Prognostic Impact of Body Mass Index in Atrial Fibrillation
Abstract
1. Introduction
2. Materials and Methods
2.1. Study Design
2.2. Data Sources/Study Population
2.3. Definitions
- (i)
- under 18: underweight;
- (ii)
- from 18 to 24.9: normal weight;
- (iii)
- from 25 to 29.9: overweight;
- (iv)
- from 30 to 34.9: obese (obese class I);
- (v)
- from 35 to 39.9: severely obese (obese class II);
- (vi)
- equal to or over 40: morbidly obese (obese class III).
2.4. Study Outcomes
2.5. Statistical Analysis
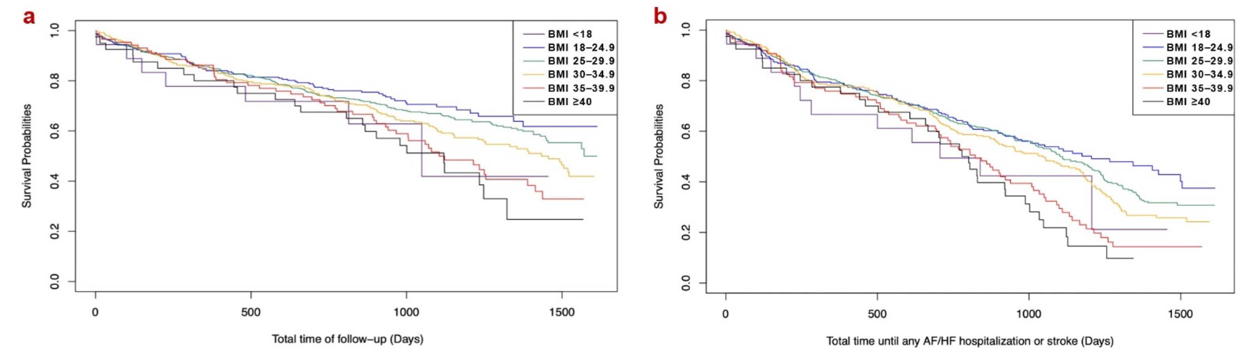
3. Results
4. Discussion
Limitations
5. Conclusions
Author Contributions
Funding
Institutional Review Board Statement
Informed Consent Statement
Data Availability Statement
Acknowledgments
Conflicts of Interest
References
- Lippi, G.; Sanchis-Gomar, F.; Cervellin, G. Global Epidemiology of Atrial Fibrillation: An Increasing Epidemic and Public Health Challenge. Int. J. Stroke 2021, 16, 217–221. [Google Scholar] [CrossRef] [PubMed]
- Odutayo, A.; Wong, C.X.; Hsiao, A.J.; Hopewell, S.; Altman, D.G.; Emdin, C.A. Atrial Fibrillation and Risks of Cardiovascular Disease, Renal Disease, and Death: Systematic Review and Meta-Analysis. BMJ 2016, 354, i4482. [Google Scholar] [CrossRef] [PubMed]
- Kartas, A.; Samaras, A.; Akrivos, E.; Vrana, E.; Papazoglou, A.S.; Moysidis, D.V.; Papanastasiou, A.; Baroutidou, A.; Botis, M.; Liampas, E.; et al. Τhe Association of Heart Failure across Left Ventricular Ejection Fraction with Mortality in Atrial Fibrillation. ESC Heart Fail. 2021, 8, 3189–3197. [Google Scholar] [CrossRef] [PubMed]
- Liampas, E.; Kartas, A.; Samaras, A.; Papazoglou, A.S.; Moysidis, D.V.; Vrana, E.; Botis, M.; Papanastasiou, A.; Baroutidou, A.; Vouloagkas, I.; et al. Renal Function and Mortality in Patients with Atrial Fibrillation. J. Cardiovasc. Med. 2022, 23, 430–438. [Google Scholar] [CrossRef] [PubMed]
- Papazoglou, A.S.; Kartas, A.; Moysidis, D.V.; Tsagkaris, C.; Papadakos, S.P.; Bekiaridou, A.; Samaras, A.; Karagiannidis, E.; Papadakis, M.; Giannakoulas, G. Glycemic Control and Atrial Fibrillation: An Intricate Relationship, yet under Investigation. Cardiovasc. Diabetol. 2022, 21, 39. [Google Scholar] [CrossRef]
- Obesity: Preventing and Managing the Global Epidemic: Report of a WHO Consultation. Available online: https://iris.who.int/handle/10665/42330 (accessed on 10 January 2024).
