The Value of Aortic Volume and Intraluminal Thrombus Quantification for Predicting Aortic Events after Endovascular Thoracic Aneurysm Repair
Abstract
1. Introduction
2. Materials and Methods
2.1. Design and Population
2.2. Data Management
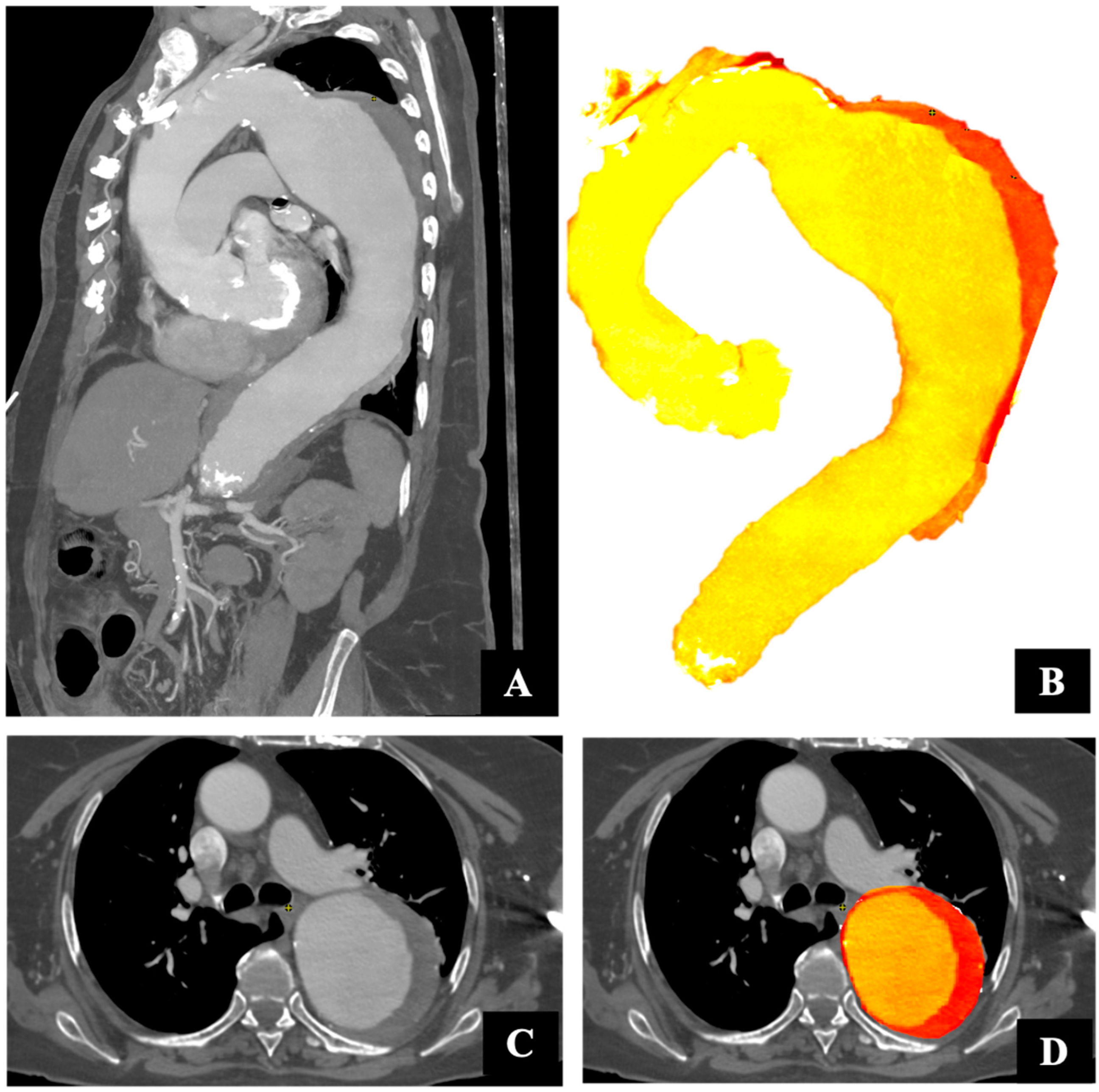
2.3. Image Analysis and Measurement Volume
2.4. Statistical Analysis
3. Results
3.1. Baseline Characteristics
3.2. Reinterventions
3.3. Thoracic Aortic Aneurysm Sac Comparison
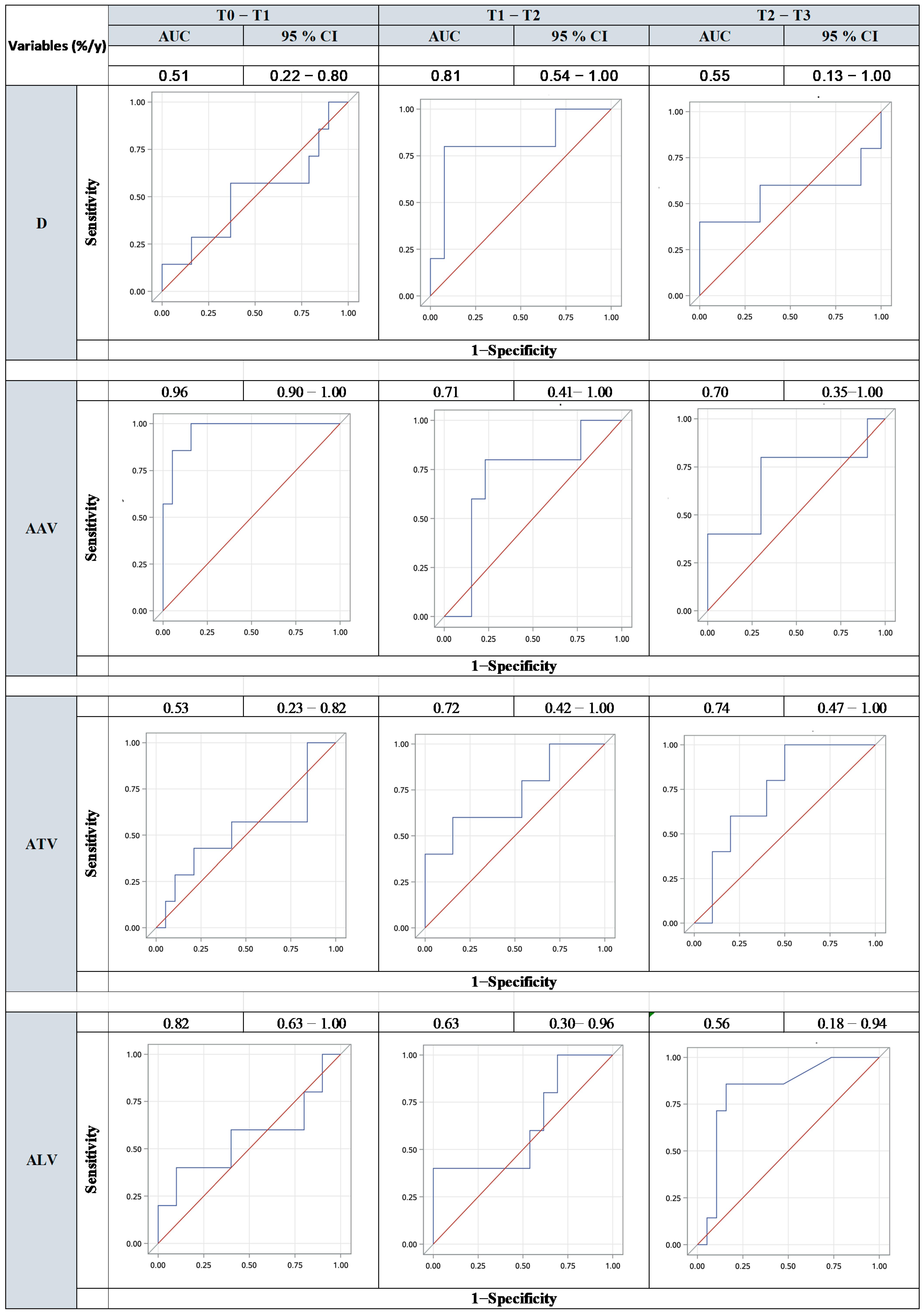
3.4. Diameter and Volume Mean Annual Growth Rates
4. Discussion
5. Conclusions
Author Contributions
Funding
Institutional Review Board Statement
Informed Consent Statement
Data Availability Statement
Conflicts of Interest
References
- Alsawas, M.; Zaiem, F.; Larrea-Mantilla, L.; Almasri, J.; Erwin, P.J.; Upchurch, G.R.; Murad, M.H. Effectiveness of Surgical Interventions for Thoracic Aortic Aneurysms: A Systematic Review and Meta-Analysis. J. Vasc. Surg. 2017, 66, 1258–1268.e8. [Google Scholar] [CrossRef] [PubMed]
- Abraha, I.; Romagnoli, C.; Montedori, A.; Cirocchi, R. Thoracic Stent Graft versus Surgery for Thoracic Aneurysm. Cochrane Database Syst. Rev. 2016, 1–13. [Google Scholar] [CrossRef] [PubMed]
- Ziza, V.; Canaud, L.; Molinari, N.; Branchereau, P.; Marty-Ané, C.; Alric, P. Thoracic Endovascular Aortic Repair: A Single Center’s 15-Year Experience. J. Thorac. Cardiovasc. Surg. 2016, 151, 1595–1603.e7. [Google Scholar] [CrossRef] [PubMed]
- Khashram, M.; He, Q.; Oh, T.H.; Khanafer, A.; Wright, I.A.; Vasudevan, T.M.; Lo, A.S.N.; Roake, J.A.; Civil, I. Late Radiological and Clinical Outcomes of Traumatic Thoracic Aortic Injury Managed with Thoracic Endovascular Aortic Repair. World J. Surg. 2016, 40, 1763–1770. [Google Scholar] [CrossRef] [PubMed]
- Upchurch, G.R.; Escobar, G.A.; Azizzadeh, A.; Beck, A.W.; Conrad, M.F.; Matsumura, J.S.; Murad, M.H.; Perry, R.J.; Singh, M.J.; Veeraswamy, R.K.; et al. Society for Vascular Surgery Clinical Practice Guidelines of Thoracic Endovascular Aortic Repair for Descending Thoracic Aortic Aneurysms. J. Vasc. Surg. 2021, 73, 55S–83S. [Google Scholar] [CrossRef] [PubMed]
- Wang, T.K.M.; Desai, M.Y. Thoracic Aortic Aneurysm: Optimal Surveillance and Treatment. CCJM 2020, 87, 557–568. [Google Scholar] [CrossRef] [PubMed]
