Diagnostic Accuracy of Neurocognitive and Executive Functions to Discriminate Women With and Without Fibromyalgia Syndrome: A Secondary Analysis
Abstract
1. Introduction
2. Methods
2.1. Participants
2.2. Study Procedure
2.3. Visuospatial Memory
2.4. Selective Attention
2.5. Executive Functions
2.6. Sample Size Determination
2.7. Statistical Analysis
3. Results
4. Discussion
5. Conclusions
Author Contributions
Funding
Institutional Review Board Statement
Informed Consent Statement
Data Availability Statement
Conflicts of Interest
References
- Marques, A.P.; Santo, A.S.; Berssaneti, A.A.; Matsutani, L.A.; Yuan, S.L.K. Prevalence of fibromyalgia: Literature review update. Rev. Bras. Reumatol. Engl. Ed. 2017, 57, 356–363. [Google Scholar] [CrossRef]
- D’Onghia, M.; Ciaffi, J.; Ruscitti, P.; Cipriani, P.; Giacomelli, R.; Ablin, J.N.; Ursini, F. The economic burden of fibromyalgia: A systematic literature review. Semin. Arthritis Rheum. 2022, 56, 152060. [Google Scholar] [CrossRef]
- Sarzi-Puttini, P.; Giorgi, V.; Marotto, D.; Atzeni, F. Fibromyalgia: An update on clinical characteristics, etiopathogenesis and treatment. Nat. Rev. Rheumatol. 2020, 16, 645–660. [Google Scholar] [CrossRef]
- Veras de Mendonça, B.T.; Silva, G.G.; Busatto, L.M.; Dias, N.M. Executive functions in fibromyalgia: A systematic review. Psychol. Neurosci. 2021, 14, 413–437. [Google Scholar] [CrossRef]
- Valera-Calero, J.A.; Arendt-Nielsen, L.; Cigarán-Méndez, M.; Fernández-de-las-Peñas, C.; Varol, U. Network analysis for better understanding the complex psycho-biological mechanisms behind fibromyalgia syndrome. Diagnostics 2022, 12, 1845. [Google Scholar] [CrossRef]
- Fernández-Feijoo, F.; Samartin-Veiga, N.; Carrillo-de-la-Peña, M.T. Quality of life in patients with fibromyalgia: Contributions of disease symptoms, lifestyle and multi-medication. Front. Psychol. 2022, 13, 924405. [Google Scholar] [CrossRef]
- Kravitz, H.M.; Katz, R.S. Fibrofog and fibromyalgia: A narrative review and implications for clinical practice. Rheumatol. Int. 2015, 35, 1115–1125. [Google Scholar] [CrossRef]
- Kratz, A.L.; Whibley, D.; Kim, S.; Sliwinski, M.; Clauw, D.; Williams, D.A. Fibrofog in daily life: An examination of ambulatory subjective and objective cognitive function in fibromyalgia. Arthritis Care Res. 2020, 72, 1669–1677. [Google Scholar] [CrossRef]
- Wu, Y.L.; Huang, C.J.; Fang, S.C.; Ko, L.H.; Tsai, P.S. Cognitive impairment in fibromyalgia: A meta-analysis of case-control studies. Psychosom. Med. 2018, 80, 432–438. [Google Scholar] [CrossRef]
- Bell, T.; Trost, Z.; Buelow, M.T.; Clay, O.; Younger, J.; Moore, D.; Crowe, M. Meta-analysis of cognitive performance in fibromyalgia. J. Clin. Exp. Neuropsychol. 2018, 40, 698–714. [Google Scholar] [CrossRef]
