Perioperative Use of IgM-Enriched Immunoglobulins in Liver Transplantation Recipients at High Risk for Infections: A Preliminary Study
Abstract
1. Introduction
2. Materials and Methods
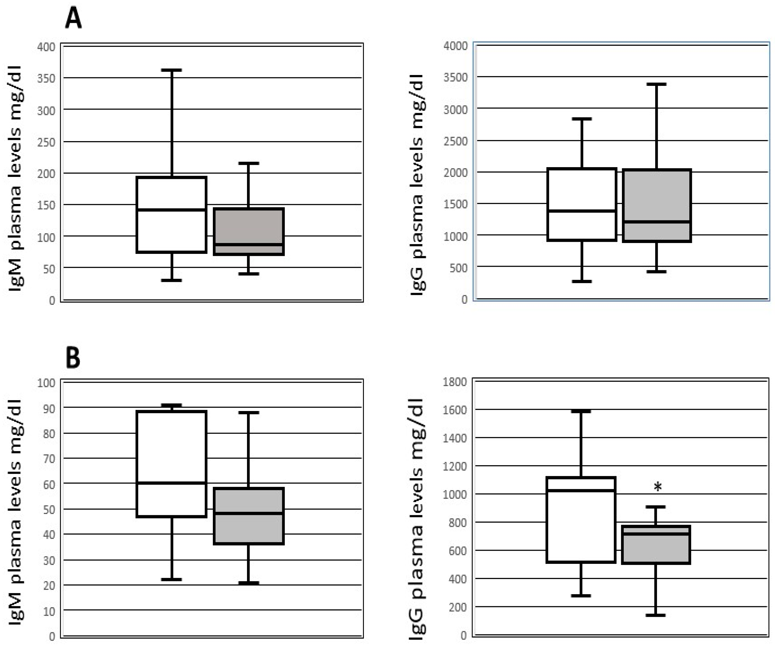
3. Results
4. Discussion
Supplementary Materials
Author Contributions
Funding
Institutional Review Board Statement
Informed Consent Statement
Data Availability Statement
Conflicts of Interest
Abbreviations
| OLT | orthotopic liver transplantation |
| IVIg | polyclonal standard IgG |
| ICU | intensive care unit |
| IgM | IgM-enriched polyclonal immunoglobulins product |
| MELD | model of end stage liver disease |
| ELSD | end stage liver disease |
| ICU | intensive care unit |
| Ig | immunoglobulins |
| HGG | hypogammaglobulinemia |
| MDR | multi drug resistant |
| HCC | hepatocellular carcinoma |
| HBV | hepatitis B virus |
| HCV | hepatitis C virus |
| LD | liver disease |
References
- Rubin, R.H. The direct and indirect effects of infection in liver transplantation: Pathogenesis, impact, and clinical management. Curr. Clin. Top. Infect. Dis. 2002, 22, 125–154. [Google Scholar] [PubMed]
- Zhang, M.-L.; Xu, J.; Zhang, W.; Liu, X.-Y.; Zhang, M.; Wang, W.-L.; Zheng, S.-S. Microbial epidemiology and risk factors of infections in recipients after DCD liver transplantation. Int. J. Clin. Pract. 2016, 70 (Suppl. S185), 17–21. [Google Scholar] [CrossRef]
- Kim, S.I. Bacterial infection after liver transplantation. World J. Gastroenterol. 2014, 20, 6211–6220. [Google Scholar] [CrossRef] [PubMed]
- Blair, J.E.; Kusne, S. Bacterial, mycobacterial, and protozoal infections after liver transplantation–part I. Liver Transpl. 2005, 11, 1452–1459. [Google Scholar] [CrossRef] [PubMed]
- Green, M. Introduction: Infections in solid organ transplantation. Am. J. Transplant. 2013, 13 (Suppl. S4), 3–8. [Google Scholar] [CrossRef]
- Wan, Q.Q.; Ye, Q.F.; Yuan, H. Multidrug-resistant Gram-negative bacteria in solid organ transplant recipients with bacteremias. Eur. J. Clin. Microbiol. Infect. Dis. 2015, 34, 431–437. [Google Scholar] [CrossRef]
- Page, G.G. Surgery-induced immunosuppression and postoperative pain management. AACN Adv. Crit. Care 2005, 16, 302–309. [Google Scholar] [CrossRef]
- Bartal, I.; Melamed, R.; Greenfeld, K.; Atzil, S.; Glasner, A.; Domankevich, V.; Naor, R.; Beilin, B.; Yardeni, I.Z.; Ben-Eliyahu, S. Immune perturbations in patients along the perioperative period: Alterations in cell surface markers and leukocyte subtypes before and after surgery. Brain Behav. Immun. 2010, 24, 376–386. [Google Scholar] [CrossRef]
- Sipeki, N.; Antal-Szalmas, P.; Lakatos, P.L.; Papp, M. Immune dysfunction in cirrhosis. World J. Gastroenterol. 2014, 20, 2564–2577. [Google Scholar] [CrossRef]
- Albillos, A.; Martin-Mateos, R.; Van der Merwe, S.; Wiest, R.; Jalan, R.; Álvarez-Mon, M. Cirrhosis-associated immune dysfunction. Nat. Rev. Gastroenterol. Hepatol. 2022, 19, 112–134. [Google Scholar] [CrossRef]
- Schroeder, H.W.; Cavacini, L. Structure and Function of Immunoglobulins. J. Allergy Clin. Immunol. 2010, 125, S41–S52. [Google Scholar] [CrossRef] [PubMed]
