Predictive Score for Advanced Colorectal Neoplasia Based on Cardiovascular and Colorectal Cancer Risk Factors
Abstract
1. Introduction
2. Materials and Methods
2.1. Study Design and Population
2.2. Ethical Considerations
2.3. Study Variables
2.4. Definitions
2.5. Calculation of Cardiovascular Risk
2.6. Statistical Analysis
3. Results
3.1. Clinical and Demographic Characteristics of the Derivation Cohort
3.2. Cardiovascular Risk in the Derivation Cohort
3.3. Predictive Capacity for Advanced CRN of the Cardiovascular Risk Scores
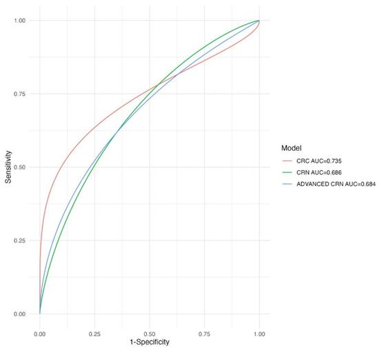
3.4. Predictive Capacity of the New Score
3.5. Internal and External Validation of the CRNAS
4. Discussion
Supplementary Materials
Author Contributions
Funding
Institutional Review Board Statement
Informed Consent Statement
Data Availability Statement
Conflicts of Interest
References
- World Health Organization (WHO). Global Health Estimates 2020: Deaths by Cause, Age, Sex, by Country and by Region, 2000–2019. WHO. 2020. Available online: http://who.int/data/gho/data/themes/mortality-and-global-health-estimates/ghe-leading-causes-of-death (accessed on 30 October 2023).
- Bray, F.; Ferlay, J.; Soerjomataram, I.; Siegel, R.L.; Torre, L.A.; Jemal, A. Global cancer statistics 2018: GLOBOCAN estimates of incidence and mortality worldwide for 36 cancers in 185 countries. CA Cancer J. Clin. 2018, 68, 394–424. [Google Scholar] [CrossRef]
- Arnold, M.; Sierra, M.S.; Laversanne, M.; Soerjomataram, I.; Jemal, A.; Bray, F. Global patterns and trends in colorectal cancer incidence and mortality. Gut 2017, 66, 683–691. [Google Scholar] [CrossRef]
- Patel, S.G.; May, F.P.; Anderson, J.C.; Burke, C.A.; Dominitz, J.A.; Gross, S.A.; Jacobson, B.C.; Shaukat, A.; Robertson, D.J. Updates on Age to Start and Stop Colorectal Cancer Screening: Recommendations From the U.S. Multi-Society Task Force on Colorectal Cancer. Gastroenterology 2022, 162, 285–299. [Google Scholar] [CrossRef]
- Siegel, R.L.; Miller, K.D.; Goding Sauer, A.; Fedewa, S.A.; Butterly, L.F.; Anderson, J.C.; Cercek, A.; Smith, R.A.; Jemal, A. Colorectal cancer statistics, 2020. CA Cancer J. Clin. 2020, 70, 145–164. [Google Scholar] [CrossRef]
- Botteri, E.; Borroni, E.; Sloan, E.K.; Bagnardi, V.; Bosetti, C.; Peveri, G.; Santucci, C.; Specchia, C.; van den Brandt, P.; Gallus, S.; et al. Smoking and Colorectal Cancer Risk, Overall and by Molecular Subtypes: A Meta-Analysis. Am. J. Gastroenterol. 2020, 115, 1940–1949. [Google Scholar] [CrossRef]
- Shen, X.; Wang, Y.; Zhao, R.; Wan, Q.; Wu, Y.; Zhao, L.; Wu, X. Metabolic syndrome and the risk of colorectal cancer: A systematic review and meta-analysis. Int. J. Colorectal. Dis. 2021, 36, 2215–2225. [Google Scholar] [CrossRef]
- Yang, S.Y.; Kim, Y.S.; Chung, S.J.; Song, J.H.; Choi, S.Y.; Park, M.J.; Yim, J.Y.; Lim, S.H.; Kim, D.; Kim, C.H.; et al. Association between colorectal adenoma and coronary atherosclerosis detected by CT coronary angiography in Korean men. J. Gastroenterol. Hepatol. 2010, 25, 1795–1799. [Google Scholar] [CrossRef]
