Relationship between Cephalometric and Ultrasonic Airway Parameters in Adults with High Risk of Obstructive Sleep Apnea
Abstract
1. Introduction
2. Materials and Methods
2.1. Ethics Approval
2.2. Sample Size Calculation
2.3. Participant Selection
2.4. Data Collection
2.4.1. STOP-Bang Questionnaire
2.4.2. Lateral Cephalometric Radiograph
2.4.3. Anatomical Landmarks and Measurement
2.4.4. Submental Ultrasound
2.5. Data Analysis Strategies
3. Results
4. Discussion
5. Limitations
6. Conclusions
- This is the first study to investigate the relationship between specific cephalometric and ultrasonic airway parameters in adults at high risk of obstructive sleep apnea. We discovered that SNA, SNB, ANB, NSBA, and MP-H were significantly associated with ultrasonic airway parameters in the velum, oropharynx, tongue base, and epiglottis.
- A normal maxillomandibular relationship or small tongue width may not indicate a lower risk of OSA. Various anatomical factors, such as inferior positions of the tongue, greater tongue thickness or volume, skeletal structure, and superficial and deep tissue thickness, contributed to the chance of developing OSA.
- Combining several aspects of information, such as questionnaires, cephalometry, and submental ultrasonography, together with medical history allows us to prioritize individuals with unrecognized OSA for further sleep evaluation or therapy.
Author Contributions
Funding
Institutional Review Board Statement
Informed Consent Statement
Data Availability Statement
Acknowledgments
Conflicts of Interest
References
- Kapur Vishesh, K.; Auckley Dennis, H.; Chowdhuri, S.; Kuhlmann David, C.; Mehra, R.; Ramar, K.; Harrod Christopher, G. Clinical Practice Guideline for Diagnostic Testing for Adult Obstructive Sleep Apnea: An American Academy of Sleep Medicine Clinical Practice Guideline. J. Clin. Sleep Med. 2017, 13, 479–504. [Google Scholar] [CrossRef] [PubMed]
- Davidson, T.M.; Patel, M.R. Waist circumference and sleep disordered breathing. Laryngoscope 2008, 118, 339–347. [Google Scholar] [CrossRef] [PubMed]
- Pinto, J.A.; Godoy, L.B.d.M.; Marquis, V.W.P.B.; Sonego, T.B.; Leal, C.d.F.A.; Ártico, M.S. Anthropometric data as predictors of obstructive sleep apnea severity. Braz. J. Otorhinolaryngol. 2011, 77, 516–521. [Google Scholar] [CrossRef] [PubMed]
- Silva, V.G.; Pinheiro, L.A.M.; Silveira, P.L.d.; Duarte, A.S.M.; Faria, A.C.; Carvalho, E.G.B.d.; Zancanella, E.; Crespo, A.N. Correlation between cephalometric data and severity of sleep apnea. Braz. J. Otorhinolaryngol. 2014, 80, 191–195. [Google Scholar] [CrossRef] [PubMed]
