the chronic myeloproliferative disorders: Reciprocity between quantitative JAK2 V617F and Mpl expression. Blood 2006, 108, 3913–3915. [Google Scholar] [CrossRef]
- Williams, D.M.; Kim, A.H.; Rogers, O.; Spivak, J.L.; Moliterno, A.R. Phenotypic variations and new mutations in JAK2 V617F-negative polycythemia vera, erythrocytosis, and idiopathic myelofibrosis. Exp. Hematol. 2007, 35, 1641–1646. [Google Scholar] [CrossRef]
- Feenstra, J.D.M.; Nivarthi, H.; Gisslinger, H.; Leroy, E.; Rumi, E.; Chachoua, I.; Bagienski, K.; Kubesova, B.; Pietra, D.; Gisslinger, B.; et al. Whole-exome sequencing identifies novel MPL and JAK2 mutations in triple-negative myeloproliferative neoplasms. Blood 2016, 127, 325–332. [Google Scholar] [CrossRef]
- Cabagnols, X.; Favale, F.; Pasquier, F.; Messaoudi, K.; Defour, J.P.; Ianotto, J.C.; Marzac, C.; Le Couédic, J.P.; Droin, N.; Chachoua, I.; et al. Presence of atypical thrombopoietin receptor (MPL) mutations in triple-negative essential thrombocythemia patients. Blood 2016, 127, 333–342. [Google Scholar] [CrossRef]
- Borsani, O.; Pietra, D.; Casetti, I.C.; Vanni, D.; Riccaboni, G.; Catricalà, S.; Bossi, G.; Arcaini, L.; Rumi, E. Germline MPL mutations may be a rare cause of “triple-negative” thrombocytosis. Exp. Hematol. 2024, 129, 104127. [Google Scholar] [CrossRef] [PubMed]
- Yamamoto, R.; Morita, Y.; Ooehara, J.; Hamanaka, S.; Onodera, M.; Rudolph, K.L.; Ema, H.; Nakauchi, H. Clonal analysis unveils self-renewing lineage-restricted progenitors generated directly from hematopoietic stem cells. Cell 2013, 154, 1112–1126. [Google Scholar] [CrossRef]
- Yamamoto, R.; Wilkinson, A.C.; Ooehara, J.; Lan, X.; Lai, C.-Y.; Nakauchi, Y.; Pritchard, J.K.; Nakauchi, H. Large-Scale Clonal Analysis Resolves Aging of the Mouse Hematopoietic Stem Cell Compartment. Cell Stem Cell 2018, 22, 600–607.e4. [Google Scholar] [CrossRef]
- Sanjuan-Pla, A.; Macaulay, I.C.; Jensen, C.T.; Woll, P.S.; Luis, T.C.; Mead, A.; Moore, S.; Carella, C.; Matsuoka, S.; Jones, T.B.; et al. Platelet-biased stem cells reside at the apex of the haematopoietic stem-cell hierarchy. Nature 2013, 502, 232–236. [Google Scholar] [CrossRef]
- Yoshihara, H.; Arai, F.; Hosokawa, K.; Hagiwara, T.; Takubo, K.; Nakamura, Y.; Gomei, Y.; Iwasaki, H.; Matsuoka, S.; Miyamoto, K.; et al. Thrombopoietin/MPL signaling regulates hematopoietic stem cell quiescence and interaction with the osteoblastic niche. Cell Stem Cell 2007, 1, 685–697. [Google Scholar] [CrossRef] [PubMed]
- Shimoda, K.; Feng, J.; Murakami, H.; Nagata, S.; Watling, D.; Rogers, N.C.; Stark, G.R.; Kerr, I.M.; Ihle, J.N. Jak1 plays an essential role for receptor phosphorylation and Stat activation in response to granulocyte colony-stimulating factor. Blood 1997, 90, 597–604. [Google Scholar] [CrossRef]
- Spivak, J.L. Narrative review: Thrombocytosis, polycythemia vera, and JAK2 mutations: The phenotypic mimicry of chronic myeloproliferation. Ann. Intern. Med. 2010, 152, 300–306. [Google Scholar] [CrossRef]
- Yamamoto, R.; Wilkinson, A.C.; Nakauchi, H. Changing concepts in hematopoietic stem cells. Science 2018, 362, 895–896. [Google Scholar] [CrossRef]
- Bruns, I.; Lucas, D.; Pinho, S.; Ahmed, J.; Lambert, M.P.; Kunisaki, Y.; Scheiermann, C.; Schiff, L.; Poncz, M.; Bergman, A.; et al. Megakaryocytes regulate hematopoietic stem cell quiescence through CXCL4 secretion. Nat. Med. 2014, 20, 1315–1320. [Google Scholar] [CrossRef] [PubMed]
- Marchioli, R.; Finazzi, G.; Landolfi, R.; Kutti, J.; Gisslinger, H.; Patrono, C.; Marilus, R.; Villegas, A.; Tognoni, G.; Barbui, T. Vascular and neoplastic risk in a large cohort of patients with polycythemia vera. J. Clin. Oncol. 2005, 23, 2224–2232. [Google Scholar] [CrossRef] [PubMed]
- Sanchez, C.; Merino, C.; Figallo, M. Simultaneous measurement of plasma volume and cell mass in polycythemia of high altitude. J. Appl. Physiol. 1970, 28, 775–778. [Google Scholar] [CrossRef][Green Version]
- Lamy, T.; Devillers, A.; Bernard, M.; Moisan, A.; Grulois, I.; Drenou, B.; Amiot, L.; Fauchet, R.; Le Prise, P. Inapparent polycythemia vera: An unrecognized diagnosis. Am. J. Med. 1997, 102, 14–20. [Google Scholar] [CrossRef]
- Krecak, I.; Lekovic, D.; Bogdanovic, A.; Lucijanic, M. High red cell mass and high plasma volume are independently associated with thrombotic risk in polycythemia vera. Leuk. Lymphoma 2024, 1–5. [Google Scholar] [CrossRef]
- Berson, S.A.; Yalow, R.S. The use of K42 or P32 labeled erythrocytes and I131 tagged human serum albumin in simultaneous blood volume determinations. J. Clin. Investig. 1952, 31, 572–580. [Google Scholar] [CrossRef]
- Gibson, J.G., II; Seligman, A.M.; Peacock, W.C.; Aub, J.C.; Fine, J.; Evans, R.D. The distribution of red cells and plasma in large and minute vessels of the normal dog, determined by radioactive isotopes of iron and iodine. J. Clin. Investig. 1946, 25, 848–857. [Google Scholar] [CrossRef] [PubMed]
- Retzlaff, J.A.; Tauxe, W.N.; Kiely, J.M.; Stroebel, C.F. Erythrocyte volume, plasma volume, and lean body mass in adult men and women. Blood 1969, 33, 649–661. [Google Scholar] [CrossRef]
- Pearson, T.C.; Botterill, C.A.; Glass, U.H.; Wetherley-Mein, G. Interpretation of measured red cell mass and plasma volume in males with elevated venous PCV values. Scand. J. Haematol. 1984, 33, 68–74. [Google Scholar] [CrossRef] [PubMed]
- Taylor, K.M.; Shetta, M.; Talpaz, M.; Schuringa, J.J.; van der Klauw, M.M.; van der Harst, P.; Diepstra, A.; Mulder, A.B.; Huls, G. Myeloproliferative disorders: Usefulness of X-linked probes in diagnosis. Leukemia 1989, 3, 419–422. [Google Scholar] [PubMed]
- Arber, D.A.; Orazi, A.; Hasserjian, R.; Thiele, J.; Borowitz, M.J.; Le Beau, M.M.; Bloomfield, C.D.; Cazzola, M.; Vardiman, J.W. The 2016 revision to the World Health Organization classification of myeloid neoplasms and acute leukemia. Blood 2016, 127, 2391–2405. [Google Scholar] [CrossRef]
- Parkes Weber, F. Polycythaemia vera, Erythrocytosis and Erythraemia. Q. J. Med. 1908, 2, 85–134. [Google Scholar]
- Bessman, J.D. Microcytic polycythemia. Frequency of nonthalassemic causes. JAMA 1977, 238, 2391–2392. [Google Scholar] [CrossRef]
- Conrad, M.E.; Crosby, W.H. The natural history of iron deficiency induced by phlebotomy. Blood 1962, 20, 173–185. [Google Scholar] [CrossRef]
- Finch, S.; Haskins, D.; Finch, C.A. Iron metabolism; hematopoiesis following phlebotomy; iron as a limiting factor. J. Clin. Investig. 1950, 29, 1078–1086. [Google Scholar] [CrossRef]