- Hee, Y.J.; Bang, C.S.; Baik, G.H.; Shin, I.S.; Suk, K.T.; Park, T.Y.; Kim, D.J. Association between ischemic heart disease and colorectal neoplasm: A systematic review and meta-analysis. Springerplus 2016, 5, 1664. [Google Scholar] [CrossRef]
- Hueb, W.; Lopes, N.; Gersh, B.J.; Soares, P.R.; Ribeiro, E.E.; Pereira, A.C.; Favarato, D.; Rocha, A.S.C.; Hueb, A.C.; Ramires, J.A.F. Ten-year follow-up survival of the Medicine, Angioplasty, or Surgery Study (MASS II): A randomized controlled clinical trial of 3 therapeutic strategies for multivessel coronary artery disease. Circulation 2010, 122, 949–957. [Google Scholar] [CrossRef]
- Basyigit, S.; Ozkan, S.; Uzman, M.; Ertugrul, D.T.; Kefeli, A.; Aktas, B.; Yeniova, A.O.; Asilturk, Z.; Nazligul, Y.; Simsek, H.; et al. Should screening for colorectal neoplasm be recommended in patients at high risk for coronary heart disease: A cross-sectional study. Medicine 2015, 94, e793. [Google Scholar] [CrossRef]
- Niederseer, D.; Stadlmayr, A.; Huber-Schönauer, U.; Plöderl, M.; Schmied, C.; Lederer, D.; Patsch, W.; Aigner, E.; Datz, C. Cardiovascular Risk and Known Coronary Artery Disease Are Associated With Colorectal Adenoma and Advanced Neoplasia. J. Am. Coll. Cardiol. 2017, 69, 2348–2350. [Google Scholar] [CrossRef] [PubMed]
- Wohlfahrt, P.; Bruthans, J.; Krajčoviechová, A.; Šulc, P.; Linhart, A.; Filipovský, J.; Mayer, O., Jr.; Widimský, J., Jr.; Blaha, M.; Abrahámová, J.; et al. Systematic COronary Risk Evaluation (SCORE) and 20-year risk of cardiovascular mortality and cancer. Eur. J. Intern. Med. 2020, 79, 63–69. [Google Scholar] [CrossRef] [PubMed]
- Cubiella, J.; Marzo-Castillejo, M.; Mascort-Roca, J.J.; Amador-Romero, F.J.; Bellas-Beceiro, B.; Clofent-Vilaplana, J.; Carballal, S.; Ferrándiz-Santos, J.; Gimeno-García, A.Z.; Jover, R.; et al. Guía de práctica clínica. Diagnóstico y prevención del cáncer colorrectal. Actualización 2018. Gastroenterol. Hepatol. 2018, 41, 585–596. [Google Scholar] [CrossRef]
- Betés, M.; Muñoz-Navas, M.A.; Duque, J.M.; Angós, R.; Macías, E.; Súbtil, J.C.; Herraiz, M.; De La Riva, S.; Delgado-Rodríguez, M.; Martínez-González, M.A. Use of colonoscopy as a primary screening test for colorectal cancer in average risk people. Am. J. Gastroenterol. 2003, 98, 2648–2654. [Google Scholar]
- Cai, Q.-C.; Yu, E.-D.; Xiao, Y.; Bai, W.-Y.; Chen, X.; He, L.-P.; Yang, Y.-X.; Zhou, P.-H.; Jiang, X.-L.; Xu, H.-M.; et al. Derivation and validation of a prediction rule for estimating advanced colorectal neoplasm risk in average-risk Chinese. Am. J. Epidemiol. 2012, 175, 584–593. [Google Scholar] [CrossRef]
- WHO Classification of Tumours Editorial Board. WHO Classification of Tumours of the Digestive System, 5th ed.; IARC: Lyon, France, 2019; Volume 1. [Google Scholar]