- Behrents, R.G.; Shelgikar, A.V.; Conley, R.S.; Flores-Mir, C.; Hans, M.; Levine, M.; McNamara, J.A.; Palomo, J.M.; Pliska, B.; Stockstill, J.W.; et al. Obstructive sleep apnea and orthodontics: An American Association of Orthodontists White Paper. Am. J. Orthod. Dentofac. Orthop. 2019, 156, 13–28. [Google Scholar] [CrossRef] [PubMed]
- Epstein, L.J.; Kristo, D.; Strollo, P.J., Jr.; Friedman, N.; Malhotra, A.; Patil, S.P.; Ramar, K.; Rogers, R.; Schwab, R.J.; Weaver, E.M.; et al. Clinical guideline for the evaluation, management and long-term care of obstructive sleep apnea in adults. J. Clin. Sleep Med. 2009, 5, 263–276. [Google Scholar] [PubMed]
- Rodsutti, J.; Hensley, M.; Thakkinstian, A.; D’Este, C.; Attia, J. A clinical decision rule to prioritize polysomnography in patients with suspected sleep apnea. Sleep 2004, 27, 694–699. [Google Scholar] [CrossRef] [PubMed]
- Kim, S.-J.; Kim, Y.-S.; Park, J.-H.; Kim, S.-W. Cephalometric Predictors of Therapeutic Response to Multilevel Surgery in Patients with Obstructive Sleep Apnea. J. Oral Maxillofac. Surg. 2012, 70, 1404–1412. [Google Scholar] [CrossRef] [PubMed]
- Chiu, H.Y.; Chen, P.Y.; Chuang, L.P.; Chen, N.H.; Tu, Y.K.; Hsieh, Y.J.; Wang, Y.C.; Guilleminault, C. Diagnostic accuracy of the Berlin questionnaire, STOP-BANG, STOP, and Epworth sleepiness scale in detecting obstructive sleep apnea: A bivariate meta-analysis. Sleep Med. Rev. 2017, 36, 57–70. [Google Scholar] [CrossRef]
- Chung, F.; Abdullah, H.R.; Liao, P. STOP-Bang Questionnaire: A Practical Approach to Screen for Obstructive Sleep Apnea. Chest 2016, 149, 631–638. [Google Scholar] [CrossRef]
- Chen, L.; Pivetta, B.; Nagappa, M.; Saripella, A.; Islam, S.; Englesakis, M.; Chung, F. Validation of the STOP-Bang questionnaire for screening of obstructive sleep apnea in the general population and commercial drivers: A systematic review and meta-analysis. Sleep Breath. 2021, 25, 1741–1751. [Google Scholar] [CrossRef]
- Banhiran, W.; Durongphan, A.; Saleesing, C.; Chongkolwatana, C. Diagnostic properties of the STOP-Bang and its modified version in screening for obstructive sleep apnea in Thai patients. J. Med. Assoc. Thail. 2014, 97, 644–654. [Google Scholar]
- Banhiran, W.; Junlapan, A.; Assanasen, P.; Chongkolwatana, C. Physical predictors for moderate to severe obstructive sleep apnea in snoring patients. Sleep Breath. 2014, 18, 151–158. [Google Scholar] [CrossRef] [PubMed]
