Arterial Stiffness Predicts the Outcome of Endovascular Treatment in Patients with Acute Ischemic Stroke
Abstract
1. Introduction
2. Materials and Methods
2.1. Study Population
2.2. Endovascular Treatment and Outcome
2.3. Arterial Stiffness Assessment
2.4. Statistical Analysis
3. Results
3.1. Factors Associated with Poor Functional Outcome
3.2. Univariable and Multivariable Logistic Regression Analyses for Poor Functional Outcome
3.3. Subgroup Analysis of Poor Functional Outcome
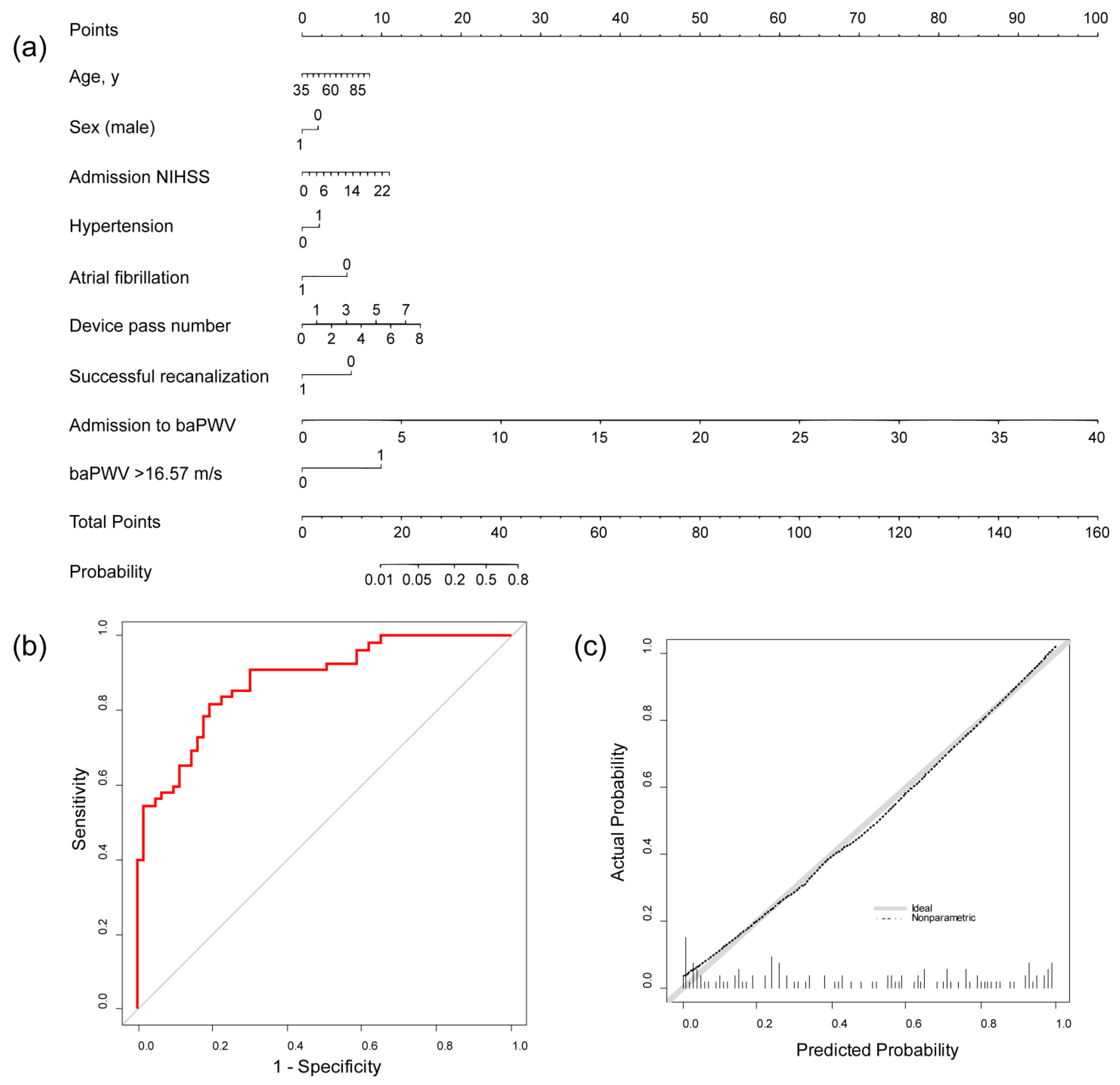
3.4. Prognostic Model of Poor Functional Outcome
3.5. Predictive Performance of Prognostic Model
4. Discussion
5. Conclusions
Supplementary Materials
Author Contributions
Funding
Institutional Review Board Statement
Informed Consent Statement
Data Availability Statement
Conflicts of Interest
References
- Powers, W.J.; Rabinstein, A.A.; Ackerson, T.; Adeoye, O.M.; Bambakidis, N.C.; Becker, K.; Biller, J.; Brown, M.; Demaerschalk, B.M.; Hoh, B.; et al. Guidelines for the early management of patients with acute ischemic stroke: 2019 update to the 2018 guidelines for the early management of acute ischemic stroke: A guideline for healthcare professionals from the american heart association/american stroke association. Stroke 2019, 50, e344–e418. [Google Scholar] [PubMed]
- Goyal, M.; Menon, B.K.; van Zwam, W.H.; Dippel, D.W.; Mitchell, P.J.; Demchuk, A.M.; Dávalos, A.; Majoie, C.B.; van der Lugt, A.; de Miquel, M.A.; et al. Endovascular thrombectomy after large-vessel ischaemic stroke: A meta-analysis of individual patient data from five randomised trials. Lancet 2016, 387, 1723–1731. [Google Scholar] [CrossRef] [PubMed]
- Shahid, A.H.; Abbasi, M.; Larco, J.L.A.; Madhani, S.I.; Liu, Y.; Brinjikji, W.; Savastano, L.E. Risk factors of futile recanalization following endovascular treatment in patients with large-vessel occlusion: Systematic review and meta-analysis. Stroke Vasc. Interv. Neurol. 2022, 2, e000257. [Google Scholar] [CrossRef]
- Zhou, T.; Yi, T.; Li, T.; Zhu, L.; Li, Y.; Li, Z.; Wang, M.; Li, Q.; He, Y.; Yang, P.; et al. Predictors of futile recanalization in patients undergoing endovascular treatment in the direct-mt trial. J. Neurointerv. Surg. 2022, 14, 752–755. [Google Scholar] [CrossRef] [PubMed]
- Lu, Y.; Kiechl, S.J.; Wang, J.; Xu, Q.; Kiechl, S.; Pechlaner, R. Global distributions of age- and sex-related arterial stiffness: Systematic review and meta-analysis of 167 studies with 509,743 participants. EBioMedicine 2023, 92, 104619. [Google Scholar] [CrossRef] [PubMed]
