Neuron-Specific Enolase as a Predictor of Neurologic Outcomes in Extracorporeal Cardiopulmonary Resuscitation Patients
Abstract
1. Introduction
2. Materials and Methods
2.1. Study Patients
2.2. ECPR Organization
2.3. NSE Level Measurement and Brain Computed Tomography
2.4. Primary and Secondary Outcomes
2.5. Statistical Analysis
2.6. Ethics
3. Results
3.1. Baseline Characteristics of All Patients
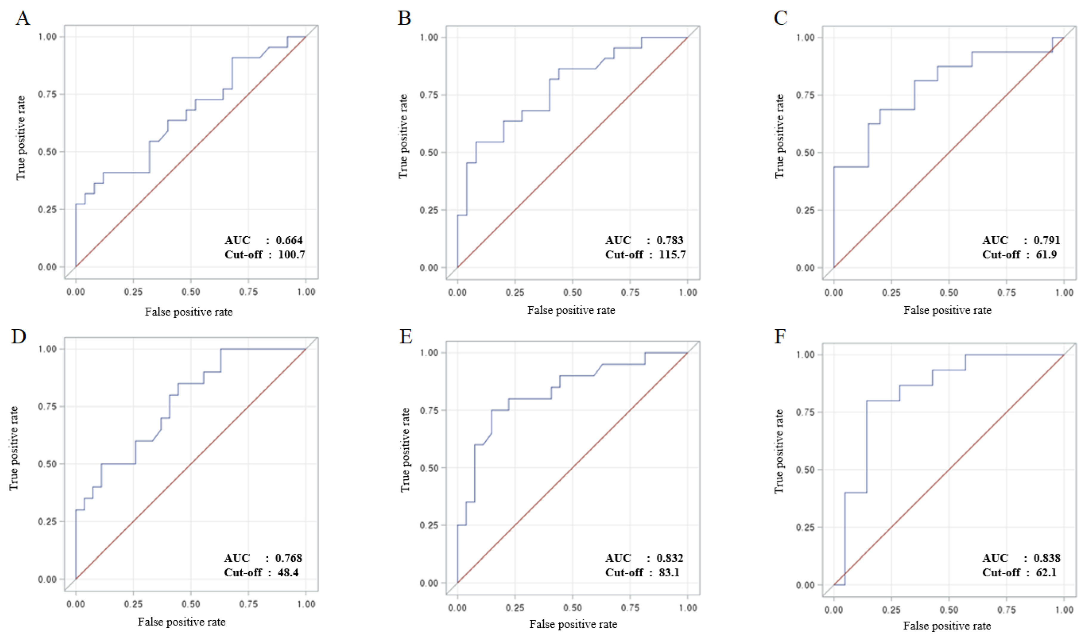
3.2. NSE Levels and Outcomes
3.3. Risk Factors for Poor Neurologic Outcomes
4. Discussion
Strengths and Limitations of This Study
5. Conclusions
Supplementary Materials
Author Contributions
Funding
Institutional Review Board Statement
Informed Consent Statement
Data Availability Statement
Conflicts of Interest
Abbreviations
| ABI | acute brain injury |
| AUC | area under the curve |
| CPC | Cerebral Performance Category |
| CPR | cardiopulmonary resuscitation |
| CT | computed tomography |
| ECLS | extracorporeal life support |
| ECPR | extracorporeal cardiopulmonary resuscitation |
| ICU | intensive care unit |
| IHCA | in-hospital cardiac arrest |
| MRI | magnetic resonance imaging |
| NSE | neuron-specific enolase |
| OHCA | out-of-hospital cardiac arrest |
| ROC | receiver operating curve |
References
- Stub, D.; Bernard, S.; Pellegrino, V.; Smith, K.; Walker, T.; Sheldrake, J.; Hockings, L.; Shaw, J.; Duffy, S.J.; Burrell, A.; et al. Refractory cardiac arrest treated with mechanical CPR, hypothermia, ECMO and early reperfusion (the CHEER trial). Resuscitation 2015, 86, 88–94. [Google Scholar] [CrossRef] [PubMed]
- Schmidt, M.; Burrell, A.; Roberts, L.; Bailey, M.; Sheldrake, J.; Rycus, P.T.; Hodgson, C.; Scheinkestel, C.; Cooper, D.J.; Thiagarajan, R.R.; et al. Predicting survival after ECMO for refractory cardiogenic shock: The survival after veno-arterial-ECMO (SAVE)-score. Eur. Heart J. 2015, 36, 2246–2256. [Google Scholar] [CrossRef] [PubMed]
- Lorusso, R.; Barili, F.; Mauro, M.D.; Gelsomino, S.; Parise, O.; Rycus, P.T.; Maessen, J.; Mueller, T.; Muellenbach, R.; Belohlavek, J.; et al. In-Hospital Neurologic Complications in Adult Patients Undergoing Venoarterial Extracorporeal Membrane Oxygenation: Results From the Extracorporeal Life Support Organization Registry. Crit. Care Med. 2016, 44, e964–e972. [Google Scholar] [CrossRef] [PubMed]
- Xie, A.; Lo, P.; Yan, T.D.; Forrest, P. Neurologic Complications of Extracorporeal Membrane Oxygenation: A Review. J. Cardiothorac. Vasc. Anesth. 2017, 31, 1836–1846. [Google Scholar] [CrossRef] [PubMed]
