Evaluation of the Effect of Morphological Structure on Dilatational Tracheostomy Interference Location and Complications with Ultrasonography and Fiberoptic Bronchoscopy
Abstract
1. Introduction
2. Materials and Methods
2.1. Trial Design and Ethics
2.2. Participants
2.3. Interventions
2.4. Data Collection
2.5. Outcomes
2.6. Statistical Analysis
2.6.1. Sample Size
2.6.2. Data Analysis
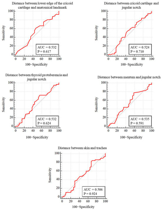
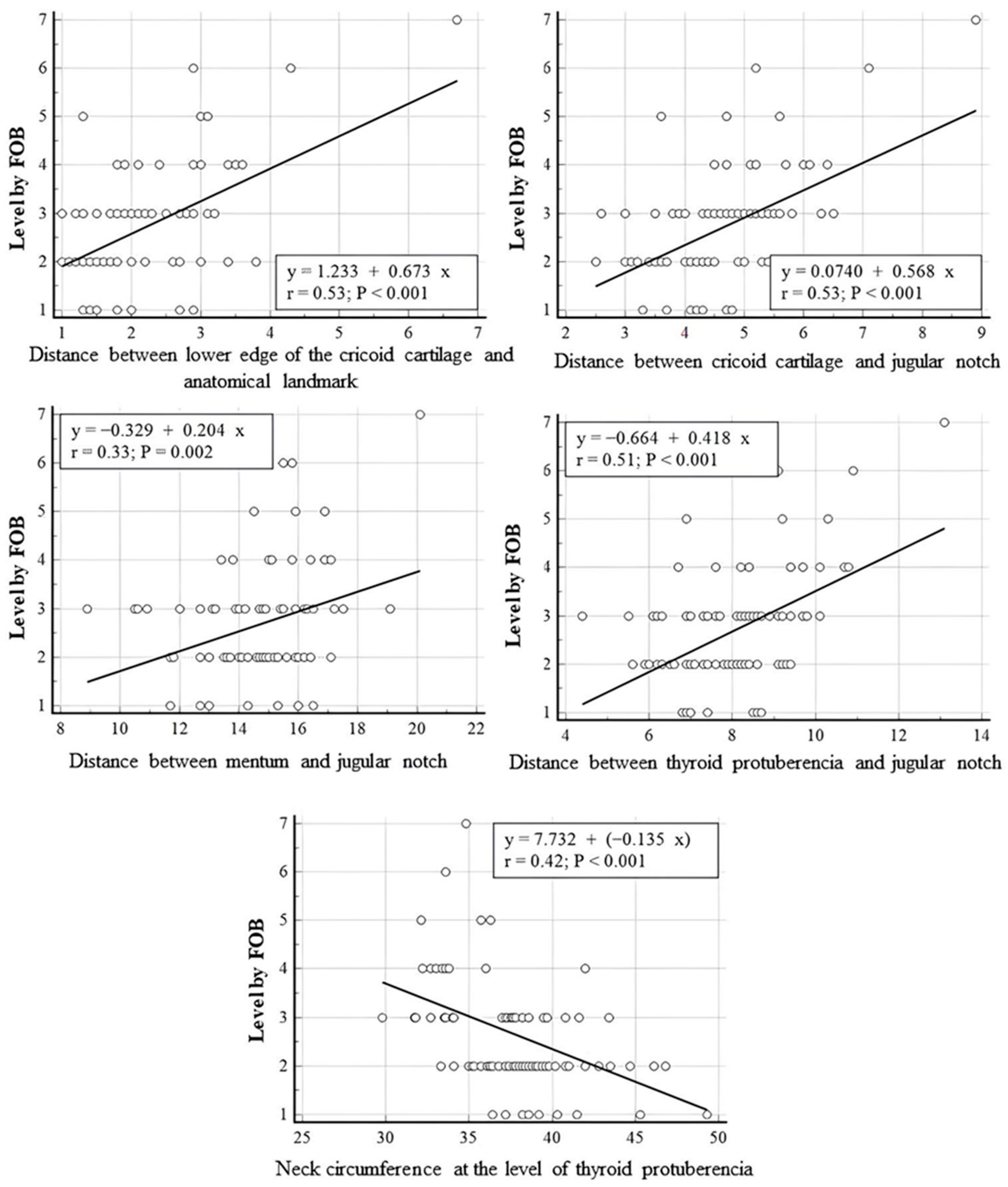
3. Results
4. Discussion
Supplementary Materials
Author Contributions
Funding
Institutional Review Board Statement
Informed Consent Statement
Data Availability Statement
Conflicts of Interest
References
- Khaja, M.; Haider, A.; Alapati, A.; Qureshi, Z.A.; Yapor, L. Percutaneous Tracheostomy: A Bedside Procedure. Cureus 2022, 14, e24083. [Google Scholar] [CrossRef] [PubMed]
- Ciaglia, P.; Firsching, R.; Syniec, C. Elective percutaneous dilatational tracheostomy. A new simple bedside procedure; preliminary report. Chest 1985, 87, 715–719. [Google Scholar] [CrossRef] [PubMed]
- Sanabria, A. Which percutaneous tracheostomy method is better? A systematic review. Respir. Care 2014, 59, 1660–1670. [Google Scholar] [CrossRef] [PubMed]
- Zouk, A.N.; Batra, H. Managing complications of percutaneous tracheostomy and gastrostomy. J. Thorac. Dis. 2021, 13, 5314–5330. [Google Scholar] [CrossRef] [PubMed]
- Sarper, A.; Ayten, A.; Eser, I.; Ozbudak, O.; Demircan, A. Tracheal stenosis aftertracheostomy or intubation: Review with special regard to cause and management. Tex. Heart Inst. J. 2005, 32, 154–158. [Google Scholar] [PubMed]
- Epstein, S.K. Late complications of tracheostomy. Respir. Care 2005, 50, 542–549. [Google Scholar] [PubMed]
- Rudas, M. The role of ultrasound in percutaneous dilatational tracheostomy. Australas. J. Ultrasound Med. 2012, 15, 143–148. [Google Scholar] [CrossRef]
- Mehta, C.; Mehta, Y. Percutaneous tracheostomy. Ann. Card. Anaesth. 2017, 20, S19–S25. [Google Scholar] [CrossRef] [PubMed]
- Saritas, A.; Kurnaz, M.M. Comparison of Bronchoscopy-Guided and Real-Time Ultrasound-Guided Percutaneous Dilatational Tracheostomy: Safety, Complications, and Effectiveness in Critically Ill Patients. J. Intensive Care Med. 2019, 34, 191–196. [Google Scholar] [CrossRef]
- Kost, K.M. Endoscopic percutaneous dilatational tracheotomy: A prospective evaluation of 500 consecutive cases. Laryngoscope 2005, 115, 1–30. [Google Scholar] [CrossRef]
- Kang, H.T.; Kim, S.Y.; Lee, M.K.; Lee, S.W.; Baek, A.; Park, K.N. Comparison Between Real-Time Ultrasound-Guided Percutaneous Tracheostomy and Surgical Tracheostomy in Critically Ill Patients. Crit. Care Res. Pract. 2022, 2022, 1388225. [Google Scholar] [CrossRef] [PubMed]