- Gelonch, O.; Garolera, M.; Valls, J.; Rosselló, L.; Pifarré, J. Executive function in fibromyalgia: Comparing subjective and objective measures. Compr. Psychiatry 2016, 66, 113–122. [Google Scholar] [CrossRef]
- Gelonch, O.; Garolera, M.; Valls, J.; Rosselló, L.; Pifarré, J. Cognitive complaints in women with fibromyalgia: Are they due to depression or to objective cognitive dysfunction? J. Clin. Exp. Neuropsychol. 2017, 39, 1013–1025. [Google Scholar] [CrossRef]
- Fernández-Palacios, F.G.; Pacho-Hernández, J.C.; Fernández-de-las-Peñas, C.; Gómez-Calero, C.; Cigarán-Méndez, M. Evaluation of cognitive performance in patients with fibromyalgia syndrome: A case-control study. Life 2024, 14, 649. [Google Scholar] [CrossRef]
- Segura-Jiménez, V.; Aparicio, V.A.; Álvarez-Gallardo, I.C.; Soriano-Maldonado, A.; Estévez-López, F.; Delgado-Fernández, M.; Carbonell-Baeza, A. Validation of the modified 2010 American College of Rheumatology diagnostic criteria for fibromyalgia in a Spanish population. Rheumatology 2014, 53, 1803–1811. [Google Scholar] [CrossRef]
- Shin, M.S.; Park, S.Y.; Park, S.R.; Seol, S.H.; Kwon, J.S. Clinical and empirical applications of the Rey-Osterrieth Complex Figure. Nat. Protoc. 2006, 1, 892–899. [Google Scholar] [CrossRef]
- Loring, D.W.; Martin, R.C.; Meador, K.J.; Lee, G.P. Psychometric construction of the Rey-Osterrieth complex figure: Methodological considerations and interrater reliability. Arch. Clin. Neuropsychol. 1990, 5, 1–14. [Google Scholar] [CrossRef]
- Tupler, L.A.; Welsh, K.A.; Asare-Aboagye, Y.; Dawson, D.V. Reliability of the Rey-Osterrieth Complex Figure in use with memory-impaired patients. J. Clin. Exp. Neuropsychol. 1995, 17, 566–579. [Google Scholar] [CrossRef]
- Seisdedos, N. D2: Test de Atención; Adaptación española; Tea Ediciones: Madrid, Spain, 2022. [Google Scholar]
- Brickenkamp, R.; Cubero, N.S. D2: Test de Atención; Tea Ediciones: Madrid, Spain, 2002. [Google Scholar]
- Lee, P.; Lu, W.S.; Liu, C.H.; Lin, H.Y.; Hsieh, C.L. Test-retest reliability and minimal detectable change of the d2 test of attention in patients with schizophrenia. Arch. Clin. Neuropsychol. 2018, 33, 1060–1068. [Google Scholar] [CrossRef]
- Wechsler, D. Escala de Inteligencia de Wechsler para Adultos-IV (WAIS-IV); Pearson Educación: Madrid, Spain, 2012. [Google Scholar]
- Dasí, C.; Fuentes-Durá, I.; Ruiz, J.C.; Navarro, M. Four-subtest short-form of the WAIS-IV for assessment of patients diagnosed with schizophrenia. Rev. Psiquiatr. Salud Ment. Engl. Ed. 2021, 14, 139–147. [Google Scholar] [CrossRef]
- Hinton-Bayre, A.; Geffen, G. Comparability, reliability, and practice effects on alternate forms of the Digit Symbol Substitution and Symbol Digit Modalities tests. Psychol. Assess. 2005, 17, 237–241. [Google Scholar] [CrossRef]