- Ashwell, M.; Gunn, P.; Gibson, S. Waist-to-height ratio is a better screening tool than waist circumference and BMI for adult cardiometabolic risk factors: Systematic review and meta-analysis. Obes. Rev. 2012, 13, 275–286. [Google Scholar] [CrossRef]
- Schneider, H.J.; Friedrich, N.; Klotsche, J.; Pieper, L.; Nauck, M.; John, U.; Dörr, M.; Felix, S.; Lehnert, H.; Pittrow, D.; et al. The Predictive Value of Different Measures of Obesity for Incident Cardiovascular Events and Mortality. J. Clin. Endocrinol. Metab. 2010, 95, 1777–1785. [Google Scholar] [CrossRef]
- Unal, Y.; Ozturk, D.A.; Tosun, K.; Kutlu, G. Association between obstructive sleep apnea syndrome and waist-to-height ratio. Sleep Breath. 2019, 23, 523–529. [Google Scholar] [CrossRef] [PubMed]
- Tawaranurak, K.; Leelasawatsuk, P.; Chaiyarukjirakun, V. Prevalence, Risk Factors and Clinical Manifestation of Patients Suspected as having Obstructive Sleep Apnea in Songklanagarind Hospital Sleep Center. J. Health Sci. Med. Res. 2019, 37, 4. [Google Scholar] [CrossRef]
- Signorelli, L.; Patcas, R.; Peltomäki, T.; Schätzle, M. Radiation dose of cone-beam computed tomography compared to conventional radiographs in orthodontics. J. Orofac. Orthop./Fortschritte Der Kieferorthopädie 2016, 77, 9–15. [Google Scholar] [CrossRef]
- Miles, P.G.; Vig, P.S.; Weyant, R.J.; Forrest, T.D.; Rockette, H.E. Craniofacial structure and obstructive sleep apnea syndrome—A qualitative analysis and meta-analysis of the literature. Am. J. Orthod. Dentofac. Orthop. 1996, 109, 163–172. [Google Scholar] [CrossRef]
- Banhiran, W.; Wanichakorntrakul, P.; Metheetrairut, C.; Chiewvit, P.; Planuphap, W. Lateral cephalometric analysis and the risks of moderate to severe obstructive sleep-disordered breathing in Thai patients. Sleep Breath. 2013, 17, 1249–1255. [Google Scholar] [CrossRef]
- Borges, P.d.T.M.; Filho, E.S.F.; Araujo, T.M.E.d.; Neto, J.M.M.; Borges, N.E.d.S.; Neto, B.M.; Campelo, V.; Paschoal, J.R.; Li, L.M. Correlation of cephalometric and anthropometric measures with obstructive sleep apnea severity. Int. Arch. Otorhinolaryngol. 2013, 17, 321–328. [Google Scholar] [CrossRef]
- Sonsuwan, N.; Suchachaisri, S.; Chaloeykitti, L. The relationships between cephalometric parameters and severity of obstructive sleep apnea. Auris Nasus Larynx 2011, 38, 83–87. [Google Scholar] [CrossRef] [PubMed]
- Stipa, C.; Cameli, M.; Sorrenti, G.; Ippolito, D.R.; Pelligra, I.; Alessandri-Bonetti, G. Relationship between cephalometric parameters and the apnoea–hypopnoea index in OSA patients: A retrospective cohort study. Eur. J. Orthod. 2020, 42, 101–106. [Google Scholar] [CrossRef] [PubMed]
