Adherence to Secondary Prevention Measures after Acute Myocardial Infarction and Its Impact on Patient Outcome—A Nationwide Perspective
Abstract
1. Introduction
2. Methods
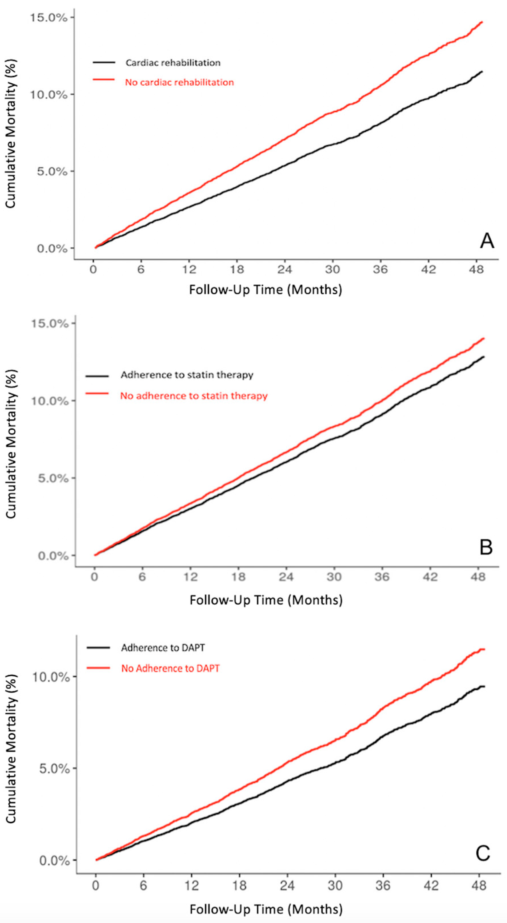
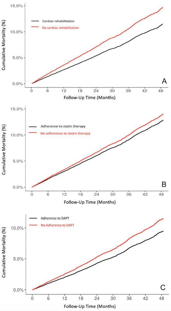
3. Results
4. Discussion
5. Conclusions
Author Contributions
Funding
Institutional Review Board Statement
Informed Consent Statement
Data Availability Statement
Conflicts of Interest
References
- Piepoli, M.F.; Hoes, A.W.; Agewall, S.; Albus, C.; Brotons, C.; Catapano, A.L.; Cooney, M.T.; Corrà, U.; Cosyns, B.; Deaton, C.; et al. 2016 European Guidelines on cardiovascular disease prevention in clinical practice: The Sixth Joint Task Force of the European Society of Cardiology and Other Societies on Cardiovascular Disease Prevention in Clinical Practice (constituted by representatives of 10 societies and by invited experts)Developed with the special contribution of the European Association for Cardiovascular Prevention & Rehabilitation (EACPR). Eur. Heart J. 2016, 37, 2315–2381. [Google Scholar] [CrossRef] [PubMed]
- Ambrosetti, M.; Abreu, A.; Corrà, U.; Davos, C.H.; Hansen, D.; Frederix, I.; Iliou, M.C.; Pedretti, R.F.E.; Schmid, J.P.; Vigorito, C.; et al. Secondary prevention through comprehensive cardiovascular rehabilitation: From knowledge to implementation. 2020 update. A position paper from the Secondary Prevention and Rehabilitation Section of the European Association of Preventive Cardiology. Eur. J. Prev. Cardiol. 2021, 28, 460–495. [Google Scholar] [CrossRef] [PubMed]
- Zaree, A.; Dev, S.; Yaseen Khan, I.; Arain, M.; Rasool, S.; Khalid Rana, M.A.; Kanwal, K.; Bhagat, R.; Prachi, F.; Puri, P.; et al. Cardiac Rehabilitation in the Modern Era: Optimizing Recovery and Reducing Recurrence. Cureus 2023, 15, e46006. [Google Scholar] [CrossRef] [PubMed]
- Anderson, L.; Oldridge, N.; Thompson, D.R.; Zwisler, A.D.; Rees, K.; Martin, N.; Taylor, R.S. Exercise-Based Cardiac Rehabilitation for Coronary Heart Disease: Cochrane Systematic Review and Meta-Analysis. J. Am. Coll. Cardiol. 2016, 67, 1–12. [Google Scholar] [CrossRef] [PubMed]
- Rauch, B.; Davos, C.H.; Doherty, P.; Saure, D.; Metzendorf, M.I.; Salzwedel, A.; Völler, H.; Jensen, K.; Schmid, J.P. The prognostic effect of cardiac rehabilitation in the era of acute revascularisation and statin therapy: A systematic review and meta-analysis of randomized and non-randomized studies—The Cardiac Rehabilitation Outcome Study (CROS). Eur. J. Prev. Cardiol. 2016, 23, 1914–1939. [Google Scholar] [CrossRef] [PubMed]
- Shields, G.E.; Wells, A.; Doherty, P.; Heagerty, A.; Buck, D.; Davies, L.M. Cost-effectiveness of cardiac rehabilitation: A systematic review. Heart 2018, 104, 1403–1410. [Google Scholar] [CrossRef] [PubMed]