- Wootla, B.; Denic, A.; Rodriguez, M. Polyclonal and monoclonal antibodies in clinic. Methods Mol. Biol. 2014, 1060, 79–110. [Google Scholar] [PubMed]
- Di Rosa, R.; Pietrosanti, M.; Luzi, G.; Salemi, S.; D’Amelio, R. Polyclonal intravenous immunoglobulin: An important additional strategy in sepsis? Eur. J. Intern. Med. 2014, 25, 511–516. [Google Scholar] [CrossRef]
- Kritikosa, A.; Manuel, O. Bloodstream infections after solid-organ transplantation. Virulence 2016, 7, 329–340. [Google Scholar] [CrossRef]
- Schulman, S.; Angerås, U.; Bergqvist, D.; Eriksson, B.; Lassen, M.R.; Fisher, W. Definition of major bleeding in clinical investigations of antihemostatic medicinal products in surgical patients. J. Thromb. Haemost. 2010, 8, 202–204. [Google Scholar] [CrossRef]
- Bartoszko, J.; Wijeysundera, D.N.; Karkouti, K.; Callum, J.; Rao, V.; Crowther, M.; Grocott, H.P.; Pinto, R.; Scales, D.C.; Achen, B.; et al. Comparison of Two Major Perioperative Bleeding Scores for Cardiac Surgery Trials: Universal Definition of Perioperative Bleeding in Cardiac Surgery and European Coronary Artery Bypass Grafting Bleeding Severity Grade. Anesthesiology 2018, 129, 1092–1100. [Google Scholar] [CrossRef] [PubMed]
- Torres, A.; Niederman, M.S.; Chastre, J.; Ewig, S.; Fernandez-Vandellos, P.; Hanberger, H.; Kollef, M.; Bassi, G.L.; Luna, C.M.; Martin-Loeches, I.; et al. International ERS/ESICM/ESCMID/ALAT guidelines for the management of hospital-acquired pneumonia and ventilator-associated pneumonia: Guidelines for the Management of Hospital-Acquired Pneumonia (HAP)/Ventilator-Associated Pneumonia (VAP) of the European. Eur. Respir. J. 2017, 50, 1700582. [Google Scholar] [CrossRef]
- Manian, F.A. IDSA Guidelines for the Diagnosis and Management of Intravascular Catheter-Related Bloodstream Infection. Clin. Infect. Dis. 2009, 49, 1770–1771. [Google Scholar] [CrossRef]
- Bassetti, M.; Eckmann, C.; Giacobbe, D.R.; Sartelli, M.; Montravers, P. Post-operative abdominal infections: Epidemiology, operational definitions, and outcomes. Intensive Care Med. 2020, 46, 163–172. [Google Scholar] [CrossRef]
- Magiorakos, A.-P.; Srinivasan, A.; Carey, R.B.; Carmeli, Y.; Falagas, M.E.; Giske, C.G.; Harbarth, S.; Hindler, J.F.; Kahlmeter, G.; Olsson-Liljequist, B.; et al. Multidrug-resistant, extensively drug-resistant and pandrug-resistant bacteria: An international expert proposal for interim standard definitions for acquired resistance. Clin. Microbiol. Infect. 2012, 18, 268–281. [Google Scholar] [CrossRef]
- Santoro-Lopes, G.; Ferraz de Gouvêa, E. Multidrug-resistant bacterial infections after liver transplantation: An ever-growing challenge. World J. Gastroenterol. 2014, 20, 6201–6210. [Google Scholar] [CrossRef]
- Friedrich, K.; Krempl, J.; Schamoni, S.; Hippchen, T.; Pfeiffenberger, J.; Daniel, C.R.; Gotthardt, N.; Houben, P.; Von Haken, R.; Heininger, A.; et al. Multidrug-Resistant Bacteria and Disease Progression in Patients with End-Stage Liver Disease and after Liver Transplantation. J. Gastrointestin Liver Dis. 2019, 28, 303–310. [Google Scholar] [CrossRef] [PubMed]