- Wechsler, D.; Coalson, D.L.; Raiford, S.E. WAIS-IV Technical and Interpretive Manual; Pearson: San Antonio, TX, USA, 2008. [Google Scholar]
- Bowden, S.C.; Petrauskas, V.M.; Bardenhagen, F.J.; Meade, C.E.; Simpson, L.C. Exploring the dimensionality of digit span. Assessment 2013, 20, 188–198. [Google Scholar] [CrossRef]
- Sedó, M.A. Test de los Cinco Dígitos (FDT); Tea Ediciones: Madrid, Spain, 2007. [Google Scholar]
- Chiu, E.C.; Koh, C.L.; Tsai, C.Y.; Lu, W.S.; Sheu, C.F.; Hsueh, I.P.; Hsieh, C.L. Practice effects and test-re-test reliability of the Five Digit Test in patients with stroke over four serial assessments. Brain Inj. 2014, 28, 1726–1733. [Google Scholar] [CrossRef]
- Wilson, B.A.; Alderman, N.; Burgess, P.W.; Emslie, H.; Evans, J.J. Behavioural Assessment of the Dysexecutive Syndrome; Thames Valley Test Company: St Edmunds, UK, 1996. [Google Scholar]
- Oosterman, J.M.; Wijers, M.; Kessels, R.P. Planning or something else? Examining neuropsychological predictors of Zoo Map performance. Appl. Neuropsychol. Adult 2013, 20, 103–109. [Google Scholar] [CrossRef]
- Negida, A.; Fahim, N.K.; Negida, Y. Sample Size calculation guide—Part 4: How to calculate the sample size for a diagnostic test accuracy study based on sensitivity, specificity, and the area under the ROC curve. Adv. J. Emerg. Med. 2019, 3, e33. [Google Scholar]
- Mandrekar, J.N. Receiver operating characteristic curve in diagnostic test assessment. J. Thorac. Oncol. 2010, 5, 1315–1316. [Google Scholar] [CrossRef]
- Le, C.T. A solution for the most basic optimization problem associated with an ROC curve. Stat. Methods Med. Res. 2006, 15, 571–584. [Google Scholar] [CrossRef]
- Parikh, R.; Mathai, A.; Parikh, S.; Sekhar, G.C.; Thomas, R. Understanding and using sensitivity, specificity and predictive values. Indian J. Ophthalmol. 2008, 56, 45. [Google Scholar] [CrossRef]
- Duschek, S. Attentional function in fibromyalgia and rheumatoid arthritis. PLoS ONE 2021, 16, e0246128. [Google Scholar]
- Mirsky, A.F. The neuropsychology of attention: Elements of a complex behavior. In Integrating Theory and Practice in Clinical Neuropsychology; Perecman, E., Ed.; Routledge: London, UK, 2018; pp. 75–92. [Google Scholar]
- Bou Khalil, R.; Khoury, E.; Richa, S. The comorbidity of fibromyalgia syndrome and attention deficit and hyperactivity disorder from a pathogenic perspective. Pain Med. 2018, 19, 1705–1709. [Google Scholar] [CrossRef]
- Gil-Ugidos, A.; Rodríguez-Salgado, D.; Pidal-Miranda, M.; Samartin-Veiga, N.; Fernández-Prieto, M.; Carrillo-de-la-Peña, M.T.; Galvez-Sánchez, C.M.; Reyes Del Paso, G.A.; Duschek, S. Cognitive impairments in fibromyalgia syndrome: Associations with positive and negative affect, alexithymia, pain catastrophizing and self-esteem. Front. Psychol. 2018, 9, 377. [Google Scholar]