- Colaizzo, D.; Amitrano, L.; Iannaccone, L.; Vergura, P.; Cappucci, F.; Grandone, E.; Guardascione, M.A.; Margaglione, M. Gain-of-function gene mutations and venous thromboembolism: Distinct roles in different clinical settings. J. Med. Genet. 2007, 44, 412–416. [Google Scholar] [CrossRef]
- Reiter, C.D.; Wang, X.; Tanus-Santos, J.E.; Hogg, N.; Cannon, R.O.; Schechter, A.N.; Gladwin, M.T. Cell-free hemoglobin limits nitric oxide bioavailability in sickle-cell disease. Nat. Med. 2002, 8, 1383–1389. [Google Scholar] [CrossRef] [PubMed]
- Spivak, J.L. Polycythemia vera: Myths, mechanisms, and management. Blood 2002, 100, 4272–4290. [Google Scholar] [CrossRef]
- Spivak, J.L.; Silver, R.T. The revised World Health Organization diagnostic criteria for polycythemia vera, essential thrombocytosis, and primary myelofibrosis: An alternative proposal. Blood 2008, 112, 231–239. [Google Scholar] [CrossRef]
- Johansson, P.L.; Safai-Kutti, S.; Kutti, J. An elevated venous haemoglobin concentration cannot be used as a surrogate marker for absolute erythrocytosis: A study of patients with polycythaemia vera and apparent polycythaemia. Br. J. Haematol. 2005, 129, 701–705. [Google Scholar] [CrossRef] [PubMed]
- Silver, R.T.; Krichevsky, S. Distinguishing essential thrombocythemia JAK2V617F from polycythemia vera: Limitations of erythrocyte values. Haematologica 2019, 104, 2200–2205. [Google Scholar] [CrossRef]
- Berlin, N.I. Diagnosis and classification of the polycythemias. Semin. Hematol. 1975, 12, 339–351. [Google Scholar]
- Wouters, H.; Mulder, R.; van Zeventer, I.A.; Schuringa, J.J.; van der Klauw, M.M.; van der Harst, P.; Diepstra, A.; Mulder, A.B.; Huls, G. Erythrocytosis in the general population: Clinical characteristics and association with clonal hematopoiesis. Blood Adv. 2020, 4, 6353–6363. [Google Scholar] [CrossRef]
- Janssen, J.W.; Anger, B.R.; Drexler, H.G.; Bartram, C.R.; Heimpel, H. Essential thrombocythemia in two sisters originating from different stem cell levels. Blood 1990, 75, 1633–1636. [Google Scholar] [CrossRef] [PubMed]
- Maslah, N.; Soret, J.; Dosquet, C.; Vercellino, L.; Belkhodja, C.; Schlageter, M.-H.; Cassinat, B.; Kiladjian, J.-J.; Chomienne, C.; Giraudier, S. Masked polycythemia vera: Analysis of a single center cohort of 2480 red cell masses. Haematologica 2020, 105, e95–e97. [Google Scholar] [CrossRef]
- Wilkins, B.S.; Erber, W.N.; Bareford, D.; Buck, G.; Wheatley, K.; East, C.L.; Paul, B.; Harrison, C.N.; Green, A.R.; Campbell, P.J. Bone marrow pathology in essential thrombocythemia: Interobserver reliability and utility for identifying disease subtypes. Blood 2008, 111, 60–70. [Google Scholar] [CrossRef]
- Ellis, J.T.; Peterson, P.; Geller, S.A.; Rappaport, H. Studies of the bone marrow in polycythemia vera and the evolution of myelofibrosis and second hematologic malignancies. Semin. Hematol. 1986, 23, 144–155. [Google Scholar] [PubMed]
- Nielsen, C.; Bojesen, S.E.; Nordestgaard, B.G.; Kofoed, K.F.; Birgens, H.S. JAK2V617F somatic mutation in the general population: Myeloproliferative neoplasm development and progression rate. Haematologica 2014, 99, 1448–1455. [Google Scholar] [CrossRef]
- Oh, S.T.; Simonds, E.F.; Jones, C.; Hale, M.B.; Goltsev, Y.; Gibbs, K.D.; Merker, J.D.; Zehnder, J.L.; Nolan, G.P.; Gotlib, J. Novel mutations in the inhibitory adaptor protein LNK drive JAK-STAT signaling in patients with myeloproliferative neoplasms. Blood 2010, 116, 988–992. [Google Scholar] [CrossRef] [PubMed]
- Maslah, N.; Cassinat, B.; Verger, E.; Kiladjian, J.J.; Velazquez, L. The role of LNK/SH2B3 genetic alterations in myeloproliferative neoplasms and other hematological disorders. Leukemia 2017, 31, 1661–1670. [Google Scholar] [CrossRef]
- Messinezy, M.; Westwood, N.B.; El-Hemaidi, I.; Marsden, J.T.; Sherwood, R.S.; Pearson, T.C. Serum erythropoietin values in erythrocytoses and in primary thrombocythaemia. Br. J. Haematol. 2002, 117, 47–53. [Google Scholar] [CrossRef]
- Maslah, N.; Ravdan, O.; Drevon, L.; Verger, E.; Belkhodja, C.; Chomienne, C.; Cassinat, B.; Kiladjian, J.; Giraudier, S.; Schlageter, M. Revisiting Diagnostic performances of serum erythropoietin level and JAK2 mutation for polycythemias: Analysis of a cohort of 1090 patients with red cell mass measurement. Br. J. Haematol. 2022, 196, 676–680. [Google Scholar] [CrossRef] [PubMed]
- Ruggeri, M.; Tosetto, A.; Frezzato, M.; Rodeghiero, F. The rate of progression to polycythemia vera or essential thrombocythemia in patients with erythrocytosis or thrombocytosis. Ann. Intern. Med. 2003, 139, 470–475. [Google Scholar] [CrossRef]
- Spivak, J.L. Are polycythemia vera, essential thrombocytosis, and primary myelofibrosis 1, 2, or 3 diseases? Leukemia 2021, 35, 1890–1893. [Google Scholar] [CrossRef]
- Dameshek, W. Physiopathology and course of polycythemia vera as related to therapy. J. Am. Med. Assoc. 1950, 142, 790–797. [Google Scholar] [CrossRef]
- Videbaek, A. Polycythaemia vera. Course and prognosis. Acta Medica Scand. 1950, 138, 179–187. [Google Scholar] [CrossRef]
- Chievitz, E.; Thiede, T. Complications and causes of death in polycythaemia vera. Acta Medica Scand. 1962, 172, 513–523. [Google Scholar] [CrossRef] [PubMed]
- Perkins, J.; Israuels, M.C.; Wilkinson, J.F. Polycythaemia Vera: Clinical Studies on a Series of 127 Patients Managed without Radiation Therapy. Q. J. Med. 1964, 33, 499–518. [Google Scholar] [PubMed]
- Rozman, C.; Giralt, M.; Feliu, E.; Rubio, D.; Cortes, M.T. Life expectancy of patients with chronic nonleukemic myeloproliferative disorders. Cancer 1991, 67, 2658–2663. [Google Scholar] [CrossRef] [PubMed]
- Tefferi, A.; Guglielmelli, P.; Larson, D.R.; Finke, C.; Wassie, E.A.; Pieri, L.; Gangat, N.; Fjerza, R.; Belachew, A.A.; Lasho, T.L.; et al. Long-term survival and blast transformation in molecularly annotated essential thrombocythemia, polycythemia vera, and myelofibrosis. Blood 2014, 124, 2507–2513; quiz 615. [Google Scholar] [CrossRef]
- Abu-Zeinah, G.; Silver, R.T.; Abu-Zeinah, K.; Scandura, J.M. Normal life expectancy for polycythemia vera (PV) patients is possible. Leukemia 2022, 36, 569–572. [Google Scholar] [CrossRef]
- Rosenthal, N.; Bassen, F. Course of polycythemia vera. Arch. Intern. Med. 1938, 62, 903–917. [Google Scholar] [CrossRef]
- Spivak, J.L.; Considine, M.; Williams, D.M.; Talbot, C.C.J.; Rogers, O.; Moliterno, A.R.; Jie, C.; Ochs, M.F. Two clinical phenotypes in polycythemia vera. N. Engl. J. Med. 2014, 371, 808–817. [Google Scholar] [CrossRef]
