The Diagnostic Utility of Biochemical Markers and Intestinal Ultrasound Compared with Endoscopy in Patients with Crohn’s Disease and Ulcerative Colitis: A Systemic Review and Meta-Analysis
Abstract
1. Introduction
2. Methods
- Search Strategy
- 2.
- Inclusion and Exclusion
- Adult population with CD and UC.
- Index tests, including ultrasound, endoscopy, and biochemical markers (Calprotectin and C-reactive protein).
- Comparator test endoscopy and other tests.
- Outcomes include sensitivity and specificity of index tests active inflammation and remissions.
- Study design involving retrospective and prospective observational studies, as well as clinical trials.
- Studies with child populations.
- Studies with index tests other than the target tests and biomarkers.
- Studies that have not compared the index test with comparator tests.
- Studies that lacked details for sensitivity and specificity.
- Case reports and all types of review articles were excluded.
- 3.
- Data Extraction and Quality Assessment
- 4.
- Outcome Variables
- 5.
- Data Synthesis and Statistical Analysis
3. Results
- Literature Search
- 2.
- Characteristics of Included Studies
- 3.
- Quality of Studies
- 4.
- Diagnostic Performance of Ultrasonography
- 5.
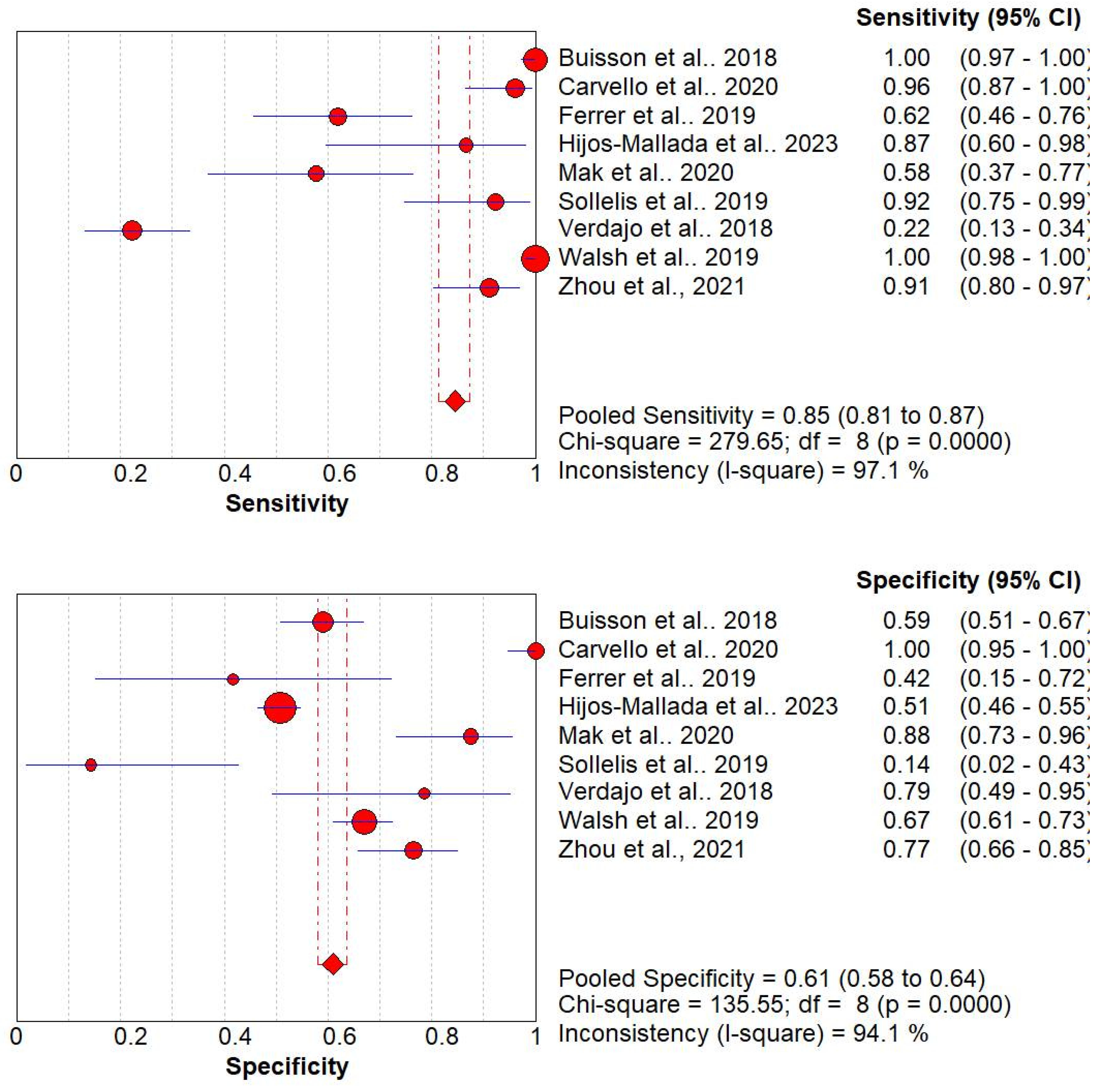
- Diagnostic Performance of Biochemical Markers
- 6.