- Floerchinger, B.; Philipp, A.; Foltan, M.; Keyser, A.; Camboni, D.; Lubnow, M.; Lunz, D.; Hilker, M.; Schmid, C. Neuron-specific enolase serum levels predict severe neuronal injury after extracorporeal life support in resuscitation. Eur. J. Cardiothorac. Surg. 2014, 45, 496–501. [Google Scholar] [CrossRef] [PubMed]
- Reuter, J.; Peoc’h, K.; Bouadma, L.; Ruckly, S.; Chicha-Cattoir, V.; Faille, D.; Bourrienne, M.C.; Dupuis, C.; Magalhaes, E.; Tanaka, S.; et al. Neuron-Specific Enolase Levels in Adults Under Venoarterial Extracorporeal Membrane Oxygenation. Crit. Care Explor. 2020, 2, e0239. [Google Scholar] [CrossRef] [PubMed]
- Schrage, B.; Rubsamen, N.; Becher, P.M.; Roedl, K.; Soffker, G.; Schwarzl, M.; Dreher, A.; Schewel, J.; Ghanem, A.; Grahn, H.; et al. Neuron-specific-enolase as a predictor of the neurologic outcome after cardiopulmonary resuscitation in patients on ECMO. Resuscitation 2019, 136, 14–20. [Google Scholar] [CrossRef] [PubMed]
- Reiber, H. Proteins in cerebrospinal fluid and blood: Barriers, CSF flow rate and source-related dynamics. Restor. Neurol. Neurosci. 2003, 21, 79–96. [Google Scholar] [PubMed]
- Schoerkhuber, W.; Kittler, H.; Sterz, F.; Behringer, W.; Holzer, M.; Frossard, M.; Spitzauer, S.; Laggner, A.N. Time course of serum neuron-specific enolase: A predictor of neurological outcome in patients resuscitated from cardiac arrest. Stroke 1999, 30, 1598–1603. [Google Scholar] [CrossRef]
- Grossestreuer, A.V.; Abella, B.S.; Sheak, K.R.; Cinousis, M.J.; Perman, S.M.; Leary, M.; Wiebe, D.J.; Gaieski, D.F. Inter-rater reliability of post-arrest cerebral performance category (CPC) scores. Resuscitation 2016, 109, 21–24. [Google Scholar] [CrossRef]
- Schurr, J.W.; Noubani, M.; Santore, L.A.; Rabenstein, A.P.; Dhundale, K.; Fitzgerald, J.; Cahill, J.; Bilfinger, T.V.; Seifert, F.C.; McLarty, A.J. Survival and Outcomes After Cardiac Arrest With VA-ECMO Rescue Therapy. Shock 2021, 56, 939–947. [Google Scholar] [CrossRef] [PubMed]
- Yannopoulos, D.; Bartos, J.; Raveendran, G.; Walser, E.; Connett, J.; Murray, T.A.; Collins, G.; Zhang, L.; Kalra, R.; Kosmopoulos, M.; et al. Advanced reperfusion strategies for patients with out-of-hospital cardiac arrest and refractory ventricular fibrillation (ARREST): A phase 2, single centre, open-label, randomised controlled trial. Lancet 2020, 396, 1807–1816. [Google Scholar] [CrossRef] [PubMed]
- Belohlavek, J.; Smalcova, J.; Rob, D.; Franek, O.; Smid, O.; Pokorna, M.; Horak, J.; Mrazek, V.; Kovarnik, T.; Zemanek, D.; et al. Effect of Intra-arrest Transport, Extracorporeal Cardiopulmonary Resuscitation, and Immediate Invasive Assessment and Treatment on Functional Neurologic Outcome in Refractory Out-of-Hospital Cardiac Arrest: A Randomized Clinical Trial. JAMA 2022, 327, 737–747. [Google Scholar] [CrossRef] [PubMed]