- Shu, C.-C.; Lee, P.; Lin, J.-W.; Huang, C.-T.; Chang, Y.-C.; Yu, C.-J.; Wang, H.-C. The Use of Sub-Mental Ultrasonography for Identifying Patients with Severe Obstructive Sleep Apnea. PLoS ONE 2013, 8, e62848. [Google Scholar] [CrossRef] [PubMed]
- Liu, S.Y.C.; Bosschieter, P.F.N.; Abdelwahab, M.; Chao, P.-Y.; Chen, A.; Kushida, C. Association of Backscattered Ultrasonographic Imaging of the Tongue with Severity of Obstructive Sleep Apnea in Adults. JAMA Otolaryngol.–Head Neck Surg. 2023, 149, 580–586. [Google Scholar] [CrossRef] [PubMed]
- Singh, M.; Tuteja, A.; Wong, D.T.; Goel, A.; Trivedi, A.; Tomlinson, G.; Chan, V. Point-of-Care Ultrasound for Obstructive Sleep Apnea Screening: Are We There Yet? A Systematic Review and Meta-analysis. Anesth. Analg. 2019, 129, 1673–1691. [Google Scholar] [CrossRef] [PubMed]
- Chen, A.; Lee, P.-L.; Shu, C.-C.; Kuo, Y.-W.; Chen, C.-N.; Wang, H.-C. Identifying anatomical factors of obstructive sleep apnea by ultrasound fan-scan imaging of pharyngeal airway. In Proceedings of the ESRS 2020, Seville, Spain, 11–15 July 2020. [Google Scholar]
- Lee, P.-L.; Shu, C.-C.; Kuo, Y.-W.; Chen, C.-N.; Wang, H.-C.; Chen, A.; Tsai, Y.-C.; Hsu, C.-W.; Liu, E. 0457 An Effective Mode to Predict Severity of Obstructive Sleep Apnea: Dynamic Change of Aerospace Detected by Submental Ultrasonography. Sleep 2019, 42, A183–A184. [Google Scholar] [CrossRef]
- Bosschieter, P.F.N.; Liu, S.Y.C.; Chao, P.-Y.; Chen, A.; Kushida, C.A. Using standardized ultrasound imaging to correlate OSA severity with tongue morphology. Sleep Med. 2024, 120, 15–21. [Google Scholar] [CrossRef] [PubMed]
- Somboonsap, N.; Banhiran, W.; Metheetrairut, C.; Chiewvit, P. Lateral Cephalometric Analysis in Thai Patients without Clinical Features of Obstructive Sleep Apnea Syndrome. Siriraj Med. J. 2011, 63, 5. [Google Scholar]
- Azimi, H.; Xi, P.; Bouchard, M.; Goubran, R.; Knoefel, F. Machine Learning-Based Automatic Detection of Central Sleep Apnea Events From a Pressure Sensitive Mat. IEEE Access 2020, 8, 173428–173439. [Google Scholar] [CrossRef]
- Jain, H.; Gupta, N.K.; Ish, P.; Chakrabarti, S.; Kumar, R.; Mahendran, A.J.; Gupta, N.; Aggarwal, A. Diagnostic Utility of Ultrasonography of Upper Airway in Screening for Obstructive Sleep Apnea. Sleep Vigil. 2022, 6, 335–341. [Google Scholar] [CrossRef]