- Meena, R.A.; Benarroch-Gampel, J.; Leshnower, B.G.; Escobar, G.A.; Duwayri, Y.; Jordan, W.D.; Rajani, R.R. Surveillance Recommendations after Thoracic Endovascular Aortic Repair Should Be Based on Initial Indication for Repair. Ann. Vasc. Surg. 2019, 57, 51–59. [Google Scholar] [CrossRef] [PubMed]
- Fankhauser, K.; Wamala, I.; Penkalla, A.; Heck, R.; Hammerschmidt, R.; Falk, V.; Buz, S. Outcomes and Survival Following Thoracic Endovascular Repair in Patients with Aortic Aneurysms Limited to the Descending Thoracic Aorta. J. Cardiothorac. Surg. 2023, 18, 194. [Google Scholar] [CrossRef] [PubMed]
- Baldaia, L.; Duque, M.; Silva, M.; Silva, E.; Nunes, C.; Constâncio, V.; Orelhas, L.; Fonseca, M.; Antunes, L.F. Thoracic Aortic Aneurysms, a Single Center’s 10-Years Experience and Analysis of Outcomes. Vascular 2024, 17085381241236575. [Google Scholar] [CrossRef]
- Takazawa, A.; Asakura, T.; Nakazawa, K.; Kinoshita, O.; Nakajima, H.; Yoshitake, A. Long-Term Results of Etiology-Based Thoracic Endovascular Aortic Repair: A Single-Center Experience. Heart Vessel. 2024. [Google Scholar] [CrossRef]
- Cieri, E.; De Rango, P.; Isernia, G.; Simonte, G.; Verzini, F.; Parlani, G.; Ciucci, A.; Cao, P. Effect of Stentgraft Model on Aneurysm Shrinkage in 1,450 Endovascular Aortic Repairs. Eur. J. Vasc. Endovasc. Surg. 2013, 46, 192–200. [Google Scholar] [CrossRef] [PubMed]
- Lindquist Liljeqvist, M.; Hultgren, R.; Gasser, T.C.; Roy, J. Volume Growth of Abdominal Aortic Aneurysms Correlates with Baseline Volume and Increasing Finite Element Analysis-Derived Rupture Risk. J. Vasc. Surg. 2016, 63, 1434–1442.e3. [Google Scholar] [CrossRef]
- Renapurkar, R.D.; Setser, R.M.; O’Donnell, T.P.; Egger, J.; Lieber, M.L.; Desai, M.Y.; Stillman, A.E.; Schoenhagen, P.; Flamm, S.D. Aortic Volume as an Indicator of Disease Progression in Patients with Untreated Infrarenal Abdominal Aneurysm. Eur. J. Radiol. 2012, 81, e87–e93. [Google Scholar] [CrossRef] [PubMed]
- Kakisis, J.D.; Moulakakis, K.G.; Antonopoulos, C.N.; Mylonas, S.N.; Giannakopoulos, T.G.; Sfyroeras, G.S.; Karakitsos, P.; Liapis, C.D. Volume of New-Onset Thrombus Is Associated with the Development of Postimplantation Syndrome after Endovascular Aneurysm Repair. J. Vasc. Surg. 2014, 60, 1140–1145. [Google Scholar] [CrossRef]
- Skrebunas, A.; Lengvenis, G.; Builyte, I.; Zulpaite, R.; Bliudzius, R.; Baltrunas, T.; Misonis, N.; Marinskis, G. Aortic Sac Enlargement after Endovascular Aneurysm Repair: Volume-Related Changes and the Impact of Intraluminal Thrombus. PJR Pol. J. Radiol. 2019, 84, e530–e536. [Google Scholar] [CrossRef]