- Bermede, O.; Saricaoglu, M.C.; Baytas, V.; Hasde, A.I.; Inan, M.B.; Akar, A.R. Percutaneous ultrasound-guided versus bronchoscopy-guided dilatational tracheostomy after median sternotomy: A case-control study. Turk. J. Thorac. Cardiovasc. Surg. 2021, 29, 457–464. [Google Scholar] [CrossRef]
- Menegozzo, C.A.M.; Sorbello, C.C.J.; Santos, J.P., Jr.; Rasslan, R.; Damous, S.H.B.; Utiyama, E.M. Safe ultrasound-guided percutaneous tracheostomy in eight steps and necessary precautions in COVID-19 patients. Rev. Colégio Bras. Cir. 2022, 49, e20223202. [Google Scholar] [CrossRef] [PubMed]
- Elo, G.; Zubek, L.; Hargitai, Z.; Ivanyi, Z.; Branovics, J.; Gal, J. Prevention of tracheal cartilage injury with modified Griggs technique during percutaneous tracheostomy—Randomized controlled cadaver study. Interv. Med. Appl. Sci. 2012, 4, 206–209. [Google Scholar] [CrossRef] [PubMed][Green Version]
- Bodis, F.; Orosz, G.; Toth, J.T.; Szabo, M.; Elo, L.G.; Gal, J.; Elo, G. Percutaneous tracheostomy: Comparison of three different methods with respect to tracheal cartilage injury in cadavers-Randomized controlled study. Pathol. Oncol. Res. 2023, 29, 1610934. [Google Scholar] [CrossRef] [PubMed]
- Siddiqui, N.; Yu, E.; Boulis, S.; You-Ten, K.E. Ultrasound Is Superior to Palpation in Identifying the Cricothyroid Membrane in Subjects with Poorly Defined Neck Landmarks: A Randomized Clinical Trial. Anesthesiology 2018, 129, 1132–1139. [Google Scholar] [CrossRef] [PubMed]
- Ding, C.; Peng, H. Minimum redundancy feature selection from microarray gene expression data. J. Bioinform. Comput. Biol. 2005, 3, 185–205. [Google Scholar] [CrossRef]
- Remeseiro, B.; Bolon-Canedo, V. A review of feature selection methods in medical applications. Comput. Biol. Med. 2019, 112, 103375. [Google Scholar] [CrossRef] [PubMed]
- Liu, W.; Cheng, M.; Li, J.; Zhang, P.; Fan, H.; Hu, Q.; Han, M.; Su, L.; He, H.; Tong, Y.; et al. Classification of the Gut Microbiota of Patients in Intensive Care Units During Development of Sepsis and Septic Shock. Genom. Proteom. Bioinform. 2020, 18, 696–707. [Google Scholar] [CrossRef]
- Akoglu, H. User′s guide to correlation coefficients. Turk. J. Emerg. Med. 2018, 18, 91–93. [Google Scholar] [CrossRef]
- Papageorgiou, S.N. On correlation coefficients and their interpretation. J. Orthod. 2022, 49, 359–361. [Google Scholar] [CrossRef] [PubMed]
- Kumar, P.; Kumar, S.; Hussain, M.; Singh, R.; Ahmed, W.; Anand, R. Comparison of percutaneous tracheostomy methods in ICU patients: Conventional anatomical landmark method versus ultrasonography method—A randomised controlled trial. Indian J. Anaesth. 2022, 66, S207–S212. [Google Scholar] [CrossRef] [PubMed]