- Dai, H.; Alsalhe, T.A.; Chalghaf, N.; Riccò, M.; Bragazzi, N.L.; Wu, J. The Global Burden of Disease Attributable to High Body Mass Index in 195 Countries and Territories, 1990-2017: An Analysis of the Global Burden of Disease Study. PLoS Med. 2020, 17, e1003198. [Google Scholar] [CrossRef]
- James, P.T.; Leach, R.; Kalamara, E.; Shayeghi, M. The Worldwide Obesity Epidemic. Obes. Res. 2001, 9, 228S–233S. [Google Scholar] [CrossRef] [PubMed]
- Zacharias, A.; Schwann, T.A.; Riordan, C.J.; Durham, S.J.; Shah, A.S.; Habib, R.H. Obesity and Risk of New-Onset Atrial Fibrillation after Cardiac Surgery. Circulation 2005, 112, 3247–3255. [Google Scholar] [CrossRef]
- Foy, A.J.; Mandrola, J.; Liu, G.; Naccarelli, G.V. Relation of Obesity to New-Onset Atrial Fibrillation and Atrial Flutter in Adults. Am. J. Cardiol. 2018, 121, 1072–1075. [Google Scholar] [CrossRef] [PubMed]
- Lee, H.J.; Choi, E.K.; Lee, S.H.; Han, K.D.; Rhee, T.M.; Park, C.S.; Lee, S.R.; Choe, W.S.; Lim, W.H.; Kang, S.H.; et al. Atrial Fibrillation Risk in Metabolically Healthy Obesity: A Nationwide Population-Based Study. Int. J. Cardiol. 2017, 240, 221–227. [Google Scholar] [CrossRef]
- Wang, T.J.; Parise, H.; Levy, D.; D’Agostino, R.B.; Wolf, P.A.; Vasan, R.S.; Benjamin, E.J. Obesity and the Risk of New-Onset Atrial Fibrillation. JAMA 2004, 292, 2471–2477. [Google Scholar] [CrossRef] [PubMed]
- Tedrow, U.B.; Conen, D.; Ridker, P.M.; Cook, N.R.; Koplan, B.A.; Manson, J.A.E.; Buring, J.E.; Albert, C.M. The Long- and Short-Term Impact of Elevated Body Mass Index on the Risk of New Atrial Fibrillation the WHS (Women’s Health Study). J. Am. Coll. Cardiol. 2010, 55, 2319–2327. [Google Scholar] [CrossRef] [PubMed]
- Frost, L.; Hune, L.J.; Vestergaard, P. Overweight and Obesity as Risk Factors for Atrial Fibrillation or Flutter: The Danish Diet, Cancer, and Health Study. Am. J. Med. 2005, 118, 489–495. [Google Scholar] [CrossRef] [PubMed]
- Tsang, T.S.M.; Barnes, M.E.; Miyasaka, Y.; Cha, S.S.; Bailey, K.R.; Verzosa, G.C.; Seward, J.B.; Gersh, B.J. Obesity as a Risk Factor for the Progression of Paroxysmal to Permanent Atrial Fibrillation: A Longitudinal Cohort Study of 21 Years. Eur. Heart J. 2008, 29, 2227–2233. [Google Scholar] [CrossRef] [PubMed]
- Chung, M.K.; Eckhardt, L.L.; Chen, L.Y.; Ahmed, H.M.; Gopinathannair, R.; Joglar, J.A.; Noseworthy, P.A.; Pack, Q.R.; Sanders, P.; Trulock, K.M. Lifestyle and Risk Factor Modification for Reduction of Atrial Fibrillation: A Scientific Statement From the American Heart Association. Circulation 2020, 141, E750–E772. [Google Scholar] [CrossRef] [PubMed]
- Al-Kaisey, A.M.; Kalman, J.M. Obesity and Atrial Fibrillation: Epidemiology, Pathogenesis and Effect of Weight Loss. Arrhythm. Electrophysiol. Rev. 2021, 10, 159–164. [Google Scholar] [CrossRef]
- Bertomeu-Gonzalez, V.; Moreno-Arribas, J.; Esteve-Pastor, M.A.; Roldán-Rabadán, I.; Muñiz, J.; Raña-Míguez, P.; Ruiz-Ortiz, M.; Cequier, Á.; Bertomeu-Martínez, V.; Badimón, L.; et al. Association of Body Mass Index with Clinical Outcomes in Patients with Atrial Fibrillation: A Report From the FANTASIIA Registry. J. Am. Heart Assoc. 2020, 9, e013789. [Google Scholar] [CrossRef] [PubMed]