- Gaudry, M.; Guivier-Curien, C.; Blanchard, A.; Porto, A.; Bal, L.; Omnes, V.; De Masi, M.; Lu, C.; Jacquier, A.; Piquet, P.; et al. Volume Analysis to Predict the Long-Term Evolution of Residual Aortic Dissection after Type A Repair. J. Cardiovasc. Dev. Dis. 2022, 9, 349. [Google Scholar] [CrossRef]
- Patterson, B.O.; Vidal-Diez, A.; Karthikesalingam, A.; Holt, P.J.E.; Loftus, I.M.; Thompson, M.M. Comparison of Aortic Diameter and Area after Endovascular Treatment of Aortic Dissection. Ann. Thorac. Surg. 2015, 99, 95–102. [Google Scholar] [CrossRef] [PubMed]
- Entezari, P.; Kino, A.; Honarmand, A.R.; Galizia, M.S.; Yang, Y.; Collins, J.; Yaghmai, V.; Carr, J.C. Analysis of the Thoracic Aorta Using a Semi-Automated Post Processing Tool. Eur. J. Radiol. 2013, 82, 1558–1564. [Google Scholar] [CrossRef]
- López-Linares, K.; Aranjuelo, N.; Kabongo, L.; Maclair, G.; Lete, N.; Ceresa, M.; García-Familiar, A.; Macía, I.; González Ballester, M.A. Fully Automatic Detection and Segmentation of Abdominal Aortic Thrombus in Post-Operative CTA Images Using Deep Convolutional Neural Networks. Med. Image Anal. 2018, 46, 202–214. [Google Scholar] [CrossRef]
- Makaroun, M.S.; Dillavou, E.D.; Wheatley, G.H.; Cambria, R.P. Gore TAG Investigators Five-Year Results of Endovascular Treatment with the Gore TAG Device Compared with Open Repair of Thoracic Aortic Aneurysms. J. Vasc. Surg. 2008, 47, 912–918. [Google Scholar] [CrossRef]
- Heinze, G.; Schemper, M. A Solution to the Problem of Monotone Likelihood in Cox Regression. Biometrics 2001, 57, 114–119. [Google Scholar] [CrossRef] [PubMed]
- Peduzzi, P.; Concato, J.; Kemper, E.; Holford, T.R.; Feinstein, A.R. A Simulation Study of the Number of Events per Variable in Logistic Regression Analysis. J. Clin. Epidemiol. 1996, 49, 1373–1379. [Google Scholar] [CrossRef] [PubMed]
- Hoenig, J.M.; Heisey, D.M. The Abuse of Power: The Pervasive Fallacy of Power Calculations for Data Analysis. Am. Stat. 2001, 55, 19–24. [Google Scholar] [CrossRef]