- Diagnostic Performance of Endoscopy
4. Discussion
5. Conclusions
Author Contributions
Funding
Institutional Review Board Statement
Informed Consent Statement
Data Availability Statement
Conflicts of Interest
References
- Murakami, Y.; Nishiwaki, Y.; Oba, M.S.; Asakura, K.; Ohfuji, S.; Fukushima, W.; Suzuki, Y.; Nakamura, Y. Estimated prevalence of ulcerative colitis and Crohn’s disease in Japan in 2014: An analysis of a nationwide survey. J. Gastroenterol. 2019, 54, 1070–1077. [Google Scholar] [CrossRef] [PubMed]
- Ng, S.C.; Shi, H.Y.; Hamidi, N.; Underwood, F.E.; Tang, W.; Benchimol, E.I.; Panaccione, R.; Ghosh, S.; Wu, J.C.; Chan, F.K. Worldwide incidence and prevalence of inflammatory bowel disease in the 21st century: A systematic review of population-based studies. Lancet 2017, 390, 2769–2778. [Google Scholar] [CrossRef] [PubMed]
- Colombel, J.F.; Rutgeerts, P.; Reinisch, W.; Esser, D.; Wang, Y.; Lang, Y.; Marano, C.W.; Strauss, R.; Oddens, B.J.; Feagan, B.G. Early mucosal healing with infliximab is associated with improved long-term clinical outcomes in ulcerative colitis. Gastroenterology 2011, 141, 1194–1201. [Google Scholar] [CrossRef] [PubMed]
- Shah, S.; Colombel, J.F.; Sands, B.; Narula, N. Systematic review with meta-analysis: Mucosal healing is associated with improved long-term outcomes in Crohn’s disease. Aliment. Pharmacol. Ther. 2016, 43, 317–333. [Google Scholar] [CrossRef]
- Nguyen, V.X.; Le Nguyen, V.T.; Nguyen, C.C. Appropriate use of endoscopy in the diagnosis and treatment of gastrointestinal diseases: Up-to-date indications for primary care providers. Int. J. Gen. Med. 2010, 3, 345–357. [Google Scholar] [CrossRef] [PubMed]
- Kushner, I. C-reactive protein–My perspective on its first half century, 1930–1982. Front. Immunol. 2023, 14, 1150103. [Google Scholar] [CrossRef] [PubMed]
- Tanaka, T.; Narazaki, M.; Kishimoto, T. IL-6 in inflammation, immunity, and disease. Cold Spring Harb. Perspect. Biol. 2014, 6, a016295. [Google Scholar] [CrossRef] [PubMed]
- Szymanska, E.; Szymanska, S.; Dadalski, M.; Kierkus, J. Biological markers of disease activity in inflammatory bowel diseases. Prz. Gastroenterol. 2023, 18, 141–147. [Google Scholar] [CrossRef] [PubMed]
- Yang, J.; Anholts, J.; Kolbe, U.; Stegehuis-Kamp, J.A.; Claas, F.H.; Eikmans, M. Calcium-binding proteins S100A8 and S100A9: Investigation of their immune regulatory effect in myeloid cells. Int. J. Mol. Sci. 2018, 19, 1833. [Google Scholar] [CrossRef]
- Kucharzik, T.; Kannengiesser, K.; Petersen, F. The use of ultrasound in inflammatory bowel disease. Ann. Gastroenterol. Q. Publ. Hell. Soc. Gastroenterol. 2017, 30, 135. [Google Scholar] [CrossRef]
- Sagami, S.; Kobayashi, T.; Miyatani, Y.; Okabayashi, S.; Yamazaki, H.; Takada, T.; Kinoshita, K.; Allocca, M.; Kunisaki, R.; Ramaswamy, P.K.; et al. Accuracy of Ultrasound for Evaluation of Colorectal Segments in Patients with Inflammatory Bowel Diseases: A Systematic Review and Meta-analysis. Clin. Gastroenterol. Hepatol. 2021, 19, 908–921.e6. [Google Scholar] [CrossRef] [PubMed]
- McInnes, M.D.; Moher, D.; Thombs, B.D.; McGrath, T.A.; Bossuyt, P.M.; Clifford, T.; Cohen, J.F.; Deeks, J.J.; Gatsonis, C.; Hooft, L. Preferred reporting items for a systematic review and meta-analysis of diagnostic test accuracy studies: The PRISMA-DTA statement. JAMA 2018, 319, 388–396. [Google Scholar] [CrossRef]