- Sandhu, R.K.; Ezekowitz, J.; Andersson, U.; Alexander, J.H.; Granger, C.B.; Halvorsen, S.; Hanna, M.; Hijazi, Z.; Jansky, P.; Lopes, R.D.; et al. The “Obesity Paradox” in Atrial Fibrillation: Observations from the ARISTOTLE (Apixaban for Reduction in Stroke and Other Thromboembolic Events in Atrial Fibrillation) Trial. Eur. Heart J. 2016, 37, 2869–2878. [Google Scholar] [CrossRef] [PubMed]
- Elagizi, A.; Kachur, S.; Lavie, C.J.; Carbone, S.; Pandey, A.; Ortega, F.B.; Milani, R.V. An Overview and Update on Obesity and the Obesity Paradox in Cardiovascular Diseases. Prog. Cardiovasc. Dis. 2018, 61, 142–150. [Google Scholar] [CrossRef]
- Pandey, A.; Gersh, B.J.; McGuire, D.K.; Shrader, P.; Thomas, L.; Kowey, P.R.; Mahaffey, K.W.; Hylek, E.; Sun, S.; Burton, P.; et al. Association of Body Mass Index with Care and Outcomes in Patients with Atrial Fibrillation: Results From the ORBIT-AF Registry. JACC Clin. Electrophysiol. 2016, 2, 355–363. [Google Scholar] [CrossRef]
- Overvad, T.F.; Rasmussen, L.H.; Skjøth, F.; Overvad, K.; Lip, G.Y.H.; Larsen, T.B. Body Mass Index and Adverse Events in Patients with Incident Atrial Fibrillation. Am. J. Med. 2013, 126, 640.e9–640.e17. [Google Scholar] [CrossRef] [PubMed]
- Wang, H.J.; Si, Q.J.; Shan, Z.L.; Guo, Y.T.; Lin, K.; Zhao, X.N.; Wang, Y.T. Effects of Body Mass Index on Risks for Ischemic Stroke, Thromboembolism, and Mortality in Chinese Atrial Fibrillation Patients: A Single-Center Experience. PLoS ONE 2015, 10, e0123516. [Google Scholar] [CrossRef] [PubMed]
- Patti, G.; Pecen, L.; Manu, M.C.; Huber, K.; Rohla, M.; Renda, G.; Siller-Matula, J.; Ricci, F.; Kirchhof, P.; De Caterina, R. Thromboembolic and Bleeding Risk in Obese Patients with Atrial Fibrillation According to Different Anticoagulation Strategies. Int. J. Cardiol. 2020, 318, 67–73. [Google Scholar] [CrossRef] [PubMed]
- Samaras, A.; Kartas, A.; Vasdeki, D.; Dividis, G.; Forozidou, E.; Fotos, G.; Kotsi, E.; Paschou, E.; Tsoukra, P.; Goulas, I.; et al. Rationale and Design of a Randomized Study Comparing Motivational Interviewing to Support Oral Anticoagulation Adherence versus Usual Care in Patients with Nonvalvular Atrial Fibrillation: The MISOAC-AF Trial. Hell. J. Cardiol. 2020, 61, 453–454. [Google Scholar] [CrossRef] [PubMed]
- Tzikas, A.; Samaras, A.; Kartas, A.; Vasdeki, D.; Fotos, G.; Dividis, G.; Paschou, E.; Forozidou, E.; Tsoukra, P.; Kotsi, E.; et al. Motivational Interviewing to Support Oral AntiCoagulation Adherence in Patients with Non-Valvular Atrial Fibrillation (MISOAC-AF): A Randomized Clinical Trial. Eur. Heart J. Cardiovasc. Pharmacother. 2021, 7, F63–F71. [Google Scholar] [CrossRef]
- Berkovitch, A.; Kivity, S.; Klempfner, R.; Segev, S.; Milwidsky, A.; Erez, A.; Sabbag, A.; Goldenberg, I.; Sidi, Y.; Maor, E. Body Mass Index and the Risk of New-Onset Atrial Fibrillation in Middle-Aged Adults. Am. Heart J. 2016, 173, 41–48. [Google Scholar] [CrossRef] [PubMed]