- Shlush, L.I. Clonal hematopoiesis sees Twin Peaks. Blood 2020, 135, 235–236. [Google Scholar] [CrossRef] [PubMed]
- McNerney, M.E.; Godley, L.A.; Le Beau, M.M. Therapy-related myeloid neoplasms: When genetics and environment collide. Nat. Rev. Cancer 2017, 17, 513–527. [Google Scholar] [CrossRef]
- Calabresi, L.; Carretta, C.; Romagnoli, S.; Rotunno, G.; Parenti, S.; Bertesi, M.; Bartalucci, N.; Rontauroli, S.; Chiereghin, C.; Castellano, S.; et al. Clonal dynamics and copy number variants by single-cell analysis in leukemic evolution of myeloproliferative neoplasms. Am. J. Hematol. 2023, 98, 1520–1531. [Google Scholar] [CrossRef]
- Tefferi, A.; Barbui, T. Polycythemia vera: 2024 update on diagnosis, risk-stratification, and management. Am. J. Hematol. 2023, 98, 1465–1487. [Google Scholar] [CrossRef] [PubMed]
- Stein, B.L.; Saraf, S.; Sobol, U.; Halpern, A.; Shammo, J.; Rondelli, D.; Michaelis, L.; Odenike, O.; Rademaker, A.; Zakarija, A.; et al. Age-related differences in disease characteristics and clinical outcomes in polycythemia vera. Leuk. Lymphoma 2013, 54, 1989–1995. [Google Scholar] [CrossRef] [PubMed]
- Abu-Zeinah, K.; Saadeh, K.; Silver, R.T.; Scandura, J.M.; Abu-Zeinah, G. Excess mortality in younger patients with myeloproliferative neoplasms. Leuk. Lymphoma 2023, 64, 725–729. [Google Scholar] [CrossRef] [PubMed]
- Najean, Y.; Mugnier, P.; Dresch, C.; Rain, J.D. Polycythaemia vera in young people: An analysis of 58 cases diagnosed before 40 years. Br. J. Haematol. 1987, 67, 285–291. [Google Scholar] [CrossRef]
- Passamonti, F.; Malabarba, L.; Orlandi, E.; Baratè, C.; Canevari, A.; Brusamolino, E.; Bonfichi, M.; Arcaini, L.; Caberlon, S.; Pascutto, C.; et al. Polycythemia vera in young patients: A study on the long-term risk of thrombosis, myelofibrosis and leukemia. Haematologica 2003, 88, 13–18. [Google Scholar]
- Spivak, J.L. How I treat polycythemia vera. Blood 2019, 134, 341–352. [Google Scholar] [CrossRef]
- Barraco, D.; Cerquozzi, S.; Hanson, C.A.; Ketterling, R.P.; Pardanani, A.D.; Gangat, N.; Tefferi, A. Cytogenetic findings in WHO-defined polycythaemia vera and their prognostic relevance. Br. J. Haematol. 2018, 182, 437–440. [Google Scholar] [CrossRef]
- Barraco, D.; Mora, B.; Guglielmelli, P.; Rumi, E.; Maffioli, M.; Rambaldi, A.; Caramella, M.; Komrokji, R.; Gotlib, J.; Kiladjian, J.J.; et al. Gender effect on phenotype and genotype in patients with post-polycythemia vera and post-essential thrombocythemia myelofibrosis: Results from the MYSEC project. Blood Cancer J. 2018, 8, 89. [Google Scholar] [CrossRef] [PubMed]
- McNally, R.J.; Rowland, D.; Roman, E.; Cartwright, R.A. Age and sex distributions of hematological malignancies in the U.K. Hematol. Oncol. 1997, 15, 173–189. [Google Scholar] [CrossRef]
- Stein, B.L.; Rademaker, A.; Spivak, J.L.; Moliterno, A.R. Gender and Vascular Complications in the JAK2 V617F-Positive Myeloproliferative Neoplasms. Thrombosis 2011, 2011, 874146. [Google Scholar] [CrossRef]
- Stein, B.L.; Williams, D.M.; Wang, N.Y.; Rogers, O.; Isaacs, M.A.; Pemmaraju, N.; Spivak, J.L.; Moliterno, A.R. Sex differences in the JAK2 V617F allele burden in chronic myeloproliferative disorders. Haematologica 2010, 95, 1090–1097. [Google Scholar] [CrossRef] [PubMed]
- Karantanos, T.; Chaturvedi, S.; Braunstein, E.M.; Spivak, J.; Resar, L.; Karanika, S.; Williams, D.M.; Rogers, O.; Gocke, C.D.; Moliterno, A.R. Sex determines the presentation and outcomes in MPN and is related to sex-specific differences in the mutational burden. Blood Adv. 2020, 4, 2567–2576. [Google Scholar] [CrossRef] [PubMed]
- Williams, N.; Lee, J.; Mitchell, E.; Moore, L.; Baxter, E.J.; Hewinson, J.; Dawson, K.J.; Menzies, A.; Godfrey, A.L.; Green, A.R.; et al. Life histories of myeloproliferative neoplasms inferred from phylogenies. Nature 2022, 602, 162–168. [Google Scholar] [CrossRef] [PubMed]
- Van Egeren, D.; Escabi, J.; Nguyen, M.; Liu, S.; Reilly, C.R.; Patel, S.; Kamaz, B.; Kalyva, M.; DeAngelo, D.J.; Galinsky, I.; et al. Reconstructing the Lineage Histories and Differentiation Trajectories of Individual Cancer Cells in Myeloproliferative Neoplasms. Cell Stem Cell 2021, 28, 514–523.e9. [Google Scholar] [CrossRef]
- McKerrell, T.; Vassiliou, G.S. Aging as a driver of leukemogenesis. Sci. Transl. Med. 2015, 7, 306fs38. [Google Scholar] [CrossRef]
- Steensma, D.P.; Bejar, R.; Jaiswal, S.; Lindsley, R.C.; Sekeres, M.A.; Hasserjian, R.P.; Ebert, B.L. Clonal hematopoiesis of indeterminate potential and its distinction from myelodysplastic syndromes. Blood 2015, 126, 9–16. [Google Scholar] [CrossRef] [PubMed]
- Wong, T.N.; Miller, C.A.; Jotte, M.R.M.; Bagegni, N.; Baty, J.D.; Schmidt, A.P.; Cashen, A.F.; Duncavage, E.J.; Helton, N.M.; Fiala, M.; et al. Cellular stressors contribute to the expansion of hematopoietic clones of varying leukemic potential. Nat. Commun. 2018, 9, 455. [Google Scholar] [CrossRef]
- Stein, B.L.; Moliterno, A.R.; Tiu, R.V. Polycythemia vera disease burden: Contributing factors, impact on quality of life, and emerging treatment options. Ann. Hematol. 2014, 93, 1965–1976. [Google Scholar] [CrossRef]
- Stein, B.L.; Moliterno, A.R. Primary myelofibrosis and the myeloproliferative neoplasms: The role of individual variation. JAMA 2010, 303, 2513–2518. [Google Scholar] [CrossRef]
- Passamonti, F.; Giorgino, T.; Mora, B.; Guglielmelli, P.; Rumi, E.; Maffioli, M.; Rambaldi, A.; Caramella, M.; Komrokji, R.; Gotlib, J.; et al. A clinical-molecular prognostic model to predict survival in patients with post polycythemia vera and post essential thrombocythemia myelofibrosis. Leukemia 2017, 31, 2726–2731. [Google Scholar] [CrossRef]
- Lundberg, P.; Karow, A.; Nienhold, R.; Looser, R.; Hao-Shen, H.; Nissen, I.; Girsberger, S.; Lehmann, T.; Passweg, J.; Stern, M.; et al. Clonal evolution and clinical correlates of somatic mutations in myeloproliferative neoplasms. Blood 2014, 123, 2220–2228. [Google Scholar] [CrossRef]
- Moliterno, A.R.; Kaizer, H.; Reeves, B.N. JAK2 V617F allele burden in polycythemia vera: Burden of proof. Blood 2023, 141, 1934–1942. [Google Scholar] [CrossRef] [PubMed]
- Moliterno, A.R.; Spivak, J.L. Posttranslational processing of the thrombopoietin receptor is impaired in polycythemia vera. Blood 1999, 94, 2555–2561. [Google Scholar] [CrossRef] [PubMed]
- Silvennoinen, O.; Hubbard, S.R. Molecular insights into regulation of JAK2 in myeloproliferative neoplasms. Blood 2015, 125, 3388–3392. [Google Scholar] [CrossRef] [PubMed]