- Inserra, F.; Forcada, P.; Castellaro, A.; Castellaro, C. Chronic kidney disease and arterial stiffness: A two-way path. Front. Med. 2021, 8, 765924. [Google Scholar] [CrossRef] [PubMed]
- Baykara, M.; Demirel, A.; Yavuzatmaca, İ.; Bilgen, M. Response of arterial stiffness four weeks after terminating short-term aerobic exercise training in a sedentary lifestyle. J. Ultrasound Med. 2017, 36, 353–359. [Google Scholar] [CrossRef] [PubMed]
- Kim, E.D.; Ballew, S.H.; Tanaka, H.; Heiss, G.; Coresh, J.; Matsushita, K. Short-term prognostic impact of arterial stiffness in older adults without prevalent cardiovascular disease. Hypertension 2019, 74, 1373–1382. [Google Scholar] [CrossRef] [PubMed]
- Fu, X.; Li, X.; Xiong, L.; Li, X.; Huang, R.; Gao, Q. Association of cerebral arterial stiffness with initial severity in acute ischemic stroke. J. Atheroscler. Thromb. 2019, 26, 1092–1101. [Google Scholar] [CrossRef] [PubMed]
- Han, M.; Yun, J.; Kim, K.H.; Jung, J.W.; Kim, Y.D.; Heo, J.; Park, E.; Nam, H.S. Early vascular aging determined by brachial-ankle pulse wave velocity and its impact on ischemic stroke outcome: A retrospective observational study. Sci. Rep. 2024, 14, 13659. [Google Scholar] [CrossRef] [PubMed]
- Samara, S.; Vemmou, A.; Kyrkou, A.; Papamichael, C.; Korompoki, E.; Ntaios, G.; Manios, E.; Stamatelopoulos, K.; Protogerou, A.D.; Vemmos, K. Prediction of long-term outcomes by arterial stiffness and pressure wave reflections in patients with acute stroke: The athens stroke registry. J. Hypertens. 2022, 40, 2192–2199. [Google Scholar] [CrossRef] [PubMed]
- Kim, J.; Cha, M.J.; Lee, D.H.; Lee, H.S.; Nam, C.M.; Nam, H.S.; Kim, Y.D.; Heo, J.H. The association between cerebral atherosclerosis and arterial stiffness in acute ischemic stroke. Atherosclerosis 2011, 219, 887–891. [Google Scholar] [CrossRef]
- Bang, O.Y.; Kim, B.M.; Seo, W.K.; Jeon, P. Endovascular therapy for acute ischemic stroke of intracranial atherosclerotic origin-neuroimaging perspectives. Front. Neurol. 2019, 10, 269. [Google Scholar] [CrossRef] [PubMed]
- Nogueira, R.G.; Jadhav, A.P.; Haussen, D.C.; Bonafe, A.; Budzik, R.F.; Bhuva, P.; Yavagal, D.R.; Ribo, M.; Cognard, C.; Hanel, R.A.; et al. Thrombectomy 6 to 24 hours after stroke with a mismatch between deficit and infarct. N. Engl. J. Med. 2018, 378, 11–21. [Google Scholar] [CrossRef] [PubMed]
- Albers, G.W.; Marks, M.P.; Kemp, S.; Christensen, S.; Tsai, J.P.; Ortega-Gutierrez, S.; McTaggart, R.A.; Torbey, M.T.; Kim-Tenser, M.; Leslie-Mazwi, T.; et al. Thrombectomy for stroke at 6 to 16 hours with selection by perfusion imaging. N. Engl. J. Med. 2018, 378, 708–718. [Google Scholar] [CrossRef] [PubMed]