- Goudis, C.A.; Korantzopoulos, P.; Ntalas, I.V.; Kallergis, E.M.; Ketikoglou, D.G. Obesity and Atrial Fibrillation: A Comprehensive Review of the Pathophysiological Mechanisms and Links. J. Cardiol. 2015, 66, 361–369. [Google Scholar] [CrossRef] [PubMed]
- Badheka, A.O.; Rathod, A.; Kizilbash, M.A.; Garg, N.; Mohamad, T.; Afonso, L.; Jacob, S. Influence of Obesity on Outcomes in Atrial Fibrillation: Yet Another Obesity Paradox. Am. J. Med. 2010, 123, 646–651. [Google Scholar] [CrossRef]
- Ardestani, A.; Hoffman, H.J.; Cooper, H.A. Obesity and Outcomes among Patients with Established Atrial Fibrillation. Am. J. Cardiol. 2010, 106, 369. [Google Scholar] [CrossRef]
- Wang, J.; Yang, Y.M.; Zhu, J.; Zhang, H.; Shao, X.H.; Tian, L.; Huang, B.; Yu, L.T.; Gao, X.; Wang, M. Overweight Is Associated with Improved Survival and Outcomes in Patients with Atrial Fibrillation. Clin. Res. Cardiol. 2014, 103, 533–542. [Google Scholar] [CrossRef]
- Grymonprez, M.; Capiau, A.; De Backer, T.L.; Steurbaut, S.; Boussery, K.; Lahousse, L. The Impact of Underweight and Obesity on Outcomes in Anticoagulated Patients with Atrial Fibrillation: A Systematic Review and Meta-analysis on the Obesity Paradox. Clin. Cardiol. 2021, 44, 599. [Google Scholar] [CrossRef] [PubMed]
- Zhu, W.; Wan, R.; Liu, F.; Hu, J.; Huang, L.; Li, J.; Hong, K. Relation of Body Mass Index with Adverse Outcomes among Patients with Atrial Fibrillation: A Meta-Analysis and Systematic Review. J. Am. Heart Assoc. 2016, 5, e004006. [Google Scholar] [CrossRef] [PubMed]
- Zhou, Y.; Ma, J.; Zhu, W. Efficacy and Safety of Direct Oral Anticoagulants Versus Warfarin in Patients with Atrial Fibrillation Across BMI Categories: A Systematic Review and Meta-Analysis. Am. J. Cardiovasc. Drugs 2020, 20, 51–60. [Google Scholar] [CrossRef]
- Kaplan, R.M.; Tanaka, Y.; Passman, R.S.; Fine, M.; Rasmussen-Torvik, L.J.; Vupputuri, S.; Martin, K.; Khan, S.S. Efficacy and Safety of Direct Oral Anticoagulants for Atrial Fibrillation Across Body Mass Index Categories. J. Am. Heart Assoc. 2020, 9, e017383. [Google Scholar] [CrossRef]
- Netley, J.; Howard, K.; Wilson, W. Effects of Body Mass Index on the Safety and Effectiveness of Direct Oral Anticoagulants: A Retrospective Review. J. Thromb. Thrombolysis 2019, 48, 359–365. [Google Scholar] [CrossRef] [PubMed]
- Wang, H.; Wang, H.J.; Chen, Y.D.; Tao, T.; Guo, Y.T.; Zhao, X.N.; Liu, H.B.; Wang, Y.T. Prognostic Factors of Clinical Endpoints in Elderly Patients with Atrial Fibrillation during a 2-Year Follow-up in China: An Observational Cohort Study. Medicine 2017, 96, e7679. [Google Scholar] [CrossRef]
- Javed, S.; Gupta, D.; Lip, G.Y.H. Obesity and Atrial Fibrillation: Making Inroads through Fat. Eur. Heart J. Cardiovasc. Pharmacother. 2021, 7, 59–67. [Google Scholar] [CrossRef]
- Liu, X.; Guo, L.; Xiao, K.; Zhu, W.; Liu, M.; Wan, R.; Hong, K. The Obesity Paradox for Outcomes in Atrial Fibrillation: Evidence from an Exposure-Effect Analysis of Prospective Studies. Obes. Rev. 2020, 21, e12970. [Google Scholar] [CrossRef]