- Ibanez, B.; James, S.; Agewall, S.; Antunes, M.J.; Bucciarelli-Ducci, C.; Bueno, H.; Caforio, A.L.P.; Crea, F.; Goudevenos, J.A.; Halvorsen, S.; et al. 2017 ESC Guidelines for the management of acute myocardial infarction in patients presenting with ST-segment elevation: The Task Force for the management of acute myocardial infarction in patients presenting with ST-segment elevation of the European Society of Cardiology (ESC). Eur. Heart J. 2018, 39, 119–177. [Google Scholar] [CrossRef] [PubMed]
- Kotseva, K.; Wood, D.; De Bacquer, D. Determinants of participation and risk factor control according to attendance in cardiac rehabilitation programmes in coronary patients in Europe: EUROASPIRE IV survey. Eur. J. Prev. Cardiol. 2018, 25, 1242–1251. [Google Scholar] [CrossRef] [PubMed]
- Collet, J.P.; Thiele, H.; Barbato, E.; Barthélémy, O.; Bauersachs, J.; Bhatt, D.L.; Dendale, P.; Dorobantu, M.; Edvardsen, T.; Folliguet, T.; et al. 2020 ESC Guidelines for the management of acute coronary syndromes in patients presenting without persistent ST-segment elevation. Eur. Heart J. 2021, 42, 1289–1367. [Google Scholar] [CrossRef] [PubMed]
- Du, L.; Cheng, Z.; Zhang, Y.; Li, Y.; Mei, D. The impact of medication adherence on clinical outcomes of coronary artery disease: A meta-analysis. Eur. J. Prev. Cardiol. 2017, 24, 962–970. [Google Scholar] [CrossRef]
- Griffo, R.; Ambrosetti, M.; Tramarin, R.; Fattirolli, F.; Temporelli, P.L.; Vestri, A.R.; De Feo, S.; Tavazzi, L. Effective secondary prevention through cardiac rehabilitation after coronary revascularization and predictors of poor adherence to lifestyle modification and medication. Results of the ICAROS Survey. Int. J. Cardiol. 2013, 167, 1390–1395. [Google Scholar] [CrossRef] [PubMed]
- Vrablik, M.; Seifert, B.; Parkhomenko, A.; Banach, M.; Jóźwiak, J.J.; Kiss, R.G.; Gaita, D.; Rašlová, K.; Zachlederova, M.; Bray, S.; et al. Lipid-lowering therapy use in primary and secondary care in Central and Eastern Europe: DA VINCI observational study. Atherosclerosis 2021, 334, 66–75. [Google Scholar] [CrossRef] [PubMed]
- Engebretsen, I.; Munkhaugen, J.; Bugge, C.; Halvorsen, S.; Ødegaard, K.M.; Støvring, H.; Kristiansen, I.S. Gaps and discontinuation of statin treatment in Norway: Potential for optimizing management of lipid lowering drugs. Eur. Heart J. Open 2022, 2, oeac070. [Google Scholar] [CrossRef] [PubMed]
- Banach, M.; Stulc, T.; Dent, R.; Toth, P.P. Statin non-adherence and residual cardiovascular risk: There is need for substantial improvement. Int. J. Cardiol. 2016, 225, 184–196. [Google Scholar] [CrossRef] [PubMed]
- Bytyçi, I.; Penson, P.E.; Mikhailidis, D.P.; Wong, N.D.; Hernandez, A.V.; Sahebkar, A.; Thompson, P.D.; Mazidi, M.; Rysz, J.; Pella, D.; et al. Prevalence of statin intolerance: A meta-analysis. Eur. Heart J. 2022, 43, 3213–3223. [Google Scholar] [CrossRef] [PubMed]
- Byrne, R.A.; Rossello, X.; Coughlan, J.J.; Barbato, E.; Berry, C.; Chieffo, A.; Claeys, M.J.; Dan, G.A.; Dweck, M.R.; Galbraith, M.; et al. 2023 ESC Guidelines for the management of acute coronary syndromes. Eur. Heart J. 2023, 44, 3720–3826. [Google Scholar] [CrossRef] [PubMed]