- Leeflang, M.M.; Deeks, J.J.; Takwoingi, Y.; Macaskill, P. Cochrane diagnostic test accuracy reviews. Syst. Rev. 2013, 2, 82. [Google Scholar] [CrossRef] [PubMed]
- Higgins, J.P.; Thompson, S.G.; Deeks, J.J.; Altman, D.G. Measuring inconsistency in meta-analyses. BMJ 2003, 327, 557–560. [Google Scholar] [CrossRef] [PubMed]
- Buisson, A.; Vazeille, E.; Minet-Quinard, R.; Goutte, M.; Bouvier, D.; Goutorbe, F.; Pereira, B.; Barnich, N.; Bommelaer, G. Fecal matrix metalloprotease-9 and lipocalin-2 as biomarkers in detecting endoscopic activity in patients with inflammatory bowel diseases. J. Clin. Gastroenterol. 2018, 52, e53–e62. [Google Scholar] [CrossRef] [PubMed]
- Carvello, M.; Di Candido, F.; Greco, M.; Foppa, C.; Maroli, A.; Fiorino, G.; Cecconi, M.; Danese, S.; Spinelli, A. The trend of C-Reactive protein allows a safe early discharge after surgery for Crohn’s disease. Updates Surg. 2020, 72, 985–989. [Google Scholar] [CrossRef] [PubMed]
- De Cruz, P.; Hamilton, A.L.; Burrell, K.J.; Gorelik, A.; Liew, D.; Kamm, M.A. Endoscopic prediction of Crohn’s disease postoperative recurrence. Inflamm. Bowel Dis. 2022, 28, 680–688. [Google Scholar] [CrossRef]
- Ferrer, C.S.; Barno, M.A.; Arranz, E.M.; Jochems, A.; Ramirez, L.G.; Cordon, J.P.; Herranz, M.J.; Arencibia, A.C.; Arranz, M.D.M. The use of serum calprotectin as a biomarker for inflammatory activity in inflammatory bowel disease. Rev. Esp. Enfermadades Dig. (REED) 2019, 111, 744–750. [Google Scholar]
- Hijos-Mallada, G.; Saura, N.; Lué, A.; Velamazan, R.; Nieto, R.; Navarro, M.; Arechavaleta, S.; Chueca, E.; Gomollon, F.; Lanas, A. A Point-of-Care Faecal Test Combining Four Biomarkers Allows Avoidance of Normal Colonoscopies and Prioritizes Symptomatic Patients with a High Risk of Colorectal Cancer. Cancers 2023, 15, 721. [Google Scholar] [CrossRef]
- Ma, C.; Huang, P.-L.; Kang, N.; Zhang, J.; Xiao, M.; Zhang, J.-Y.; Cao, X.-C.; Dai, X.-C. The clinical value of multimodal ultrasound for the evaluation of disease activity and complications in inflammatory bowel disease. Ann. Palliat. Med. 2020, 9, 4146–4155. [Google Scholar] [CrossRef]
- Mak, L.-Y.; Tong, T.S.; Cheung, K.-S.; Chen, L.-J.; Lui, K.-L.; Lau, K.-S.; Leung, W.K. Combined use of common fecal and blood markers for detection of endoscopically active inflammatory bowel disease. Clin. Transl. Gastroenterol. 2020, 11, e00138. [Google Scholar] [CrossRef] [PubMed]
- Roushan, N.; Daryani, N.E.; Azizi, Z.; Pournaghshband, H.; Niksirat, A. Differentiation of Crohn’s disease and ulcerative colitis using intestinal wall thickness of the colon: A Diagnostic accuracy study of endoscopic ultrasonography. Med. J. Islam. Repub. Iran 2019, 33, 57. [Google Scholar] [CrossRef] [PubMed]
- Sollelis, E.; Quinard, R.M.; Bouguen, G.; Goutte, M.; Goutorbe, F.; Bouvier, D.; Pereira, B.; Bommelaer, G.; Buisson, A. Combined evaluation of biomarkers as predictor of maintained remission in Crohn’s disease. World J. Gastroenterol. 2019, 25, 2354. [Google Scholar] [CrossRef] [PubMed]
- Walsh, A.; Kormilitzin, A.; Hinds, C.; Sexton, V.; Brain, O.; Keshav, S.; Uhlig, H.; Geddes, J.; Goodwin, G.; Peters, M. Defining faecal calprotectin thresholds as a surrogate for endoscopic and histological disease activity in ulcerative colitis—A prospective analysis. J. Crohn’s Colitis 2019, 13, 424–430. [Google Scholar] [CrossRef]
