Opportunistic Screening for Low Bone Mineral Density in Adults with Cystic Fibrosis Using Low-Dose Computed Tomography of the Chest with Artificial Intelligence
Abstract
1. Introduction
2. Methods
2.1. Study Design and Participants
2.2. Image Acquisition
2.2.1. DXA Scanning
2.2.2. Computer Tomography and AI
2.3. Pulmonary Function Testing and Body Mass Index
2.4. Statistical Analysis
3. Results
3.1. Study Population
3.2. Dual-Energy X-ray Absorptiometry (DXA)
3.3. CT-Derived Bone Density
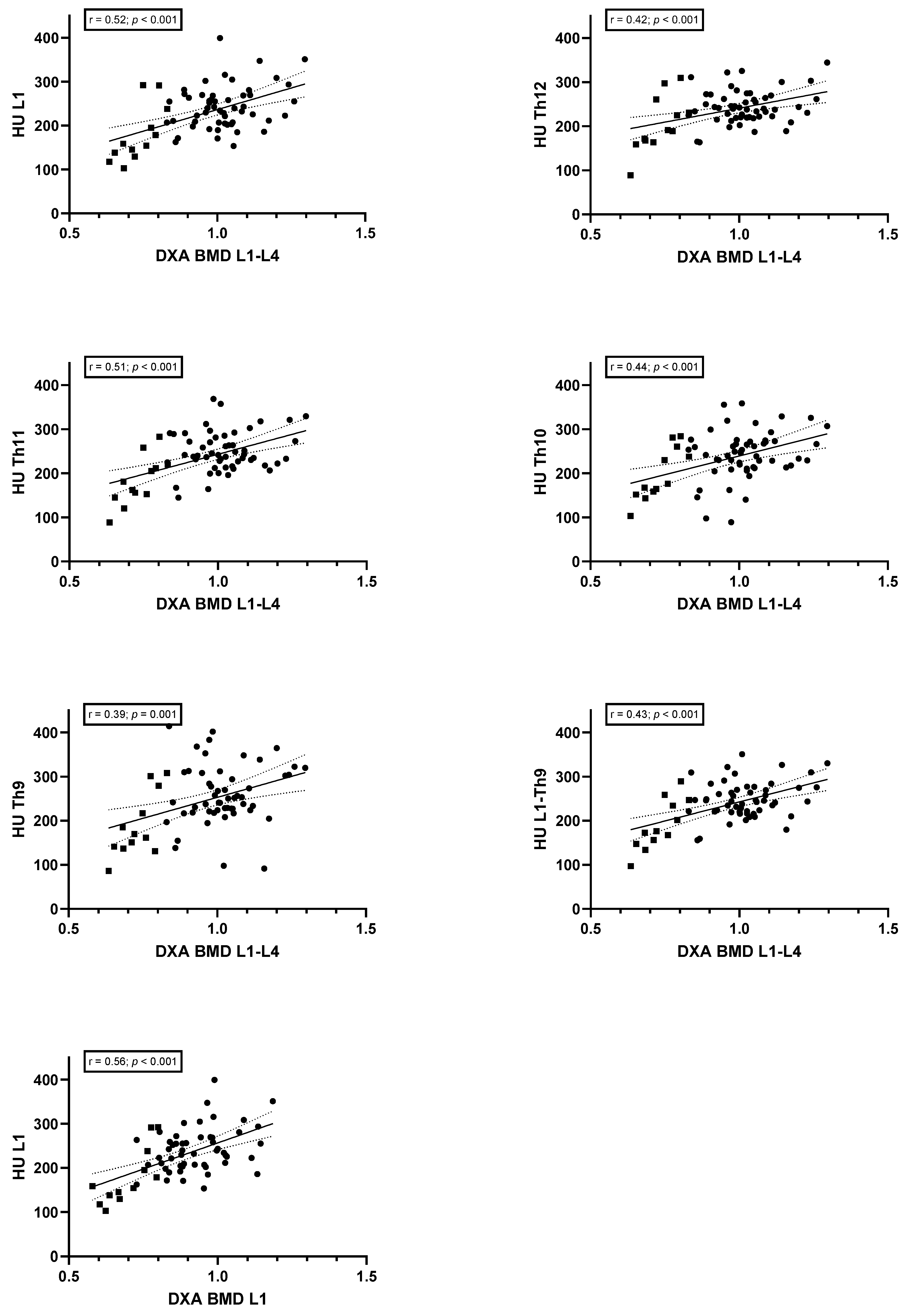
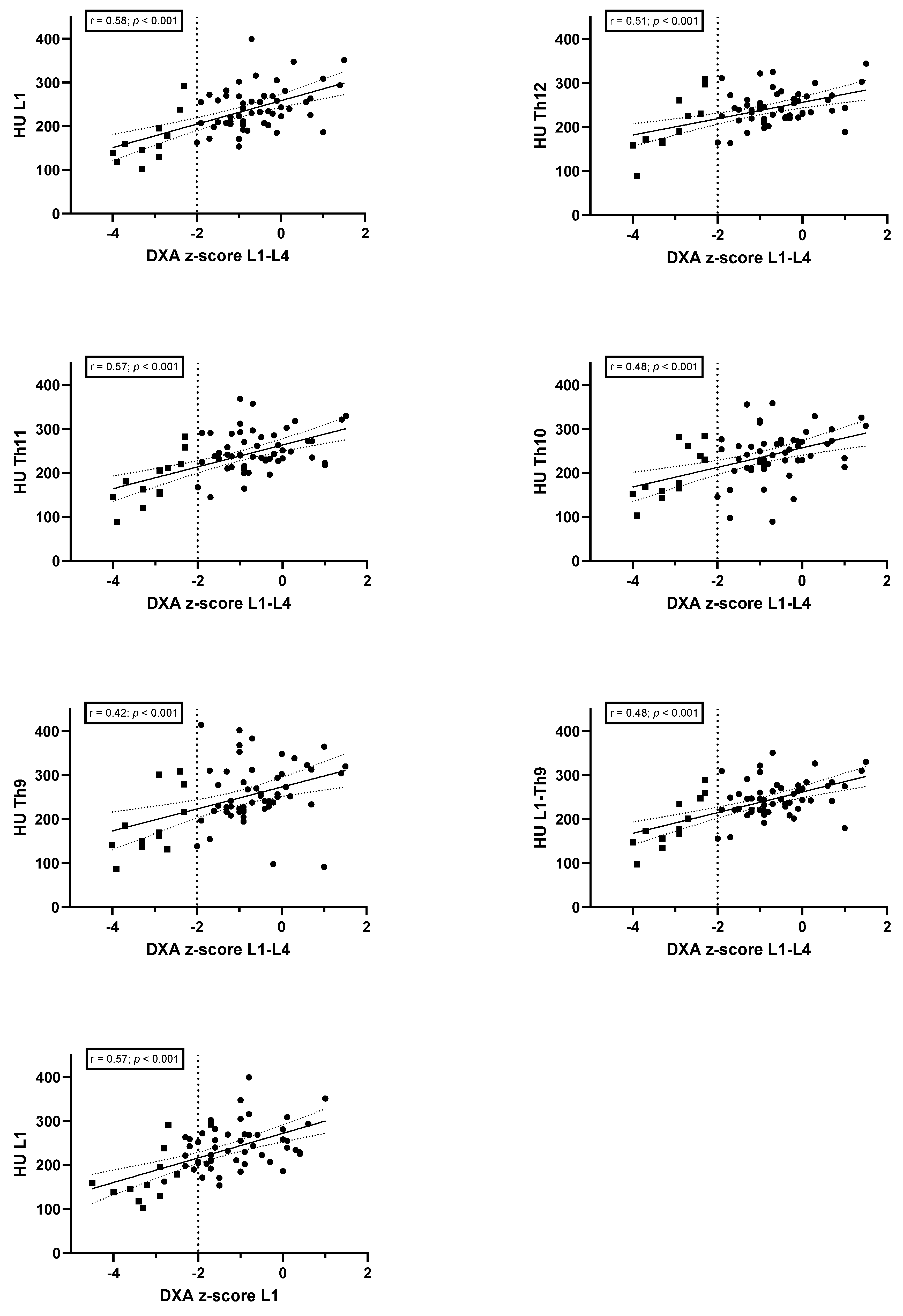
3.4. Correlation between DXA (Z-Scores and BMD) and CT-Derived Bone Density
3.5. ROC Analysis
4. Discussion
Limitations
5. Conclusions
Author Contributions
Funding
Institutional Review Board Statement
Data Availability Statement
Conflicts of Interest
Abbreviations
| AI | artificial intelligence |
| AUC | area under the curve |
| BCA | body composition analysis |
| BMI | body mass index |
| BOA | body organ analysis |
| CF | cystic fibrosis |
| CFBD | cystic fibrosis-related bone disease |
| CFTR | cystic fibrosis transmembrane conductance regulator |
| CT | computed tomography |
| DXA | dual-energy X-ray absorptiometry |
| LDCT | low-dose computed tomography |
| PFT | pulmonary function testing |
| ppFEV1 | percent predicted forced expiratory volume in 1 s |
| pwCF | people with cystic fibrosis |
| ROC | receiver operating characteristic |
References
- Mall, M.A.; Burgel, P.R.; Castellani, C.; Davies, J.C.; Salathe, M.; Taylor-Cousar, J.L. Cystic fibrosis. Nat. Rev. Dis. Primers 2024, 10, 53. [Google Scholar] [CrossRef] [PubMed]
- Ong, T.; Ramsey, B.W. Cystic Fibrosis: A Review. JAMA 2023, 329, 1859–1871. [Google Scholar] [CrossRef] [PubMed]
- Ticona, J.H.; Lapinel, N.; Wang, J. Future Comorbidities in an Aging Cystic Fibrosis Population. Life 2023, 13, 1305. [Google Scholar] [CrossRef] [PubMed]