- Florescu, D.F.; Kalil, A.C.; Qiu, F.; Schmidt, C.M.; Sandkovsky, U. What is the impact of hypogammaglobulinemia on the rate of infections and survival in solid organ transplantation? A meta-analysis. Am. J. Transplant. 2013, 13, 2601–2610. [Google Scholar] [CrossRef] [PubMed]
- Mawhorter, S.; Yamani, M.H. Hypogammaglobulinemia and infection risk in solid organ transplant recipients. Curr. Opin. Organ. Transplant. 2008, 13, 581–585. [Google Scholar] [CrossRef] [PubMed]
- Doron, S.; Ruthazer, R.; Werner, B.G.; Rabson, A.; Snydman, D.R. Hypogammaglobulinemia in liver transplant recipients: Incidence, timing, risk factors, and outcomes. Transplantation 2006, 81, 697–703. [Google Scholar] [CrossRef]
- Poole, J.A.; Qiu, F.; Kalil, A.C.; Grant, W.; Mercer, D.F.; Florescu, D.F. Impact of Immunoglobulin Therapy in Intestinal Transplant Recipients With Post-transplantation Hypogammaglobulinemia. Transplant. Proc. 2016, 48, 479–484. [Google Scholar] [CrossRef]
- Lederer, D.J.; Philip, N.; Rybak, D.; Arcasoy, S.M.; Kawut, S.M. Intravenous Immunoglobulin for Hypogammaglobulinemia after Lung Transplantation: A Randomised Crossover Trial. PLoS ONE 2014, 9, e103908. [Google Scholar] [CrossRef] [PubMed]
- Gonzàlez-Quintela, A.; Alende, M.R.; Gamallo, R.; Gonzàlez-Gil, P.; López-Ben, S.; Tomé, S.; Otero, E.; Torre, J.A. Serum immunoglobulins (IgG, IgA, IgM) in chronic hepatitis C. A comparison with non-cirrhotic alcoholic liver disease. Hepatogastroenterology 2003, 50, 2121–2126. [Google Scholar]
- Yoshizumi, T.; Shirabe, K.; Ikegami, T.; Yamashita, N.; Mano, Y.; Yoshiya, S.; Matono, R.; Harimoto, N.; Uchiyama, H.; Toshima, T.; et al. Decreased immunoglobulin G levels after living-donor liver transplantation is a risk factor for bacterial infection and sepsis. Transpl. Infect. Dis. 2014, 16, 225–231. [Google Scholar] [CrossRef]
- Ehrenstein, M.R.; Notley, C.A. The importance of natural IgM: Scavenger, protector and regulator. Nat. Rev. Immunol. 2010, 10, 778–786. [Google Scholar] [CrossRef]
- Elluru, S.R.; Kaveri, S.V.; Bayry, J. The protective role of immunoglobulins in fungal infections and inflammation. Semin. Immunopathol. 2015, 37, 187–197. [Google Scholar] [CrossRef] [PubMed]
- Subramaniam, K.S.; Datta, K.; Quintero, E.; Manix, C.; Marks, M.S.; Pirofski, L.-A. The absence of serum IgM enhances the susceptibility of mice to pulmonary challenge with Cryptococcus neoformans. J. Immunol. 2010, 184, 5755–5767. [Google Scholar] [CrossRef]
- Pillay, S.P.; Wynter, C.; Lynch, S.; Wall, D.; Balderson, G.; Strong, R. Endotoxin levels in donors and recipients during orthotopic liver transplantation. Aust. N. Z. J. Surg. 1997, 67, 187–191. [Google Scholar] [CrossRef] [PubMed]
- Biagioni, E.; Tosi, M.; Berlot, G.; Corona, A.; De Cristofaro, M.G.; Donati, A.; Feltracco, P.; Forfori, F.; Fragranza, F.; Murino, P.; et al. Adjunctive IgM-enriched immunoglobulin therapy with a personalised dose based on serum IgM-titres versus standard dose in the treatment of septic shock: A randomised controlled trial (IgM-fat trial). BMJ Open 2021, 11, e036616. [Google Scholar] [CrossRef] [PubMed]