- Schwab, R.J.; Gupta, K.B.; Gefter, W.B.; Metzger, L.J.; Hoffman, E.A.; Pack, A.I. Upper airway and soft tissue anatomy in normal subjects and patients with sleep-disordered breathing. Significance of the lateral pharyngeal walls. Am. J. Respir. Crit. Care Med. 1995, 152, 1673–1689. [Google Scholar] [CrossRef] [PubMed]
- Ihan Hren, N.; Barbič, U. Tongue volume in adults with skeletal Class III dentofacial deformities. Head Face Med. 2016, 12, 12. [Google Scholar] [CrossRef] [PubMed]
- Chen, W.; Mou, H.; Qian, Y.; Qian, L. Evaluation of the position and morphology of tongue and hyoid bone in skeletal Class II malocclusion based on cone beam computed tomography. BMC Oral Health 2021, 21, 475. [Google Scholar] [CrossRef] [PubMed]
- Abraham, J.; Sagarkar, R.; Sabrish, S.; Shivamurthy, P.; Mathew, S.; Rakesh, N. Evaluation of Tongue Volume and Airway Volume in Skeletal Class I and Class II Patients using Cone Beam Computed Tomography—A Cross Sectional Study. Dentistry 3000 2023, 11, 1. [Google Scholar] [CrossRef]
- Kim, S.J.; Ahn, H.W.; Hwang, K.J.; Kim, S.W. Respiratory and sleep characteristics based on frequency distribution of craniofacial skeletal patterns in Korean adult patients with obstructive sleep apnea. PLoS ONE 2020, 15, e0236284. [Google Scholar] [CrossRef] [PubMed]
- Kapsimalis, F.; Kryger, M.H. Gender and obstructive sleep apnea syndrome, part 1: Clinical features. Sleep 2002, 25, 412–419. [Google Scholar] [CrossRef] [PubMed]
- Gong, A.; Li, J.; Wang, Z.; Li, Y.; Hu, F.; Li, Q.; Miao, D.; Wang, L. Cranial base characteristics in anteroposterior malocclusions: A meta-analysis. Angle Orthod. 2016, 86, 668–680. [Google Scholar] [CrossRef] [PubMed]
- Brown, E.C.; Cheng, S.; McKenzie, D.K.; Butler, J.E.; Gandevia, S.C.; Bilston, L.E. Tongue and Lateral Upper Airway Movement with Mandibular Advancement. Sleep 2013, 36, 397–404. [Google Scholar] [CrossRef]
- Chi, L.; Comyn, F.L.; Mitra, N.; Reilly, M.P.; Wan, F.; Maislin, G.; Chmiewski, L.; Thorne-FitzGerald, M.D.; Victor, U.N.; Pack, A.I.; et al. Identification of craniofacial risk factors for obstructive sleep apnoea using three-dimensional MRI. Eur. Respir. J. 2011, 38, 348. [Google Scholar] [CrossRef]
- Lahav, Y.; Rosenzweig, E.; Heyman, Z.; Doljansky, J.; Green, A.; Dagan, Y. Tongue Base Ultrasound: A Diagnostic Tool for Predicting Obstructive Sleep Apnea. Ann. Otol. Rhinol. Laryngol. 2009, 118, 179–184. [Google Scholar] [CrossRef] [PubMed]









| Characteristic (n = 33) | Mean ± S.D. |
|---|---|
| Age (year) | 50.06 ± 12.70 |
| Weight (kg) | 77.61 ± 13.82 |