- Mischler, E.H.; Chesney, P.J.; Chesney, R.W.; Mazess, R.B. Demineralization in cystic fibrosis detected by direct photon absorptiometry. Am. J. Dis. Child. 1979, 133, 632–635. [Google Scholar] [CrossRef]
- Fainardi, V.; Nora, M.; Salghetti, A.; Petraglia, F.; Fanzaghi, P.; Anelli, G.; Cattabiani, M.; Scopelliti, G.; Deolmi, M.; Ferrari, I.; et al. Prevalence of Scoliosis in Children and Adolescents with Cystic Fibrosis. Children 2024, 11, 321. [Google Scholar] [CrossRef]
- Paccou, J.; Zeboulon, N.; Combescure, C.; Gossec, L.; Cortet, B. The prevalence of osteoporosis, osteopenia, and fractures among adults with cystic fibrosis: A systematic literature review with meta-analysis. Calcif. Tissue Int. 2010, 86, 1–7. [Google Scholar] [CrossRef]
- Putman, M.S.; Anabtawi, A.; Le, T.; Tangpricha, V.; Sermet-Gaudelus, I. Cystic fibrosis bone disease treatment: Current knowledge and future directions. J. Cyst. Fibros. 2019, 18 (Suppl. S2), S56–S65. [Google Scholar] [CrossRef]
- Sermet-Gaudelus, I.; Bianchi, M.L.; Garabédian, M.; Aris, R.M.; Morton, A.; Hardin, D.S.; Elkin, S.L.; Compston, J.E.; Conway, S.P.; Castanet, M.; et al. European cystic fibrosis bone mineralisation guidelines. J. Cyst. Fibros. 2011, 10, S16–S23. [Google Scholar] [CrossRef] [PubMed]
- Jacquot, J.; Delion, M.; Gangloff, S.; Braux, J.; Velard, F. Bone disease in cystic fibrosis: New pathogenic insights opening novel therapies. Osteoporos. Int. 2016, 27, 1401–1412. [Google Scholar] [CrossRef]
- Mora Vallellano, J.; Delgado Pecellin, C.; Delgado Pecellin, I.; Quintana Gallego, E.; Lopez-Campos, J.L. Evaluation of bone metabolism in children with cystic fibrosis. Bone 2021, 147, 115929. [Google Scholar] [CrossRef]
- Stephenson, A.; Jamal, S.; Dowdell, T.; Pearce, D.; Corey, M.; Tullis, E. Prevalence of vertebral fractures in adults with cystic fibrosis and their relationship to bone mineral density. Chest 2006, 130, 539–544. [Google Scholar] [CrossRef] [PubMed]