- Dugg, K.; Kathuria, S.; Gupta, S.; Gautam, P.L.; Singh, T.; Bansal, H. Comparison of landmark guided and ultrasound guided percutaneous dilatational tracheostomy: Efficiency, efficacy and accuracy in critically ill patients. J. Anaesthesiol. Clin. Pharmacol. 2022, 38, 281–287. [Google Scholar] [CrossRef] [PubMed]
- Alansari, M.; Alotair, H.; Al Aseri, Z.; Elhoseny, M.A. Use of ultrasound guidance to improve the safety of percutaneous dilatational tracheostomy: A literature review. Crit. Care 2015, 19, 229. [Google Scholar] [CrossRef] [PubMed]
- Guinot, P.G.; Zogheib, E.; Petiot, S.; Marienne, J.P.; Guerin, A.M.; Monet, P.; Zaatar, R.; Dupont, H. Ultrasound-guided percutaneous tracheostomy in critically ill obese patients. Crit. Care 2012, 16, R40. [Google Scholar] [CrossRef] [PubMed]
- Rajajee, V.; Fletcher, J.J.; Rochlen, L.R.; Jacobs, T.L. Real-time ultrasound-guided percutaneous dilatational tracheostomy: A feasibility study. Crit. Care 2011, 15, R67. [Google Scholar] [CrossRef] [PubMed]
- Kundra, P.; Mishra, S.K.; Ramesh, A. Ultrasound of the airway. Indian J. Anaesth. 2011, 55, 456–462. [Google Scholar] [CrossRef] [PubMed]
- Tremblay, L.N.; Scales, D.C. Ultrasound-guided tracheostomy—Not for the many, but perhaps the few… or the one. Crit. Care 2011, 15, 147. [Google Scholar] [CrossRef] [PubMed][Green Version]
- Hashimoto, D.A.; Axtell, A.L.; Auchincloss, H.G. Percutaneous Tracheostomy. N. Engl. J. Med. 2020, 383, e112. [Google Scholar] [CrossRef]
- Gadkaree, S.K.; Schwartz, D.; Gerold, K.; Kim, Y. Use of Bronchoscopy in Percutaneous Dilational Tracheostomy. JAMA Otolaryngol. Head Neck Surg. 2016, 142, 143–149. [Google Scholar] [CrossRef]
- Ghattas, C.; Alsunaid, S.; Pickering, E.M.; Holden, V.K. State of the art: Percutaneous tracheostomy in the intensive care unit. J. Thorac. Dis. 2021, 13, 5261–5276. [Google Scholar] [CrossRef]
- Chung, W.; Kim, B.M.; Park, S.I. Simply modified percutaneous tracheostomy using the Cook(R) Ciaglia Blue Rhino: A case series. Korean J. Anesth. 2016, 69, 301–304. [Google Scholar] [CrossRef] [PubMed]
- Park, J.; Chung, W.; Song, S.; Kim, Y.H.; Lim, C.S.; Ko, Y.; Yun, S.; Park, H.; Park, S.; Hong, B. Identifying the ideal tracheostomy site based on patient characteristics during percutaneous dilatational tracheostomy without bronchoscopy. Korean J. Anesth. 2019, 72, 233–237. [Google Scholar] [CrossRef] [PubMed]
- Gobatto, A.L.N.; Besen, B.; Tierno, P.; Mendes, P.V.; Cadamuro, F.; Joelsons, D.; Melro, L.; Carmona, M.J.C.; Santori, G.; Pelosi, P.; et al. Ultrasound-guided percutaneous dilational tracheostomy versus bronchoscopy-guided percutaneous dilational tracheostomy in critically ill patients (TRACHUS): A randomized noninferiority controlled trial. Intensive Care Med. 2016, 42, 342–351. [Google Scholar] [CrossRef]