- Czerny, M.; Schmidli, J.; Adler, S.; van den Berg, J.C.; Bertoglio, L.; Carrel, T.; Chiesa, R.; Clough, R.E.; Eberle, B.; Etz, C.; et al. Editor’s Choice—Current Options and Recommendations for the Treatment of Thoracic Aortic Pathologies Involving the Aortic Arch: An Expert Consensus Document of the European Association for Cardio-Thoracic Surgery (EACTS) & the European Society for Vascular Surgery (ESVS). Eur. J. Vasc. Endovasc. Surg. 2019, 57, 165–198. [Google Scholar] [CrossRef]
- Mitchell, R.S.; Ishimaru, S.; Ehrlich, M.P.; Iwase, T.; Lauterjung, L.; Shimono, T.; Fattori, R.; Yutani, C. First International Summit on Thoracic Aortic Endografting: Roundtable on Thoracic Aortic Dissection as an Indication for Endografting. J. Endovasc. Ther. 2002, 9 (Suppl. 2), II98–II105. [Google Scholar] [CrossRef] [PubMed]
- De Masi, M. Thoracic Aorta Remodeling after TEVAR: Monitoring Morphological Parameters to Predict Unfavorable Evolution. J. Surg. 2023, 8, 1840. [Google Scholar] [CrossRef]
- Bischoff, M.S.; Geisbüsch, P.; Kotelis, D.; Müller-Eschner, M.; Hyhlik-Dürr, A.; Böckler, D. Clinical Significance of Type II Endoleaks after Thoracic Endovascular Aortic Repair. J. Vasc. Surg. 2013, 58, 643–650. [Google Scholar] [CrossRef]
- Polzer, S.; Gasser, T.C.; Swedenborg, J.; Bursa, J. The Impact of Intraluminal Thrombus Failure on the Mechanical Stress in the Wall of Abdominal Aortic Aneurysms. Eur. J. Vasc. Endovasc. Surg. 2011, 41, 467–473. [Google Scholar] [CrossRef]
- Lindquist Liljeqvist, M.; Silveira, A.; Hultgren, R.; Frebelius, S.; Lengquist, M.; Engström, J.; Gasser, T.C.; Eriksson, P.; Roy, J. Neutrophil Elastase-Derived Fibrin Degradation Products Indicate Presence of Abdominal Aortic Aneurysms and Correlate with Intraluminal Thrombus Volume. Thromb. Haemost. 2018, 118, 329–339. [Google Scholar] [CrossRef]
- Speelman, L.; Schurink, G.W.H.; Bosboom, E.M.H.; Buth, J.; Breeuwer, M.; van de Vosse, F.N.; Jacobs, M.H. The Mechanical Role of Thrombus on the Growth Rate of an Abdominal Aortic Aneurysm. J. Vasc. Surg. 2010, 51, 19–26. [Google Scholar] [CrossRef]
- Arslan, A.C.; Salman, H.E. Effect of Intraluminal Thrombus Burden on the Risk of Abdominal Aortic Aneurysm Rupture. J. Cardiovasc. Dev. Dis. 2023, 10, 233. [Google Scholar] [CrossRef] [PubMed]
- Riveros, F.; Martufi, G.; Gasser, T.C.; Rodriguez-Matas, J.F. On the Impact of Intraluminal Thrombus Mechanical Behavior in AAA Passive Mechanics. Ann. Biomed. Eng. 2015, 43, 2253–2264. [Google Scholar] [CrossRef] [PubMed]