- Wardlaw, J.M.; Farrall, A.J.; Perry, D.; von Kummer, R.; Mielke, O.; Moulin, T.; Ciccone, A.; Hill, M.; Acute Cerebral, C.T.E.o.S.S.S.G. Factors influencing the detection of early CT signs of cerebral ischemia: An internet-based, international multiobserver study. Stroke 2007, 38, 1250–1256. [Google Scholar] [CrossRef] [PubMed][Green Version]
- Wardlaw, J.M.M.O. Early Signs of Brain Infarction at CT: Observer Reliability and Outcome after Thrombolytic Treatment—Systematic Review. Radiology 2005, 235, 444–453. [Google Scholar] [CrossRef] [PubMed]
- Kim, H.B.; Yang, J.H.; Lee, Y.H. Are serial neuron-specific enolase levels associated with neurologic outcome of ECPR patients: A retrospective multicenter observational study. Am. J. Emerg. Med. 2023, 69, 58–64. [Google Scholar] [CrossRef]
- Cho, S.M.; Wilcox, C.; Keller, S.; Acton, M.; Rando, H.; Etchill, E.; Giuliano, K.; Bush, E.L.; Sair, H.I.; Pitts, J.; et al. Assessing the SAfety and FEasibility of bedside portable low-field brain Magnetic Resonance Imaging in patients on ECMO (SAFE-MRI ECMO study): Study protocol and first case series experience. Crit. Care 2022, 26, 119. [Google Scholar] [CrossRef] [PubMed]
- Wilcox, C.; Choi, C.W.; Cho, S.M. Brain injury in extracorporeal cardiopulmonary resuscitation: Translational to clinical research. J. Neurocrit Care 2021, 14, 63–77. [Google Scholar] [CrossRef]
- Fux, T.; Holm, M.; Corbascio, M.; van der Linden, J. Cardiac Arrest Prior to Venoarterial Extracorporeal Membrane Oxygenation: Risk Factors for Mortality. Crit. Care Med. 2019, 47, 926–933. [Google Scholar] [CrossRef]
- Orban, J.C.; Novain, M.; Cattet, F.; Plattier, R.; Nefzaoui, M.; Hyvernat, H.; Raguin, O.; Kaidomar, M.; Kerever, S.; Ichai, C. Association of serum lactate with outcome after out-of-hospital cardiac arrest treated with therapeutic hypothermia. PLoS ONE 2017, 12, e0173239. [Google Scholar] [CrossRef]
- Sugimoto, M.; Takayama, W.; Inoue, A.; Hifumi, T.; Sakamoto, T.; Kuroda, Y.; Otomo, Y. Impact of lactate clearance on clinical and neurological outcomes of patients with out-of-hospital cardiac arrest treated with extracorporeal cardiopulmonary resuscitation: A secondary data analysis. Critical Care Med. 2024, 52, e341–e350. [Google Scholar] [CrossRef]
- Dusik, M.; Rob, D.; Smalcova, J.; Havranek, S.; Karasek, J.; Smid, O.; Brodska, H.L.; Kavalkova, P.; Huptych, M.; Bakker, J.; et al. Serum lactate in refractory out-of-hospital cardiac arrest: Post-hoc analysis of the Prague OHCA study. Resuscitation 2023, 192, 109935. [Google Scholar] [CrossRef] [PubMed]