- Czarny, M.J.; Nathan, A.S.; Yeh, R.W.; Mauri, L. Adherence to dual antiplatelet therapy after coronary stenting: A systematic review. Clin. Cardiol. 2014, 37, 505–513. [Google Scholar] [CrossRef] [PubMed]
- Zhang, S.; Chourase, M.; Sharma, N.; Saunik, S.; Duggal, M.; Danaei, G.; Duggal, B. The effects of dual antiplatelet therapy (DAPT) adherence on survival in patients undergoing revascularization and the determinants of DAPT adherence. BMC Cardiovasc. Disord. 2022, 22, 238. [Google Scholar] [CrossRef] [PubMed]
- Bonaca, M.P.; Bhatt, D.L.; Oude Ophuis, T.; Steg, P.G.; Storey, R.; Cohen, M.; Kuder, J.; Im, K.; Magnani, G.; Budaj, A.; et al. Long-term Tolerability of Ticagrelor for the Secondary Prevention of Major Adverse Cardiovascular Events: A Secondary Analysis of the PEGASUS-TIMI 54 Trial. JAMA Cardiol. 2016, 1, 425–432. [Google Scholar] [CrossRef] [PubMed]

Disclaimer/Publisher’s Note: The statements, opinions and data contained in all publications are solely those of the individual author(s) and contributor(s) and not of MDPI and/or the editor(s). MDPI and/or the editor(s) disclaim responsibility for any injury to people or property resulting from any ideas, methods, instructions or products referred to in the content. |
© 2024 by the authors. Licensee MDPI, Basel, Switzerland. This article is an open access article distributed under the terms and conditions of the Creative Commons Attribution (CC BY) license (https://creativecommons.org/licenses/by/4.0/).
Share and Cite
Hammer, A.; Sinkovec, H.; Todorovic, M.; Katsch, F.; Gall, W.; Duftschmid, G.; Heinze, G.; Niessner, A.; Sulzgruber, P. Adherence to Secondary Prevention Measures after Acute Myocardial Infarction and Its Impact on Patient Outcome—A Nationwide Perspective. J. Clin. Med. 2024, 13, 4964. https://doi.org/10.3390/jcm13164964
Hammer A, Sinkovec H, Todorovic M, Katsch F, Gall W, Duftschmid G, Heinze G, Niessner A, Sulzgruber P. Adherence to Secondary Prevention Measures after Acute Myocardial Infarction and Its Impact on Patient Outcome—A Nationwide Perspective. Journal of Clinical Medicine. 2024; 13(16):4964. https://doi.org/10.3390/jcm13164964
Chicago/Turabian StyleHammer, Andreas, Hana Sinkovec, Marko Todorovic, Florian Katsch, Walter Gall, Georg Duftschmid, Georg Heinze, Alexander Niessner, and Patrick Sulzgruber. 2024. "Adherence to Secondary Prevention Measures after Acute Myocardial Infarction and Its Impact on Patient Outcome—A Nationwide Perspective" Journal of Clinical Medicine 13, no. 16: 4964. https://doi.org/10.3390/jcm13164964
APA StyleHammer, A., Sinkovec, H., Todorovic, M., Katsch, F., Gall, W., Duftschmid, G., Heinze, G., Niessner, A., & Sulzgruber, P. (2024). Adherence to Secondary Prevention Measures after Acute Myocardial Infarction and Its Impact on Patient Outcome—A Nationwide Perspective. Journal of Clinical Medicine, 13(16), 4964. https://doi.org/10.3390/jcm13164964