- Anon, J.M.; Arellano, M.S.; Perez-Marquez, M.; Diaz-Alvarino, C.; Marquez-Alonso, J.A.; Rodriguez-Pelaez, J.; Nanwani-Nanwani, K.; Martin-Pellicer, A.; Civantos, B.; Lopez-Fernandez, A.; et al. The role of routine FIBERoptic bronchoscopy monitoring during percutaneous dilatational TRACHeostomy (FIBERTRACH): A study protocol for a randomized, controlled clinical trial. Trials 2021, 22, 423. [Google Scholar] [CrossRef] [PubMed]
- Shen, G.; Yin, H.; Cao, Y.; Zhang, M.; Wu, J.; Jiang, X.; Yu, T.; Lu, W. Percutaneous dilatational tracheostomy versus fibre optic bronchoscopy-guided percutaneous dilatational tracheostomy in critically ill patients: A randomised controlled trial. Ir. J. Med. Sci. 2019, 188, 675–681. [Google Scholar] [CrossRef]
- Yaghoubi, S.; Massoudi, N.; Fathi, M.; Nooraei, N.; Khezri, M.B.; Abdollahi, S. Performing Percutaneous Dilational Tracheostomy without using Fiberoptic Bronchoscope. Tanaffos 2020, 19, 60–65. [Google Scholar] [PubMed]
- Reilly, P.M.; Sing, R.F.; Giberson, F.A.; Anderson, H.L., 3rd; Rotondo, M.F.; Tinkoff, G.H.; Schwab, C.W. Hypercarbia during tracheostomy: A comparison of percutaneous endoscopic, percutaneous Doppler, and standard surgical tracheostomy. Intensive Care Med. 1997, 23, 859–864. [Google Scholar] [CrossRef]
- Grensemann, J.; Eichler, L.; Kahler, S.; Jarczak, D.; Simon, M.; Pinnschmidt, H.O.; Kluge, S. Bronchoscopy versus an endotracheal tube mounted camera for the peri-interventional visualization of percutaneous dilatational tracheostomy—A prospective, randomized trial (VivaPDT). Crit. Care 2017, 21, 330. [Google Scholar] [CrossRef]
- Tariparast, P.A.; Brockmann, A.; Hartwig, R.; Kluge, S.; Grensemann, J. Percutaneous dilatational tracheostomy with single use bronchoscopes versus reusable bronchoscopes—A prospective randomized trial (TraSUB). BMC Anesth. 2022, 22, 90. [Google Scholar] [CrossRef]
- Karagiannidis, C.; Merten, M.L.; Heunks, L.; Strassmann, S.E.; Schafer, S.; Magnet, F.; Windisch, W. Respiratory acidosis during bronchoscopy-guided percutaneous dilatational tracheostomy: Impact of ventilator settings and endotracheal tube size. BMC Anesth. 2019, 19, 147. [Google Scholar] [CrossRef]
- Cipriano, A.; Mao, M.L.; Hon, H.H.; Vazquez, D.; Stawicki, S.P.; Sharpe, R.P.; Evans, D.C. An overview of complications associated with open and percutaneous tracheostomy procedures. Int. J. Crit. Illn. Inj. Sci. 2015, 5, 179–188. [Google Scholar] [CrossRef] [PubMed]
- Schmidt, U.; Hess, D.; Kwo, J.; Lagambina, S.; Gettings, E.; Khandwala, F.; Bigatello, L.M.; Stelfox, H.T. Tracheostomy tube malposition in patients admitted to a respiratory acute care unit following prolonged ventilation. Chest 2008, 134, 288–294. [Google Scholar] [CrossRef] [PubMed]