- Vyas, V.; Lambiase, P. Obesity and Atrial Fibrillation: Epidemiology, Pathophysiology and Novel Therapeutic Opportunities. Arrhythm. Electrophysiol. Rev. 2019, 8, 28. [Google Scholar] [CrossRef]
- Wang, L.; Du, X.; Dong, J.Z.; Liu, W.N.; Zhou, Y.C.; Li, S.N.; Guo, X.Y.; Jiang, C.X.; Yu, R.H.; Sang, C.H.; et al. Body Mass Index and All-Cause Mortality in Patients with Atrial Fibrillation: Insights from the China Atrial Fibrillation Registry Study. Clin. Res. Cardiol. 2019, 108, 1371–1380. [Google Scholar] [CrossRef]
- Okumura, K.; Tomita, H.; Nakai, M.; Kodani, E.; Akao, M.; Suzuki, S.; Hayashi, K.; Sawano, M.; Goya, M.; Yamashita, T.; et al. Risk Factors Associated with Ischemic Stroke in Japanese Patients with Nonvalvular Atrial Fibrillation. JAMA Netw. Open 2020, 3, e202881. [Google Scholar] [CrossRef] [PubMed]
- Mozaffarian, D.; Benjamin, E.J.; Go, A.S.; Arnett, D.K.; Blaha, M.J.; Cushman, M.; Das, S.R.; De Ferranti, S.; Després, J.P.; Fullerton, H.J.; et al. Heart Disease and Stroke Statistics-2016 Update: A Report From the American Heart Association. Circulation 2016, 133, e38–e360. [Google Scholar] [CrossRef] [PubMed]
- Guo, L.; Liu, X.; Yu, P.; Zhu, W. The “Obesity Paradox” in Patients with HFpEF with or without Comorbid Atrial Fibrillation. Front. Cardiovasc. Med. 2022, 8, 743327. [Google Scholar] [CrossRef] [PubMed]
- Wang, J.; Yang, Y.M.; Zhu, J.; Zhang, H.; Shao, X.H. Obesity Paradox in Patients with Atrial Fibrillation and Heart Failure. Int. J. Cardiol. 2014, 176, 1356–1358. [Google Scholar] [CrossRef] [PubMed]
- Hindricks, G.; Potpara, T.; Kirchhof, P.; Kühne, M.; Ahlsson, A.; Balsam, P.; Bauersachs, J.; Benussi, S.; Brandes, A.; Braunschweig, F.; et al. 2020 ESC Guidelines for the Diagnosis and Management of Atrial Fibrillation Developed in Collaboration with the European Association for Cardio-Thoracic Surgery (EACTS): The Task Force for the Diagnosis and Management of Atrial Fibrillation of the European Society of Cardiology (ESC) Developed with the Special Contribution of the European Heart Rhythm Association (EHRA) of the ESC. Eur. Heart J. 2021, 42, 373–498. [Google Scholar] [CrossRef] [PubMed]
- Middeldorp, M.E.; Pathak, R.K.; Meredith, M.; Mehta, A.B.; Elliott, A.D.; Mahajan, R.; Twomey, D.; Gallagher, C.; Hendriks, J.M.L.; Linz, D.; et al. PREVEntion and RegReSsive Effect of Weight-Loss and Risk Factor Modification on Atrial Fibrillation: The REVERSE-AF Study. Europace 2018, 20, 1929–1935. [Google Scholar] [CrossRef] [PubMed]
- Abed, H.S.; Wittert, G.A.; Leong, D.P.; Shirazi, M.G.; Bahrami, B.; Middeldorp, M.E.; Lorimer, M.F.; Lau, D.H.; Antic, N.A.; Brooks, A.G.; et al. Effect of Weight Reduction and Cardiometabolic Risk Factor Management on Symptom Burden and Severity in Patients with Atrial Fibrillation: A Randomized Clinical Trial. JAMA 2013, 310, 2050–2060. [Google Scholar] [CrossRef] [PubMed]