- AbuRahma, A.F.; Mousa, A.Y.; Campbell, J.E.; Stone, P.A.; Hass, S.M.; Nanjundappa, A.; Dean, L.S.; Keiffer, T. The Relationship of Preoperative Thrombus Load and Location to the Development of Type II Endoleak and Sac Regression. J. Vasc. Surg. 2011, 53, 1534–1541. [Google Scholar] [CrossRef] [PubMed]
- Ding, Y.; Shan, Y.; Zhou, M.; Cai, L.; Li, X.; Shi, Z.; Fu, W. Amount of Intraluminal Thrombus Correlates with Severe Adverse Events in Abdominal Aortic Aneurysms after Endovascular Aneurysm Repair. Ann. Vasc. Surg. 2020, 67, 254–264. [Google Scholar] [CrossRef] [PubMed]



| Variables | Group 0 No Thoracic Aortic Aneurysm Reintervention | Group 1 Thoracic Aortic Aneurysm Reintervention | All | p-Value |
|---|---|---|---|---|
| n = 21 (67.7%) | n = 10 (32.3%) | n = 31 (100.0%) | ||
| Mean ± SD | Mean ± SD | Mean ± SD | ||
| Age, years | 79.1 ± 14.5 | 82.3 ± 6.9 | 80.2 ± 12.4 | 0.862 |
| Height, cm | 169.5 ± 6.9 | 171.0 ± 8.2 | 170.0 ± 7.3 | 0.701 |
| Weight, kg | 71.9 ± 17.0 | 74.7 ± 15.9 | 72.9 ± 16.4 | 0.523 |
| ASA n | 2.9 ± 0.5 | 3.1 ± 0.5 | 3.0 ± 0.5 | 0.531 |
| n (%) | n (%) | n (%) | ||
| Sex | ||||
| Female | 4 (19.0) | 3 (30.0) | 7 (22.6) | 0.672 |
| Male | 17 (81.0) | 7 (70.0) | 24 (77.4) | 0.523 |
| Current Smoker | 6 (28.0) | 4 (40.0) | 10 (32.3) | 0.692 |
| Prior Smoker | 13 (61.9) | 5 (50.0) | 18 (58.1) | 0.531 |
| Hypertension | 20 (95.2) | 10 (100.0) | 30 (96.8) | 0.552 |
| Hyperlipidemia | 15 (71.4) | 7 (70.0) | 22 (71.0) | 0.561 |
| Diabetes | 2 (9.5) | 0 (0.0) | 2 (6.5) | 0.563 |
| CKD | 2 (9.5) | 0 (0.0) | 2 (6.5) | 0.574 |
| CAD | 10 (47.6) | 4 (40.0) | 14 (45.2) | 0.584 |
| COPD | 8 (38.1) | 5 (50.0) | 13 (41.9) | 0.601 |
| Variables | Group 0 No Thoracic Aortic Aneurysm Reintervention | Group 1 Thoracic Aortic Aneurysm Reintervention | All | p-Value |
|---|---|---|---|---|
| n = 21 (67.7%) | n = 10 (32.3%) | n = 31 (100.0%) | ||
| n (%) | n (%) | n (%) | ||
| Location of the aneurysm | ||||
| 2 3 | 5 (23.8) | 3 (30.0) | 8 (25.8) | 0.041 |
| 3 4 | 16 (76.2) | 3 (30.0) | 19 (61.3) | <0.212 |
| 2 3 4 | 0 (0.0) | 4 (40.0) | 4 (12.9) | <0.001 |
| Spinal drain | 5 (23.8) | 5 (50.0) | 10 (32.3) | 0.390 |
| Femoral arterial access | 19 (90.5) | 10 (100.0) | 29 (93.5) | 0.771 |
| Iliac arterial access | 1 (4.8) | 0 (0.0) | 1 (3.2) | 1.000 |
| Type endoleak | ||||
| Type I endoleak | 0 (0.0) | 5 (50.0) | 5 (16.1) | <0.001 |
| Type II endoleak | 0 (0.0) | 2 (20.0) | 2 (6.5) | 0.321 |
| Type III endoleak | 0 (0.0) | 4 (40.0) | 4 (12.9) | <0.001 |