- Brodska, H.; Smalcova, J.; Kavalkova, P.; Lavage, D.R.; Dusik, M.; Belohlavek, J.; Drabek, T. Biomarkers for neuroprognostication after standard versus extracorporeal cardiopulmonary resuscitation—A sub-analysis of Prague-OHCA study. Resuscitation 2024, 199, 110219. [Google Scholar] [CrossRef] [PubMed]
- Anan, M.; Nagai, Y.; Fudaba, H.; Fujiki, M. Lactate and Lactate Dehydrogenase in Cistern as Biomarkers of Early Brain Injury and Delayed Cerebral Ischemia of Subarachnoid Hemorrhage. J. Stroke Cerebrovasc. Dis. 2020, 29, 104765. [Google Scholar] [CrossRef] [PubMed]
- van Donkelaar, C.E.; Dijkland, S.A.; van den Bergh, W.M.; Bakker, J.; Dippel, D.W.; Nijsten, M.W.; van der Jagt, M. Early Circulating Lactate and Glucose Levels After Aneurysmal Subarachnoid Hemorrhage Correlate With Poor Outcome and Delayed Cerebral Ischemia: A Two-Center Cohort Study. Crit. Care Med. 2016, 44, 966–972. [Google Scholar] [CrossRef] [PubMed]
- El Hayek, L.; Khalifeh, M.; Zibara, V.; Abi Assaad, R.; Emmanuel, N.; Karnib, N.; El-Ghandour, R.; Nasrallah, P.; Bilen, M.; Ibrahim, P.; et al. Lactate Mediates the Effects of Exercise on Learning and Memory through SIRT1-Dependent Activation of Hippocampal Brain-Derived Neurotrophic Factor (BDNF). J. Neurosci. 2019, 39, 2369–2382. [Google Scholar] [CrossRef]
- Guru, P.K.; Seelhammer, T.G.; Singh, T.D.; Sanghavi, D.K.; Chaudhary, S.; Riley, J.B.; Friedrich, T.; Stulak, J.M.; Haile, D.T.; Kashyap, R.; et al. Outcomes of adult patients supported by extracorporeal membrane oxygenation (ECMO) following cardiopulmonary arrest. The Mayo Clinic experience. J. Card. Surg. 2021, 36, 3528–3539. [Google Scholar] [CrossRef] [PubMed]
- Haneya, A.; Philipp, A.; Diez, C.; Schopka, S.; Bein, T.; Zimmermann, M.; Lubnow, M.; Luchner, A.; Agha, A.; Hilker, M.; et al. A 5-year experience with cardiopulmonary resuscitation using extracorporeal life support in non-postcardiotomy patients with cardiac arrest. Resuscitation 2012, 83, 1331–1337. [Google Scholar] [CrossRef]
- Sakamoto, S.; Taniguchi, N.; Nakajima, S.; Takahashi, A. Extracorporeal life support for cardiogenic shock or cardiac arrest due to acute coronary syndrome. Ann. Thorac. Surg. 2012, 94, 1–7. [Google Scholar] [CrossRef]
- Roh, S.Y.; Choi, J.I.; Park, S.H.; Kim, Y.G.; Shim, J.; Kim, J.S.; Han, K.D.; Kim, Y.H. The 10-year trend of out-of-hospital cardiac arrests: A Korean nationwide population-based study. Korean Circ. J. 2021, 51, 866–874. [Google Scholar] [CrossRef]
- Collins, G.S.; Reitsma, J.B.; Altman, D.G.; Moons, K.G.M. Transparent reporting of a multivariable prediction model for individual prognosis or diagnosis (TRIPOD): The TRIPOD statement. BMC Med. 2015, 13, 219. [Google Scholar] [CrossRef] [PubMed]