- Lavie, C.J.; Pandey, A.; Lau, D.H.; Alpert, M.A.; Sanders, P. Obesity and Atrial Fibrillation Prevalence, Pathogenesis, and Prognosis: Effects of Weight Loss and Exercise. J. Am. Coll. Cardiol. 2017, 70, 2022–2035. [Google Scholar] [CrossRef]
- Jahangir, E.; De Schutter, A.; Lavie, C.J. Low Weight and Overweightness in Older Adults: Risk and Clinical Management. Prog. Cardiovasc. Dis. 2014, 57, 127–133. [Google Scholar] [CrossRef]



| Total: 1113 | Underweight | Normal Weight | Overweight | Obese | Severely Obese | Morbidly Obese | p-Value |
|---|---|---|---|---|---|---|---|
| Number of Cases | 18 (1.6) | 267 (24.0) | 461 (41.4) | 240 (21.6) | 87 (7.8) | 40 (3.6) | |
| Demographics | |||||||
| Age (years) | 74.6 (10.2) | 78 (12.0) | 76 (14.0) | 75 (15.0) | 72 (16.0) | 68.8 (10.5) | <0.001 |
| Female Gender | 8 (44.4) | 119 (44.6) | 187 (40.6) | 115 (47.9) | 50 (57.5) | 26 (65.0) | 0.006 |
| Cardiovascular Risk Factors and Comorbidities | |||||||
| Smoking | 10 (66.7) | 159 (61.6) | 276 (61.1) | 134 (58.0) | 47 (57.3) | 24 (61.5) | 0.925 |
| Hypertension | 14 (87.5) | 205 (78.2) | 374 (82.0) | 191 (82.7) | 70 (82.4) | 37 (92.5) | 0.344 |
| Dyslipidemia | 4 (26.7) | 99 (37.9) | 227 (49.9) | 132 (57.1) | 44 (53.7) | 21 (52.5) | <0.001 |
| Diabetes Mellitus | 2 (12.5) | 83 (31.4) | 133 (29.3) | 88 (37.9) | 46 (54.8) | 18 (45.0) | <0.001 |
| HF including new cases at discharge HFrEF HFmrEF HFpEF | 9 (52.9) 4 (23.5) 3 (17.6) 2 (11.8) | 144 (56.5) 55 (21.6) 29 (11.4) 60 (23.5) | 221 (48.9) 77 (17.0) 46 (10.2) 98 (21.7) | 110 (47.6) 28 (12.1) 23 (10.0) 59 (25.5) | 52 (61.2) 10 (11.8) 7 (8.2) 35 (41.2) | 28 (73.7) 4 (10.5) 7 (18.4) 17 (44.7) | 0.008 0.050 0.474 <0.001 |
| AMI during or prior to hospitalization | 5 (33.3) | 48 (18.5) | 103 (22.7) | 45 (19.5) | 21 (25.3) | 7 (17.5) | 0.436 |
| CAD | 9 (52.9) | 95 (37.8) | 194 (44.9) | 98 (42.8) | 33 (40.7) | 10 (26.3) | 0.153 |
| Types of AF First-Diagnosed Paroxysmal Persistent Permanent | 1 (7.7) 5 (38.5) 0 (0.0) 7 (53.8) | 22 (8.5) 82 (31.8) 18 (7.0) 136 (52.7) | 68 (15.2) 158 (35.3) 29 (6.5) 192 (43.0) | 24 (10.7) 72 (32.0) 13 (5.8) 116 (51.6) | 13 (15.9) 24 (29.3) 3 (3.7) 42 (51.2) | 6 (15.4) 8 (20.5) 1 (2.6) 24 (61.5) | 0.102 0.436 0.857 0.047 |
| Cardiac Arrest | 1 (7.1) | 10 (3.9) | 11 (2.4) | 5 (2.2) | 4 (4.9) | 0 (0.0) | 0.340 |
| Prior Ablation | 0 (0.0) | 8 (3.1) | 7 (1.5) | 3 (1.3) | 2 (2.4) | 1 (2.6) | 0.577 |
| History of PCI/CABG | 5 (29.4) | 75 (28.8) | 154 (33.8) | 72 (31.0) | 24 (28.2) | 8 (20.0) | 0.432 |
| Pacemaker | 0 (0.0) | 18 (6.9) | 28 (6.2) | 12 (5.2) | 5 (6.0) | 0 (0.0) | 0.613 |
| ICD | 0 (0.0) | 15 (5.7) | 7 (1.5) | 8 (3.4) | 6 (7.2) | 0 (0.0) | 0.012 |
| Prosthetic Valve | 0 (0.0) | 24 (9.2) | 25 (5.5) | 7 (3.0) | 3 (3.6) | 1 (2.5) | 0.068 |
| Vascular Disease | 5 (35.7) | 116 (44.8) | 217 (48.0) | 105 (45.5) | 48 (57.8) | 15 (37.5) | 0.222 |
| Congenital Heart Disease | 0 (0.0) | 9 (3.4) | 10 (2.2) | 4 (1.7) | 1 (1.2) | 1 (2.5) | 0.789 |
| Thyroid Disease | 4 (28.6) | 59 (22.8) | 92 (20.3) | 44 (19.0) | 20 (24.4) | 14 (35.0) | 0.244 |