- Polderman, K.H.; Spijkstra, J.J.; de Bree, R.; Christiaans, H.M.; Gelissen, H.P.; Wester, J.P.; Girbes, A.R. Percutaneous dilatational tracheostomy in the ICU: Optimal organization, low complication rates, and description of a new complication. Chest 2003, 123, 1595–1602. [Google Scholar] [CrossRef]
- Karvandian, K.; Mahmoodpoor, A.; Mohammadi, M.; Beigmohammadi, M.; Jafarzadeh, A. Tracheal cartilage fracture with the percutaneous dilatational tracheostomy, Ciaglia method. Middle East J. Anaesthesiol. 2009, 20, 307–308. [Google Scholar] [PubMed]
- Pauken, C.M.; Heyes, R.; Lott, D.G. Mechanical, Cellular, and Proteomic Properties of Laryngotracheal Cartilage. Cartilage 2019, 10, 321–328. [Google Scholar] [CrossRef] [PubMed]
- Zias, N.; Chroneou, A.; Tabba, M.K.; Gonzalez, A.V.; Gray, A.W.; Lamb, C.R.; Riker, D.R.; Beamis, J.F., Jr. Post tracheostomy and post intubation tracheal stenosis: Report of 31 cases and review of the literature. BMC Pulm. Med. 2008, 8, 18. [Google Scholar] [CrossRef]
- Jacobs, J.V.; Hill, D.A.; Petersen, S.R.; Bremner, R.M.; Sue, R.D.; Smith, M.A. “Corkscrew stenosis”: Defining and preventing a complication of percutaneous dilatational tracheostomy. J. Thorac. Cardiovasc. Surg. 2013, 145, 716–720. [Google Scholar] [CrossRef][Green Version]
- Jung Kwon, O.; Young Suh, G.; Pyo Chung, M.; Kim, J.; Han, J.; Kim, H. Tracheal stenosis depends on the extent of cartilaginous injury in experimental canine model. Exp. Lung Res. 2003, 29, 329–338. [Google Scholar] [CrossRef]
- Simon, M.; Metschke, M.; Braune, S.A.; Puschel, K.; Kluge, S. Death after percutaneous dilatational tracheostomy: A systematic review and analysis of risk factors. Crit. Care 2013, 17, R258. [Google Scholar] [CrossRef]
- Shin, D.; Ma, A.; Chan, Y. A Retrospective Review of 589 Percutaneous Tracheostomies in a Canadian Community Teaching Hospital. Ear Nose Throat J. 2023, 102, NP474–NP480. [Google Scholar] [CrossRef] [PubMed]
- Karasu, D.; Yılmaz, C.; Baytar, Ç.; Korfalı, G. Retrospective Analysis of Percutaneous Tracheostomi Cases in Intensive Care Unit. Turk. J. Intensive Care 2018, 16, 83–87. [Google Scholar] [CrossRef]






| Parameters | n = 91 |
|---|---|
| Age, years | 57.3 ± 19.7 |
| Gender, male | 66 (72.5%) |
| BMI, kg/m2 | 26.8 ± 4.6 |
| APACHE-II score | 21.2 ± 6.6 |
| Comorbidities | |
| Hypertension | 40 (43.9%) |
| Diabetes mellitus | 38 (41.7%) |
| Chronic lung disease | 20 (21.9%) |
| Chronic heart disease | 11 (12%) |
| Chronic kidney disease | 11 (12%) |
| Cerebrovascular disease | 8 (0.8%) |
| Need for mechanical ventilation on admission | |
| No | 26 (28.6%) |
| Yes | 65 (71.4%) |
| Reason of ICU admission | |
| Neuromuscular disease | 4 (4.4%) |
| Multitrauma (excluding cerebral damage) | 7 (7.7%) |
| Ischemic/hemorrhagic brain injury | 55 (60.4%) |
| Pulmonary disease | 14 (15.4%) |
| Others | 11 (12.1%) |