- Baroncelli, G.I.; De Luca, F.; Magazzu, G.; Arrigo, T.; Sferlazzas, C.; Catena, C.; Bertelloni, S.; Saggese, G. Bone demineralization in cystic fibrosis: Evidence of imbalance between bone formation and degradation. Pediatr. Res. 1997, 41, 397–403. [Google Scholar] [CrossRef] [PubMed]
- Putman, M.S.; Milliren, C.E.; Derrico, N.; Uluer, A.; Sicilian, L.; Lapey, A.; Sawicki, G.; Gordon, C.M.; Bouxsein, M.L.; Finkelstein, J.S. Compromised bone microarchitecture and estimated bone strength in young adults with cystic fibrosis. J. Clin. Endocrinol. Metab. 2014, 99, 3399–3407. [Google Scholar] [CrossRef]
- Boyle, R.L.; Psoter, K.J.; Merlo, C.A.; Sidhaye, A.R.; Lechtzin, N.; Patel, S.; Montemayor, K.; Horne, A.; West, N.E. Prevalence and Risk Factors for Low Bone Mineral Density in Adults with Cystic Fibrosis. JBMR Plus 2022, 6, e10666. [Google Scholar] [CrossRef]
- Ciet, P.; Bertolo, S.; Ros, M.; Casciaro, R.; Cipolli, M.; Colagrande, S.; Costa, S.; Galici, V.; Gramegna, A.; Lanza, C.; et al. State-of-the-art review of lung imaging in cystic fibrosis with recommendations for pulmonologists and radiologists from the “iMAging managEment of cySTic fibROsis” (MAESTRO) consortium. Eur. Respir. Rev. 2022, 31, 210173. [Google Scholar] [CrossRef]
- He, Y.; Lin, J.; Zhu, S.; Zhu, J.; Xu, Z. Deep learning in the radiologic diagnosis of osteoporosis: A literature review. J. Int. Med. Res. 2024, 52, 3000605241244754. [Google Scholar] [CrossRef] [PubMed]
- Liu, R.W.; Ong, W.; Makmur, A.; Kumar, N.; Low, X.Z.; Shuliang, G.; Liang, T.Y.; Ting, D.F.K.; Tan, J.H.; Hallinan, J. Application of Artificial Intelligence Methods on Osteoporosis Classification with Radiographs-A Systematic Review. Bioengineering 2024, 11, 484. [Google Scholar] [CrossRef]