| COPD | 5 (33.3) | 36 (13.8) | 48 (10.6) | 33 (14.3) | 12 (14.5) | 10 (25.0) | 0.024 |
| Pulmonary Disease | 5 (33.3) | 40 (15.3) | 55 (12.1) | 34 (14.7) | 16 (19.3) | 16 (40.0) | <0.001 |
| CKD | 3 (21.4) | 37 (14.2) | 67 (14.8) | 31 (13.4) | 18 (22.0) | 9 (23.1) | 0.263 |
| History of Stroke/TIA/Unspecified Stroke/Systemic Thromboembolism | 3 (17.6) | 52 (19.9) | 80 (17.5) | 48 (20.6) | 16 (18.6) | 2 (5.0) | 0.226 |
| History of Hemorrhagic Stroke | 0 (0.0) | 2 (0.8) | 5 (1.1) | 0 (0.0) | 0 (0.0) | 0 (0.0) | 0.640 |
| History of Major Bleeding | 3 (18.8) | 44 (16.9) | 74 (16.2) | 23 (9.8) | 8 (9.4) | 4 (10.0) | 0.089 |
| Bleeding while under OAC | 9 (56.3) | 81 (31.5) | 131 (29.3) | 56 (24.5) | 23 (28.0) | 13 (32.5) | 0.116 |
| Medication | |||||||
| Antiplatelets on admission Aspirin Clopidogrel Both | 4 (28.6) 2 (14.3) 1 (7.1) 1 (7.1) | 58 (23.4) 26 (10.4) 22 (8.8) 10 (4.0) | 131 (29.4) 69 (15.5) 33 (7.4) 29 (6.5) | 71 (31.1) 35 (15.4) 22 (9.6) 14 (6.1) | 17 (21.8) 9 (11.5) 5 (6.4) 3 (3.8) | 4 (10.8) 1 (2.7) 3 (8.1) 0 (0.0) | 0.044 0.123 0.909 0.425 |
| VKA on admission | 4 (28.6) | 89 (35.7) | 126 (28.3) | 55 (24.0) | 26 (33.3) | 12 (32.4) | 0.105 |
| NOAC on admission Dabigatran Rivaroxaban Abixaban | 3 (21.4) 0 (0.0) 2 (14.3) 1 (7.1) | 81 (32.5) 13 (5.2) 38 (15.3) 30 (12.0) | 139 (31.2) 36 (8.1) 52 (11.7) 51 (11.5) | 87 (38.0) 22 (9.6) 41 (17.9) 24 (10.5) | 31 (39.7) 8 (10.3) 15 (19.2) 8 (10.3) | 16 (43.2) 1 (2.7) 8 (21.6) 7 (18.9) | 0.229 0.295 0.131 0.772 |
| Rate Control Medication on admission Beta-blockers Digoxin Both | 12 (85.7) 11 (78.6) 0 (0.0) 1 (7.1) | 177 (71.1) 138 (55.4) 13 (5.2) 26 (10.4) | 301 (67.6) 270 (60.7) 13 (2.9) 18 (4.0) | 167 (72.9) 147 (64.2) 6 (2.6) 14 (6.1) | 49 (62.8) 46 (59.0) 1 (1.3) 2 (2.6) | 31 (83.8) 26 (70.3) 0 (0.0) 5 (13.5) | 0.107 0.188 0.437 0.005 |
| Rhythm Control Medication on admission Amiodarone Propafenone Sotalol | 3 (21.4) 3 (21.4) 0 (0.0) 0 (0.0) | 49 (19.8) 32 (12.9) 16 (6.5) 1 (0.4) | 80 (18.0) 45 (10.1) 31 (7.0) 4 (0.9) | 32 (14.0) 22 (9.6) 8 (3.5) 2 (0.9) | 12 (15.4) 8 (10.3) 3 (3.8) 1 (1.3) | 4 (10.8) 3 (8.1) 1 (2.7) 0 (0.0) | 0.489 0.574 0.450 0.784 |
| ACEi-ARB at discharge | 8 (44.4) | 110 (41.2) | 203 (44.0) | 109 (45.4) | 40 (46.0) | 15 (37.5) | 0.877 |
| Statin at discharge | 9 (50.0) | 85 (31.8) | 197 (42.7) | 101 (42.1) | 38 (43.7) | 13 (32.5) | 0.043 |
| Clinical Data | |||||||
| Systolic BP (mmHg) | 138.6 (17.1) | 136.6 (27.0) | 140 (31.0) | 143.9 (25.3) | 151.9 (26.0) | 140.4 (22.9) | <0.001 |
| Diastolic BP (mmHg) | 83.5 (11.8) | 78 (22.0) | 80 (19.0) | 80 (20.0) | 83.4 (16.7) | 85 (23.0) | 0.006 |
| NT-pro BNP (pg/mL) | 826 (17,307) | 468 (2087) | 187 (2056) | 519 (1717) | 152 (1788) | 217 (1635) | 0.438 |
| High Sensitivity Troponin (pg/mL) | 47 (73.0) | 25 (38.0) | 27 (40.0) | 26 (38.0) | 28 (41.0) | 28 (40.0) | 0.803 |
| ECG on admission Sinus Rhythm AF Atrial Flutter | 5 (35.7) 7 (50.0) 2 (14.3) | 45 (21.1) 148 (69.5) 7 (3.3) | 78 (20.9) 253 (67.6) 21 (5.6) | 38 (19.9) 139 (72.8) 5 (2.6) | 7 (10.9) 53 (82.8) 1 (1.6) | 2 (6.5) 26 (83.9) 2 (6.5) | 0.079 0.029 0.121 |