- Piepoli, M.F.; Hoes, A.W.; Agewall, S.; Albus, C.; Brotons, C.; Catapano, A.L.; Cooney, M.-T.; Corrà, U.; Cosyns, B.; ESC Scientific Document Group; et al. 2016 European Guidelines on cardiovascular disease prevention in clinical practice: The Sixth Joint Task Force of the European Society of Cardiology and Other Societies on Cardiovascular Disease Prevention in Clinical Practice (constituted by representatives of 10 societies and by invited experts)Developed with the special contribution of the European Association for Cardiovascular Prevention & Rehabilitation (EACPR). Eur. Heart J. 2016, 37, 2315–2381. [Google Scholar]
- Mostaza, J.M.; Pintó, X.; Armario, P.; Masana, L.; Real, J.T.; Valdivielso, P.; Arrobas-Velilla, T.; Baeza-Trinidad, R.; Calmarza, P.; Cebollada, J.; et al. SEA 2022 Standards for Global Control of Cardiovascular Risk. Clin. Investig. Arterioscler. 2022, 34, 130–179. [Google Scholar] [PubMed]
- Wilson Peter, W.F.; D’agostino, R.; Levy, D.; Belanger, A.; Silbershatz, H.; Kannel, W. Prediction of Coronary Heart Disease Using Risk Factor categories. Circulation 1998, 97, 1837–1847. [Google Scholar] [CrossRef] [PubMed]
- Marrugat, J.; D’agostino, R.; Sullivan, L.; Elosua, R.; Wilson, P.; Ordovas, J.; Solanas, P.; Cordón, F.; Ramos, R.; Sala, J.; et al. An adaptation of the Framingham coronary heart disease risk function to European Mediterranean areas. J. Epidemiol. Community Health 2003, 57, 634–638. [Google Scholar] [CrossRef]
- Conroy, R.M.; Pyörälä, K.; Fitzgerald, A.P.; Sans, S.; Menotti, A.; De Backer, G.; De Bacquer, D.; Ducimetière, P.; Jousilahti, P.; Keil, U.; et al. Estimation of ten-year risk of fatal cardiovascular disease in Europe: The SCORE project. Eur. Heart J. 2003, 24, 987–1003. [Google Scholar] [CrossRef]
- Marrugat, J.; Subirana, I.; Ramos, R.; Vila, J.; Marín-Ibañez, A.; Guembe, M.J.; Rigo, F.; Díaz, M.J.T.; Moreno-Iribas, C.; Cabré, J.J.; et al. FRESCO Investigators. Derivation and validation of a set of 10-year cardiovascular risk predictive functions in Spain: The FRESCO Study. Prev. Med. 2014, 61, 66–74. [Google Scholar] [CrossRef] [PubMed]
- Equipo Central R. R. Un Lenguaje y Entorno Para la Computación Estadística; R Fundación para la Computación Estadística: Viena, Austria, 2019; Available online: http://www.R-project.org (accessed on 9 May 2023).
- Masoudkabir, F.; Sarrafzadegan, N.; Krahn, A.; Gotay, C.; Ignaszewski, A.; Krahn, A.D.; Davis, M.K.; Franco, C.; Mani, A. Cardiovascular disease and cancer: Evidence for shared disease pathways and pharmacologic prevention Cardiovascular disease and cancer: Evidence for shared disease pathways and pharmacologic prevention HHS Public Access. Atherosclerosis 2017, 263, 343–351. [Google Scholar] [PubMed]
- Quintero, E.; Carrillo, M.; Leoz, M.-L.; Cubiella, J.; Gargallo, C.; Lanas, A.; Bujanda, L.; Gimeno-García, A.Z.; Hernández-Guerra, M.; Oncology Group of the Asociación Española de Gastroenterología (AEG); et al. Risk of advanced neoplasia in first-degree relatives with colorectal cancer: A large multicenter cross-sectional study. PLoS Med. 2016, 13, e1002008. [Google Scholar] [CrossRef] [PubMed]