- Bouslama, M.; Haussen, D.C.; Aghaebrahim, A.; Grossberg, J.A.; Walker, G.; Rangaraju, S.; Horev, A.; Frankel, M.R.; Nogueira, R.G.; Jovin, T.G.; et al. Predictors of good outcome after endovascular therapy for vertebrobasilar occlusion stroke. Stroke 2017, 48, 3252–3257. [Google Scholar] [CrossRef] [PubMed]
- Uniken Venema, S.M.; Postma, A.A.; van den Wijngaard, I.R.; Vos, J.A.; Lingsma, H.F.; Bokkers, R.P.H.; Hofmeijer, J.; Dippel, D.W.J.; Majoie, C.B.; van der Worp, H.B. White matter lesions and outcomes after endovascular treatment for acute ischemic stroke: Mr clean registry results. Stroke 2021, 52, 2849–2857. [Google Scholar] [CrossRef]
- Jung, J.W.; Kim, K.H.; Yun, J.; Kim, Y.D.; Heo, J.; Lee, H.; Choi, J.K.; Lee, I.H.; Lim, I.H.; Hong, S.H.; et al. Functional outcomes associated with blood pressure decrease after endovascular thrombectomy. JAMA Netw. Open 2024, 7, e246878. [Google Scholar] [CrossRef] [PubMed]
- Dhillon, P.S.; Butt, W.; Marei, O.; Podlasek, A.; McConachie, N.; Lenthall, R.; Nair, S.; Malik, L.; Bhogal, P.; Makalanda, H.L.D.; et al. Incidence and predictors of poor functional outcome despite complete recanalisation following endovascular thrombectomy for acute ischaemic stroke. J. Stroke Cerebrovasc. Dis. 2023, 32, 107083. [Google Scholar] [CrossRef] [PubMed]
- Han, M.; Kim, Y.D.; Park, H.J.; Hwang, I.G.; Choi, J.; Ha, J.; Heo, J.H.; Nam, H.S. Brachial-ankle pulse wave velocity for predicting functional outcomes in patients with cryptogenic stroke. J. Clin. Neurosci. 2019, 69, 214–219. [Google Scholar] [CrossRef]
- Huang, H.; Bu, X.; Pan, H.; Yang, S.; Cheng, W.; Shubhra, Q.T.H.; Ma, N. Estimated pulse wave velocity is associated with all-cause and cardio-cerebrovascular disease mortality in stroke population: Results from nhanes (2003–2014). Front. Cardiovasc. Med. 2023, 10, 1140160. [Google Scholar] [CrossRef] [PubMed]
- Park, S.; Lakatta, E.G. Role of inflammation in the pathogenesis of arterial stiffness. Yonsei Med. J. 2012, 53, 258–261. [Google Scholar] [CrossRef]
- Hill, H.; Elliot, C.A.; Lizamore, C.A.; Hamlin, M.J. Physical activity has a stronger correlation with arterial stiffness than strength, balance, or bmi in an older population. Front. Aging 2023, 4, 1279479. [Google Scholar] [CrossRef]
- Han, M.; Lim, I.H.; Hong, S.H.; Nam, H.S.; Heo, J.H.; Kim, Y.D. Initial stroke severity and discharge outcome in patients with muscle mass deficit. Sci. Rep. 2024, 14, 1911. [Google Scholar] [CrossRef] [PubMed]