| Mean ± SD | Mean ± SD | Mean ± SD | ||
| No. of aortic devices | 2.1 ± 0.8 | 2.2 ±1.3 | 2.1 ±0.9 | 0.002 |
| Proximal neck leght (mm) | 40.1 ± 19.0 | 30.2 ±13.1 | 35.15 ± 17.2 | <0.001 |
| Distal neck leght (mm) | 17.8 ± 6.8 | 15.8 ± 5.1 | 18.7 ± 6.5 | <0.001 |
| Length of aortic coverage | 202.9 ± 46.7 | 232.8 ± 93.1 | 213.2 ± 66.4 | 0.002 |
| Variables | Group 0 No Thoracic Aortic Aneurysm Reintervention | Group 1 Thoracic Aortic Aneurysm Reintervention | All | p-Value |
|---|---|---|---|---|
| n = 21 (67.7%) | n = 10 (32.3%) | n = 31 (100.0%) | ||
| T0 (mean ± SD) | ||||
| Maximal aortic diameter (D), mm | 65.1 ± 10.9 | 66.9 ± 10.7 | 65.6 ± 10.7 | 0.358 |
| Aortic aneurysmal volume (AAV) mL | 315.8 ± 134.3 | 303.1 ± 128.0 | 311.9 ± 130.2 | 0.888 |
| Aneurysmal thrombus volume (ATV) mL | 110.3 ± 57.9 | 125.5 ± 80.7 | 115.0 ± 64.7 | 0.832 |
| Aneurysmal lumen volume (ALV) mL | 183.4 ± 71.9 | 227.9 ± 79.6 | 197.2 ± 75.9 | 0.137 |
| T1 (mean ± SD) | ||||
| Maximal aortic diameter (D), mm | 62.5 ± 11.1 | 66.1 ± 10.1 | 63.5 ± 10.9 | 0.326 |
| Aortic aneurysmal volume (AAV) mL | 303.7 ± 138.0 | 365.6 ± 207.4 | 322.0 ± 160.5 | 0.559 |
| Aneurysmal thrombus volume (ATV) mL | 116.9 ± 76.5 | 145.7 ± 65.9 | 125.5 ± 73.5 | 0.212 |
| Aneurysmal lumen volume (ALV) mL | 190.7 ± 72.1 | 277.7 ± 182.9 | 216.5 ± 119.4 | 0.202 |
| T2 (mean ± SD) | ||||
| Maximal aortic diameter (D), mm | 57.6 ± 10.4 | 67.5 ± 10.5 | 61.0 ± 11.2 | 0.093 |
| Aortic aneurysmal volume (AAV) mL | 286.1 ± 117.4 | 436.4 ± 192.0 | 336.2 ± 159 | 0.080 |
| Aneurysmal thrombus volume (ATV) mL | 114.7 ± 64.7 | 187.6 ± 86.3 | 139.0 ± 78.7 | 0.057 |
| Aneurysmal lumen volume (ALV) mL | 191.5 ± 85.9 | 292.2 ± 116.3 | 225.1 ± 105.9 | 0.048 |
| T3 (mean ± SD) | ||||
| Maximal aortic diameter (D), mm | 55.3 ± 12.6 | 67.3 ± 9.5 | 60.4 ± 12.7 | 0.044 |
| Aortic aneurysmal volume (AAV) mL | 263.4 ± 124.0 | 404.1 ± 183.0 | 321.4 ± 162.2 | 0.130 |
| Aneurysmal thrombus volume (ATV) mL | 82.1 ± 39.9 | 195 ± 86.7 | 128.8 ± 83.3 | 0.013 |
| Aneurysmal lumen volume (ALV) mL | 183.8 ± 90.8 | 251.0 ± 112.5 | 211.5 ± 102.7 | 0.223 |
| Group 0 No Thoracic Aortic Aneurysm Reintervention | Group 1 Thoracic Aortic Aneurysm Reintervention | All | p-Value | ||
|---|---|---|---|---|---|
| n = 21 (67.7%) | n = 10 (32.3%) | n = 31 (100.0%) | |||
| T1 vs. T0 | |||||
