Dosimetric Comparison between the HyperArc and Conventional VMAT in Cervical Spine Stereotactic Radiosurgery
Abstract
1. Introduction
2. Materials and Methods
2.1. Target and Spinal Cord Delineation
2.2. Treatment Planning
2.3. Dosimetric Comparison
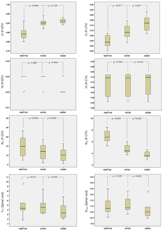
3. Results
3.1. Dosimetric Comparision between HA (SRS NTO 100) and VMAT (NTO 100)
3.2. Dosimetric Comparision between HA (SRS NTO 100) vs. HA (SRS NTO 250)
4. Discussion
5. Conclusions
Author Contributions
Funding
Institutional Review Board Statement
Informed Consent Statement
Data Availability Statement
Conflicts of Interest
Abbreviations
References
- Glicksman, R.M.; Tjong, M.C.; Neves-Junior, W.F.P.; Spratt, D.E.; Chua, K.L.M.; Mansouri, A.; Chua, M.L.K.; Berlin, A.; Winter, J.D.; Dahele, M.; et al. Stereotactic ablative radiotherapy for the management of spinal metastases: A review. JAMA Oncol. 2020, 6, 567–577. [Google Scholar] [CrossRef] [PubMed]
- Howell, D.D.; James, J.L.; Hartsell, W.F.; Suntharalingam, M.; Machtay, M.; Suh, J.H.; Demas, W.F.; Sandler, H.M.; Kachnic, L.A.; Berk, L.B. Single-fraction radiotherapy versus multifraction radiotherapy for palliation of painful vertebral bone metastases-equivalent efficacy, less toxicity, more convenient: A subset analysis of radiation therapy oncology group trial 97-14. Cancer 2013, 119, 888–896. [Google Scholar] [CrossRef] [PubMed]
- Song, X.; Wei, J.; Sun, R.; Jiang, W.; Chen, Y.; Shao, Y.; Gu, W. Stereotactic Body Radiation Therapy Versus Conventional Radiation Therapy in Pain Relief for Bone Metastases: A Systematic Review and Meta-Analysis. Int. J. Radiat. Oncol. Biol. Phys. 2023, 115, 909–921. [Google Scholar] [CrossRef] [PubMed]
- Gutfeld, O.; Kretzler, A.E.; Kashani, R.; Tatro, D.; Balter, J.M. Influence of Rotations on Dose Distributions in Spinal Stereotactic Body Radiotherapy (SBRT). Int. J. Radiat. Oncol. Biol. Phys. 2009, 73, 199–1601. [Google Scholar] [CrossRef] [PubMed]
- Schipani, S.; Wen, W.; Jin, J.-Y.; Kim, J.K.; Ryu, S. Spine Radiosurgery: A Dosimetric Analysis in 124 Patients Who Received 18 Gy. Int. J. Radiat. Oncol. Biol. Phys. 2012, 84, e571–e576. [Google Scholar] [CrossRef]
- Zach, L.; Tsvang, L.; Alezra, D.; Ben Ayun, M.; Harel, R. Volumetric Modulated Arc Therapy for Spine Radiosurgery: Superior Treatment Planning and Delivery Compared to Static Beam Intensity Modulated Radiotherapy. Biomed. Res. Int. 2016, 2016, 6805979. [Google Scholar] [CrossRef]
- Ohira, S.; Ueda, Y.; Akino, Y.; Hashimoto, M.; Masaoka, A.; Hirata, T.; Miyazaki, M.; Koizumi, M.; Teshima, T. HyperArc VMAT planning for single and multiple brain metastases stereotactic radiosurgery: A new treatment planning approach. Radiat. Oncol. 2018, 13, 13. [Google Scholar] [CrossRef]
- Calmels, L.; Blak Nyrup Biancardo, S.; Sibolt, P.; Nørring Bekke, S.; Bjelkengren, U.; Wilken, E.; Geertsen, P.; Sjöström, D.; Behrens, C.F. Single-isocenter stereotactic non-coplanar arc treatment of 200 patients with brain metastases: Multileaf collimator size and setup uncertainties. Strahlenther. Onkol. 2022, 198, 436–447. [Google Scholar] [CrossRef]