- Scott, L.M. The JAK2 exon 12 mutations: A comprehensive review. Am. J. Hematol. 2011, 86, 668–676. [Google Scholar] [CrossRef]
- Dupont, S.; Masse, A.; James, C.; Teyssandier, I.; Lécluse, Y.; Larbret, F.; Ugo, V.; Saulnier, P.; Koscielny, S.; Le Couédic, J.P.; et al. The JAK2 617V>F mutation triggers erythropoietin hypersensitivity and terminal erythroid amplification in primary cells from patients with polycythemia vera. Blood 2007, 110, 1013–1021. [Google Scholar] [CrossRef]
- Kralovics, R.; Guan, Y.; Prchal, J.T. Acquired uniparental disomy of chromosome 9p is a frequent stem cell defect in polycythemia vera. Exp. Hematol. 2002, 30, 229–236. [Google Scholar] [CrossRef]
- Stein, B.L.; Williams, D.M.; Rogers, O.; Isaacs, M.A.; Spivak, J.L.; Moliterno, A.R. Disease burden at the progenitor level is a feature of primary myelofibrosis: A multivariable analysis of 164 JAK2 V617F-positive myeloproliferative neoplasm patients. Exp. Hematol. 2011, 39, 95–101. [Google Scholar] [CrossRef] [PubMed]
- Grinfeld, J.; Nangalia, J.; Baxter, E.J.; Wedge, D.C.; Angelopoulos, N.; Cantrill, R.; Godfrey, A.L.; Papaemmanuil, E.; Gundem, G.; MacLean, C.; et al. Classification and Personalized Prognosis in Myeloproliferative Neoplasms. N. Engl. J. Med. 2018, 379, 1416–1430. [Google Scholar] [CrossRef]
- Pikman, Y.; Lee, B.H.; Mercher, T.; McDowell, E.; Ebert, B.L.; Gozo, M.; Cuker, A.; Wernig, G.; Moore, S.; Galinsky, I.; et al. MPLW515L is a novel somatic activating mutation in myelofibrosis with myeloid metaplasia. PLoS Med. 2006, 3, e270. [Google Scholar] [CrossRef]
- Moliterno, A.R.; Williams, D.M.; Gutierrez-Alamillo, L.I.; Salvatori, R.; Ingersoll, R.G.; Spivak, J.L. Mpl Baltimore: A thrombopoietin receptor polymorphism associated with thrombocytosis. Proc. Natl. Acad. Sci. USA 2004, 101, 11444–11447. [Google Scholar] [CrossRef] [PubMed]
- Wiestner, A.; Schlemper, R.J.; van der Maas, A.P.; Skoda, R.C. An activating splice donor mutation in the thrombopoietin gene causes hereditary thrombocythaemia. Nat. Genet. 1998, 18, 49–52. [Google Scholar] [CrossRef] [PubMed]
- Posthuma, H.L.; Skoda, R.C.; Jacob, F.A.; van der Maas, A.P.; Valk, P.J.; Posthuma, E.F. Hereditary thrombocytosis not as innocent as thought? Development into acute leukemia and myelofibrosis. Blood 2010, 116, 3375–3376. [Google Scholar] [CrossRef] [PubMed][Green Version]
- Pecquet, C.; Chachoua, I.; Roy, A.; Balligand, T.; Vertenoeil, G.; Leroy, E.; Albu, R.-I.; Defour, J.-P.; Nivarthi, H.; Hug, E.; et al. Calreticulin mutants as oncogenic rogue chaperones for TpoR and traffic-defective pathogenic TpoR mutants. Blood 2019, 133, 2669–2681. [Google Scholar] [CrossRef]
- Cleyrat, C.; Darehshouri, A.; Steinkamp, M.P.; Vilaine, M.; Boassa, D.; Ellisman, M.H.; Hermouet, S.; Wilson, B.S. Mpl traffics to the cell surface through conventional and unconventional routes. Traffic 2014, 15, 961–982. [Google Scholar] [CrossRef]
- Moliterno, A.R.; Hankins, W.D.; Spivak, J.L. Impaired expression of the thrombopoietin receptor by platelets from patients with polycythemia vera. N. Engl. J. Med. 1998, 338, 572–580. [Google Scholar] [CrossRef]
- Albu, R.I.; Constantinescu, S.N. Extracellular domain N-glycosylation controls human thrombopoietin receptor cell surface levels. Front. Endocrinol. 2011, 2, 71. [Google Scholar] [CrossRef]
- Villeval, J.L.; Cohen-Solal, K.; Tulliez, M.; Giraudier, S.; Guichard, J.; Burstein, S.A.; Cramer, E.M.; Vainchenker, W.; Wendling, F. High thrombopoietin production by hematopoietic cells induces a fatal myeloproliferative syndrome in mice. Blood 1997, 90, 4369–4383. [Google Scholar] [CrossRef]
- Xing, S.; Wanting, T.H.; Zhao, W.; Ma, J.; Wang, S.; Xu, X.; Li, Q.; Fu, X.; Xu, M.; Zhao, Z.J. Transgenic expression of JAK2V617F causes myeloproliferative disorders in mice. Blood 2008, 111, 5109–5117. [Google Scholar] [CrossRef]
- Spivak, J.L.; Merchant, A.; Williams, D.M.; Rogers, O.; Zhao, W.; Duffield, A.; Resar, L.S.; Moliterno, A.R.; Zhao, Z.J. Thrombopoietin is required for full phenotype expression in a JAK2V617F transgenic mouse model of polycythemia vera. PLoS ONE 2020, 15, e0232801. [Google Scholar] [CrossRef]
- Sangkhae, V.; Etheridge, S.L.; Kaushansky, K.; Hitchcock, I.S. The thrombopoietin receptor, MPL, is critical for development of a JAK2V617F-induced myeloproliferative neoplasm. Blood 2014, 124, 3956–3963. [Google Scholar] [CrossRef] [PubMed]
- Dameshek, W. The case for phlebotomy in polycythemia vera. Blood 1968, 32, 488–491. [Google Scholar]
- Pearson, T.C.; Wetherley-Mein, G. Vascular occlusive episodes and venous haematocrit in primary proliferative polycythaemia. Lancet 1978, 2, 1219–1222. [Google Scholar] [CrossRef] [PubMed]
- Barbui, T.; Passamonti, F.; Accorsi, P.; Pane, F.; Vannucchi, A.M.; Velati, C.; Gale, R.P.; Tura, S.; Barosi, G. Evidence- and consensus-based recommendations for phlebotomy in polycythemia vera. Leukemia 2018, 32, 2077–2081. [Google Scholar] [CrossRef] [PubMed]
- Ronner, L.; Podoltsev, N.; Gotlib, J.; Pane, F.; Vannucchi, A.M.; Velati, C.; Gale, R.P.; Tura, S.; Barosi, G. Persistent leukocytosis in polycythemia vera is associated with disease evolution but not thrombosis. Blood 2020, 135, 1696–1703. [Google Scholar] [CrossRef] [PubMed]
- Ronner, L.; Mascarenhas, J.; Moshier, E.L. Response to meta-analysis of leukocytosis and thrombosis in essential thrombocythemia and polycythemia vera. Blood Adv. 2019, 3, 3010–3012. [Google Scholar] [CrossRef]
- Berk, P.D.; Goldberg, J.D.; Silverstein, M.N.; Weinfeld, A.; Donovan, P.B.; Ellis, J.T.; Landaw, S.A.; Laszlo, J.; Najean, Y.; Pisciotta, A.V.; et al. Increased incidence of acute leukemia in polycythemia vera associated with chlorambucil therapy. N. Engl. J. Med. 1981, 304, 441–447. [Google Scholar] [CrossRef]
- Rector, W.G., Jr.; Fortuin, N.J.; Conley, C.L. Non-hematologic effects of chronic iron deficiency. A study of patients with polycythemia vera treated solely with venesections. Medicine 1982, 61, 382–389. [Google Scholar] [CrossRef]
- Reynolds, R.D.; Binder, H.J.; Miller, M.B.; Chang, W.W.; Horan, S. Pagophagia and iron deficiency anemia. Ann. Intern. Med. 1968, 69, 435–440. [Google Scholar] [CrossRef]
- Kaboth, U.; Rumpf, K.W.; Liersch, T.; Vehmeyer, K.; Krieter, D.; Kaboth, W. Advantages of isovolemic large-volume erythrocytapheresis as a rapidly effective and long-lasting treatment modality for red blood cell depletion in patients with polycythemia vera. Ther. Apher. 1997, 1, 131–134. [Google Scholar] [CrossRef]