| D | Mean (SD) | −4.19 (10.61) | −3.77 (10.15) | −4.08 (10.29) | 0.932 |
| Median [Q1, Q3] | −2.99 [−6.54, 3.07] | 0.81 [−11.83, 3.15] | −2.71 [−8.91, 3.08] | ||
| AAV | Mean (SD) | −6.31 (6.83) | 6.63 (4.49) | −2.83 (8.53) | <0.001 |
| Median [Q1, Q3] | −7.35 [−12.28, −0.87] | 7.81 [3.04, 9.9] | −1.44 [−8.61, 2.01] | ||
| ATV | Mean (SD) | 32.78 (99.86) | 42.77 (101.18) | 35.47 (98.27) | 0.831 |
| Median [Q1, Q3] | 5.03 [−3.96, 29.88] | 15.77 [−29.79, 61.81] | 9.04 [−13.39, 37.8] | ||
| ALV | Mean (SD) | 1.09 (5.59) | 1.96 (1.62) | 1.32 (4.83) | 0.013 |
| Median [Q1, Q3] | 0.00 [−0.66, 0.75] | 1.51 [0.90, 2.58] | 0.31 [0.00, 1.23] | ||
| T2 vs. T1 | |||||
| D | Mean (SD) | −3.17 (6.69) | 6.04 (9.72) | −0.61 (8.48) | 0.013 |
| Median [Q1, Q3] | −1.33 [−6.24, −0.16] | 2.72 [2.5, 7.78] | −0.64 [−3.9, 2.09] | ||
| AAV | Mean (SD) | 6.73 (29.7) | 11.39 (14.63) | 8.03 (26.03) | 0.660 |
| Median [Q1, Q3] | −1.01 [−5.66, 3.45] | 12.68 [3.56, 17.03] | 0.33 [−4.92, 11.71] | ||
| ATV | Mean (SD) | 3.42 (32.55) | 63.96 (87.93) | 20.24 (57.84) | 0.200 |
| Median [Q1, Q3] | 1.01 [−16.77, 20.44] | 28.87 [0, 98.08] | 2.46 [−8.23, 27.5] | ||
| ALV | Mean (SD) | 10.52 (23.95) | 6.58 (27.18) | 5.77 (25.31) | 0.401 |
| Median [Q1, Q3] | 2.25 [−0.96, 24.50] | 4.87 [−33.81, 11.50] | 3.56 [−1.96, 21.87] | ||
| T3 vs. T1 | |||||
| D | Mean (SD) | −1.12 (1.9) | −0.2 (4.93) | −0.79 (3.15) | 0.711 |
| Median [Q1, Q3] | −1.28 [−2.67, 0.11] | −0.06 [−3.29, 3.81] | −0.8 [−2.7, 0.64] | ||
| AAV | Mean (SD) | −7.16 (18.2) | 13.39 (16.91) | 1.06 (20) | 0.046 |
| Median [Q1, Q3] | −2.6 [−10.48, −0.92] | 9.34 [−0.56, 22.35] | −0.92 [−2.7, 9.25] | ||
| ATV | Mean (SD) | −12.97 (14.42) | 34.37 (40.92) | 5.96 (35.96) | 0.041 |
| Median [Q1, Q3] | −11.48 [−22.76, −2.42] | 31.29 [−1.87, 69.03] | −2.5 [−13.04, 3.83] | ||
| ALV | Mean (SD) | −3.91 (28.28) | 6.53 (30.26) | −0.43 (28.31) | 0.751 |
| Median [Q1, Q3] | −0.98 [−5.53, 9.23] | 0.34 [−14.26, 14.96] | −0.36 [−14.26, 9.63] | ||
| T3 vs. T2 | |||||
| D | Mean (SD) | −2.19 (3.76) | −0.2 (9.8) | −1.48 (6.26) | 0.681 |
| Median [Q1, Q3] | −2.53 [−5.26, 0.23] | −0.13 [−6.46, 7.76] | −1.6 [−5.33, 1.29] | ||
| AAV | Mean (SD) | −10.87 (28.74) | 30.95 (39.78) | 5.86 (38.56) | 0.056 |
| Median [Q1, Q3] | −5.12 [−19.86, −1.84] | 20.44 [−1.11, 49.74] | −1.84 [−5.33, 19.36] | ||
| ATV | Mean (SD) | −7.76 (49.54) | 27.15 (50.07) | 3.88 (50.84) | <0.001 |
