Physical Activity and Urinary Sodium Excretion Circadian Rhythm: A Population-Based Cross-Sectional Pilot Study
Abstract
1. Introduction
2. Materials and Methods
2.1. Study Design
2.2. Ethical Approval
2.3. Population Sample
2.4. Statistical Methodology
3. Results
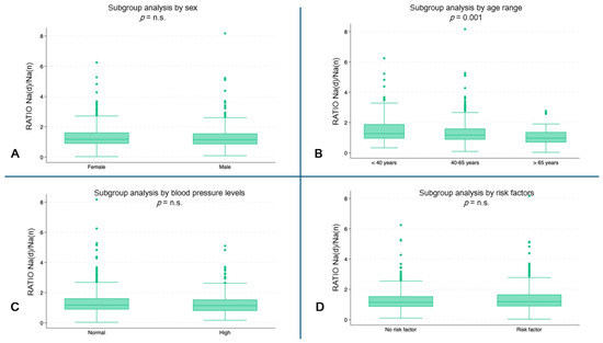
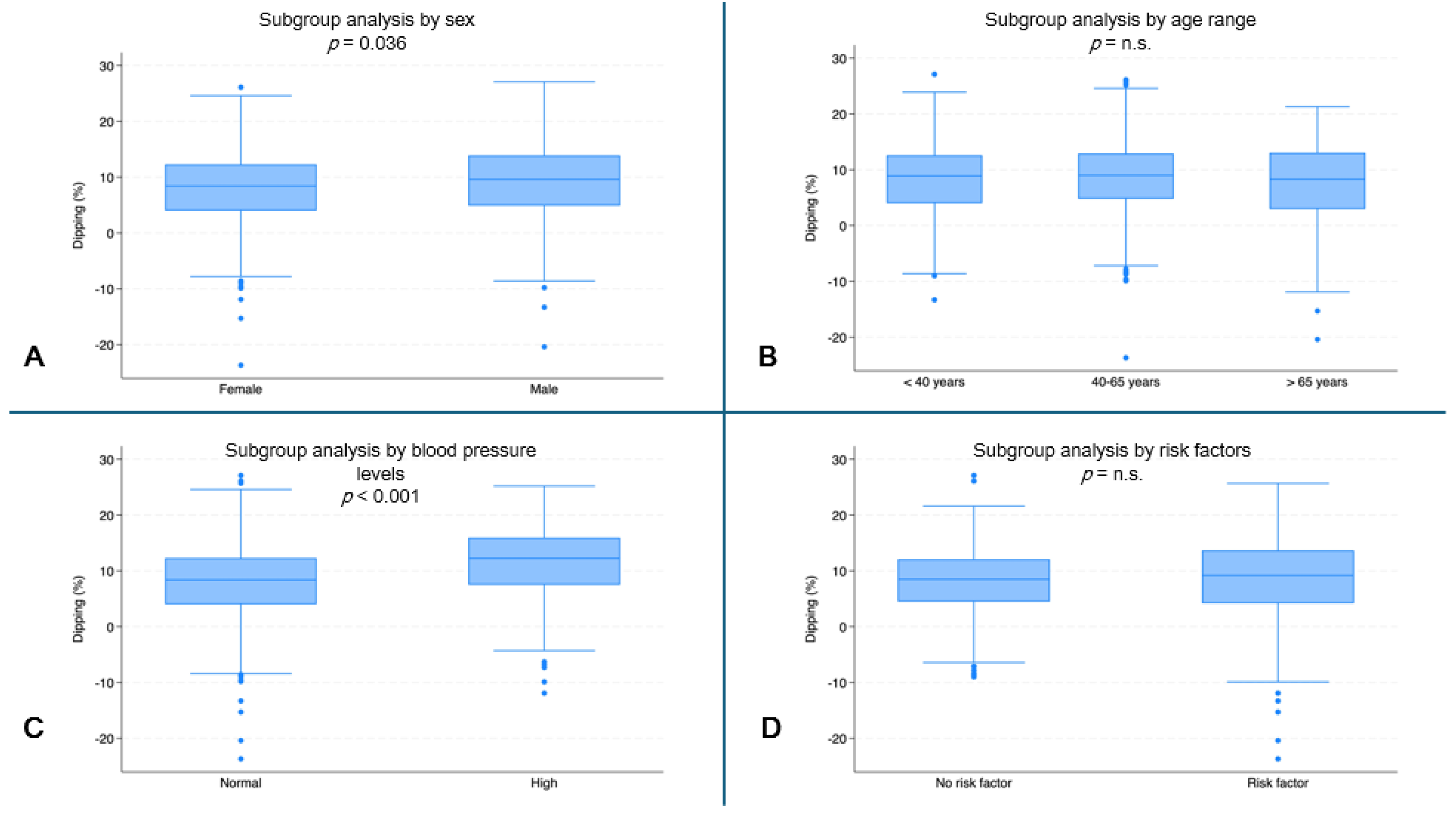
3.1. Descriptive Statistics
3.2. Multivariate Analysis
4. Discussion
5. Conclusions
Author Contributions
Funding
Institutional Review Board Statement
Informed Consent Statement
Data Availability Statement
Conflicts of Interest
References
- Lawes, C.M.; Vander Hoorn, S.; Rodgers, A.; International Society of Hypertension. Global burden of blood-pressure-related disease, 2001. Lancet 2008, 371, 1513–1518. [Google Scholar] [CrossRef]
- Messerli, F.H.; Williams, B.; Ritz, E. Essential hypertension. Lancet 2007, 370, 591–603. [Google Scholar] [CrossRef]
- Pickering, T.G.; Shimbo, D.; Haas, D. Ambulatory blood-pressure monitoring. N. Engl. J. Med. 2006, 354, 2368–2374. [Google Scholar] [CrossRef] [PubMed]
- Shimbo, D.; Abdalla, M.; Falzon, L.; Townsend, R.R.; Muntner, P. Role of Ambulatory and Home Blood Pressure Monitoring in Clinical Practice: A Narrative Review. Ann. Intern. Med. 2015, 163, 691–700. [Google Scholar] [CrossRef] [PubMed]
- Hansen, T.W.; Li, Y.; Boggia, J.; Thijs, L.; Richart, T.; Staessen, J.A. Predictive role of the nighttime blood pressure. Hypertension 2011, 57, 3–10. [Google Scholar] [CrossRef]
- O’Brien, E.; Sheridan, J.; O’Malley, K. Dippers and non-dippers. Lancet 1988, 2, 397. [Google Scholar] [CrossRef] [PubMed]
- Filippone, E.J.; Foy, A.J.; Naccarelli, G.V. Controversies in Hypertension III: Dipping, Nocturnal Hypertension, and the Morning Surge. Am. J. Med. 2023, 136, 629–637. [Google Scholar] [CrossRef]
- O’Brien, E.; Parati, G.; Stergiou, G.; Asmar, R.; Beilin, L.; Bilo, G.; Clement, D.; de la Sierra, A.; de Leeuw, P.; Dolan, E.; et al. European Society of Hypertension position paper on ambulatory blood pressure monitoring. J. Hypertens. 2013, 31, 1731–1768. [Google Scholar] [CrossRef]
- Verdecchia, P.; Schillaci, G.; Guerrieri, M.; Gatteschi, C.; Benemio, G.; Boldrini, F.; Porcellati, C. Circadian blood pressure changes and left ventricular hypertrophy in essential hypertension. Circulation 1990, 81, 528–536. [Google Scholar] [CrossRef]
- Bianchi, S.; Bigazzi, R.; Baldari, G.; Sgherri, G.; Campese, V.M. Diurnal variations of blood pressure and microalbuminuria in essential hypertension. Am. J. Hypertens. 1994, 7, 23–29. [Google Scholar] [CrossRef]