| Height (cm) | 166.30 ± 8.60 |
| Body Mass Index (BMI) (kg/m2) | 28.00 ± 4.40 |
| Waist (cm) | 93.12 ± 9.19 |
| Waist-to-height ratio (WHtR) | 0.56 ± 0.05 |
| Neck size (cm) | 38.89 ± 3.59 |
| STOP-Bang score | 4.30 ± 1.10 |
| Cephalometric Parameters | This Study | Thai Norms (Somboonsap N.) | ||
|---|---|---|---|---|
| Male | Female | Male | Female | |
| Mean ± S.D. | Mean ± S.D. | Mean ± S.D. | Mean ± S.D. | |
| SNA (degree) | 83.40 ± 4.19 | 84.57 ± 4.29 | 84.3 ± 4.0 | 84.4 ± 3.1 |
| SNB (degree) | 80.34 ± 5.03 | 80.07 ± 3.81 | 81.5 ± 4.1 | 80.7 ± 3.2 |
| ANB (degree) | 3.05 ± 2.33 | 4.50 ± 1.78 | 3.2 ± 1.8 | 3.9 ± 2.0 |
| NSBA (degree) | 126.89 ± 5.44 | 127.29 ± 4.65 | 130.8 ± 5.3 | 132.2 ± 6.0 |
| MP-H (mm) | 20.37 ± 4.23 | 16.64 ± 6.36 | 16.1 ± 5.3 | 10.8 ± 4.9 |
| PAS (mm) | 10.58 ± 3.81 | 9.36 ± 2.21 | 14.2 ± 3.4 | 11.1 ± 3.3 |
| PNS-P (mm) | 40.79 ± 2.86 | 37.07 ± 2.81 | 34.8 ± 6.1 | 32.3 ± 3.1 |
| Ultrasound Parameters | Mean ± S.D. |
|---|---|
| OSA Risk Assessment (%) | 83.57 ± 16.04 |
| Airspace Width (cm) | |
| Velum | |
| Tidal | 2.07 ± 1.77 |
| Muller | 1.37 ± 1.68 |
| Contraction | 37.07 ± 42.15 |
| Oropharynx | |
| Tidal | 2.51 ± 1.42 |
| Muller | 2.01 ± 1.59 |
| Contraction | 26.04 ± 37.12 |
| Tongue base | |
| Tidal | 2.65 ± 1.34 |
| Muller | 2.14 ± 1.35 |
| Contraction | 21.37 ± 28.01 |
| Epiglottis | |
| Tidal | 2.17 ± 1.53 |
| Muller | 1.95 ± 1.54 |
| Contraction | 13.70 ± 30.21 |
| Tongue Width (cm) | |
| Velum | 5.12 ± 0.49 |
| Oropharynx | 4.82 ± 0.60 |
| Tongue base | 4.57 ± 0.58 |
| Epiglottis | 4.29 ± 0.51 |
| Airspace–Tissue Width Ratio | |
| Velum | 0.40 ± 0.34 |
| Oropharynx | 0.54 ± 0.32 |
| Tongue base | 0.60 ± 0.31 |
| Epiglottis | 0.52 ± 0.37 |
| Superficial Tissue Thickness (cm) | |
| Velum | |
| Tidal | 1.45 ± 0.34 |
| Oropharynx | |
| Tidal | 1.48 ± 0.37 |
| Ratio (Velum to region) | 0.98 ± 0.08 |
| Tongue base | |
| Tidal | 1.56 ± 0.25 |
| Ratio (Velum to region) | 0.93 ± 0.11 |
| Epiglottis | |
| Tidal | 1.60 ± 0.25 |
| Ratio (Velum to region) | 0.89 ± 0.16 |
| Deep Tissue Thickness (cm) | |
| Velum | |
| Tidal | 4.23 ± 0.68 |
| Oropharynx | |
| Tidal | 3.71 ± 0.76 |
| Ratio (Velum to region) | 1.12 ± 0.12 |
| Tongue base | |
| Tidal | 3.32 ± 0.70 |
| Ratio (Velum to region) | 1.28 ± 0.16 |
| Epiglottis | |
| Tidal | 3.25 ± 0.57 |
| Ratio (Velum to region) | 1.33 ± 0.18 |
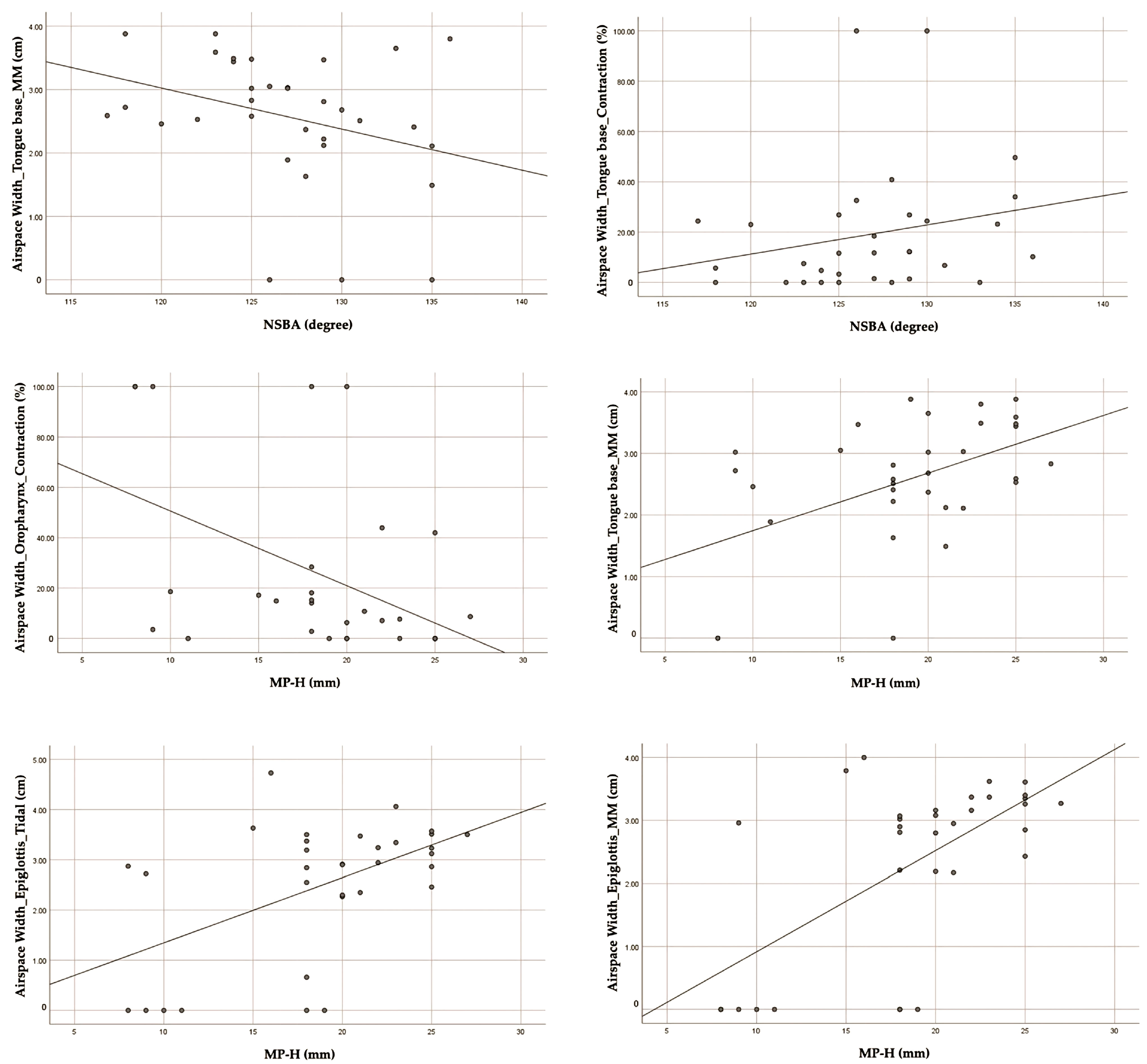
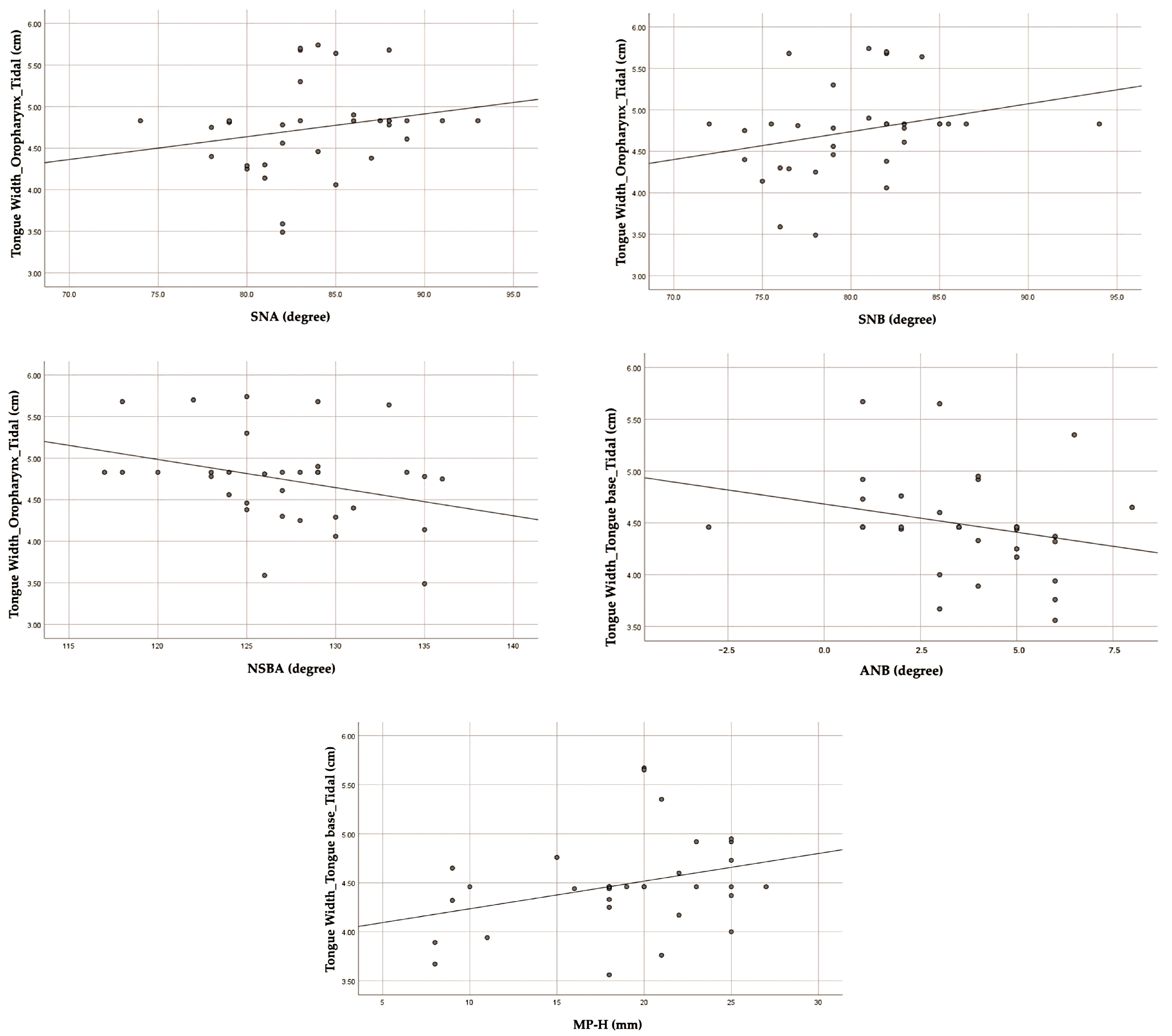
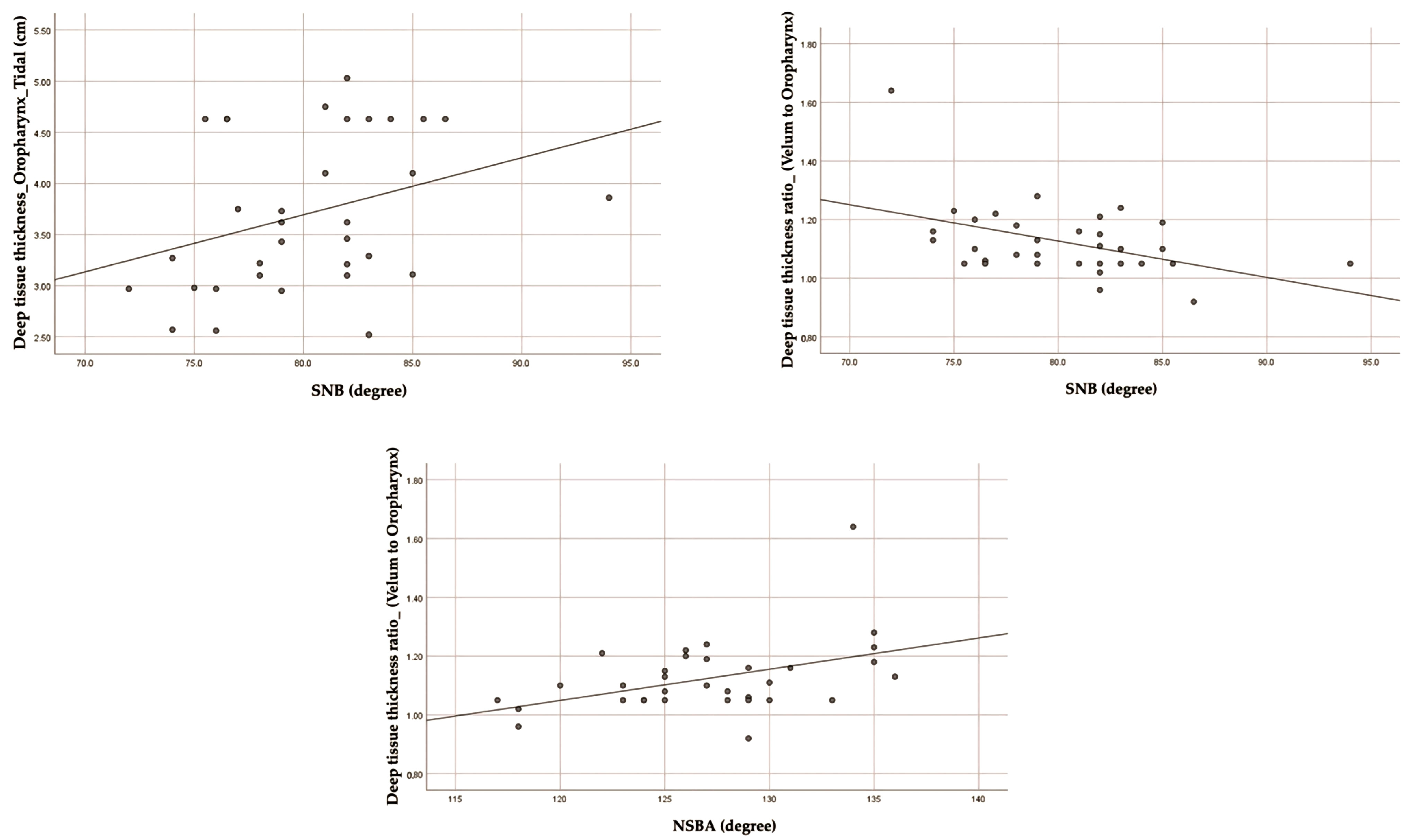