- Butterworth, A.S.; Higgins, J.P.T.; Pharoah, P. Relative and absolute risk of colorectal cancer for individuals with a family history: A meta-analysis. Eur. J. Cancer 2006, 42, 216–227. [Google Scholar] [CrossRef] [PubMed]
- Peng, L.; Weigl, K.; Boakye, D.; Brenner, H. Risk Scores for Predicting Advanced Colorectal Neoplasia in the Average-risk Population: A Systematic Review and Meta-analysis. Am. J. Gastroenterol. 2018, 113, 1788–1800. [Google Scholar] [CrossRef] [PubMed]
- Chen, Y.; Chen, X.; Wang, X.; Liu, Z.; Zhou, H.; Xu, S. Association of Cardiovascular Risk Assessment with Early Colorectal Neoplasia Detection in Asymptomatic Population: A Systematic Review and Meta-Analysis. Clin. Epidemiol. 2020, 12, 865–873. [Google Scholar] [CrossRef]
- Wernly, S.; Semmler, G.; Völkerer, A.; Rezar, R.; Datz, L.; Radzikowski, K.; Stickel, F.; Aigner, E.; Niederseer, D.; Wernly, B.; et al. Cardiovascular Risk Assessment by SCORE2 Predicts Risk for Colorectal Neoplasia and Tumor-Related Mortality. J. Pers. Med. 2022, 12, 848. [Google Scholar] [CrossRef] [PubMed]
- Kaminski, M.F.; Polkowski, M.; Kraszewska, E.; Rupinski, M.; Butruk, E.; Regula, J. A score to estimate the likelihood of detecting advanced colorectal neoplasia at colonoscopy. Gut 2014, 63, 1112–1119. [Google Scholar] [CrossRef] [PubMed]
- Jeon, J.; Du, M.; Schoen, R.E.; Hoffmeister, M.; Newcomb, P.A.; Berndt, S.I.; Caan, B.; Campbell, P.T.; Chan, A.T.; Chang-Claude, J.; et al. Determining risk of colorectal cancer and starting age of screening based on lifestyle, environmental, and genetic factors. Gastroenterology 2018, 154, 2152–2164. [Google Scholar] [CrossRef]
- Ibáñez-Sanz, G.; Díez-Villanueva, A.; Alonso, M.H.; Rodríguez-Moranta, F.; Pérez-Gómez, B.; Bustamante, M.; Martin, V.; Llorca, J.; Amiano, P.; Ardanaz, E.; et al. Risk Model for Colorectal Cancer in Spanish Population Using Environmental and Genetic Factors: Results from the MCC-Spain study. Sci. Rep. 2017, 7, 43263. [Google Scholar] [CrossRef]
- Gargallo-Puyuelo, C.J.; Aznar-Gimeno, R.; Carrera-Lasfuentes, P.; Lanas, Á.; Ferrández, Á.; Quintero, E.; Carrillo, M.; Alonso-Abreu, I.; Esteban, L.M.; de la Vega Rodrigálvarez-Chamarro, M.; et al. Predictive Value of Genetic Risk Scores in the Development of Colorectal Adenomas. Dig. Dis. Sci. 2022, 67, 4049–4058. [Google Scholar] [CrossRef] [PubMed]
- Wong, M.C.S.; Leung, E.Y.; Chun, S.C.C.; Wang, H.H.; Huang, J. Prediction of advanced colorectal neoplasia based on metabolic parameters among symptomatic patients. J. Gastroenterol. Hepatol. 2023, 38, 1576–1586. [Google Scholar] [CrossRef] [PubMed]
- Bertagnolli, M.M.; Eagle, C.J.; Zauber, A.G.; Redston, M.; Solomon, S.D.; Kim, K.; Tang, J.; Rosenstein, R.B.; Wittes, J.; APC Study Investigators; et al. Celecoxib for the prevention of sporadic colorectal adenomas. N. Engl. J. Med. 2006, 355, 873–884. [Google Scholar] [CrossRef] [PubMed]