- Shimada, K.; Kawamoto, A.; Matsubayashi, K.; Ozawa, T. Silent cerebrovascular disease in the elderly. Correlation with ambulatory pressure. Hypertension 1990, 16, 692–699. [Google Scholar] [CrossRef] [PubMed]
- Routledge, F.; McFetridge-Durdle, J. Nondipping blood pressure patterns among individuals with essential hypertension: A review of the literature. Eur. J. Cardiovasc. Nurs. 2007, 6, 9–26. [Google Scholar] [CrossRef]
- Viggiano, J.; Coutinho, D.; Clark-Cutaia, M.N.; Martinez, D. Effects of a high salt diet on blood pressure dipping and the implications on hypertension. Front. Neurosci. 2023, 17, 1212208. [Google Scholar] [CrossRef] [PubMed]
- Fukuda, M.; Goto, N.; Kimura, G. Hypothesis on renal mechanism of non-dipper pattern of circadian blood pressure rhythm. Med. Hypotheses 2006, 67, 802–806. [Google Scholar] [CrossRef] [PubMed]
- Dong, M.; McGoldrick, M.T.; Seid, H.; Cohen, L.P.; LaRocca, A.; Pham, P.; Thomas, S.J.; Schwartz, J.E.; Shimbo, D. The stress, salt excretion, and nighttime blood pressure (SABRE) study: Rationale and study design. Am. Heart J. Plus 2022, 13, 100099. [Google Scholar] [CrossRef] [PubMed]
- Del Giorno, R.; Troiani, C.; Gabutti, S.; Stefanelli, K.; Puggelli, S.; Gabutti, L. Impaired Daytime Urinary Sodium Excretion Impacts Nighttime Blood Pressure and Nocturnal Dipping at Older Ages in the General Population. Nutrients 2020, 12, 2013. [Google Scholar] [CrossRef] [PubMed]
- Sachdeva, A.; Weder, A.B. Nocturnal sodium excretion, blood pressure dipping, and sodium sensitivity. Hypertension 2006, 48, 527–533. [Google Scholar] [CrossRef] [PubMed]
- Uzu, T.; Kimura, G.; Yamauchi, A.; Kanasaki, M.; Isshiki, K.; Araki, S.; Sugiomoto, T.; Nishio, Y.; Maegawa, H.; Koya, D.; et al. Enhanced sodium sensitivity and disturbed circadian rhythm of blood pressure in essential hypertension. J. Hypertens. 2006, 24, 1627–1632. [Google Scholar] [CrossRef] [PubMed]
- Weinberger, M.H. Salt sensitivity of blood pressure in humans. Hypertension 1996, 27, 481–490. [Google Scholar] [CrossRef]
- DiBona, G.F. Physiology in perspective: The Wisdom of the Body. Neural control of the kidney. Am. J. Physiol. Regul. Integr. Comp. Physiol. 2005, 289, R633–R641. [Google Scholar] [CrossRef] [PubMed]
- Luft, F.C.; Weinberger, M.H.; Fineberg, N.S.; Miller, J.Z.; Grim, C.E. Effects of age on renal sodium homeostasis and its relevance to sodium sensitivity. Am. J. Med. 1987, 82, 9–15. [Google Scholar] [CrossRef] [PubMed]