- Sprowls, C.J.; Shah, A.P.; Kelly, P.; Burch, D.R.; Mathews, R.S.; Swanick, C.W.; Meeks, S.L. Whole brain radiotherapy with hippocampal sparing using Varian HyperArc. Med. Dosim. 2021, 46, 264–268. [Google Scholar] [CrossRef]
- Pokhrel, D.; Bernard, M.E.; Johnson, J.; Fabian, D.; Kudrimoti, M. HyperArc VMAT stereotactic radiotherapy for locally recurrent previously-irradiated head and neck cancers: Plan quality, treatment delivery accuracy, and efficiency. J. Appl. Clin. Med. Phys. 2022, 23, e13561. [Google Scholar] [CrossRef]
- Teruel, J.R.; Malin, M.; Liu, E.K.; McCarthy, A.; Hu, K.; Cooper, B.T.; Sulman, E.P.; Silverman, J.S.; Barbee, D. Full automation of spinal stereotactic radiosurgery and stereotactic body radiation therapy treatment planning using Varian Eclipse scripting. J. Appl. Clin. Med. Phys. 2020, 21, 122–131. [Google Scholar] [CrossRef] [PubMed]
- Ryu, S.; Pugh, S.L.; Gerszten, P.C.; Yin, F.-F.; Timmerman, R.D.; Hitchcock, Y.J.; Movsas, B.; Kanner, A.A.; Berk, L.B.; Followill, D.S.; et al. RTOG0631 study protocol: Phase II/III study of image-guided radiosurgery/SBRT for localized spine metastasis. Pract. Radiat. Oncol. 2015, 4, 76–81. [Google Scholar] [CrossRef] [PubMed]
- Yang, H.; Cong, X.; Cai, B.; Wang, X.; Xu, W.; Wang, J.-Y.; Yang, J.; Liu, H.-X.; Xu, S.; Ju, Z.; et al. Dosimetric factors of stereotactic body radiation therapy for isolated spinal metastatic diseases: Impact of distance from tumor target to spinal cord on planning dosimetry and low dose spillage restriction. Int. J. Clin. Exp. Med. 2016, 9, 2840–2848. [Google Scholar]
- Bishop, A.J.; Tao, R.; Rebueno, N.C.; Christensen, E.N.; Allen, P.K.; Wang, X.A.; Amini, B.; Tannir, N.M.; Tatsui, C.E.; Rhines, L.D.; et al. Outcomes for Spine Stereotactic Body Radiation Therapy and an Analysis of Predictors of Local Recurrence. Int. J. Radiat. Oncol. Biol. Phys. 2015, 92, 1016–1026. [Google Scholar] [CrossRef] [PubMed]
- Petrova, D.; Smickovska, S.; Lazarevska, E. Conformity Index and Homogeneity Index of the Postoperative Whole Breast Radiotherapy. Open Access Maced. J. Med. Sci. 2017, 5, 736–739. [Google Scholar] [CrossRef] [PubMed]
- Gayen, S.; Kombathula, S.H.; Manna, S.; Varshney, S.; Pareek, P. Dosimetric comparison of coplanar and non-coplanar volumetric-modulated arc therapy in head and neck cancer treated with radiotherapy. Radiat. Oncol. J. 2020, 38, 138–147. [Google Scholar] [CrossRef]
- Orlandi, E.; Giandini, T.; Iannacone, E.; De Ponti, E.; Carrara, M.; Mongioj, V.; Stucchi, C.; Tana, S.; Bossi, P.; Licitra, L.; et al. Radiotherapy for unresectable sinonasal cancers: Dosimetric comparison of intensity modulated radiation therapy with coplanar and non-coplanar volumetric modulated arc therapy. Radiother. Oncol. 2014, 113, 260–266. [Google Scholar] [CrossRef]
- Cheung, E.Y.W.; Lee, K.H.Y.; Lau, W.T.L.; Lau, A.P.Y.; Wat, P.Y. Non-coplanar VMAT plans for postoperative primary brain tumour to reduce dose to hippocampus, temporal lobe and cochlea: A planning study. BJR Open 2021, 3, 20210009. [Google Scholar] [CrossRef] [PubMed]