- Hu, N.; Wang, M.; Yang, M.; Chen, X.; Wang, J.; Xie, C.; Zhang, B.; Wang, Z.; Chen, X. Bone mineral density in lower thoracic vertebra for osteoporosis diagnosis in older adults during CT lung cancer screening. BMC Geriatr. 2024, 24, 237. [Google Scholar] [CrossRef]
- Sollmann, N.; Loffler, M.T.; El Husseini, M.; Sekuboyina, A.; Dieckmeyer, M.; Ruhling, S.; Zimmer, C.; Menze, B.; Joseph, G.B.; Baum, T.; et al. Automated Opportunistic Osteoporosis Screening in Routine Computed Tomography of the Spine: Comparison with Dedicated Quantitative CT. J. Bone Miner. Res. 2022, 37, 1287–1296. [Google Scholar] [CrossRef]
- Yang, J.; Liao, M.; Wang, Y.; Chen, L.; He, L.; Ji, Y.; Xiao, Y.; Lu, Y.; Fan, W.; Nie, Z.; et al. Opportunistic osteoporosis screening using chest CT with artificial intelligence. Osteoporos. Int. 2022, 33, 2547–2561. [Google Scholar] [CrossRef]
- Fang, Y.; Li, W.; Chen, X.; Chen, K.; Kang, H.; Yu, P.; Zhang, R.; Liao, J.; Hong, G.; Li, S. Opportunistic osteoporosis screening in multi-detector CT images using deep convolutional neural networks. Eur. Radiol. 2021, 31, 1831–1842. [Google Scholar] [CrossRef]
- Pickhardt, P.J.; Summers, R.M.; Garrett, J.W.; Krishnaraj, A.; Agarwal, S.; Dreyer, K.J.; Nicola, G.N. Opportunistic Screening: Radiology Scientific Expert Panel. Radiology 2023, 307, e222044. [Google Scholar] [CrossRef] [PubMed]
- Haubold, J.; Baldini, G.; Parmar, V.; Schaarschmidt, B.M.; Koitka, S.; Kroll, L.; van Landeghem, N.; Umutlu, L.; Forsting, M.; Nensa, F.; et al. BOA: A CT-Based Body and Organ Analysis for Radiologists at the Point of Care. Investig. Radiol. 2024, 59, 433–441. [Google Scholar] [CrossRef] [PubMed]
- Wasserthal, J.; Breit, H.C.; Meyer, M.T.; Pradella, M.; Hinck, D.; Sauter, A.W.; Heye, T.; Boll, D.T.; Cyriac, J.; Yang, S.; et al. TotalSegmentator: Robust Segmentation of 104 Anatomic Structures in CT Images. Radiol. Artif. Intell. 2023, 5, e230024. [Google Scholar] [CrossRef]
- GLI Calculator. Available online: http://gli-calculator.ersnet.org/ (accessed on 24 June 2024).