- Luft, F.C.; Fineberg, N.S.; Miller, J.Z.; Rankin, L.I.; Grim, C.E.; Weinberger, M.H. The effects of age, race and heredity on glomerular filtration rate following volume expansion and contraction in normal man. Am. J. Med. Sci. 1980, 279, 15–24. [Google Scholar] [CrossRef] [PubMed]
- Kim, Y.G.; Moon, J.Y.; Oh, B.; Chin, H.J.; Kim, D.K.; Park, J.H.; Shin, S.J.; Choi, B.S.; Lim, C.S.; Lee, S.H. Pressure-Natriuresis Response Is Diminished in Old Age. Front. Cardiovasc. Med. 2022, 9, 840840. [Google Scholar] [CrossRef] [PubMed]
- Salvo, F.; Lonati, C.; Berardi, M.; Errani, A.R.; Muzzulini, C.L.; Morganti, A. Nocturnal Blood Pressure Dipping is Abolished in Old-Elderly Hospitalized Patients. High Blood Press. Cardiovasc. Prev. 2017, 24, 413–417. [Google Scholar] [CrossRef]
- Bertinieri, G.; Grassi, G.; Rossi, P.; Meloni, A.; Ciampa, M.; Annoni, G.; Vergani, C.; Mancia, G. 24-hour blood pressure profile in centenarians. J. Hypertens. 2002, 20, 1765–1769. [Google Scholar] [CrossRef] [PubMed]
- Warburton, D.E.; Nicol, C.W.; Bredin, S.S. Health benefits of physical activity: The evidence. CMAJ 2006, 174, 801–809. [Google Scholar] [CrossRef] [PubMed]
- WHO. Guidelines on Physical Activity and Sedentary Behaviour; WHO: Geneva, Switzerland, 2020. [Google Scholar]
- Cornelissen, V.A.; Buys, R.; Smart, N.A. Endurance exercise beneficially affects ambulatory blood pressure: A systematic review and meta-analysis. J. Hypertens. 2013, 31, 639–648. [Google Scholar] [CrossRef] [PubMed]
- Sherwood, J.J.; Inouye, C.; Webb, S.L.; Zhou, A.; Anderson, E.A.; Spink, N.S. Relationship between physical and cognitive performance in community dwelling, ethnically diverse older adults: A cross-sectional study. PeerJ 2019, 7, e6159. [Google Scholar] [CrossRef] [PubMed]
- American College of Sports Medicine. Being Active with High Blood Pressure; American College of Sports Medicine: Indianapolis, IN, USA, 2019. [Google Scholar]
- Ramirez-Jimenez, M.; Morales-Palomo, F.; Moreno-Cabanas, A.; Alvarez-Jimenez, L.; Ortega, J.F.; Mora-Rodriguez, R. Aerobic exercise training improves nocturnal blood pressure dipping in medicated hypertensive individuals. Blood Press. Monit. 2022, 27, 272–275. [Google Scholar] [CrossRef]
- Ling, C.; Diaz, K.M.; Kretzschmar, J.; Feairheller, D.L.; Sturgeon, K.M.; Perkins, A.; Veerabhadrappa, P.; Williamson, S.T.; Lee, H.; Grimm, H.; et al. Chronic aerobic exercise improves blood pressure dipping status in African American nondippers. Blood Press. Monit. 2014, 19, 353–358. [Google Scholar] [CrossRef]