- Alvarez-Larran, A.; Cervantes, F.; Pereira, A.; Arellano-Rodrigo, E.; Pérez-Andreu, V.; Hernández-Boluda, J.-C.; Ayats, R.; Salvador, C.; Muntañola, A.; Bellosillo, B.; et al. Observation versus antiplatelet therapy as primary prophylaxis for thrombosis in low-risk essential thrombocythemia. Blood 2010, 116, 1205–1210; quiz 387. [Google Scholar] [CrossRef]
- Chu, D.K.; Hillis, C.M.; Leong, D.P.; Anand, S.S.; Siegal, D.M. Benefits and Risks of Antithrombotic Therapy in Essential Thrombocythemia: A Systematic Review. Ann. Intern. Med. 2017, 167, 170–180. [Google Scholar] [CrossRef] [PubMed]
- McNeil, J.J.; Wolfe, R.; Woods, R.L.; Tonkin, A.M.; Donnan, G.A.; Nelson, M.R.; Reid, C.M.; Lockery, J.E.; Kirpach, B.; Storey, E.; et al. Effect of Aspirin on Cardiovascular Events and Bleeding in the Healthy Elderly. N. Engl. J. Med. 2018, 379, 1509–1518. [Google Scholar] [CrossRef] [PubMed]
- Gisslinger, H.; Gotic, M.; Holowiecki, J.; Penka, M.; Thiele, J.; Kvasnicka, H.M.; Kralovics, R.; Petrides, P.E. Anagrelide compared with hydroxyurea in WHO-classified essential thrombocythemia: The ANAHYDRET Study, a randomized controlled trial. Blood 2013, 121, 1720–1728. [Google Scholar] [CrossRef] [PubMed]
- Godfrey, A.L.; Campbell, P.J.; MacLean, C.; Buck, G.; Cook, J.; Temple, J.; Wilkins, B.S.; Wheatley, K.; Nangalia, J.; Grinfeld, J.; et al. Hydroxycarbamide Plus Aspirin Versus Aspirin Alone in Patients with Essential Thrombocythemia Age 40 to 59 Years Without High-Risk Features. J. Clin. Oncol. 2018, 36, 3361–3369. [Google Scholar] [CrossRef] [PubMed]
- Kremyanskaya, M.; Kuykendall, A.T.; Pemmaraju, N.; Ritchie, E.K.; Gotlib, J.; Gerds, A.; Palmer, J.; Pettit, K.; Nath, U.K.; Yacoub, A.; et al. Rusfertide, a Hepcidin Mimetic, for Control of Erythrocytosis in Polycythemia Vera. N. Engl. J. Med. 2024, 390, 723–735. [Google Scholar] [CrossRef]
- Hershko, C. Cell-cycle regulation by iron depletion. Blood 2007, 100, 474–475. [Google Scholar] [CrossRef]
- Verstovsek, S.; Kantarjian, H.; Mesa, R.A.; Pardanani, A.D.; Cortes-Franco, J.; Thomas, D.A.; Estrov, Z.; Fridman, J.S.; Bradley, E.C.; Erickson-Viitanen, S.; et al. Safety and efficacy of INCB018424, a JAK1 and JAK2 inhibitor, in myelofibrosis. N. Engl. J. Med. 2010, 363, 1117–1127. [Google Scholar] [CrossRef]
- Kiladjian, J.J.; Cassinat, B.; Chevret, S.; Turlure, P.; Cambier, N.; Roussel, M.; Bellucci, S.; Grandchamp, B.; Chomienne, C.; Fenaux, P. Pegylated interferon-alfa-2a induces complete hematologic and molecular responses with low toxicity in polycythemia vera. Blood 2008, 112, 3065–3072. [Google Scholar] [CrossRef]
- Schwartz, S.O.; Ehrlich, L. The relationship of polycythemia vera to leukemia; a critical review. Acta Haematol. 1950, 4, 129–147. [Google Scholar] [CrossRef]
- Osgood, E.E. Polycythemia Vera: Age Relationships and Survival. Blood 1965, 26, 243–256. [Google Scholar] [CrossRef] [PubMed]
- Modan, B.; Lilienfeld, A.M. Polycythemia Vera and Leukemia—The Role of Radiation Treatment. A Study of 1222 Patients. Medicine 1965, 44, 305–344. [Google Scholar] [CrossRef] [PubMed]
- Berlin, N.I.; Louis, R. Wasserman and the history of polycythemia vera. Mt. Sinai J. Med. 1995, 62, 206–215. [Google Scholar] [PubMed]
- Wasserman, L.R. The management of polycythaemia vera. Br. J. Haematol. 1971, 21, 371–376. [Google Scholar] [CrossRef]
- Polycythemia vera: The natural history of 1213 patients followed for 20 years. Gruppo Italiano Studio Policitemia. Ann. Intern. Med. 1995, 123, 656–664. [CrossRef]
- Spivak, J.L.; Hasselbalch, H. Hydroxycarbamide: A user’s guide for chronic myeloproliferative disorders. Expert Rev. Anticancer Ther. 2011, 11, 403–414. [Google Scholar] [CrossRef]
- Fruchtman, S.M.; Mack, K.; Kaplan, M.E.; Peterson, P.; Berk, P.D.; Wasserman, L.R. From efficacy to safety: A Polycythemia Vera Study group report on hydroxyurea in patients with polycythemia vera. Semin. Hematol. 1997, 34, 17–23. [Google Scholar]
- Kuter, D.J.; Bain, B.; Mufti, G.; Bagg, A.; Hasserjian, R.P. Bone marrow fibrosis: Pathophysiology and clinical significance of increased bone marrow stromal fibres. Br. J. Haematol. 2007, 139, 351–362. [Google Scholar] [CrossRef]
- Wolf, B.C.; Neiman, R.S. Myelofibrosis with myeloid metaplasia: Pathophysiologic implications of the correlation between bone marrow changes and progression of splenomegaly. Blood 1985, 65, 803–809. [Google Scholar] [CrossRef]
- Hussein, K.; Brakensiek, K.; Buesche, G.; Buhr, T.; Wiese, B.; Kreipe, H.; Bock, O. Different involvement of the megakaryocytic lineage by the JAK2 V617F mutation in Polycythemia vera, essential thrombocythemia and chronic idiopathic myelofibrosis. Ann. Hematol. 2007, 86, 245–253. [Google Scholar] [CrossRef]
- Ikkala, E.; Rapola, J.; Kotilainen, M. Polycythaemia vera and myelofibrosis. Scand. J. Haematol. 1967, 4, 453–464. [Google Scholar] [CrossRef] [PubMed]
- Mazaheri, P.; Nadkarni, G.; Lowe, E.; Hines, P.; Vuica, M.; Griffin, M.; Resar, L.M. Ghosal hematodiaphyseal dysplasia: A rare cause of a myelophthisic anemia. Pediatr. Blood Cancer 2010, 55, 1187–1190. [Google Scholar] [CrossRef] [PubMed]
- Barraco, D.; Cerquozzi, S.; Hanson, C.A.; Ketterling, R.P.; Pardanani, A.; Gangat, N.; Tefferi, A. Prognostic impact of bone marrow fibrosis in polycythemia vera: Validation of the IWG-MRT study and additional observations. Blood Cancer J. 2017, 7, e538. [Google Scholar] [CrossRef] [PubMed]
- Buhr, T.; Hebeda, K.; Kaloutsi, V.; Porwit, A.; Van der Walt, J.; Kreipe, H. European Bone Marrow Working Group trial on reproducibility of World Health Organization criteria to discriminate essential thrombocythemia from prefibrotic primary myelofibrosis. Haematologica 2012, 97, 360–365. [Google Scholar] [CrossRef]
- Thiele, J.; Kvasnicka, H.M.; Mullauer, L.; Buxhofer-Ausch, V.; Gisslinger, B.; Gisslinger, H. Essential thrombocythemia versus early primary myelofibrosis: A multicenter study to validate the WHO classification. Blood 2011, 117, 5710–5718. [Google Scholar] [CrossRef]
- Guglielmelli, P.; Pacilli, A.; Rotunno, G.; Rumi, E.; Rosti, V.; Delaini, F.; Maffioli, M.; Fanelli, T.; Pancrazzi, A.; Pietra, D.; et al. Presentation and outcome of patients with 2016 WHO diagnosis of prefibrotic and overt primary myelofibrosis. Blood 2017, 129, 3227–3236. [Google Scholar] [CrossRef]
- Curto-Garcia, N.; Ianotto, J.C.; Harrison, C.N. What is pre-fibrotic myelofibrosis and how should it be managed in 2018? Br. J. Haematol. 2018, 183, 23–34. [Google Scholar] [CrossRef]