- Yamada, K.; Nakamura, M.; Yamamura, T.; Maeda, K.; Sawada, T.; Mizutani, Y.; Ishikawa, E.; Ishikawa, T.; Kakushima, N.; Furukawa, K. Diagnostic yield of colon capsule endoscopy for Crohn’s disease lesions in the whole gastrointestinal tract. BMC Gastroenterol. 2021, 21, 75. [Google Scholar] [CrossRef] [PubMed]
- Liu, X.-Y.; Tian, Z.-B.; Zhang, L.-J.; Liu, A.-L.; Zhang, X.-F.; Wu, J.; Ding, X.-L. Clinical value of the Toronto inflammatory bowel disease global endoscopic reporting score in ulcerative colitis. World J. Gastroenterol. 2023, 29, 6208. [Google Scholar] [CrossRef]
- Zhou, F.-S.; Gao, N.; Sun, X.; Jiang, X.-Y.; Chen, J.-J.; Mao, Q.-Q.; Zhong, L. C-reactive protein/abumin ratio is a useful biomarker for predicting the mucosal healing in the Crohn disease: A retrospective study. Medicine 2021, 100, e24925. [Google Scholar] [CrossRef]
- Verdejo, C.; Hervías, D.; Roncero, Ó.; Arias, Á.; Bouhmidi, A.; Lorente, R.; Salueña, I.; Lucendo, A.J. Fecal calprotectin is not superior to serum C-reactive protein or the Harvey–Bradshaw index in predicting postoperative endoscopic recurrence in Crohn’s disease. Eur. J. Gastroenterol. Hepatol. 2018, 30, 1521–1527. [Google Scholar] [CrossRef]
- Vleugels, J.L.; Rutter, M.D.; Ragunath, K.; Rees, C.J.; Ponsioen, C.Y.; Lahiff, C.; Ket, S.N.; Wanders, L.K.; Samuel, S.; Butt, F. Diagnostic accuracy of endoscopic trimodal imaging and chromoendoscopy for lesion characterization in ulcerative colitis. J. Crohn’s Colitis 2018, 12, 1438–1447. [Google Scholar] [CrossRef]
- Viganò, L.; Mineccia, M.; Bertolino, F.; Giraldi, F.; Rigazio, C.; Rocca, R.; Ferrero, A. Intraoperative ultrasonography in patients undergoing surgery for Crohn’s disease. Prospective evaluation of an innovative approach to optimize staging and treatment planning. Updates Surg. 2019, 71, 305–312. [Google Scholar] [CrossRef]
- Whiting, P.F.; Rutjes, A.W.; Westwood, M.E.; Mallett, S.; Deeks, J.J.; Reitsma, J.B.; Leeflang, M.M.; Sterne, J.A.; Bossuyt, P.M. QUADAS-2: A revised tool for the quality assessment of diagnostic accuracy studies. Ann. Intern. Med. 2011, 155, 529–536. [Google Scholar] [CrossRef]
- Jauregui-Amezaga, A.; Rimola, J. Role of intestinal ultrasound in the management of patients with inflammatory bowel disease. Life 2021, 11, 603. [Google Scholar] [CrossRef] [PubMed]
- Parente, F.; Greco, S.; Molteni, M.; Anderloni, A.; Porro, G.B. Imaging inflammatory bowel disease using bowel ultrasound. Eur. J. Gastroenterol. Hepatol. 2005, 17, 283–291. [Google Scholar] [CrossRef] [PubMed]
- Stojkovic Lalosevic, M.; Sokic Milutinovic, A.; Matovic Zaric, V.; Lolic, I.; Toplicanin, A.; Dragasevic, S.; Stojkovic, M.; Stojanovic, M.; Aleksic, M.; Stjepanovic, M.; et al. Intestinal Ultrasonography as a Tool for Monitoring Disease Activity in Patients with Ulcerative Colitis. Int. J. Clin. Pract. 2022, 2022, 3339866. [Google Scholar] [CrossRef] [PubMed]
- Hata, J.; Haruma, K.; Suenaga, K.; Yoshihara, M.; Yamamoto, G.; Tanaka, S.; Shimamoto, T.; Sumii, K.; Kajiyama, G. Ultrasonographic assessment of inflammatory bowel disease. Am. J. Gastroenterol. 1992, 87, 443–447. [Google Scholar] [PubMed]