- Mueller, P.J. Exercise training and sympathetic nervous system activity: Evidence for physical activity dependent neural plasticity. Clin. Exp. Pharmacol. Physiol. 2007, 34, 377–384. [Google Scholar] [CrossRef] [PubMed]
- Moyers, S.A.; Hagger, M.S. Physical activity and cortisol regulation: A meta-analysis. Biol. Psychol. 2023, 179, 108548. [Google Scholar] [CrossRef] [PubMed]
- Baffour-Awuah, B.; Man, M.; Goessler, K.F.; Cornelissen, V.A.; Dieberg, G.; Smart, N.A.; Pearson, M.J. Effect of exercise training on the renin-angiotensin-aldosterone system: A meta-analysis. J. Hum. Hypertens. 2024, 38, 89–101. [Google Scholar] [CrossRef]
- Dendorfer, A.; Raasch, W.; Tempel, K.; Dominiak, P. Interactions between the renin-angiotensin system (RAS) and the sympathetic system. Basic Res. Cardiol. 1998, 93 (Suppl. S2), 24–29. [Google Scholar] [CrossRef]
- Sallsten, G.; Barregard, L. Variability of Urinary Creatinine in Healthy Individuals. Int. J. Environ. Res. Public Health 2021, 18, 3166. [Google Scholar] [CrossRef]
- Huang, P.L. A comprehensive definition for metabolic syndrome. Dis. Model. Mech. 2009, 2, 231–237. [Google Scholar] [CrossRef] [PubMed]
- Cavero-Redondo, I.; Martinez-Vizcaino, V.; Alvarez-Bueno, C.; Agudo-Conde, C.; Lugones-Sanchez, C.; Garcia-Ortiz, L. Metabolic Syndrome Including Glycated Hemoglobin A1c in Adults: Is It Time to Change? J. Clin. Med. 2019, 8, 2090. [Google Scholar] [CrossRef]
- Harman, H. Modern Factor Analysis, 3rd ed.; The University of Chicago Press: Chicago, IL, USA, 1976. [Google Scholar]
- Rencher, C. Methods of Multivariate Analysis; John Wiley & Sons: Hoboken, NJ, USA, 2012. [Google Scholar]
- Kaiser, H.F. An index of factorial simplicity. Psychometrika 1974, 39, 31–36. [Google Scholar] [CrossRef]
- WHO. Switzerland Physical Activity Factsheet 2019; WHO: Geneva, Switzerland, 2019. [Google Scholar]
- Glatz, N.; Chappuis, A.; Conen, D.; Erne, P.; Pechere-Bertschi, A.; Guessous, I.; Forni, V.; Gabutti, L.; Muggli, F.; Gallino, A.; et al. Associations of sodium, potassium and protein intake with blood pressure and hypertension in Switzerland. Swiss Med. Wkly. 2017, 147, w14411. [Google Scholar] [CrossRef]
- Zemel, M.B.; Sowers, J.R. Salt sensitivity and systemic hypertension in the elderly. Am. J. Cardiol. 1988, 61, 7h–12h. [Google Scholar] [CrossRef]
- Jula, A. Sodium—A systematic review for Nordic Nutrition Recommendations 2023. Food Nutr. Res. 2024, 68, 10319. [Google Scholar] [CrossRef] [PubMed]





| Sedentary | Little or no physical activity during the day and at work. No heavy physical activity at work. |