- Engelke, K.; Chaudry, O.; Bartenschlager, S. Opportunistic Screening Techniques for Analysis of CT Scans. Curr. Osteoporos. Rep. 2023, 21, 65–76. [Google Scholar] [CrossRef] [PubMed]
- Guenoun, D.; Champsaur, P. Opportunistic Computed Tomography Screening for Osteoporosis and Fracture. Semin. Musculoskelet. Radiol. 2023, 27, 451–456. [Google Scholar] [CrossRef]
- Ong, W.; Liu, R.W.; Makmur, A.; Low, X.Z.; Sng, W.J.; Tan, J.H.; Kumar, N.; Hallinan, J. Artificial Intelligence Applications for Osteoporosis Classification Using Computed Tomography. Bioengineering 2023, 10, 1364. [Google Scholar] [CrossRef]
- Jang, S.; Graffy, P.M.; Ziemlewicz, T.J.; Lee, S.J.; Summers, R.M.; Pickhardt, P.J. Opportunistic Osteoporosis Screening at Routine Abdominal and Thoracic CT: Normative L1 Trabecular Attenuation Values in More than 20 000 Adults. Radiology 2019, 291, 360–367. [Google Scholar] [CrossRef]
- Patel, S.P.; Lee, J.J.; Hecht, G.G.; Holcombe, S.A.; Goulet, J.A. Normative Vertebral Hounsfield Unit Values and Correlation with Bone Mineral Density. J. Clin. Exp. Orthop. 2016, 2, 14. [Google Scholar] [CrossRef]
- Zaidi, Q.; Danisa, O.A.; Cheng, W. Measurement Techniques and Utility of Hounsfield Unit Values for Assessment of Bone Quality Prior to Spinal Instrumentation: A Review of Current Literature. Spine 2019, 44, E239–E244. [Google Scholar] [CrossRef]
- Klinder, T.; Ostermann, J.; Ehm, M.; Franz, A.; Kneser, R.; Lorenz, C. Automated model-based vertebra detection, identification, and segmentation in CT images. Med. Image Anal. 2009, 13, 471–482. [Google Scholar] [CrossRef] [PubMed]
- Watts, N.B. Fundamentals and pitfalls of bone densitometry using dual-energy X-ray absorptiometry (DXA). Osteoporos. Int. 2004, 15, 847–854. [Google Scholar] [CrossRef]
- Chadha, M.; Chaddha, R.; Divakar, H.; Kalyan, H.; Seth, S.; Shah, P. Osteoporosis: Epidemiology, Pathogenesis, Evaluation and Treatment. Open J. Orthop. 2022, 12, 153–182. [Google Scholar] [CrossRef]




| Characteristics | Overall (n = 65) | Normal (n = 53) | CFBD (n = 12) | p-Value (normal vs. CFBD) |
|---|---|---|---|---|
| Age, years | 30.1 ± 7.5 (18–49) | 30.2 ± 7.8 (18–49) | 29.8 ± 6.5 (20–42) | 0.820 |
| Female sex, n (%) | 25 (38) | 0.754 | ||
| Genotype, n (%) | 0.598 | |||
| F508del homozygous | 30 (46) | 24 (45) | 6 (50) | |
| F508del heterozygous | 23 (36) | 18 (34) | 5 (42) | |
| Other | 12 (18) | 11 (21) | 1 (8) | |
| CFTR modulator therapy, n (%) | 0.470 | |||
| Elexacaftor/tezacaftor/ivacaftor | 18 (28) | 13 (25) | 5 (42) | |
| Tezacaftor/ivacaftor | 6 (9) | 4 (8) | 2 (17) | |
| Lumacaftor/ivacaftor | 3 (5) | 3 (6) | 0 | |