- Malik, S.; Venugopalan, S.; Tenorio, B.G.; Khan, S.R.; Loganathan, P.; Navaneethan, U.; Mohan, B.P. Diagnostic accuracy of bowel ultrasonography in patients with inflammatory bowel disease: A systematic review and meta-analysis. Ann. Gastroenterol. 2024, 37, 54–63. [Google Scholar] [CrossRef] [PubMed]
- Vermeire, S.; Van Assche, G.; Rutgeerts, P. Laboratory markers in IBD: Useful, magic, or unnecessary toys? Gut 2006, 55, 426. [Google Scholar] [CrossRef] [PubMed]
- Niederau, C.; Backmerhoff, F.; Schumacher, B. Inflammatory mediators and acute phase proteins in patients with Crohn’s disease and ulcerative colitis. Hepato-Gastroenterology 1997, 44, 90–107. [Google Scholar] [PubMed]
- Dolinger, M.T.; Kayal, M. Intestinal ultrasound as a non-invasive tool to monitor inflammatory bowel disease activity and guide clinical decision making. World J. Gastroenterol. 2023, 29, 2272–2282. [Google Scholar] [CrossRef]
- Frias-Gomes, C.; Torres, J.; Palmela, C. Intestinal Ultrasound in Inflammatory Bowel Disease: A Valuable and Increasingly Important Tool. GE Port. J. Gastroenterol. 2022, 29, 223–239. [Google Scholar] [CrossRef]







| Authors’ Name | Publication Year | Publication Region | Sample Size | Study Population | Study Methodology | Index Test | Comparator Test | Diagnostic Outcomes |
|---|---|---|---|---|---|---|---|---|
| Vleugels et al. [27] | 2018 | UK and The Netherlands | 210 | Patients with long-standing UC | Multicenter, randomized controlled trials | Endoscopic trimodal imaging | Histopathology | ETMI has a diagnostic accuracy of 88.8% |
| Walsh et al. [13] | 2019 | UK | 39 | Patients with UC | Prospective study | UCEIS for FCP | Histological (Nancy) | Weak correlation between FCP and UC activity |
| Mak et al. [14] | 2020 | Hong Kong | 113 | Patients diagnosed with UC and CD | Prospective study | FCP and blood markers | Endoscopy | Combination of both fecal markers and blood indices provide better diagnostic performance as compared with fecal biomarkers alone |
| Ferrrer et al. [15] | 2019 | Spain | 53 | Patients with established diagnosis of UC and CD | Prospective study | Serum calprotectin | Endoscopic findings | Serum calprotectin provides accurate assessment of inflammatory activity |
| Ma et al. [16] | 2020 | China | 30 | Inpatients with CD and UC | Prospective study | Multimodal ultrasound | Endoscopy | Multimodal ultrasound produced detailed clinical values |
| De Cruz et al. [17] | 2022 | Australia | 85 | Patients with CD | Prospective randomized controlled trial | Endoscopy | POCER postoperative index provide in-depth details of patients who need intensive therapy | |
| Hijos-Mallada et al. [18] | 2023 | Spain | 571 | patients referred for colonoscopy | Prospective observational Study | FCP | Other biomarkers | Point of care FCP prevent unnecessary colonoscopies in high-risk patients |
| Liu et al. [25] | 2023 | China | 166 | Patients with confirmed UC | Retrospective observational study | TIGER scores | UCEIS | TIGER scores were found to be superior compared with UCEIS |
| Yamada et al. [19] | 2021 | Japan | 22 | Patients with CD | Prospective study | PillCam colon capsule endoscopy (PCCE-2) | Endoscopy | PCCE-2 has a better diagnostic yield compared with simple endoscopy |
| Buisson et al. [20] | 2018 | France | 86 | Patients with IBD | Prospective observational Study | Fecal markers | Endoscopy | Fecal matrix metalloprotease with better markers |