| Partially active | Moderate physical activity. Occasional heavy physical activity at work. |
| Active | Intense physical activity. Moderate/intense physical activity at work. Almost daily moderate/intense heavy physical activity. |
| No. of Patients | 953 |
|---|---|
| Demographic characteristics | |
| Age, years | 49.0 (41–57) |
| Sex, n (%) | |
| Female | 523 (54.9) |
| Male | 430 (45.1) |
| BMI (kg/m2) Hypertensive drug, n (%) | 24.5 (22.1–27.5) 135 (14.2) |
| Blood pressure values | |
| Systolic pressure (mmHg) | 121 (114–129) |
| Diastolic pressure (mmHg) | 76 (71–83) |
| Mean BP (mmHg) | 91 (85–98) |
| Blood pressure subgroups, n (%) | |
| Normotensive, n (%) | 746 (78.3) |
| Mean BP (mmHg) | 90 (85–97) |
| Hypertensive, n (%) | 207 (21.7) |
| Normotensive, n (%) | 746 (78.3) |
| Dipping (%) | |
| Median (IQR) | 8.9 (4.4–12.9) |
| Dipping ≥ 10%, n (%) | 448 (47.0) |
| Dipping < 10%, n (%) | 505 (53.0%) |
| Physical activity | |
| Walking time day (minutes) | 30 (0–600) |
| Physical activity at work, n (%) | |
| None | 312 (32.7) |
| Light | 364 (38.2) |
| Moderate | 221 (23.2) |
| Intense | 56 (5.9) |
| Heavy physical activity during the week, n (%) | |
| None | 301 (31.6) |
| Light | 148 (15.5) |
| Moderate | 198 (20.8) |
| Intense | 306 (32.1) |
| Physical activity level, n (%) | |
| Sedentary | 486 (51.0) |
| Partially active | 210 (22.0) |
| Active | 257 (27.0) |
| Sodium metabolism data | |
| Hourly ratio of Na excretion (day/night) | 1.2 (0.9–1.6) |
| 24 h NaCl intake estimation (g) ** | 7.9 (5.7–10.4) |
| Patients with risk factors *, n (%) | 550 (57.7) |
| Ratio of Na(d)/Na(n) | |
|---|---|
| Subject Partially active (baseline: sedentary) | 0.01 [−0.11; 0.14] |
| Subject Total active (baseline: sedentary) | 0.01 [−0.10; 0.13] |
| NaCl intake (g) | 0.01 [−0.01; 0.03] |
| Dipping (%) | 0.01 *** [0.01; 0.02] |
| (A) Sex | (B) Age Range | ||||
|---|---|---|---|---|---|
| Female | Male | <40 Years | 40–65 Years | >65 Years | |
| Subject Partially active (baseline: sedentary) | 0.01 [−0.16; 0.18] | 0.01 [−0.18; 0.21] | 0.02 [−0.29; 0.34] | 0.05 [−0.10; 0.20] | 0.01 [−0.25; 0.26] |
| Subject Total active (baseline: sedentary) | 0.03 [−0.12; 0.19] | −0.01 [−0.20; 0.17] | 0.09 [−0.22; 0.42] | 0.01 [−0.13; 0.15] | 0.20 [−0.04; 0.43] |
| NaCl intake (g) | 0.02 [−0.01; 0.04] | 0.02 [−0.01; 0.04] | −0.01 [−0.05; 0.02] | 0.01 [−0.01; 0.03] | 0.06 *** [0.02; 0.09] |
| Dipping (%) | 0.01 ** [0.01; 0.02] | 0.02 *** [0.01; 0.03] | 0.01 [−0.01; 0.03] | 0.02 *** [0.01; 0.02] | 0.02 ** [0.01; 0.03] |