- Ohira, S.; Ikawa, T.; Inui, S.; Kanayama, N.; Ueda, Y.; Miyazaki, M.; Nishio, T.; Koizumi, M.; Konishi, K. Improvement of target coverage using automated non-coplanar volumetric modulated arc therapy planning in stereotactic radiotherapy for cervical metastatic spinal tumors. Med. Dosim. 2023, 48, 197–201. [Google Scholar] [CrossRef]
- Rossi, E.; Fiorino, C.; Fodor, A.; Deantoni, C.; Mangili, P.; Di Muzio, N.G.; Del Vecchio, A.; Broggi, S. Residual intra-fraction error in robotic spinal stereotactic body radiotherapy without immobilization devices. Phys. Imaging Radiat. Oncol. 2020, 16, 20–25. [Google Scholar] [CrossRef]
- Massaccesi, M.; Cusumano, D.; Boldrini, L.; Dinapoli, N.; Fionda, B.; Teodoli, S.; Azario, L.; Mattiucci, G.C.; Balducci, M.; Cellini, F.; et al. A new frontier of image guidance: Organs at risk avoidance with MRI-guided respiratory-gated intensity modulated radiotherapy: Technical note and report of a case. J. Appl. Clin. Med. Phys. 2019, 20, 194–198. [Google Scholar] [CrossRef] [PubMed]
- De Ornelas, M.; Diwanji, T.; Monterroso, I.; Bossart, E.; Yechieli, R.; Dogan, N.; Mellon, E.A. Assessment of intra-fraction motion during automated linac-based SRS treatment delivery with an open face mask system. Phys. Med. 2021, 92, 69–74. [Google Scholar] [CrossRef] [PubMed]
- Zhao, B.; Maquilan, G.; Jiang, S.; Schwartz, D.L. Minimal mask immobilization with optical surface guidance for head and neck radiotherapy. J. Appl. Clin. Med. Phys. 2018, 19, 17–24. [Google Scholar] [CrossRef] [PubMed]
- Essers, M.; Mesch, L.; Beugeling, M.; Dekker, J.; de Kruijf, W. Setup and intra-fractional motion measurements using surface scanning in head and neck cancer radiotherapy—A feasibility study. Phys. Imaging Radiat. Oncol. 2024, 29, 100563. [Google Scholar] [CrossRef] [PubMed]
Volume of Interest | Metrics | VMAT NTO 100 | HA SRS NTO 100 | HA SRS NTO 250 | ||
---|---|---|---|---|---|---|
C3 | Type A | P-GTV | CI | 0.85 | 0.94 | 0.93 |
HI | 0.03 | 0.02 | 0.02 | |||
R50 | 9.70 | 8.09 | 7.13 | |||
P-CTV | CI | 0.65 | 0.74 | 0.82 | ||
HI | 0.56 | 0.56 | 0.58 | |||
R50 | 6.15 | 4.19 | 3.39 | |||
Type B | P-GTV | CI | 0.83 | 0.89 | 0.91 | |
HI | 0.03 | 0.03 | 0.02 | |||
R50 | 23.17 | 18.59 | 16.22 | |||
P-CTV | CI | 0.67 | 0.79 | 0.88 | ||
HI | 0.77 | 0.78 | 0.77 | |||
R50 | 5.27 | 3.74 | 2.91 | |||
Type C | P-GTV | CI | 0.80 | 0.90 | 0.90 | |
HI | 0.03 | 0.03 | 0.02 | |||
R50 | 15.70 | 12.54 | 10.67 | |||
P-CTV | CI | 0.55 | 0.66 | 0.73 | ||
HI | 0.73 | 0.72 | 0.73 | |||
R50 | 7.80 | 5.33 | 4.24 | |||
C7 | Type A | P-GTV | CI | 0.86 | 0.91 | 0.92 |
HI | 0.03 | 0.03 | 0.02 | |||
R50 | 7.30 | 6.00 | 5.41 | |||
P-CTV | CI | 0.56 | 0.64 | 0.70 | ||
HI | 0.51 | 0.51 | 0.51 | |||
R50 | 7.02 | 4.48 | 3.79 | |||
Type B | P-GTV | CI | 0.91 | 0.87 | 0.89 | |
HI | 0.02 | 0.03 | 0.02 | |||
R50 | 19.29 | 15.25 | 12.82 | |||
P-CTV | CI | 0.61 | 0.70 | 0.81 | ||
HI | 0.77 | 0.77 | 0.77 | |||
R50 | 6.52 | 4.33 | 3.40 | |||
Type C | P-GTV | CI | 0.82 | 0.90 | 0.91 | |