| Zhou et al. [24] | 2021 | China | 112 | Patients with CD | Retrospective observational study | CRP | Other biomarkers | CRP is an appropriate biomarker for mucosal healing in CD |
| Verdejo et al. [26] | 2018 | Spain | 86 | Patients with CD | Cross-sectional, observational, multicenter cohort study | CRP | FCP | CRP is better predictor for CD as compared with FCP |
| Carvello et al. [21] | 2020 | Italy | 345 | Patients with CD | Prospective study | C-reactive protein | Other biomarkers | CRP trends predict the early discharge of patients with CD |
| Sollelis et al. [22] | 2019 | France | 40 | Patients with CD | Prospective study | C-reactive protein | Other biomarkers | Combined monitoring of biomarkers provides better prediction about outcomes in CD patients |
| Vigano et al. [28] | 2019 | Italy | 65 | Patients with CD | Prospective study | Intraoperative ultrasonography (IOUS) | Endoscopy | IOUS is feasible for patients with CD |
| Roushan et al. [23] | 2019 | Iran | 70 | Patients with CD and UC | Prospective, single-blinded study | Endoscopic ultrasonography | Endoscopy | EUS is efficient in diagnostic accuracy of UC and CD |
| Predictor Variables | Coefficient | Std. Error | p-Value | RDOR | 95% CI |
|---|---|---|---|---|---|
| Cte | 2.148 | 0.5482 | 0.0078 | - | - |
| g | 0.071 | 0.4744 | 0.8856 | 1.07 | (0.34; 3.34) |
Disclaimer/Publisher’s Note: The statements, opinions and data contained in all publications are solely those of the individual author(s) and contributor(s) and not of MDPI and/or the editor(s). MDPI and/or the editor(s) disclaim responsibility for any injury to people or property resulting from any ideas, methods, instructions or products referred to in the content. |
© 2024 by the authors. Licensee MDPI, Basel, Switzerland. This article is an open access article distributed under the terms and conditions of the Creative Commons Attribution (CC BY) license (https://creativecommons.org/licenses/by/4.0/).
Share and Cite
Huynh, D.; Rubtsov, D.; Basu, D.; Khaing, M.M. The Diagnostic Utility of Biochemical Markers and Intestinal Ultrasound Compared with Endoscopy in Patients with Crohn’s Disease and Ulcerative Colitis: A Systemic Review and Meta-Analysis. J. Clin. Med. 2024, 13, 3030. https://doi.org/10.3390/jcm13113030
Huynh D, Rubtsov D, Basu D, Khaing MM. The Diagnostic Utility of Biochemical Markers and Intestinal Ultrasound Compared with Endoscopy in Patients with Crohn’s Disease and Ulcerative Colitis: A Systemic Review and Meta-Analysis. Journal of Clinical Medicine. 2024; 13(11):3030. https://doi.org/10.3390/jcm13113030
Chicago/Turabian StyleHuynh, David, Denis Rubtsov, Debapama Basu, and Myat Myat Khaing. 2024. "The Diagnostic Utility of Biochemical Markers and Intestinal Ultrasound Compared with Endoscopy in Patients with Crohn’s Disease and Ulcerative Colitis: A Systemic Review and Meta-Analysis" Journal of Clinical Medicine 13, no. 11: 3030. https://doi.org/10.3390/jcm13113030
APA StyleHuynh, D., Rubtsov, D., Basu, D., & Khaing, M. M. (2024). The Diagnostic Utility of Biochemical Markers and Intestinal Ultrasound Compared with Endoscopy in Patients with Crohn’s Disease and Ulcerative Colitis: A Systemic Review and Meta-Analysis. Journal of Clinical Medicine, 13(11), 3030. https://doi.org/10.3390/jcm13113030