- Arber, N.; Eagle, C.J.; Spicak, J.; Rácz, I.; Dite, P.; Hajer, J.; Zavoral, M.; Lechuga, M.J.; Gerletti, P.; Tang, J.; et al. Celecoxib for prevention of colorectal sporadic adenomatous polyps (PreSAP). N. Engl. J. Med. 2006, 355, 885–895. [Google Scholar] [CrossRef]


| Characteristics | Total Cohort (n = 1049) | No Neoplasia (n = 670) | Non-Advanced CRN (n = 151) | Advanced CRN (n = 228) | p-Value |
|---|---|---|---|---|---|
| Age (years) Median (Q1–Q3) | 58 (51.3–64.5) | 56 (49.2–63.7) | 59.5 (54.1–63.8) | 60.9 (54.7–66.4) | <0.001 |
| Sex: male | 463 (44%) | 238 (36%) | 82 (54%) | 143 (63%) | <0.001 |
| Tobacco | 0.056 | ||||
| Current smoker | 246 (33%) | 150 (22%) | 34 (23%) | 62 (27%) | |
| Former smoker | 216 (21%) | 125 (19%) | 34 (23%) | 57 (25%) | |
| Alcohol consumption | 368 (35%) | 200 (30%) | 67 (44%) | 101 (44%) | <0.001 |
| Obesity | 243 (25%) | 141 (22%) | 37 (28%) | 65 (30%) | 0.044 |
| Hypertension | 260 (25%) | 156 (23%) | 37 (25%) | 67 (29%) | 0.182 |
| Diabetes | 92 (9%) | 45 (7%) | 13 (9%) | 34 (15%) | <0.001 |
| Hypercholesterolemia | 567 (54%) | 367 (55%) | 91 (60%) | 109 (48%) | 0.048 |
| Hypertriglyceridemia | 115 (11%) | 70 (11%) | 11 (8%) | 34 (15%) | 0.058 |
| NSAID use | 484 (46%) | 323 (48%) | 71 (47%) | 90 (39%) | 0.071 |
| Antiplatelet use | 82 (8%) | 49 (7%) | 11 (7%) | 22 (10%) | 0.507 |
| First-degree family history of CRC | 375 (36%) | 259 (39%) | 43 (28%) | 73 (32%) | 0.026 |
| Second-degree family history of CRC | 133 (13%) | 90 (13%) | 17 (11%) | 26 (11%) | 0.621 |
| Characteristics | OR | 95% CI | p-Value |
|---|---|---|---|
| Sex: female | 0.40 | 0.29–0.56 | <0.001 |
| Age | 1.05 | 1.03–1.06 | <0.001 |
| Total cholesterol | 1 | 1–1 | 0.7 |
| HDL cholesterol | 1 | 0.99–1.01 | 0.7 |
| BMI | 0.99 | 0.95–1.03 | 0.5 |
| Systolic blood pressure | 1 | 0.99–1.02 | 0.6 |
| Diastolic blood pressure | 1 | 0.99–1.03 | 0.3 |
| Diabetes | 1.66 | 1–2.71 | 0.047 |
| Current smokers | 1.55 | 1.07–2.24 | 0.019 |
| Antihypertensive treatment | 0.82 | 0.55–1.21 | 0.3 |
| First-degree family history of CRC | 0.98 | 0.7–1.37 | >0.9 |
| Cardiovascular Risk Scores | Total Cohort (n = 1049) | No Neoplasia (n = 670) | Non-Advanced CRN (n = 151) | Advanced CRN (n = 228) | p-Value |
|---|---|---|---|---|---|
| Framingham–Wilson | 8.5 (5.1–12.5) | 7.9 (4.7–12) | 9.2 (6.6–13.4) | 9.3 (5.5–13.1) | <0.001 |
| REGICOR | 3.1 (1.9–4.7) | 2.8 (1.7–4.4) | 3.6 (2.4–5.2) | 3.6 (2.2–5.2) | <0.001 |
| SCORE | 0.7 (0.2–1.5) | 0.6 (0.2–1.4) | 0.6 (0.3–1.3) | 0.8 (0.3–1.7) | <0.001 |
| FRESCO Model A | 3.1 (1.6–4.7) | 3.1 (1.6–4.7) | 3 (1.6–4.2) | 3 (1.7–5.2) | 0.353 |
| FRESCO Model B | 3.2 (1.7–5.8) | 3 (1.5–5.5) | 3 (2.1–5.4) | 3.7 (2.2–7.2) | <0.001 |
| Predictive Capacity of Advanced CRN | ||
| Model | AUC Derivation Cohort (n = 1049) | AUC Validation Cohort (n = 308) |
| Framingham–Wilson | 0.55 (0.50–0.59) | 0.51 (0.41–0.61) |
| REGICOR | 0.56 (0.52–0.61) | 0.51 (0.42–0.61) |
| SCORE | 0.57 (0.53–0.62) | 0.58 (0.48–0.67) |