| Total (n = 90) | No IgM (n = 39) | IgM (n = 51) | p-Value | |
|---|---|---|---|---|
| Age (years; median-IQR) | 56 (50–63) | 57 (53–63) | 55 (50–63) | 0.194 |
| Female (n, %) | 27 (30) | 11 (28.2) | 16 (31.4) | 0.744 |
| Diabetes (n, %) | 23 (25.6%) | 10 (25.6%) | 13 (25.5%) | 0.987 |
| MELD score (median-IQR) | 22 (12–29) | 22 (12–29) | 20 (12–29) | 0.625 |
| Causes of ESLD (n, %) | ||||
| Hepatocellular carcinoma | 20 (22.2) | 10 (25.6) | 10 (19.6) | 0.495 |
| HBV-related | 10 (11.1) | 5 (12.8) | 5 (9.8) | 0.652 |
| HCV-related | 21 (23.3) | 11 (28.2) | 10 (19.6) | 0.339 |
| Alcoholoic | 38 (42.2) | 16 (41.0) | 22 (43.1) | 0.841 |
| Other causes | 41 (45.6) | 14 (35.9) | 27 (52.9) | 0.128 |
| Non -standard antibiotic prophylaxis (n, %) | 83 (92.2) | 34 (87.2) | 46 (90.2) | 0.118 |
| Anti-fungal prophylaxis (n, %) | 39 (43.3) | 19 (48.7) | 20 (39.2) | 0.258 |
| Risk Factors for post-operative infections (n, %) | ||||
| Ongoing Infections | 37 (41.1) | 13 (33.3) | 24 (47.1) | 0.191 |
| Infections 30 days before OLT | 53 (58.9) | 23 (59) | 30 (58.8) | 0.982 |
| Colonization MDR 30 days before OLT | 59 (65.6) | 27 (69.2) | 32 (62.7) | 0.374 |
| ICU admission 30 days before OLT | 18 (20) | 10 (25.6) | 8 (15.7) | 0.246 |
| Total (n = 90) | No IgM (n = 39) | IgM (n = 51) | p-Value | |
|---|---|---|---|---|
| New Infections 30 days after-OLT (n, %) | 33 (36.7) | 19 (48.7) | 14 (27.5) | 0.038 |
| New respiratory tract infections 30 days after-OLT (n, %) | 16 (17.8) | 8 (20.5) | 8 (15.7) | 0.123 |
| New abdominal infections 30 days after-OLT (n, %) | 14 (15.6) | 9 (23) | 5 (9.8) | 0.140 |
| New primary blood stream infections 30 days after-OLT (n, %) | 5 (5.6) | 4 (10.3) | 1 (2) | 0.089 |
| New other infections 30 days after-OLT (n, %) | 4 (4.4) | 2 (5.1) | 2 (3.9) | 0.783 |
| MDR infections 30 days after OLT (n, %) | 10 (11.1) | 6 (15.4) | 4 (7.8) | 0.208 |
| New colonization by MDR 30 days after OLT (n, %) | 24 (26.7) | 12 (30.8) | 12 (23.5) | 0.442 |
| New septic shock 30 days after-OLT (n, %) | 5 (5.6) | 3 (7.7) | 2 (3.9) | 0.421 |
| ICU free days at day 30 after OLT (median, IQR) | 27 (24–28) | 26 (25–27) | 27 (24–28) | 0.231 |
| New AKI requiring CRRT 30 days after-OLT (n, %) | 5 (5.6) | 2 (5.1) | 3 (5.9) | 0.900 |
| Re-laparotomy 30 days after-OLT (n, %) | 11 (12.2) | 4 (10.3) | 7 (13.7) | 0.650 |
| Hospital free days at day 90 (median, IQR) | 69 (56–77) | 71 (63–76) | 67 (55–77) | 0.503 |
| Mortality at day 30 post OLT (n, %) | 1 (1.1) | 1 (2.6) | 0 (0) | 0.252 |
| Mortality at day 90 post OLT (n, %) | 7 (7.8) | 6 (15.4) | 1 (2) | 0.018 |
| No Infections Post-OLT (n = 57) | Infections Post-OLT (n = 33) | Unadjusted OR (95% CI); p-Value | Adjusted OR (95% CI); p-Value | |
|---|---|---|---|---|
| Age; (years; median, IQR) | 57 (51–63) | 56 (50–62) | 1.002 (0.958–1.048); 0.944 | |
| Sex, female (n, %) | 19 (33.3) | 8 (24.2) | 0.640 (0.243–1.685); 0.384 | |
| MELD score (median, IQR) | 18 (11–29) | 25 (12–31) | 1.054 (1.004–1.106); 0.034 | 1.034 (0.979–1.091); 0.229 |
| Causes of ESLD (n, %) | ||||