- Ishiyama, Y.; Hoshide, S.; Kanegae, H.; Kario, K. Increased arterial stiffness amplifies the association between home blood pressure variability and cardiac overload: The j-hop study. Hypertension 2020, 75, 1600–1606. [Google Scholar] [CrossRef] [PubMed]
- Zhang, T.; Wang, X.; Wen, C.; Zhou, F.; Gao, S.; Zhang, X.; Lin, S.; Shi, J.; Li, W. Effect of short-term blood pressure variability on functional outcome after intra-arterial treatment in acute stroke patients with large-vessel occlusion. BMC Neurol. 2019, 19, 228. [Google Scholar] [CrossRef] [PubMed]
- Elder, T.A.; White, T.G.; Woo, H.H.; Siddiqui, A.H.; Nunna, R.; Siddiq, F.; Esposito, G.; Chang, D.; Gonzalez, N.R.; Amin-Hanjani, S. Future of endovascular and surgical treatments of atherosclerotic intracranial stenosis. Stroke 2024, 55, 344–354. [Google Scholar] [CrossRef] [PubMed]
- Quispe-Orozco, D.; Sequeiros, J.M.; Farooqui, M.; Zevallos, C.B.; Mendez-Ruiz, A.; Dajles, A.; Kobsa, J.; Prasad, A.; Petersen, N.; Ortega-Gutierrez, S. Stroke severity and early ischemic changes predict infarct growth rate and clinical outcomes in patients with large-vessel occlusion. Stroke Vasc. Interv. Neurol. 2022, 2, e000182. [Google Scholar] [CrossRef]
- Nam, H.S.; Kim, Y.D.; Yoo, J.; Park, H.; Kim, B.M.; Bang, O.Y.; Kim, H.C.; Han, E.; Kim, D.J.; Heo, J.; et al. Comorbidity index for predicting mortality at 6 months after reperfusion therapy. Sci. Rep. 2021, 11, 5963. [Google Scholar] [CrossRef] [PubMed]



| Total (n = 124) | Poor Functional Outcome | p Value | ||
|---|---|---|---|---|
| Yes (n = 58) | No (n = 66) | |||
| Age, y | 71.9 ± 11.8 | 74.3 ± 11.6 | 69.8 ± 11.7 | 0.034 |
| Sex (male) | 71 (57.3) | 32 (55.2) | 39 (59.1) | 0.660 |
| Admission NIHSS | 12.0 [7.0, 16.8] | 13.0 [9.0, 18.3] | 9.0 [6.0, 15.0] | 0.005 |
| Risk factors | ||||
| Hypertension | 90 (72.6) | 48 (82.8) | 42 (63.6) | 0.017 |
| Diabetes | 39 (31.5) | 18 (31.0) | 21 (31.8) | 0.925 |
| Dyslipidemia | 44 (35.5) | 17 (29.3) | 27 (40.9) | 0.178 |
| Atrial fibrillation | 69 (55.6) | 26 (44.8) | 43 (65.2) | 0.023 |
| Previous stroke | 29 (23.4) | 11 (19.0) | 18 (27.3) | 0.276 |
| Current smoking | 18 (14.5) | 7 (12.1) | 11 (16.7) | 0.468 |
| Peripheral artery disease | 15 (12.1) | 9 (15.5) | 6 (9.1) | 0.274 |
| Blood tests, mg/dL | ||||
| Total cholesterol | 148.0 [129.0, 176.0] | 142.0 [120.8, 170.8] | 160.0 [133.0, 184.5] | 0.123 |