| FRESCO Model A | 0.55 (0.50–0.59) | 0.55 (0.45–0.64) |
| FRESCO Model B | 0.57 (0.53–0.61) | 0.58 (0.48–0.68) |
| CRNAS | 0.68 (0.64–0.73) | 0.67 (0.57–0.76) |
| Predictive Capacity of CRN | ||
| Model | AUC Derivation Cohort (n = 1049) | AUC Validation Cohort (n = 308) |
| Framingham–Wilson | 0.56 (0.52–0.6) | 0.59 (0.52–0.66) |
| REGICOR | 0.58 (0.54–0.62) | 0.59 (0.52–0.66) |
| SCORE | 0.55 (0.52–0.59) | 0.59 (0.52–0.66) |
| FRESCO Model A | 0.52 (0.48–0.56) | 0.58 (0.51–0.65) |
| FRESCO Model B | 0.55 (0.52–0.6) | 0.62 (0.55–0.69) |
| CRNAS | 0.69 (0.65–0.72) | 0.62 (0.55–0.69) |
| Predictive Capacity of CRC | ||
| Model | AUC Derivation Cohort (n = 1049) | AUC Validation Cohort (n = 308) |
| Framingham–Wilson | 0.56 (0.45–0.66) | 0.55 (0.4–0.7) |
| REGICOR | 0.57 (0.46–0.67) | 0.52 (0.38–0.67) |
| SCORE | 0.61 (0.5–0.71) | 0.63 (0.5–0.78) |
| FRESCO Model A | 0.64 (0.53–0.74) | 0.55 (0.4–0.7) |
| FRESCO Model B | 0.61 (0.51–0.72) | 0.56 (0.42–0.71) |
| CRNAS | 0.74 (0.63–0.84) | 0.74 (0.59–0.88) |
Disclaimer/Publisher’s Note: The statements, opinions and data contained in all publications are solely those of the individual author(s) and contributor(s) and not of MDPI and/or the editor(s). MDPI and/or the editor(s) disclaim responsibility for any injury to people or property resulting from any ideas, methods, instructions or products referred to in the content. |
© 2024 by the authors. Licensee MDPI, Basel, Switzerland. This article is an open access article distributed under the terms and conditions of the Creative Commons Attribution (CC BY) license (https://creativecommons.org/licenses/by/4.0/).
Share and Cite
Ruiz-Belmonte, L.M.; Carrera-Lasfuentes, P.; Cebollada-Solanas, A.; Scarpignato, C.; Lanas, A.; Gargallo-Puyuelo, C.J. Predictive Score for Advanced Colorectal Neoplasia Based on Cardiovascular and Colorectal Cancer Risk Factors. J. Clin. Med. 2024, 13, 2887. https://doi.org/10.3390/jcm13102887
Ruiz-Belmonte LM, Carrera-Lasfuentes P, Cebollada-Solanas A, Scarpignato C, Lanas A, Gargallo-Puyuelo CJ. Predictive Score for Advanced Colorectal Neoplasia Based on Cardiovascular and Colorectal Cancer Risk Factors. Journal of Clinical Medicine. 2024; 13(10):2887. https://doi.org/10.3390/jcm13102887
Chicago/Turabian StyleRuiz-Belmonte, Lara M., Patricia Carrera-Lasfuentes, Alberto Cebollada-Solanas, Carmelo Scarpignato, Angel Lanas, and Carla J. Gargallo-Puyuelo. 2024. "Predictive Score for Advanced Colorectal Neoplasia Based on Cardiovascular and Colorectal Cancer Risk Factors" Journal of Clinical Medicine 13, no. 10: 2887. https://doi.org/10.3390/jcm13102887
APA StyleRuiz-Belmonte, L. M., Carrera-Lasfuentes, P., Cebollada-Solanas, A., Scarpignato, C., Lanas, A., & Gargallo-Puyuelo, C. J. (2024). Predictive Score for Advanced Colorectal Neoplasia Based on Cardiovascular and Colorectal Cancer Risk Factors. Journal of Clinical Medicine, 13(10), 2887. https://doi.org/10.3390/jcm13102887