- Martínez-Lavín, M.; Améndola, A.; Guerrero, A.L.; Pineda, C. Fibromyalgia is related to the abnormal function of cerebral pain-related networks. Open Rheumatol. J. 2017, 11, 55–63. [Google Scholar]
- Cagnie, B.; Coppieters, I.; Denecker, S.; Six, J.; Danneels, L.; Meeus, M. Central sensitization in fibromyalgia? A systematic review on structural and functional brain MRI. Semin. Arthritis Rheum. 2014, 44, 68–75. [Google Scholar] [CrossRef]
- Rodriguez-Andreu, J.; Ibáñez-Bosch, R.; Portero-Vázquez, J.A.; Masramón, X.; Rejas, J.; Perulero, N. Cognitive impairment in patients with fibromyalgia syndrome as assessed by the Mini-Mental State Examination. BMC Musculoskelet Disord. 2009, 10, 162. [Google Scholar] [CrossRef]
- Grace, G.M.; Nielson, W.R.; Hopkins, M.; Berg, M.A.; Krawchuk, L.E. Concentration and memory deficits in patients with fibromyalgia syndrome. J. Clin. Exp. Neuropsychol. 1999, 21, 477–487. [Google Scholar] [CrossRef]
- Apkarian, A.V.; Sosa, Y.; Sonty, S.; Levy, R.M.; Harden, N.; Parrish, T.B.; Gitelman, D.R. Chronic back pain is associated with decreased prefrontal and thalamic gray matter density. J. Neurosci. 2004, 24, 10410–10415. [Google Scholar] [CrossRef]
- Kuchinad, A.; Schweinhardt, P.; Seminowicz, D.A.; Wood, P.B.; Chizh, B.A.; Bushnell, M.C. Accelerated brain gray matter loss in fibromyalgia patients: Premature aging of the brain? J. Neurosci. 2007, 27, 4004–4007. [Google Scholar] [CrossRef]
- Schmidt-Wilcke, T.; Luerding, R.; Weigand, T.; Jürgens, T.P.; Schuierer, G.; Leinisch, E.; Strigo, I.A. Striatal grey matter increase in patients suffering from fibromyalgia—A voxel-based morphometry study. Pain 2007, 132, S109–S116. [Google Scholar] [CrossRef]
- Jensen, K.B.; Loitoile, R.; Kosek, E.; Petzke, F.; Carville, S.; Fransson, P.; Marcus, H.; Williams, S.C.R.; Choy, E.; Giesecke, T.; et al. Patients with fibromyalgia display less functional connectivity in the brain’s pain inhibitory network. Mol. Pain 2012, 8, 32. [Google Scholar] [CrossRef]
- Glass, J.M.; Park, D.C.; Minear, M.; Crofford, L.J. Memory beliefs and function in fibromyalgia patients. J. Psychosom. Res. 2005, 58, 263–269. [Google Scholar] [CrossRef]






| Cognitive Domains | Neuropsychological Tests | Outcomes | Method of Administration |
|---|---|---|---|
| Visuospatial Memory | Rey-Osterrieth Complex Figure (ROCF) | ROCF_Copy | Visual/Oral |
| ROCF_Recall | |||
| ROCF_TimeCopy | |||
| Selective Attention | D2 Test of Attention | D2_TR | Visual/Manual (Paper) |
| D2_TA | |||
| D2_TOT | |||
| D2_CON | |||
| D2_VAR | |||
| D2_O | |||
| D2_C | |||
| Processing Speed | Symbol Search (WAIS-IV) | Total Score | Visual/Manual (Paper) |