| Ivacaftor | 2 (3) | 2 (4) | 0 | |
| None | 36 (55) | 31 (58) | 5 (42) | |
| ppFEV1 | 58.8 ± 21.7 (21–120) | 61.4 ± 22.6 (21–120) | 47.3 ± 12.6 (29–68) | 0.006 |
| FEV1 [L] | 2.4 ± 1.1 (0.7–4.9) | 2.5 ± 1.1 (0.7–4.9) | 1.9 ± 0.5 (1.2–3.0) | 0.006 |
| BMI [kg/m2] | 21.8 ± 4.0 (14.0–39.0) | 22.4 ± 4.0 (14.9–39.0) | 19.4 ± 3.3 (14.0–24.6) | 0.020 |
| Pancreatic insufficiency, n (%) | 53 (82) | 42 (80) | 11 (92) | 0.317 |
| Cystic fibrosis-related diabetes, n (%) | 16 (25) | 15 (28) | 1 (8) | 0.147 |
| 25-hydroxyvitamin D levels [ng/mL] # | 22.0 ± 9.5 (4.3–54.2) | 21.6 ± 7.6 (6.9–38.8) | 23.7 ± 15.7 (4.3–54.2) | 0.660 |
| Cholecalciferol supplementation, n (%) | 50 (77) | 39 (74) | 11 (92) | 0.179 |
| Steroid therapy, n (%) | 5 (8) | 4 (8) | 1 (8) | 0.926 |
| Characteristics | Overall (n = 65) | Normal (n = 53) | CFBD (n = 12) | p-Value (Normal vs. CFBD) |
|---|---|---|---|---|
| DXA z-score L1-L4 | −1.0 ± 1.3 [−1.35–−0.73] | 0.6 ± 0.8 [−0.81–−0.35] | −3.0 ± 0.6 [−3.43–−2.67] | <0.001 |
| DXA BMD L1-L4 [g/cm2] | 0.97 ± 0.15 [0.93–1.01] | 1.02 ± 0.11 [0.99–1.05] | 0.73 ± 0.06 [0.69–0.77] | <0.001 |
| DXA z-score L1 | −1.5 ± 1.2 [−1.77–−1.19] | −1.1 ± 0.9 [−1.36–−0.86] | −3.1 ± 0.7 [−3.59–−2.66] | <0.001 |
| DXA BMD L1 [g/cm2] | 0.89 ± 0.14 [0.86–0.92] | 0.93 ± 0.11 [0.90–0.96] | 0.70 ± 0.08 [0.65–0.75] | <0.001 |
| HU Th9 | 247.1 ± 73.9 [228.79–265.40] | 260.3 ± 68.3 [241.44–279.10] | 188.9 ± 72.1 [143.09–234.75] | 0.002 |
| HU Th10 | 234.0 ± 58.7 [219.41–248.50] | 242.4 ± 55.6 [227.07–257.76] | 196.6 ± 60.0 [158.75–234.46] | 0.013 |
| HU Th11 | 237.7 ± 54.2 [224.30–251.18] | 250.4 ± 45.6 [237.79–262.93] | 182.0 ± 56.0 [146.36–217.56] | <0.001 |
| HU Th12 | 237.0 ± 45.8 [225.71–248.42] | 244.5 ± 37.9 [234.0–254.91] | 204.4 ± 63.2 [164.26–244.58] | 0.055 |
| HU L1 | 230.4 ± 57.6 [216.15–244.71] | 242.2 ± 49.5 [228.54–255.87] | 178.4 ± 64.0 [137.74–219.07] | <0.001 |
| HU Th9–L1 | 237.3 ± 49.7 [224.94–249.57] | 247.1 ± 43.4 [235.13–259.01] | 193.9 ± 54.8 [159.0–228.76] | 0.001 |
| HU Threshold | Sensitivity (%) | 95% CI | Specificity% | 95% CI | Likelihood Ratio | |
|---|---|---|---|---|---|---|
| <190 | Th9 | 66.7 | 39.1–86.2 | 92.5 | 82.1–97.0 | 8.8 |
| <217 | Th9 | 75.0 | 46.8–91.1 | 81.1 | 68.6–89.4 | 4.0 |
| <185 | Th10 | 58.3 | 32.0–80.7 | 88.7 | 77.4–94.7 | 5.2 |
| <238 | Th10 | 75.0 | 46.8–91.1 | 54.7 | 41.5–67.3 | 1.7 |
| <163 | Th11 | 50.0 | 25.4–74.6 | 98.1 | 90.1–99.9 | 26.5 |
| <212 | Th11 | 75.0 | 46.8–91.1 | 84.9 | 72.9–92.1 | 5.0 |
| <179 | Th12 | 41.7 | 19.3–68.0 | 96.2 | 87.2–99.3 | 11.0 |
| <232 | Th12 | 75.0 | 46.8–91.1 | 62.3 | 48.8–74.1 | 2.0 |