| Triglyceride | 93.0 [72.0, 125.0] | 101.5 [78.0, 127.5] | 87.0 [69.5, 125.0] | 0.149 |
| HDL-C | 42.0 [35.0, 50.0] | 39.5 [32.8, 47.5] | 45.0 [38.0, 51.5] | 0.008 |
| LDL-C | 86.0 [66.0, 111.0] | 81.0 [65.5, 112.3] | 96.0 [66.0, 111.0] | 0.245 |
| Stroke subtypes | ||||
| Cardioembolism | 65 (52.4) | 26 (44.8) | 39 (59.1) | 0.548 |
| Large artery atherosclerosis | 21 (16.9) | 13 (22.4) | 8 (12.1) | |
| Stroke of other determined etiology | 5 (4.0) | 3 (5.2) | 2 (3.0) | |
| Incomplete evaluation | 3 (2.4) | 1 (1.7) | 2 (1.6) | |
| Negative evaluation | 11 (8.9) | 6 (10.3) | 5 (7.6) | |
| Two or more causes | 19 (15.3) | 9 (15.5) | 10 (15.2) | |
| Endovascular procedure | ||||
| Device pass number | 3.0 [2.0, 4.0] | 3.0 [2.0, 4.0] | 2.0 [1.0, 3.0] | 0.001 |
| Onset to puncture, min | 362.0 [200.0, 722.0] | 367.0 [237.5, 785.0] | 358.0 [170.0, 530.3] | 0.239 |
| Onset to reperfusion, min | 400.0 [222.0, 763.0] | 400.0 [267.5, 812.0] | 399.5 [192.8, 563.3] | 0.167 |
| Successful recanalization | 102 (82.3) | 43 (74.1) | 59 (89.4) | 0.026 |
| Good collateral | 88 (71.0) | 39 (67.2) | 49 (74.2) | 0.391 |
| Arterial stiffness measurement | ||||
| Heart rate, bpm | 75.0 [63.3, 88.8] | 78.0 [66.5, 91.3] | 71.0 [62.5, 85.0] | 0.065 |
| Admission to baPWV, day | 2.0 [1.0, 3.0] | 3.0 [2.0, 4.0] | 2.0 [1.0, 3.0] | <0.001 |
| baPWV, m/s | 20.12 [16.12, 23.33] | 21.56 [18.72, 26.07] | 18.55 [14.79, 21.23] | <0.001 |
| baPWV > 16.57 m/s | 91 (73.4) | 54 (93.1) | 37 (56.1) | <0.001 |
| Univariable | Multivariable a | |||
|---|---|---|---|---|
| OR (95% CI) | p Value | OR (95% CI) | p Value | |
| Age, y | 1.035 (1.002–1.068) | 0.037 | 1.031 (0.975–1.090) | 0.280 |
| Sex(male) | 0.852 (0.418–1.739) | 0.660 | 0.643 (0.217–1.902) | 0.425 |
| Admission NIHSS | 1.093 (1.026–1.164) | 0.006 | 1.104 (1.006–1.212) | 0.037 |
| Hypertension | 2.743 (1.177–6.392) | 0.019 | 1.607 (0.436–5.921) | 0.476 |
| Diabetes | 0.964 (0.451–2.062) | 0.925 | ||
| Dyslipidemia | 0.599 (0.283–1.266) | 0.180 | ||
| Atrial fibrillation | 0.435 (0.211–0.896) | 0.024 | 0.293 (0.096–0.893) | 0.031 |
| Previous stroke | 0.624 (0.266–1.462) | 0.278 | ||
| Current smoking | 0.686 (0.247–1.906) | 0.470 | ||
| Peripheral artery disease | 1.837 (0.612–5.517) | 0.279 | ||
| Stroke subtypes | ||||
| Cardioembolism | 0.559 (0.254–1.234) | 0.150 | ||
| Large artery atherosclerosis | 1.558 (0.513–4.736) | 0.434 | ||
| Others b | Reference | |||
| Device pass number | 1.461 (1.130–1.889) | 0.004 | 1.495 (1.064–2.100) | 0.020 |
| Onset to puncture, minute | 1.001 (1.000–1.001) | 0.237 | ||