| Working Memory | Digit Span Forward (WAIS-IV) | Span of digits | Auditory/Oral |
| Digit Span Backward (WAIS-IV) | Auditory Working Memory | ||
| Digit Span Sequencing (WAIS-IV) | Auditory Working Memory | ||
| Planning/Decision | Zoo Map Test | Total Score | Visual/Manual (Paper) |
| Mental Inhibition | Five Digits Test FDT | Inhibiting_FDT | Visual/Oral |
| Shifting_FDT | |||
| Decoding_FDT | |||
| Retrieving_FDT |
| Fibromyalgia (n = 129) | Controls (n = 111) | p | |
|---|---|---|---|
| ROCF_Copy * | 30.4 (0.6) | 32.7 (0.7) | 0.043 |
| ROCF_Recall * | 12.0 (0.8) | 16.0 (0.9) | 0.004 |
| ROCF_TimeCopy | 3.1 (1.1) | 3.9 (1.2) | 0.692 |
| d2_TR * | 337.1 (10.1) | 379.5 (11.3) | 0.019 |
| d2_TA * | 110.2 (4.5) | 131.7 (5.0) | 0.007 |
| d2_O | 31.9 (3.7) | 29.5 (4.2) | 0.709 |
| d2_C * | 6.5 (1.3) | 1.8 (1.4) | 0.042 |
| d2_TOT * | 295.6 (10.0) | 345.6 (11.2) | 0.005 |
| d2_CON * | 104.9 (4.9) | 130.2 (5.5) | 0.004 |
| d2_VAR | 15.6 (0.8) | 14.6 (0.9) | 0.486 |
| Symbol Search * | 26.4 (0.9) | 30.9 (1.1) | 0.008 |
| DSF | 7.9 (0.2) | 7.9 (0.2) | 0.821 |
| DSB | 6.7 (0.2) | 7.3 (0.2) | 0.145 |
| DSS | 7.1 (0.2) | 7.5 (0.3) | 0.455 |
| Decoding_FDT * | 25.3 (0.8) | 20.1 (0.9) | 0.001 |
| Retrieving_FDT * | 29.7 (1.4) | 22.0 (1.5) | 0.001 |
| Inhibiting_FDT * | 46.8 (2.2) | 37.9 (2.5) | 0.024 |
| Shifting_FDT | 60.6 (2.9) | 50.4 (3.3) | 0.053 |
| Zoo Map test | 11.1 (0.4) | 12.1 (0.5) | 0.172 |
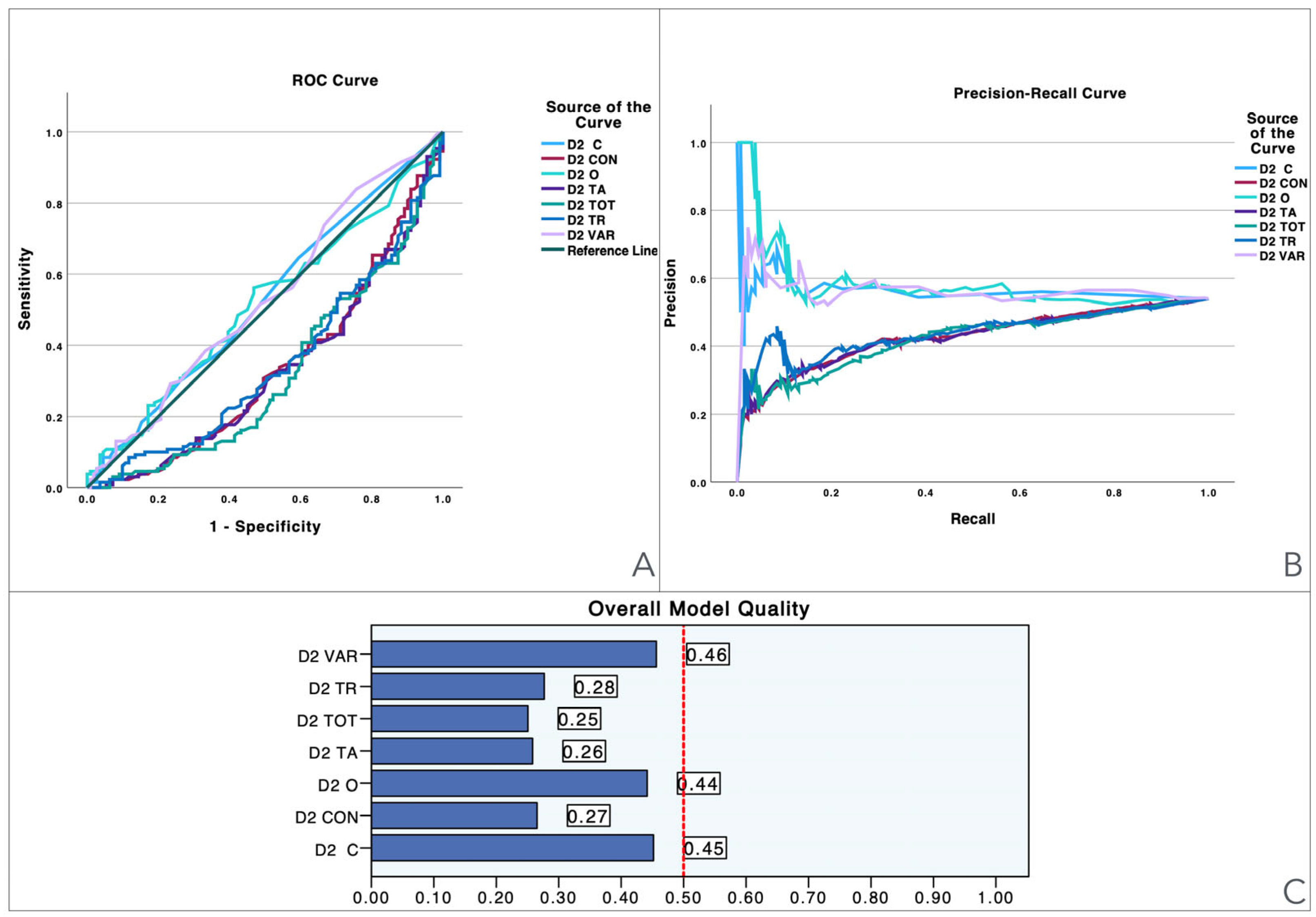
| Variables | ROC Value | 95% CI | Cut-Off Point | Significance | Sensitivity | Specificity | Youden Index | Positive LR | Negative LR |
|---|---|---|---|---|---|---|---|---|---|
| ROCF_Copy | 0.457 | 0.384–0.529 | 43.5 | 0.241 | 0.015 | 0.000 | 0.016 | NA | NA |
| ROCF_Recall | 0.391 | 0.320–0.462 | 36.0 | 0.003 | 0.000 | 0.000 | 0.000 | NA | NA |
| ROCF_TimeCopy | 0.662 | 0.594–0.731 | 3.07 | 0.001 | 0.473 | 0.216 | 0.266 | 0.603 | 2.44 |
| d2_TR | 0.341 | 0.273–0.410 | 600.0 | 0.001 | 0.000 | 0.000 | 0.000 | NA | NA |
| d2_TA | 0.323 | 0.255–0.390 | 236.0 | 0.001 | 0.000 | 0.000 | 0.000 | NA | NA |
| d2_O | 0.512 | 0.439–0.585 | 16.5 | 0.753 | 0.558 | 0.468 | 0.090 | 1.05 | 0.944 |
| d2_C | 0.527 | 0.454–0.601 | 0.5 | 0.462 | 0.651 | 0.595 | 0.057 | 1.60 | 0.587 |
| d2_TOT | 0.314 | 0.247–0.381 | 561.0 | 0.001 | 0.000 | 0.000 | 0.000 | NA | NA |
| d2_CON | 0.331 | 0.263–0.399 | 235.0 | 0.001 | 0.000 | 0.000 | 0.000 | NA | NA |
| d2_VAR | 0.528 | 0.455–0.602 | 9.5 | 0.449 | 0.837 | 0.757 | 0.080 | 3.44 | 0.215 |
| Symbol Search | 0.341 | 0.272–0.411 | 54.0 | 0.001 | 0.000 | 0.000 | 0.000 | NA | NA |
| DSF | 0.396 | 0.325–0.467 | 2.5 | 0.004 | 1.000 | 0.991 | 0.009 | 111.1 | 0.000 |
| DSB | 0.396 | 0.325–0.467 | 15.0 | 0.004 | 0.000 | 0.000 | 0.000 | NA | NA |