- Vachhani, P.; Verstovsek, S.; Bose, P. Cytopenic myelofibrosis: Prevalence, relevance, and treatment. Expert Opin. Pharmacother. 2023, 24, 901–912. [Google Scholar] [CrossRef]
- Rumi, E.; Pietra, D.; Pascutto, C.; Guglielmelli, P.; Martínez-Trillos, A.; Casetti, I.; Colomer, D.; Pieri, L.; Pratcorona, M.; Rotunno, G.; et al. Clinical effect of driver mutations of JAK2, CALR, or MPL in primary myelofibrosis. Blood 2014, 124, 1062–1069. [Google Scholar] [CrossRef]
- Vannucchi, A.M.; Guglielmelli, P. Molecular prognostication in Ph-negative MPNs in 2022. Hematol. Am. Soc. Hematol. Educ. Program 2022, 2022, 225–234. [Google Scholar] [CrossRef]
- Bartels, S.; Faisal, M.; Busche, G.; Schlue, J.; Kreipe, H.; Lehmann, U. Fibrotic progression in Polycythemia vera is associated with early concomitant driver-mutations besides JAK2. Leukemia 2018, 32, 556–558. [Google Scholar] [CrossRef] [PubMed]
- Mora, B.; Giorgino, T.; Guglielmelli, P.; Rumi, E.; Maffioli, M.; Rambaldi, A.; Caramella, M.; Komrokji, R.; Gotlib, J.; Kiladjian, J.J.; et al. Value of cytogenetic abnormalities in post-polycythemia vera and post-essential thrombocythemia myelofibrosis: A study of the MYSEC project. Haematologica 2018, 103, e392–e394. [Google Scholar] [CrossRef] [PubMed]
- Mora, B.; Giorgino, T.; Guglielmelli, P.; Rumi, E.; Maffioli, M.; Rambaldi, A.; Caramella, M.; Komrokji, R.; Gotlib, J.; Kiladjian, J.J.; et al. Phenotype variability of patients with post polycythemia vera and post essential thrombocythemia myelofibrosis is associated with the time to progression from polycythemia vera and essential thrombocythemia. Leuk. Res. 2018, 69, 100–102. [Google Scholar] [CrossRef] [PubMed]
- Gowin, K.; Verstovsek, S.; Daver, N.; Pemmaraju, N.; Valdez, R.; Kosiorek, H.; Dueck, A.; Mesa, R. Limitations of fibrosis grade as diagnostic criteria for post polycythemia vera and essential thrombocytosis myelofibrosis. Leuk. Res. 2015, 39, 684–688. [Google Scholar] [CrossRef]
- Oh, S.T.; Verstovsek, S.; Gupta, V.; Platzbecker, U.; Devos, T.; Kiladjian, J.; McLornan, D.P.; Perkins, A.; Fox, M.L.; McMullin, M.F.; et al. Changes in bone marrow fibrosis during momelotinib or ruxolitinib therapy do not correlate with efficacy outcomes in patients with myelofibrosis. EJHaem 2024, 5, 105–116. [Google Scholar] [CrossRef]
- Palandri, F.; Al-Ali, H.K.; Guglielmelli, P.; Zuurman, M.W.; Sarkar, R.; Gupta, V. Benefit of Early Ruxolitinib Initiation Regardless of Fibrosis Grade in Patients with Primary Myelofibrosis: A Post Hoc Analysis of the Single-Arm Phase 3b JUMP Study. Cancers 2023, 15, 2859. [Google Scholar] [CrossRef]
- Dunbar, A.J.; Rampal, R.K.; Levine, R. Leukemia secondary to myeloproliferative neoplasms. Blood 2020, 136, 61–70. [Google Scholar] [CrossRef] [PubMed]
- Cortelazzo, S.; Finazzi, G.; Ruggeri, M.; Vestri, O.; Galli, M.; Rodeghiero, F.; Barbui, T. Hydroxyurea for patients with essential thrombocythemia and a high risk of thrombosis. N. Engl. J. Med. 1995, 332, 1132–1136. [Google Scholar] [CrossRef]
- Harrison, C.N.; Campbell, P.J.; Buck, G.; Wheatley, K.; East, C.L.; Bareford, D.; Wilkins, B.S.; van der Walt, J.D.; Reilly, J.T.; Grigg, A.P.; et al. Hydroxyurea compared with anagrelide in high-risk essential thrombocythemia. N. Engl. J. Med. 2005, 353, 33–45. [Google Scholar] [CrossRef]
- Bjorkholm, M.; Derolf, A.R.; Hultcrantz, M.; Kristinsson, S.Y.; Ekstrand, C.; Goldin, L.R.; Andreasson, B.; Birgegård, G.; Linder, O.; Malm, C.; et al. Treatment-related risk factors for transformation to acute myeloid leukemia and myelodysplastic syndromes in myeloproliferative neoplasms. J. Clin. Oncol. 2011, 29, 2410–2415. [Google Scholar] [CrossRef]
- Marsh, O. Life cycle of a star: Carl Sagan and the circulation of reputation. Br. J. Hist. Sci. 2019, 52, 467–486. [Google Scholar] [CrossRef] [PubMed]
- Sirhan, S.; Busque, L.; Foltz, L.; Grewal, K.; Hamm, C.; Laferriere, N.; Laneuville, P.; Leber, B.; Liew, E.; Olney, H.J.; et al. Evolving Therapeutic Options for Polycythemia Vera: Perspectives of the Canadian Myeloproliferative Neoplasms Group. Clin. Lymphoma Myeloma Leuk. 2015, 15, 715–727. [Google Scholar] [CrossRef] [PubMed]
- Bewersdorf, J.P.; How, J.; Masarova, L.; Bose, P.; Pemmaraju, N.; Mascarenhas, J.O.; Rampal, R.K. Moving toward disease modification in polycythemia vera. Blood 2023, 142, 1859–1870. [Google Scholar] [CrossRef] [PubMed]
- Najean, Y.; Rain, J.D. Treatment of polycythemia vera: The use of hydroxyurea and pipobroman in 292 patients under the age of 65 years. Blood 1997, 90, 3370–3377. [Google Scholar] [CrossRef] [PubMed]
- Thoennissen, N.H.; Krug, U.O.; Lee, D.H.; Kawamata, N.; Iwanski, G.B.; Lasho, T.; Weiss, T.; Nowak, D.; Koren-Michowitz, M.; Kato, M.; et al. Prevalence and prognostic impact of allelic imbalances associated with leukemic transformation of Philadelphia chromosome-negative myeloproliferative neoplasms. Blood 2010, 115, 2882–2890. [Google Scholar] [CrossRef]
- Gottifredi, V.; Shieh, S.; Taya, Y.; Prives, C. p53 accumulates but is functionally impaired when DNA synthesis is blocked. Proc. Natl. Acad. Sci. USA 2001, 98, 1036–1041. [Google Scholar] [CrossRef]
- Leone, G.; Pagano, L.; Ben-Yehuda, D.; Voso, M.T. Therapy-related leukemia and myelodysplasia: Susceptibility and incidence. Haematologica 2007, 92, 1389–1398. [Google Scholar] [CrossRef]
- Kiladjian, J.J.; Chevret, S.; Dosquet, C.; Chomienne, C.; Rain, J.D. Treatment of polycythemia vera with hydroxyurea and pipobroman: Final results of a randomized trial initiated in 1980. J. Clin. Oncol. 2011, 29, 3907–3913. [Google Scholar] [CrossRef]
- Najean, Y.; Deschamps, A.; Dresch, C.; Daniel, M.T.; Rain, J.D.; Arrago, J.P. Acute leukemia and myelodysplasia in polycythemia vera. A clinical study with long-term follow-up. Cancer 1988, 61, 89–95. [Google Scholar] [CrossRef]
- Ghannam, J.Y.; Xu, X.; Maric, I.; Dillon, L.; Li, Y.; Hsieh, M.; Hourigan, C.S.; Fitzhugh, C.D. Baseline TP53 mutations in adults with SCD developing myeloid malignancy following hematopoietic cell transplantation. Blood 2020, 135, 1185–1188. [Google Scholar] [CrossRef]
- Finazzi, G.; Caruso, V.; Marchioli, R.; Capnist, G.; Chisesi, T.; Finelli, C.; Gugliotta, L.; Landolfi, R.; Kutti, J.; Gisslinger, H.; et al. Acute leukemia in polycythemia vera: An analysis of 1638 patients enrolled in a prospective observational study. Blood 2005, 105, 2664–2670. [Google Scholar] [CrossRef] [PubMed]