- Teixeira, F.J.P.; Ahmad, B.; Gibatova, V.; Ameli, P.A.; da Silva, I.; Carneiro, T.; Roth, W.; Ford, J.L.; Selfe, T.K.; Greer, D.M.; et al. Do neuroprognostic studies account for self-fulfilling prophecy bias in their methodology? The SPIN Protocol for a systematic review. Crit. Care Explor. 2023, 5, e0943. [Google Scholar] [CrossRef] [PubMed]
- Mertens, M.; King, O.C.; van Putten, M.J.A.M.; Boenink, M. Can we learn from hidden mistakes? Self-fulfilling prophecy and responsible neuroprognostic innovation. J. Med. Ethics 2022, 48, 922–928. [Google Scholar] [CrossRef] [PubMed]



| All Patients (n = 47) | CPC Score 1–2 (n = 25) | CPC Score 3–5 (n = 22) | p-Value | Alive (n = 27) | Death (n = 20) | p-Value | |
|---|---|---|---|---|---|---|---|
| Age | 59.0 (50.0–69.0) | 58.0 (51.0–64.0) | 64.5 (49.0–75.0) | 0.182 | 59.0 (51.0–67.0) | 62.0 (48.5–69.0) | 0.870 |
| Male | 35 (74.5) | 19 (76.0) | 16 (72.7) | >0.999 | 21 (77.8) | 14 (70.0) | 0.737 |
| Cause of cardiac arrest | 0.565 | 0.436 | |||||
| Acute MI | 28 (59.6) | 13 (52.0) | 15 (68.2) | 15 (55.6) | 13 (65.0) | ||
| ICMP | 3 (6.4) | 3 (12.0) | 0 (0.0) | 3 (11.1) | 0 (0.0) | ||
| DCMP | 2 (4.3) | 1 (4.0) | 1 (4.6) | 0 (0.0) | 2 (10.0) | ||
| Acute myocarditis | 4 (8.5) | 3 (12.0) | 1 (4.6) | 3 (11.1) | 1 (5.0) | ||
| PTE | 2 (4.3) | 1 (4.0) | 1 (4.6) | 1 (3.7) | 1 (5.0) | ||
| Infective endocarditis | 1 (2.1) | 0 (0.0) | 1 (4.6) | 0 (0.0) | 1 (5.0) | ||
| SCMP | 2 (4.3) | 1 (4.0) | 1 (4.6) | 1 (3.7) | 1 (5.0) | ||
| Fatal arrhythmia | 2 (4.3) | 2 (8.0) | 0 (0.0) | 2 (7.4) | 0 (0.0) | ||
| Others | 3 (6.4) | 1 (4.0) | 2 (9.1) | 2 (7.4) | 1 (5.0) | ||
| Location of cardiac arrest | 0.556 | 0.152 | |||||
| In-hospital | 27 (57.5) | 13 (52.0) | 14 (63.6) | 13 (48.2) | 14 (70.0) | ||
| Out-of-hospital | 20 (42.6) | 12 (48.0) | 8 (36.4) | 14 (51.9) | 6 (30.0) | ||
| CPR time | |||||||
| Total | 26.0 (12.0–41.0) | 32.0 (10.0–40.0) | 25.0 (17.0–44.0) | 0.624 | 33.0 (10.0–40.0) | 25.0 (16.0–42.5) | 0.949 |
| Pre-hospital (OHCA, n = 20) | 19.5 (9.5–29.0) | 18.0 (9.0–30.0) | 26.0 (9.5–28.0) | 0.054 | 19.5 (10.0–29.0) | 18.0 (9.0–27.0) | 0.109 |
| In-hospital | 21.0 (9.0–32.0) | 15.0 (6.0–32.0) | 23.5 (15.0–31.0) | 0.267 | 15.0 (6.0–32.0) | 23.5 (16.0–31.0) | 0.249 |
| pH | |||||||
| ECLS insertion time | 7.1 (7.0–7.3) | 7.2 (7.1–7.3) | 7.0 (6.9–7.3) | 0.080 | 7.2 (7.0–7.3) | 7.0 (6.9–7.2) | 0.026 |
| POD#1 | 7.4 (7.3–7.5) | 7.4 (7.3–7.5) | 7.4 (7.3–7.5) | 0.529 | 7.4 (7.3–7.5) | 7.4 (7.3–7.4) | 0.132 |
| Lactate | |||||||
| ECLS insertion time | 7.4 (4.6–12.1) | 5.5 (4.2–9.1) | 9.6 (6.0–13.4) | 0.040 | 5.5 (4.0–8.9) | 9.6 (6.4–12.7) | 0.041 |