| Cephalometric Parameters/Ultrasound Parameters | SNA | SNB | ANB | NSBA | MP-H | PAS | PNS-P |
|---|---|---|---|---|---|---|---|
| OSA Risk Assessment (%) | −0.046 | −0.093 | 0.127 | 0.136 | −0.087 | 0.122 | −0.034 |
| Airspace Width (cm) | |||||||
| Velum | |||||||
| Tidal | 0.044 | 0.125 | −0.205 | −0.173 | 0.108 | −0.168 | 0.103 |
| Muller | 0.073 | 0.077 | −0.052 | −0.193 | 0.12 | −0.128 | −0.026 |
| Contraction | −0.174 | −0.179 | −0.119 | 0.177 | −0.114 | 0.17 | 0.111 |
| Oropharynx | |||||||
| Tidal | −0.134 | −0.13 | 0.01 | −0.003 | −0.013 | −0.047 | 0.301 |
| Muller | 0 | 0.062 | −0.101 | −0.204 | 0.273 | −0.163 | 0.068 |
| Contraction | −0.103 | −0.158 | 0.011 | 0.24 | −0.471 ** | 0.195 | 0.302 |
| Tongue base | |||||||
| Tidal | 0.023 | 0.015 | 0.021 | −0.172 | 0.306 | −0.032 | 0.218 |
| Muller | 0.212 | 0.222 | 0.009 | −0.377 * | 0.439 * | −0.097 | 0.005 |
| Contraction | −0.229 | −0.269 | 0.05 | 0.354 * | −0.242 | 0.031 | 0.194 |
| Epiglottis | |||||||
| Tidal | −0.069 | −0.178 | 0.164 | −0.104 | 0.423 * | 0.044 | 0.04 |
| Muller | −0.136 | −0.126 | −0.054 | −0.134 | 0.518 ** | 0.063 | 0.005 |
| Contraction | 0.238 | 0.008 | 0.364 | 0.135 | −0.023 | −0.154 | −0.011 |
| Tongue Width (cm) | |||||||
| Velum | 0.159 | 0.209 | −0.173 | −0.194 | 0.327 | 0.157 | 0.044 |
| Oropharynx | 0.357 * | 0.384 * | −0.172 | −0.358 * | 0.272 | 0.032 | −0.059 |
| Tongue base | −0.011 | 0.144 | −0.355 * | −0.043 | 0.355 * | 0.003 | 0.112 |
| Epiglottis | 0.05 | 0.048 | −0.038 | 0.063 | 0.22 | 0.033 | 0.008 |
| Airspace–Tissue Width Ratio | |||||||
| Velum | 0.018 | 0.072 | −0.127 | −0.077 | −0.01 | −0.249 | 0.11 |
| Oropharynx | −0.213 | −0.228 | 0.055 | 0.035 | −0.142 | −0.076 | 0.3 |
| Tongue base | −0.044 | −0.117 | 0.186 | −0.155 | 0.193 | 0.054 | 0.207 |
| Epiglottis | −0.092 | −0.151 | 0.108 | −0.051 | 0.299 | 0.166 | 0.135 |
| Superficial Tissue Thickness | |||||||
| Velum | |||||||
| Tidal | 0.141 | 0.16 | −0.008 | −0.173 | −0.348 * | 0.109 | 0.121 |
| Oropharynx | |||||||
| Tidal | 0.096 | 0.141 | −0.065 | −0.139 | −0.353 * | 0.262 | 0.235 |
| Ratio (Velum to region) | 0.244 | 0.134 | 0.287 | −0.034 | −0.012 | −0.282 | −0.13 |
| Tongue base | |||||||
| Tidal | 0.155 | 0.213 | −0.094 | −0.166 | −0.303 | 0.193 | 0.267 |
| Ratio (Velum to region) | 0.019 | −0.035 | 0.152 | −0.021 | −0.238 | −0.028 | 0.1 |
| Epiglottis | |||||||
| Tidal | 0.19 | 0.222 | −0.001 | −0.197 | −0.239 | 0.117 | 0.142 |
| Ratio (Velum to region) | 0.014 | 0.006 | 0.003 | −0.018 | −0.194 | 0.018 | 0.212 |
| Deep Tissue Thickness | |||||||