- Shlush, L.I. Age-related clonal hematopoiesis. Blood 2018, 131, 496–504. [Google Scholar] [CrossRef]
- Beer, P.A.; Delhommeau, F.; LeCouedic, J.P.; Dawson, M.A.; Chen, E.; Bareford, D.; Kušec, R.; McMullin, M.F.; Harrison, C.N.; Vannucchi, A.M.; et al. Two routes to leukemic transformation after a JAK2 mutation-positive myeloproliferative neoplasm. Blood 2010, 115, 2891–2900. [Google Scholar] [CrossRef] [PubMed]
- Xie, M.; Lu, C.; Wang, J.; McLellan, M.D.; Johnson, K.J.; Wendl, M.C.; McMichael, J.F.; Schmidt, H.K.; Yellapantula, V.; Miller, C.A.; et al. Age-related mutations associated with clonal hematopoietic expansion and malignancies. Nat. Med. 2014, 20, 1472–1478. [Google Scholar] [CrossRef]
- Barosi, G.; Mesa, R.; Finazzi, G.; Harrison, C.; Kiladjian, J.-J.; Lengfelder, E.; McMullin, M.F.; Passamonti, F.; Vannucchi, A.M.; Besses, C.; et al. Revised response criteria for polycythemia vera and essential thrombocythemia: An ELN and IWG-MRT consensus project. Blood 2013, 121, 4778–4781. [Google Scholar] [CrossRef]
- Jain, P.; Verstovsek, S.; Wang, W.; Loghavi, S.; Torres, H.A.; Estrov, Z.; Patel, K.P.; Pemmaraju, N. DNMT3A, TET2, and JAK2 mutations in polycythemia vera following long-term remission of secondary acute myeloid leukemia. Leuk. Lymphoma 2016, 57, 1969–1973. [Google Scholar] [CrossRef]
- Inami, M.; Inokuchi, K.; Okabe, M.; Kosaka, F.; Mitamura, Y.; Yamaguchi, H.; Dan, K. Polycythemia associated with the JAK2V617F mutation emerged during treatment of chronic myelogenous leukemia. Leukemia 2007, 21, 1103–1104. [Google Scholar] [CrossRef] [PubMed]
- Antonioli, E.; Guglielmelli, P.; Poli, G.; Santini, V.; Bosi, A.; Vannucchi, A.M. Polycythemia vera following autologous transplantation for AML: Insights on the kinetics of JAK2V617F clonal dominance. Blood 2007, 110, 4620–4621. [Google Scholar] [CrossRef][Green Version]
- Alvarez-Larran, A.; On behalf of the MPN Spanish Group (GEMFIN); Díaz-González, A.; Such, E.; Mora, E.; Andrade-Campos, M.; García-Hernández, C.; Gómez-Casares, M.T.; García-Gutiérrez, V.; Carreño-Tarragona, G.; et al. Genomic characterization of patients with polycythemia vera developing resistance to hydroxyurea. Leukemia 2021, 35, 623–627. [Google Scholar] [CrossRef]
- Alvarez-Larrán, A.; Kerguelen, A.; Hernández-Boluda, J.C.; Pérez-Encinas, M.; Ferrer-Marín, F.; Bárez, A.; Martínez-López, J.; Cuevas, B.; Mata, M.I.; García-Gutiérrez, V.; et al. Frequency and prognostic value of resistance/intolerance to hydroxycarbamide in 890 patients with polycythaemia vera. Br. J. Haematol. 2016, 172, 786–793. [Google Scholar] [CrossRef]
- Arlt, M.F.; Ozdemir, A.C.; Birkeland, S.R.; Wilson, T.E.; Glover, T.W. Hydroxyurea induces de novo copy number variants in human cells. Proc. Natl. Acad. Sci. USA 2011, 108, 17360–17365. [Google Scholar] [CrossRef] [PubMed]
- Shaw, A.E.; Mihelich, M.N.; Whitted, J.E.; Reitman, H.J.; Timmerman, A.J.; Tehseen, M.; Hamdan, S.M.; Schauer, G.D. Revised mechanism of hydroxyurea-induced cell cycle arrest and an improved alternative. Proc. Natl. Acad. Sci. USA 2024, 121, e2404470121. [Google Scholar] [CrossRef] [PubMed]
- Lindsley, R.C.; Mar, B.G.; Mazzola, E.; Grauman, P.V.; Shareef, S.; Allen, S.L.; Pigneux, A.; Wetzler, M.; Stuart, R.K.; Erba, H.P.; et al. Acute myeloid leukemia ontogeny is defined by distinct somatic mutations. Blood 2015, 125, 1367–1376. [Google Scholar] [CrossRef] [PubMed]
- Wong, T.N.; Ramsingh, G.; Young, A.L.; Miller, C.A.; Touma, W.; Welch, J.S.; Lamprecht, T.L.; Shen, D.; Hundal, J.; Fulton, R.S.; et al. Role of TP53 mutations in the origin and evolution of therapy-related acute myeloid leukaemia. Nature 2015, 518, 552–555. [Google Scholar] [CrossRef]
- Roman, E.; Smith, A.; Appleton, S.; Crouch, S.; Kelly, R.; Kinsey, S.; Cargo, C.; Patmore, R. Myeloid malignancies in the real-world: Occurrence, progression and survival in the UK’s population-based Haematological Malignancy Research Network 2004–15. Cancer Epidemiol. 2016, 42, 186–198. [Google Scholar] [CrossRef]
- Plo, I.; Nakatake, M.; Malivert, L.; de Villartay, J.-P.; Giraudier, S.; Villeval, J.-L.; Wiesmuller, L.; Vainchenker, W. JAK2 stimulates homologous recombination and genetic instability: Potential implication in the heterogeneity of myeloproliferative disorders. Blood 2008, 112, 1402–1412. [Google Scholar] [CrossRef]
- Cramer, K.; Nieborowska-Skorska, M.; Koptyra, M.; Slupianek, A.; Penserga ET, P.; Eaves, C.J.; Aulitzky, W.; Skorski, T. BCR/ABL and other kinases from chronic myeloproliferative disorders stimulate single-strand annealing, an unfaithful DNA double-strand break repair. Cancer Res. 2008, 68, 6884–6888. [Google Scholar] [CrossRef] [PubMed]
- Klampfl, T.; Harutyunyan, A.; Berg, T.; Gisslinger, B.; Schalling, M.; Bagienski, K.; Olcaydu, D.; Passamonti, F.; Rumi, E.; Pietra, D.; et al. Genome integrity of myeloproliferative neoplasms in chronic phase and during disease progression. Blood 2011, 118, 167–176. [Google Scholar] [CrossRef]
- Helbig, G.; Wieczorkiewicz, A.; Wozniczka, K.; Wisniewska-Piaty, K.; Rusek, A.; Kyrcz-Krzemien, S. The JAK2V617F tyrosine kinase mutation has no impact on overall survival and the risk of leukemic transformation in myelofibrosis. Med. Oncol. 2012, 29, 2379–2384. [Google Scholar] [CrossRef]
- Guglielmelli, P.; Barosi, G.; Pieri, L.; Antonioli, E.; Bosi, A.; Vannucchi, A.M. JAK2V617F mutational status and allele burden have little influence on clinical phenotype and prognosis in patients with post-polycythemia vera and post-essential thrombocythemia myelofibrosis. Haematologica 2009, 94, 144–146. [Google Scholar] [CrossRef]
- Tong, J.; Sun, T.; Ma, S.; Zhao, Y.; Ju, M.; Gao, Y.; Zhu, P.; Tan, P.; Fu, R.; Zhang, A.; et al. Hematopoietic stem cell heterogeneity is linked to the initiation and therapeutic response of myeloproliferative neoplasms. Cell Stem Cell 2021, 28, 780. [Google Scholar] [CrossRef] [PubMed]
- Guo, J.; Walter, K.; Quiros, P.M.; Gu, M.; Baxter, E.J.; Danesh, J.; Di Angelantonio, E.; Roberts, D.; Guglielmelli, P.; Harrison, C.N.; et al. Inherited polygenic effects on common hematological traits influence clonal selection on JAK2(V617F) and the development of myeloproliferative neoplasms. Nat. Genet. 2024, 56, 273–280. [Google Scholar] [CrossRef]
- Marcellino, B.K.; Hoffman, R.; Tripodi, J.; Lu, M.; Kosiorek, H.; Mascarenhas, J.; Rampal, R.K.; Dueck, A.; Najfeld, V. Advanced forms of MPNs are accompanied by chromosomal abnormalities that lead to dysregulation of TP53. Blood Adv. 2018, 2, 3581–3589. [Google Scholar] [CrossRef] [PubMed]