| Onset to reperfusion, minute | 1.001 (1.000–1.002) | 0.162 | ||
| Successful recanalization | 0.340 (0.128–0.906) | 0.031 | 0.261 (0.059–1.158) | 0.077 |
| Good collateral | 0.712 (0.327–1.550) | 0.392 | ||
| Heart rate, bpm | 1.011 (0.995–1.028) | 0.183 | ||
| Admission to baPWV, day | 1.804 (1.328–2.451) | <0.001 | 1.716 (1.193–2.468) | 0.004 |
| baPWV, m/s | 1.126 (1.051–1.206) | 0.001 | 1.104 (1.007–1.211) | 0.035 |
| baPWV > 16.57 m/s | 10.581 (3.432–32.623) | <0.001 | 8.640 (1.581–47.228) | 0.013 |
| Predictive Ability (95% CI) | p Value | |
|---|---|---|
| NRI | ||
| vs. Model 1 | 1.083 (0.779–1.387) | <0.001 |
| vs. Model 2 | 0.529 (0.186–0.873) | 0.003 |
| IDI | ||
| vs. Model 1 | 0.363 (0.274–0.452) | <0.001 |
| vs. Model 2 | 0.046 (0.009–0.083) | 0.015 |
Disclaimer/Publisher’s Note: The statements, opinions and data contained in all publications are solely those of the individual author(s) and contributor(s) and not of MDPI and/or the editor(s). MDPI and/or the editor(s) disclaim responsibility for any injury to people or property resulting from any ideas, methods, instructions or products referred to in the content. |
© 2024 by the authors. Licensee MDPI, Basel, Switzerland. This article is an open access article distributed under the terms and conditions of the Creative Commons Attribution (CC BY) license (https://creativecommons.org/licenses/by/4.0/).
Share and Cite
Han, M.; Joo, H.; Lee, H.; Heo, J.; Jung, J.W.; Kim, Y.D.; Park, E.; Nam, H.S. Arterial Stiffness Predicts the Outcome of Endovascular Treatment in Patients with Acute Ischemic Stroke. J. Clin. Med. 2024, 13, 4198. https://doi.org/10.3390/jcm13144198
Han M, Joo H, Lee H, Heo J, Jung JW, Kim YD, Park E, Nam HS. Arterial Stiffness Predicts the Outcome of Endovascular Treatment in Patients with Acute Ischemic Stroke. Journal of Clinical Medicine. 2024; 13(14):4198. https://doi.org/10.3390/jcm13144198
Chicago/Turabian StyleHan, Minho, Haram Joo, Hyungwoo Lee, JoonNyung Heo, Jae Wook Jung, Young Dae Kim, Eunjeong Park, and Hyo Suk Nam. 2024. "Arterial Stiffness Predicts the Outcome of Endovascular Treatment in Patients with Acute Ischemic Stroke" Journal of Clinical Medicine 13, no. 14: 4198. https://doi.org/10.3390/jcm13144198
APA StyleHan, M., Joo, H., Lee, H., Heo, J., Jung, J. W., Kim, Y. D., Park, E., & Nam, H. S. (2024). Arterial Stiffness Predicts the Outcome of Endovascular Treatment in Patients with Acute Ischemic Stroke. Journal of Clinical Medicine, 13(14), 4198. https://doi.org/10.3390/jcm13144198