| <160 | L1 | 58.3 | 19.3–68.0 | 98.1 | 90.1–99.9 | 30.9 |
| <197 | L1 | 75.0 | 46.8–91.1 | 84.9 | 72.9–91.1 | 5.0 |
| <178 | Th9 -L1 | 58.3 | 32.0–80.7 | 96.2 | 87.2 to 99.3% | 15.5 |
| <234 | Th9 -L1 | 75.0 | 46.8–91.1 | 62.3 | 48.8 to 74.1% | 2.0 |
Disclaimer/Publisher’s Note: The statements, opinions and data contained in all publications are solely those of the individual author(s) and contributor(s) and not of MDPI and/or the editor(s). MDPI and/or the editor(s) disclaim responsibility for any injury to people or property resulting from any ideas, methods, instructions or products referred to in the content. |
© 2024 by the authors. Licensee MDPI, Basel, Switzerland. This article is an open access article distributed under the terms and conditions of the Creative Commons Attribution (CC BY) license (https://creativecommons.org/licenses/by/4.0/).
Share and Cite
Welsner, M.; Navel, H.; Hosch, R.; Rathsmann, P.; Stehling, F.; Mathew, A.; Sutharsan, S.; Strassburg, S.; Westhölter, D.; Taube, C.; et al. Opportunistic Screening for Low Bone Mineral Density in Adults with Cystic Fibrosis Using Low-Dose Computed Tomography of the Chest with Artificial Intelligence. J. Clin. Med. 2024, 13, 5961. https://doi.org/10.3390/jcm13195961
Welsner M, Navel H, Hosch R, Rathsmann P, Stehling F, Mathew A, Sutharsan S, Strassburg S, Westhölter D, Taube C, et al. Opportunistic Screening for Low Bone Mineral Density in Adults with Cystic Fibrosis Using Low-Dose Computed Tomography of the Chest with Artificial Intelligence. Journal of Clinical Medicine. 2024; 13(19):5961. https://doi.org/10.3390/jcm13195961
Chicago/Turabian StyleWelsner, Matthias, Henning Navel, Rene Hosch, Peter Rathsmann, Florian Stehling, Annie Mathew, Sivagurunathan Sutharsan, Svenja Strassburg, Dirk Westhölter, Christian Taube, and et al. 2024. "Opportunistic Screening for Low Bone Mineral Density in Adults with Cystic Fibrosis Using Low-Dose Computed Tomography of the Chest with Artificial Intelligence" Journal of Clinical Medicine 13, no. 19: 5961. https://doi.org/10.3390/jcm13195961
APA StyleWelsner, M., Navel, H., Hosch, R., Rathsmann, P., Stehling, F., Mathew, A., Sutharsan, S., Strassburg, S., Westhölter, D., Taube, C., Zensen, S., Schaarschmidt, B. M., Forsting, M., Nensa, F., Holtkamp, M., Haubold, J., Salhöfer, L., & Opitz, M. (2024). Opportunistic Screening for Low Bone Mineral Density in Adults with Cystic Fibrosis Using Low-Dose Computed Tomography of the Chest with Artificial Intelligence. Journal of Clinical Medicine, 13(19), 5961. https://doi.org/10.3390/jcm13195961