- Abu-Zeinah, G.; Krichevsky, S.; Cruz, T.; Hoberman, G.; Jaber, D.; Savage, N.; Sosner, C.; Ritchie, E.K.; Scandura, J.M.; Silver, R.T. Interferon-alpha for treating polycythemia vera yields improved myelofibrosis-free and overall survival. Leukemia 2021, 35, 2592–2601. [Google Scholar] [CrossRef] [PubMed]
- De Stefano, V.; Rossi, E.; Carobbio, A.; Ghirardi, A.; Betti, S.; Finazzi, G.; Vannucchi, A.M.; Barbui, T. Hydroxyurea prevents arterial and late venous thrombotic recurrences in patients with myeloproliferative neoplasms but fails in the splanchnic venous district. Pooled analysis of 1500 cases. Blood Cancer J. 2018, 8, 112. [Google Scholar] [CrossRef]
- Maslah, N.; Roux, B.; Kaci, N.; Verger, E.; De Oliveira, R.D.; Pasquer, H.; Gauthier, N.; Soret, J.; Ganesan, S.; Gou, P.; et al. JAK inhibition mediates clonal selection of RAS pathway mutations in myeloproliferative neoplasms. Blood 2022, 140, 795–796. [Google Scholar] [CrossRef]


| Patient 1 |
| A 48-year-old woman with a diagnosis of primary myelofibrosis was referred for a preoperative evaluation for a splenectomy. The hematocrit was 39%, the leukocyte count was 18,000/mL, and the platelet count was 840,000/mL. Because of a normal hematocrit in the presence of a massive splenomegaly, red cell mass and plasma volume studies were performed. The red cell mass was 52 mL/kg with an expected range of 20–30 mL/kg, while the plasma volume was 71 mL/kg with an expected value of 40 mL/kg, indicating the presence of polycythemia vera with the erythrocytosis masked by plasma volume expansion. The patient was phlebotomized to a hematocrit of 40% before surgery. |
| Patient 2 |
| A 49-year-old man was referred for the evaluation of thrombocytosis without splenomegaly. The hematocrit was 45%, the leukocyte count was 10,100/mL, and the platelet count was 781,000/mL. Red cell mass and plasma volume studies were performed since essential thrombocytosis is more common in women. The red cell mass was elevated at 40.4 mL/kg with an expected range of 25–35 mL/kg, while the plasma volume was 41.8 mL/kg, with an expected value of 40 mL/kg, indicating that the patient had polycythemia vera and not essential thrombocytosis. |
| Patient 3 |
| An asymptomatic 61-year-old woman was referred for the evaluation of thrombocytosis. The hematocrit was 44%, the leukocyte count was 12,700/mL, and the platelet count was 799,000/mL. BCR-ABL FISH was negative; a JAK2 V617F assay revealed a mutation allele burden of 35% and the serum ferritin was 33 mg/mL. Red cell mass and plasma volume studies revealed a red cell mass of 38.5 mL/kg, with an expected range of 20–30 mL/kg, while the plasma volume was 47.1 mL/kg, with an expected value of 40 mL/kg, indicating the patient had polycythemia vera as opposed to essential thrombocytosis. |
| Patient 4 |
| A 68-year-old woman was evaluated for an increase in abdominal girth. A CT scan revealed an enlarged caudate lobe and nodularity of the liver with ascites consistent with hepatic vein thrombosis. The hematocrit was 48.7%, the hemoglobin was 15.2 gm%, and the platelet count was 397,000/mL. The red cell mass was elevated at 43 mL/kg, with an expected range of 20–30 mL/kg. The plasma volume was 43 mL/kg with an expected value of 40 mL/kg, indicating that polycythemia vera was the cause of the hepatic vein thrombosis. |
| Patient 5 |
| A 70-year-old woman referred for the evaluation of leukocytosis and thrombocytosis without splenomegaly. The hematocrit was 44%, the leukocyte count was 13,500/mL, and the platelet count was 1,300,000/mL. The red cell mass was elevated at 35.8 mL/kg, with an expected range of 20–30 mL/kg. The plasma volume was 45.4 mL/kg with an expected value of 40 mL/kg, establishing polycythemia vera as the cause of the abnormal blood counts. |
| Major Criteria | Critique |
|---|---|
| 1. Hemoglobin > 16.5 g/dL in men Hemoglobin > 16.0 g/dL in women | Hemoglobin is a red cell product; its level varies with body iron stores and it does not reflect the red cell mass |
| or, | |
| Hematocrit > 49% in men Hematocrit > 48% in women | There is no safe hematocrit when polycythemia vera is a diagnostic consideration |
| The red cell count and the MCV have been omitted even though microcytic erythrocytosis provides a clue to absolute erythrocytosis | |
| or, | |
| Increased red cell mass (RCM) * | |
| 2. BM biopsy showing hypercellularity for age with trilineage growth (panmyelosis), prominent erythroid, granulocytic, and megakaryocytic proliferation with pleomorphic, mature megakaryocytes (differences in size) | MPN bone marrow histology is not diagnostic for PV |
| 3. Presence of JAK2 V617F or JAK2 exon 12 | A quantitative allele burden is mandatory as normal individuals can have a positive qualitative assay |
| Minor criterion | |
| Subnormal serum erythropoietin level | A low erythropoietin assay is not diagnostic for PV |
| Diagnosis of PV requires meeting either all 3 major criteria, or the first 2 major criteria and the minor criterion † | Curiously, PV is a panmyelopathy but leukocytosis, thrombocytosis and splenomegaly have been omitted as diagnostic criteria |
Disclaimer/Publisher’s Note: The statements, opinions and data contained in all publications are solely those of the individual author(s) and contributor(s) and not of MDPI and/or the editor(s). MDPI and/or the editor(s) disclaim responsibility for any injury to people or property resulting from any ideas, methods, instructions or products referred to in the content. |
© 2024 by the author. Licensee MDPI, Basel, Switzerland. This article is an open access article distributed under the terms and conditions of the Creative Commons Attribution (CC BY) license (https://creativecommons.org/licenses/by/4.0/).
Share and Cite
Spivak, J.L. Myeloproliferative Neoplasms: Challenging Dogma. J. Clin. Med. 2024, 13, 6957. https://doi.org/10.3390/jcm13226957
Spivak JL. Myeloproliferative Neoplasms: Challenging Dogma. Journal of Clinical Medicine. 2024; 13(22):6957. https://doi.org/10.3390/jcm13226957
Chicago/Turabian StyleSpivak, Jerry L. 2024. "Myeloproliferative Neoplasms: Challenging Dogma" Journal of Clinical Medicine 13, no. 22: 6957. https://doi.org/10.3390/jcm13226957
APA StyleSpivak, J. L. (2024). Myeloproliferative Neoplasms: Challenging Dogma. Journal of Clinical Medicine, 13(22), 6957. https://doi.org/10.3390/jcm13226957