| (A) Blood Pressure | (B) Renal Function | (C) Risk Factor * | ||||
|---|---|---|---|---|---|---|
| Normal | High | CKD < 3 | CKD ≥ 3 | No | Yes | |
| Subject Partially active (baseline: sedentary) | 0.05 [−0.09; 0.20] | −0.14 [−0.43; 0.16] | 0.02 [−0.11; 0.15] | −0.06 [−0.88; 0.75] | 0.01 [−0.20; 0.22] | 0.01 [−0.16; 0.17] |
| Subject Total active (baseline: sedentary) | 0.02 [−0.12; 0.15] | 0.04 [−0.24; 0.33] | 0.02 [−0.11; 0.14] | −0.10 [−0.95; 0.74] | 0.08 [−0.09; 0.25] | −0.03 [−0.20; 0.13] |
| NaCl intake (g) | 0.01 [−0.01; 0.03] | 0.01 [−0.03; 0.04] | 0.01 [−0.01; 0.03] | −0.01 [−0.16; 0.13] | 0.01 [−0.02; 0.03] | 0.02 [−0.01; 0.04] |
| Dipping (%) | 0.01 ** [0.01; 0.02] | 0.04 *** [0.02; 0.06] | 0.01 *** [0.01; 0.02] | 0.04 [−0.01; 0.08] | 0.01 [−0.01; 0.02] | 0.02 *** [0.01; 0.03] |
Disclaimer/Publisher’s Note: The statements, opinions and data contained in all publications are solely those of the individual author(s) and contributor(s) and not of MDPI and/or the editor(s). MDPI and/or the editor(s) disclaim responsibility for any injury to people or property resulting from any ideas, methods, instructions or products referred to in the content. |
© 2024 by the authors. Licensee MDPI, Basel, Switzerland. This article is an open access article distributed under the terms and conditions of the Creative Commons Attribution (CC BY) license (https://creativecommons.org/licenses/by/4.0/).
Share and Cite
Zandonà, M.; Novotny, J.; Garo, M.L.; Sgro, E.; Del Giorno, R.; Gabutti, L. Physical Activity and Urinary Sodium Excretion Circadian Rhythm: A Population-Based Cross-Sectional Pilot Study. J. Clin. Med. 2024, 13, 4822. https://doi.org/10.3390/jcm13164822
Zandonà M, Novotny J, Garo ML, Sgro E, Del Giorno R, Gabutti L. Physical Activity and Urinary Sodium Excretion Circadian Rhythm: A Population-Based Cross-Sectional Pilot Study. Journal of Clinical Medicine. 2024; 13(16):4822. https://doi.org/10.3390/jcm13164822
Chicago/Turabian StyleZandonà, Martina, Jakub Novotny, Maria Luisa Garo, Ettore Sgro, Rosaria Del Giorno, and Luca Gabutti. 2024. "Physical Activity and Urinary Sodium Excretion Circadian Rhythm: A Population-Based Cross-Sectional Pilot Study" Journal of Clinical Medicine 13, no. 16: 4822. https://doi.org/10.3390/jcm13164822
APA StyleZandonà, M., Novotny, J., Garo, M. L., Sgro, E., Del Giorno, R., & Gabutti, L. (2024). Physical Activity and Urinary Sodium Excretion Circadian Rhythm: A Population-Based Cross-Sectional Pilot Study. Journal of Clinical Medicine, 13(16), 4822. https://doi.org/10.3390/jcm13164822