| DSS | 0.361 | 0.291–0.431 | 0.5 | 0.001 | 1.000 | 0.991 | 0.009 | 111.1 | 0.000 |
| Decoding_FDT | 0.724 | 0.660–0.788 | 22.5 | 0.001 | 0.504 | 0.162 | 0.342 | 0.601 | 3.06 |
| Retrieving_FDT | 0.739 | 0.676–0.802 | 21.5 | 0.001 | 0.853 | 0.486 | 0.366 | 1.660 | 0.302 |
| Inhibiting_FDT | 0.708 | 0.642–0.773 | 40.5 | 0.001 | 0.566 | 0.225 | 0.341 | 0.730 | 1.929 |
| Shifting_FDT | 0.653 | 0.584–0.722 | 54.5 | 0.001 | 0.512 | 0.288 | 0.223 | 0.719 | 1.694 |
| Zoo Map Test | 0.401 | 0.330–0.473 | 17.0 | 0.007 | 0.000 | 0.000 | 0.000 | NA | NA |
Disclaimer/Publisher’s Note: The statements, opinions and data contained in all publications are solely those of the individual author(s) and contributor(s) and not of MDPI and/or the editor(s). MDPI and/or the editor(s) disclaim responsibility for any injury to people or property resulting from any ideas, methods, instructions or products referred to in the content. |
© 2024 by the authors. Licensee MDPI, Basel, Switzerland. This article is an open access article distributed under the terms and conditions of the Creative Commons Attribution (CC BY) license (https://creativecommons.org/licenses/by/4.0/).
Share and Cite
Cigarán-Mendez, M.; Pacho-Hernández, J.C.; Tejera-Alonso, Á.; Gómez-Calero, C.; Fernández-de-las-Peñas, C.; Valera-Calero, J.A.; Fernández-Palacios, F.G. Diagnostic Accuracy of Neurocognitive and Executive Functions to Discriminate Women With and Without Fibromyalgia Syndrome: A Secondary Analysis. J. Clin. Med. 2024, 13, 6195. https://doi.org/10.3390/jcm13206195
Cigarán-Mendez M, Pacho-Hernández JC, Tejera-Alonso Á, Gómez-Calero C, Fernández-de-las-Peñas C, Valera-Calero JA, Fernández-Palacios FG. Diagnostic Accuracy of Neurocognitive and Executive Functions to Discriminate Women With and Without Fibromyalgia Syndrome: A Secondary Analysis. Journal of Clinical Medicine. 2024; 13(20):6195. https://doi.org/10.3390/jcm13206195
Chicago/Turabian StyleCigarán-Mendez, Margarita, Juan C. Pacho-Hernández, Ángela Tejera-Alonso, Cristina Gómez-Calero, César Fernández-de-las-Peñas, Juan A. Valera-Calero, and Francisco G. Fernández-Palacios. 2024. "Diagnostic Accuracy of Neurocognitive and Executive Functions to Discriminate Women With and Without Fibromyalgia Syndrome: A Secondary Analysis" Journal of Clinical Medicine 13, no. 20: 6195. https://doi.org/10.3390/jcm13206195
APA StyleCigarán-Mendez, M., Pacho-Hernández, J. C., Tejera-Alonso, Á., Gómez-Calero, C., Fernández-de-las-Peñas, C., Valera-Calero, J. A., & Fernández-Palacios, F. G. (2024). Diagnostic Accuracy of Neurocognitive and Executive Functions to Discriminate Women With and Without Fibromyalgia Syndrome: A Secondary Analysis. Journal of Clinical Medicine, 13(20), 6195. https://doi.org/10.3390/jcm13206195