| Hepatocellular carcinoma | 11 (19.3) | 9 (27.3) | 1.568 (0.571–4.305); 0.381 | |
| HBV-related | 6 (10.5) | 4 (12.1) | 1.172 (0.306–4.499); 0.817 | |
| HCV-related | 15 (26.3) | 6 (18.2) | 0.622 (0.215–1.801); 0.379 | |
| Alcoholic | 23 (40.4) | 15 (45.5) | 1.232 (0.518–2.928); 0.637 | |
| Other causes | 26 (45.6) | 15 (45.5) | 0.994 (0.420–2.350); 0.988 | |
| Risk Factors for infections (n, %) | ||||
| Ongoing Infections | 22 (38.6) | 15 (45.5) | 1.326 (0.556–3.159); 0.524 | |
| Infections 30 days before OLT | 32 (56.1) | 21 (63.6) | 1.367 (0.566–3.301); 0.486 | |
| Colonization MDR 30 days before OLT | 39 (68.4) | 20 (60.6) | 0.808 (0.327–1.992); 0.643 | |
| ICU admission 30 days before OLT | 6 (10.5) | 12 (36.4) | 4.857 (1.610–14.649); 0.003 | 3.496 (1.002–12.205); 0.050 |
| IgM (n, %) | 37 (64.9) | 14 (42.4) | 0.378 (0.205–0.700); 0.002 | 0.348 (0.132–0.919); 0.033 |
Disclaimer/Publisher’s Note: The statements, opinions and data contained in all publications are solely those of the individual author(s) and contributor(s) and not of MDPI and/or the editor(s). MDPI and/or the editor(s) disclaim responsibility for any injury to people or property resulting from any ideas, methods, instructions or products referred to in the content. |
© 2024 by the authors. Licensee MDPI, Basel, Switzerland. This article is an open access article distributed under the terms and conditions of the Creative Commons Attribution (CC BY) license (https://creativecommons.org/licenses/by/4.0/).
Share and Cite
Roat, E.; Tosi, M.; Coloretti, I.; Bondi, F.; Chierego, G.; De Julis, S.; Talamonti, M.; Biagioni, E.; Busani, S.; Di Sandro, S.; et al. Perioperative Use of IgM-Enriched Immunoglobulins in Liver Transplantation Recipients at High Risk for Infections: A Preliminary Study. J. Clin. Med. 2024, 13, 4965. https://doi.org/10.3390/jcm13164965
Roat E, Tosi M, Coloretti I, Bondi F, Chierego G, De Julis S, Talamonti M, Biagioni E, Busani S, Di Sandro S, et al. Perioperative Use of IgM-Enriched Immunoglobulins in Liver Transplantation Recipients at High Risk for Infections: A Preliminary Study. Journal of Clinical Medicine. 2024; 13(16):4965. https://doi.org/10.3390/jcm13164965
Chicago/Turabian StyleRoat, Erika, Martina Tosi, Irene Coloretti, Filippo Bondi, Giovanni Chierego, Stefano De Julis, Marta Talamonti, Emanuela Biagioni, Stefano Busani, Stefano Di Sandro, and et al. 2024. "Perioperative Use of IgM-Enriched Immunoglobulins in Liver Transplantation Recipients at High Risk for Infections: A Preliminary Study" Journal of Clinical Medicine 13, no. 16: 4965. https://doi.org/10.3390/jcm13164965
APA StyleRoat, E., Tosi, M., Coloretti, I., Bondi, F., Chierego, G., De Julis, S., Talamonti, M., Biagioni, E., Busani, S., Di Sandro, S., Franceschini, E., Guerrini, G. P., Meschiari, M., Di Benedetto, F., Mussini, C., & Girardis, M. (2024). Perioperative Use of IgM-Enriched Immunoglobulins in Liver Transplantation Recipients at High Risk for Infections: A Preliminary Study. Journal of Clinical Medicine, 13(16), 4965. https://doi.org/10.3390/jcm13164965