HI | 0.03 | 0.03 | 0.03 | |||
R50 | 13.83 | 11.53 | 9.58 | |||
P-CTV | CI | 0.50 | 0.58 | 0.67 | ||
HI | 0.75 | 0.76 | 0.76 | |||
R50 | 8.42 | 6.06 | 4.60 |
Spinal Cord | Criteria | VMAT NTO 100 | HA SRS NTO 100 | HA SRS NTO 250 | |
---|---|---|---|---|---|
C3 | Type A | V10 (%) | 4.32 | 4.8 | 3.85 |
Dmax (Gy) | 10.72 | 10.92 | 10.71 | ||
Type B | V10 (%) | 3.92 | 4.20 | 1.97 | |
Dmax (Gy) | 10.51 | 10.69 | 9.96 | ||
Type C | V10 (%) | 5.43 | 5.41 | 4.86 | |
Dmax (Gy) | 11.44 | 11.60 | 10.91 | ||
C7 | Type A | V10 (%) | 4.29 | 3.19 | 2.26 |
Dmax (Gy) | 10.87 | 10.79 | 10.28 | ||
Type B | V10 (%) | 1.79 | 3.28 | 2.77 | |
Dmax (Gy) | 10.03 | 10.29 | 10.16 | ||
Type C | V10 (%) | 9.46 | 8.40 | 6.81 | |
Dmax (Gy) | 12.47 | 12.28 | 12.19 |
VMAT NTO 100 (%) | HA SRS NTO 100 (%) | HA SRS NTO 250 (%) | |||
---|---|---|---|---|---|
C3 | 2%/1 mm | Type A | 94.9 | 97.5 | 95.9 |
Type B | 94.7 | 98.2 | 96.2 | ||
Type C | 96.0 | 97.4 | 95.6 | ||
2%/2 mm | Type A | 99.4 | 99.7 | 99.2 | |
Type B | 99.1 | 99.7 | 99.3 | ||
Type C | 99.4 | 99.7 | 99.6 | ||
3%/3 mm | Type A | 99.9 | 100 | 99.9 | |
Type B | 99.9 | 100 | 100 | ||
Type C | 99.9 | 100 | 99.9 | ||
C7 | 2%/1 mm | Type A | 98.2 | 99.5 | 99.3 |
Type B | 96.3 | 97.6 | 96.2 | ||
Type C | 94.6 | 95.5 | 95.0 | ||
2%/2 mm | Type A | 99.9 | 100.0 | 99.9 | |
Type B | 99.8 | 99.8 | 99.2 | ||
Type C | 98.7 | 99.4 | 99.4 | ||
3%/3 mm | Type A | 100.0 | 100.0 | 100.0 | |
Type B | 100.0 | 100.0 | 100.0 | ||
Type C | 99.8 | 100.0 | 100.0 |
Disclaimer/Publisher’s Note: The statements, opinions and data contained in all publications are solely those of the individual author(s) and contributor(s) and not of MDPI and/or the editor(s). MDPI and/or the editor(s) disclaim responsibility for any injury to people or property resulting from any ideas, methods, instructions or products referred to in the content. |
© 2024 by the authors. Licensee MDPI, Basel, Switzerland. This article is an open access article distributed under the terms and conditions of the Creative Commons Attribution (CC BY) license (https://creativecommons.org/licenses/by/4.0/).
Share and Cite
Park, J.; Park, B.; Kim, J. Dosimetric Comparison between the HyperArc and Conventional VMAT in Cervical Spine Stereotactic Radiosurgery. J. Clin. Med. 2024, 13, 5497. https://doi.org/10.3390/jcm13185497
Park J, Park B, Kim J. Dosimetric Comparison between the HyperArc and Conventional VMAT in Cervical Spine Stereotactic Radiosurgery. Journal of Clinical Medicine. 2024; 13(18):5497. https://doi.org/10.3390/jcm13185497
Chicago/Turabian StylePark, Jeehoon, Byungdo Park, and Jeongho Kim. 2024. "Dosimetric Comparison between the HyperArc and Conventional VMAT in Cervical Spine Stereotactic Radiosurgery" Journal of Clinical Medicine 13, no. 18: 5497. https://doi.org/10.3390/jcm13185497
APA StylePark, J., Park, B., & Kim, J. (2024). Dosimetric Comparison between the HyperArc and Conventional VMAT in Cervical Spine Stereotactic Radiosurgery. Journal of Clinical Medicine, 13(18), 5497. https://doi.org/10.3390/jcm13185497