| Median [Q1, Q3] | −16.14 [−32.81, −1.84] | 7.58 [−10.37, 47.93] | −10.37 [−20.82, 9.86] | ||
| ALV | Mean (SD) | −3.91 (28.28) | 6.53 (30.26) | −0.43 (28.31) | 0.752 |
| Median [Q1, Q3] | −0.98 [−5.53, 9.23] | 0.34 [−14.26, 14.96] | −0.36 [−14.26, 9.63] | ||
Disclaimer/Publisher’s Note: The statements, opinions and data contained in all publications are solely those of the individual author(s) and contributor(s) and not of MDPI and/or the editor(s). MDPI and/or the editor(s) disclaim responsibility for any injury to people or property resulting from any ideas, methods, instructions or products referred to in the content. |
© 2024 by the authors. Licensee MDPI, Basel, Switzerland. This article is an open access article distributed under the terms and conditions of the Creative Commons Attribution (CC BY) license (https://creativecommons.org/licenses/by/4.0/).
Share and Cite
De Masi, M.; Guivier-Curien, C.; Cortaredona, S.; Omnes, V.; Bal, L.; Muselier, B.; Bartoli, A.; Gaudry, M.; Piquet, P.; Deplano, V. The Value of Aortic Volume and Intraluminal Thrombus Quantification for Predicting Aortic Events after Endovascular Thoracic Aneurysm Repair. J. Clin. Med. 2024, 13, 2981. https://doi.org/10.3390/jcm13102981
De Masi M, Guivier-Curien C, Cortaredona S, Omnes V, Bal L, Muselier B, Bartoli A, Gaudry M, Piquet P, Deplano V. The Value of Aortic Volume and Intraluminal Thrombus Quantification for Predicting Aortic Events after Endovascular Thoracic Aneurysm Repair. Journal of Clinical Medicine. 2024; 13(10):2981. https://doi.org/10.3390/jcm13102981
Chicago/Turabian StyleDe Masi, Mariangela, Carine Guivier-Curien, Sébastien Cortaredona, Virgile Omnes, Laurence Bal, Baptiste Muselier, Axel Bartoli, Marine Gaudry, Philippe Piquet, and Valérie Deplano. 2024. "The Value of Aortic Volume and Intraluminal Thrombus Quantification for Predicting Aortic Events after Endovascular Thoracic Aneurysm Repair" Journal of Clinical Medicine 13, no. 10: 2981. https://doi.org/10.3390/jcm13102981
APA StyleDe Masi, M., Guivier-Curien, C., Cortaredona, S., Omnes, V., Bal, L., Muselier, B., Bartoli, A., Gaudry, M., Piquet, P., & Deplano, V. (2024). The Value of Aortic Volume and Intraluminal Thrombus Quantification for Predicting Aortic Events after Endovascular Thoracic Aneurysm Repair. Journal of Clinical Medicine, 13(10), 2981. https://doi.org/10.3390/jcm13102981