| Velum | |||||||
| Tidal | 0.27 | 0.307 | −0.193 | −0.088 | 0.061 | −0.225 | −0.002 |
| Oropharynx | |||||||
| Tidal | 0.307 | 0.367 * | −0.17 | −0.139 | 0.12 | −0.024 | −0.108 |
| Ratio (Velum to region) | −0.327 | −0.384 * | 0.176 | 0.389 * | −0.271 | 0.014 | 0.021 |
| Tongue base | |||||||
| Tidal | 0.129 | 0.177 | −0.18 | 0.03 | −0.016 | −0.276 | −0.116 |
| Ratio (Velum to region) | −0.044 | −0.136 | 0.225 | −0.014 | 0.177 | 0.218 | 0.01 |
| Epiglottis | |||||||
| Tidal | 0.242 | 0.226 | −0.052 | 0.072 | −0.015 | −0.083 | 0.003 |
| Ratio (Velum to region) | 0.074 | 0.091 | −0.049 | −0.202 | 0.217 | 0.118 | 0.127 |
Disclaimer/Publisher’s Note: The statements, opinions and data contained in all publications are solely those of the individual author(s) and contributor(s) and not of MDPI and/or the editor(s). MDPI and/or the editor(s) disclaim responsibility for any injury to people or property resulting from any ideas, methods, instructions or products referred to in the content. |
© 2024 by the authors. Licensee MDPI, Basel, Switzerland. This article is an open access article distributed under the terms and conditions of the Creative Commons Attribution (CC BY) license (https://creativecommons.org/licenses/by/4.0/).
Share and Cite
Terawatpothong, A.; Sessirisombat, C.; Banhiran, W.; Hotokezaka, H.; Yoshida, N.; Sirisoontorn, I. Relationship between Cephalometric and Ultrasonic Airway Parameters in Adults with High Risk of Obstructive Sleep Apnea. J. Clin. Med. 2024, 13, 3540. https://doi.org/10.3390/jcm13123540
Terawatpothong A, Sessirisombat C, Banhiran W, Hotokezaka H, Yoshida N, Sirisoontorn I. Relationship between Cephalometric and Ultrasonic Airway Parameters in Adults with High Risk of Obstructive Sleep Apnea. Journal of Clinical Medicine. 2024; 13(12):3540. https://doi.org/10.3390/jcm13123540
Chicago/Turabian StyleTerawatpothong, Anutta, Chidchanok Sessirisombat, Wish Banhiran, Hitoshi Hotokezaka, Noriaki Yoshida, and Irin Sirisoontorn. 2024. "Relationship between Cephalometric and Ultrasonic Airway Parameters in Adults with High Risk of Obstructive Sleep Apnea" Journal of Clinical Medicine 13, no. 12: 3540. https://doi.org/10.3390/jcm13123540
APA StyleTerawatpothong, A., Sessirisombat, C., Banhiran, W., Hotokezaka, H., Yoshida, N., & Sirisoontorn, I. (2024). Relationship between Cephalometric and Ultrasonic Airway Parameters in Adults with High Risk of Obstructive Sleep Apnea. Journal of Clinical Medicine, 13(12), 3540. https://doi.org/10.3390/jcm13123540