| GFR by CKD-EPI (mL/min/1.73 m2) | 54.6 (30.6) | 59.9 (22.2) | 61.9 (36.0) | 62.6 (36.0) | 58.9 (23.8) | 64.5 (25.8) | 0.267 |
| TTE on admission Left Atrium Diameter (cm) LVEF | 5.2 (0.7) 50 (15.0) | 4.5 (0.9) 50 (17.0) | 4.3 (0.9) 55 (15.5) | 4.3 (0.7) 55 (15.0) | 4.5 (0.9) 55 (12.9) | 5.5 (0.7) 50 (14.0) | 0.148 0.071 |
| Hospitalization | |||||||
| Length of hospitalization (days) | 8.7 (5.1) | 6 (7.0) | 6 (6.0) | 6 (6.0) | 6 (7.0) | 4.5 (6.0) | 0.128 |
| Reason for hospitalization AF ACS HF HVD Other | 6 (33.3) 4 (22.2) 5 (27.8) 1 (5.6) 2 (11.1) | 87 (34.9) 22 (8.8) 79 (31.7) 16 (6.4) 45 (18.1) | 175 (41.5) 51 (12.1) 103 (24.4) 21 (5.0) 72 (17.1) | 93 (42.7) 22 (10.1) 57 (26.1) 9 (4.1) 37 (17.0) | 20 (26.7) 5 (6.7) 30 (40.0) 5 (6.7) 15 (20.0) | 16 (43.2) 3 (8.1) 13 (35.1) 0 (0.0) 5 (13.5) | 0.096 0.331 0.051 0.554 0.954 |
| Scores | |||||||
| CHA2DS2-VASc | 4.2 (1.2) | 4 (3.0) | 4 (3.0) | 4 (3.0) | 5 (3.0) | 4 (3.0) | 0.668 |
| HAS-BLED | 2 (2.0) | 2 (1.0) | 2 (1.0) | 2 (1.0) | 2 (1.0) | 1 (1.0) | 0.084 |
Disclaimer/Publisher’s Note: The statements, opinions and data contained in all publications are solely those of the individual author(s) and contributor(s) and not of MDPI and/or the editor(s). MDPI and/or the editor(s) disclaim responsibility for any injury to people or property resulting from any ideas, methods, instructions or products referred to in the content. |
© 2024 by the authors. Licensee MDPI, Basel, Switzerland. This article is an open access article distributed under the terms and conditions of the Creative Commons Attribution (CC BY) license (https://creativecommons.org/licenses/by/4.0/).
Share and Cite
Nteli, M.; Nteli, D.; Moysidis, D.V.; Foka, A.; Zymaris, P.; Grantza, T.; Kazarli, O.; Vagianos, A.; Papazoglou, A.S.; Kartas, A.; et al. Prognostic Impact of Body Mass Index in Atrial Fibrillation. J. Clin. Med. 2024, 13, 3294. https://doi.org/10.3390/jcm13113294
Nteli M, Nteli D, Moysidis DV, Foka A, Zymaris P, Grantza T, Kazarli O, Vagianos A, Papazoglou AS, Kartas A, et al. Prognostic Impact of Body Mass Index in Atrial Fibrillation. Journal of Clinical Medicine. 2024; 13(11):3294. https://doi.org/10.3390/jcm13113294
Chicago/Turabian StyleNteli, Maria, Despoina Nteli, Dimitrios V. Moysidis, Anastasia Foka, Panagiotis Zymaris, Triantafyllia Grantza, Olga Kazarli, Alexis Vagianos, Andreas S. Papazoglou, Anastasios Kartas, and et al. 2024. "Prognostic Impact of Body Mass Index in Atrial Fibrillation" Journal of Clinical Medicine 13, no. 11: 3294. https://doi.org/10.3390/jcm13113294
APA StyleNteli, M., Nteli, D., Moysidis, D. V., Foka, A., Zymaris, P., Grantza, T., Kazarli, O., Vagianos, A., Papazoglou, A. S., Kartas, A., Samaras, A., Bekiaridou, A., Spyridonidis, E., Ziakas, A., Tzikas, A., & Giannakoulas, G. (2024). Prognostic Impact of Body Mass Index in Atrial Fibrillation. Journal of Clinical Medicine, 13(11), 3294. https://doi.org/10.3390/jcm13113294