| POD#1 | 5.7 (2.8–9.0) | 4.6 (2.4–6.9) | 7.6 (5.4–9.6) | 0.064 | 4.6 (2.4–6.9) | 8.1 (5.5–9.6) | 0.046 |
| Creatinine | |||||||
| ECLS insertion time | 1.2 (0.9–1.7) | 1.2 (0.9–1.6) | 1.3 (1.1–1.7) | 0.190 | 1.1 (0.9–1.6) | 1.4 (1.1–2.2) | 0.048 |
| POD#1 | 1.1 (0.9–1.8) | 1.0 (0.9–1.4) | 1.2 (0.9–1.9) | 0.147 | 1.0 (0.9–1.4) | 1.4 (1.0–2.0) | 0.083 |
| eGFR | |||||||
| ECLS insertion time | 64.0 (34.0–83.0) | 72.0 (50.0–91.0) | 55.0 (28.0–68.0) | 0.086 | 72.0 (50.0–91.0) | 53.0 (27.0–66.0) | 0.031 |
| POD#1 | 71.0 (40.0–91.0) | 78.0 (48.0–97.0) | 58.5 (31.0–75.0) | 0.064 | 77.0 (48.0–97.0) | 57.0 (32.0–78.5) | 0.042 |
| Troponin-I | |||||||
| ECLS insertion time | 0.2 (0.1–1.0) | 0.3 (0.1–1.7) | 0.1 (0.1–0.8) | 0.668 | 0.3 (0.1–2.3) | 0.2 (0.1–0.7) | 0.629 |
| POD#1 | 46.0 (1.8–50.0) | 46.0 (2.2–50.0) | 43.5 (1.8–50.0) | 0.930 | 46.0 (0.8–50.0) | 43.5 (2.2–50.0) | 0.833 |
| Brain CT (n = 39) | 0.002 | 0.003 | |||||
| Normal | 27 (69.2) | 18 (90.0) | 9 (47.4) | 18 (81.8) | 9 (52.9) | ||
| Hypoxic-ischemic brain injury | 7 (18.0) | 0 (0.0) | 7 (36.8) | 0 (0.0) | 7 (41.2) | ||
| Ischemic stroke | 4 (10.3) | 2 (10.0) | 2 (10.5) | 3 (13.6) | 1 (5.9) | ||
| Intracranial hemorrhage | 1 (2.6) | 0 (0.0) | 1 (5.3) | 1 (4.6) | 0 (0.0) | ||
| Optic nerve diameter (n = 39) | 5.4 (4.9–5.8) | 5.5 (5.0–5.9) | 5.3 (4.9–5.6) | 0.285 | 5.4 (5.0–5.8) | 5.3 (4.9–5.7) | 0.788 |
| NSE | |||||||
| POD#1 | 63.0 (40.8–101.0) | 49.9 (35.7–81.2) | 71.9 (44.2–149.0) | 0.056 | 47.0 (33.6–78.1) | 85.2 (59.4–150.0) | 0.002 |
| POD#2 | 64.8 (41.1–166.0) | 44.0 (36.8–74.0) | 124.3 (50.5–220.0) | 0.001 | 44.0 (36.8–69.0) | 149.5 (76.4–243.0) | <0.001 |
| POD#3 (n = 36) | 41.4 (28.6–150.6) | 35.0 (26.7–54.3) | 108.8 (40.5–287.0) | 0.003 | 33.1 (26.6–42.1) | 127.3 (62.1–258.0) | <0.001 |
| ICU stay | 9.0 (5.0–14.0) | 12.0 (8.0–14.0) | 6.0 (4.0–14.0) | 0.016 | 12.0 (7.0–17.0) | 7.0 (4.0–12.5) | 0.026 |
| Hospital stay | 13.0 (5.0–25.0) | 20.0 (8.0–29.0) | 7.0 (4.0–14.0) | 0.001 | 20.0 (8.0–30.0) | 7.0 (4.0–12.5) | 0.001 |
| Variable | CPC Score 3–5 at Discharge | Variable | 30-Day Mortality | ||
|---|---|---|---|---|---|
| Sensitivity (95% CI) | Specificity (95% CI) | Sensitivity (95% CI) | Specificity (95% CI) | ||
| NSE level at 24 h after ECPR | NSE level at 24 h after ECPR | ||||
| NSE > 25 | 48.9 (28.0–69.8) | 87.0 (73.8–100) | NSE > 25 | 50.0 (28.1–71.9) | 87.5 (75.0–100.0) |
| NSE > 50 | 40.0 (19.5–60.5) | 100.0 (100.0–100.0) | NSE > 50 | 37.5 (16.3–58.7) | 100.0 (100.0–100.0) |
| NSE > 75 | 60.0 (39.5–80.5) | 100.0 (100.0–100.0) | NSE > 75 | 54.6 (32.7–76.4) | 100.0 (100.0–100.0) |
| NSE level at 48 h after ECPR | NSE level at 48 h after ECPR | ||||
| NSE > 25 | 54.5 (33.7–75.4) | 90.0 (80.9–99.1) | NSE > 25 | 75.0 (56.0–94.0) | 81.8 (67.3–96.4) |
| NSE > 50 | 66.7 (47.0–86.4) | 80.0 (64.3–95.7) | NSE > 50 | 70.6 (50.6–90.6) | 81.8 (67.3–96.4) |
| NSE > 75 | 71.4 (52.5–90.3) | 83.3 (68.7–98.0) | NSE > 75 | 80.0 (62.5–97.5) | 60.0 (41.5–78.5) |
| NSE level at 72 h after ECPR | NSE level at 72 h after ECPR | ||||
| NSE > 25 | 73.3 (54.9–91.8) | 75.0 (58.0–92.0) | NSE > 25 | 80.0 (62.5–97.5) | 81.3 (66.5–96.0) |
| NSE > 50 | 63.6 (43.5–83.7) | 100.0 (100.0–100.0) | NSE > 50 | 100.0 (100.0–100.0) | 40.0 (21.5–58.5) |
| NSE > 75 | 70.0 (50.9–89.2) | 100.0 (100.0–100.0) | NSE > 75 | 45.5 (23.6–67.3) | 100.0 (100.0–100.0) |
Disclaimer/Publisher’s Note: The statements, opinions and data contained in all publications are solely those of the individual author(s) and contributor(s) and not of MDPI and/or the editor(s). MDPI and/or the editor(s) disclaim responsibility for any injury to people or property resulting from any ideas, methods, instructions or products referred to in the content. |
© 2024 by the authors. Licensee MDPI, Basel, Switzerland. This article is an open access article distributed under the terms and conditions of the Creative Commons Attribution (CC BY) license (https://creativecommons.org/licenses/by/4.0/).
Share and Cite
Jeong, Y.H.; Lim, S.K.; Cho, Y.; Kim, Y.J.; Jang, H.J.; Cho, Y.H.; Shin, Y.; Jung, J.S.; Kang, J.K.; Cho, S.-M.; et al. Neuron-Specific Enolase as a Predictor of Neurologic Outcomes in Extracorporeal Cardiopulmonary Resuscitation Patients. J. Clin. Med. 2024, 13, 4135. https://doi.org/10.3390/jcm13144135
Jeong YH, Lim SK, Cho Y, Kim YJ, Jang HJ, Cho YH, Shin Y, Jung JS, Kang JK, Cho S-M, et al. Neuron-Specific Enolase as a Predictor of Neurologic Outcomes in Extracorporeal Cardiopulmonary Resuscitation Patients. Journal of Clinical Medicine. 2024; 13(14):4135. https://doi.org/10.3390/jcm13144135
Chicago/Turabian StyleJeong, Yong Ho, Suk Kyung Lim, Yongil Cho, Yun Jin Kim, Hyo Jun Jang, Yang Hyun Cho, Yonghoon Shin, Jae Seung Jung, Jin Kook Kang, Sung-Min Cho, and et al. 2024. "Neuron-Specific Enolase as a Predictor of Neurologic Outcomes in Extracorporeal Cardiopulmonary Resuscitation Patients" Journal of Clinical Medicine 13, no. 14: 4135. https://doi.org/10.3390/jcm13144135
APA StyleJeong, Y. H., Lim, S. K., Cho, Y., Kim, Y. J., Jang, H. J., Cho, Y. H., Shin, Y., Jung, J. S., Kang, J. K., Cho, S.-M., & Lee, J. H. (2024). Neuron-Specific Enolase as a Predictor of Neurologic Outcomes in Extracorporeal Cardiopulmonary Resuscitation Patients. Journal of Clinical Medicine, 13(14), 4135. https://doi.org/10.3390/jcm13144135