| Duration of mechanical ventilation before PDT, day | 11.2 ± 5.8 |
| Lenth of stay in ICU (entire duration), day | 40.8 ± 23.5 |
| Variables | USG-FOB Inconsistent (n = 34) | USG-FOB Consistent (n = 57) | p Value |
|---|---|---|---|
| Age, years | 59.4 ± 18.2 | 56 ± 20.6 | 0.426 |
| Gender, male | 22 (61.1%) | 44 (80%) | 0.070 |
| BMI, kg/m2 | 27.2 ± 4 | 26.6 ± 4.9 | 0.550 |
| Neck extension limitation | 2 (5.6%) | 5 (9.1%) | 0.542 |
| Tracheal deviation | 9 (25%) | 9 (16.4%) | 0.312 |
| Neck circumference (thyroid prominence level), cm | 36.9 ± 2.8 | 37.8 ± 4 | 0.284 |
| Neck circumference (clavicle level), cm | 37.6 ± 3 | 38.4 ± 3.8 | 0.302 |
| Distance between mentum and hyoid, cm | 4.5 ± 0.7 | 4.5 ± 0.9 | 0.769 |
| Distance between hyoid-thyroid prominence, cm | 2.1 ± 0.7 | 2.2 ± 0.6 | 0.562 |
| Between the thyroid prominence and the upper edge of the thyroid cartilage, cm | 2.1 ± 0.6 | 2.1 ± 0.5 | 0.822 |
| Cricoid cartilage thickness, cm | 1.3 ± 0.3 | 2.1 ± 0.7 | 0.620 |
| Distance between lower edge of cricoid cartilage and anatomical landmark, cm | 2.1 ± 0.7 | 2.1 ± 0.9 | 0.922 |
| Distance between anatomical landmark and jugular notch, cm | 2.4 ± 0.5 | 2.5 ± 0.5 | 0.868 |
| Distance between mentum and jugular notch, cm | 14.6 ± 1.9 | 14.5-2.3 | 0.804 |
| Distance between lower edge of cricoid cartilage and jugular notch, cm | 4.6 ± 1.1 | 4.5 ± 1.1 | 0.978 |
| Distance between mentum and upper edge of cricoid cartilage, cm | 8.7 ± 1.5 | 8.8 ± 1.3 | 0.711 |
| Distance between thyroid prominence and jugular notch, cm | 8 ± 1.5 | 7.9 ± 1.4 | 0.836 |
| Distance from skin to trachea, cm | 1.4 ± 0.4 | 1.4 ± 0.3 | 0.874 |
| Transverse diameter of the trachea, cm | 1.8 ± 0.3 | 1.8 ± 0.2 | 0.626 |
| Variables | All Patients (n = 91) | BMI > 30 kg/m² | Short Neck * | Thick Neck ** | TM Distance < 6 cm | HM Distance < 4 cm |
|---|---|---|---|---|---|---|
| Number of patients | 91 | 19 | 7 | 10 | 24 | 22 |
| BMI, kg/m2 | 26.8 ± 4.6 | 33.4 ± 3.8 | 27.7 ± 3.6 | 28.8 ± 2.9 | 29.3 ± 6.1 | 28.6 ± 5.9 |
| Height, cm | 169.1 ± 10 | 164 ± 11.6 | 157.7 ± 10 | 177 ± 7 | 164.5 ± 12.2 | 167.5 ± 117 |
| Neck circumference (thyroid prominence level), cm | 37.4 ± 3.6 | 38.7 ± 4.8 | 36.4 ± 3.7 | 44.6 ± 2.3 | 36.6 ± 3.6 | 37.2 ± 3.4 |
| TM distance, cm | 6.68 ± 1.1 | 6.4 ± 1.1 | 4.95 ± 0.5 | 7.22 ± 1 | 5.6 ± 0.5 | 5.4 ± 0.8 |
| HM distance, cm | 4.5 ± 0.9 | 4.5 ± 0.9 | 3.51 ± 0.5 | 5.01 ± 1 | 3.6 ± 0.6 | 4.9 ± 0.4 |
| Neck length, cm | 14.71 ± 2 | 14.12 ± 2.2 | 10.87 ± 1 | 14.61 ± 1.4 | 12.8 ± 1.7 | 13.1 ± 1.9 |
| Tracheal depth (USG), cm | 1.4 ± 0.3 | 1.5 ± 0.3 | 1.6 ± 0.4 | 1.65 ± 0.4 | 1.46 ± 0.4 | 1.43 ± 0.4 |
| Tracheal depth(dilator), cm | 2.8 ± 0.4 | 3.05 ± 1 | 3.14 ± 1 | 3.37 ± 1.5 | 2.69 ± 0.8 | 2.63 ± 0.7 |
| Number of punctures | 2 | 2 | 1 | 1 | 1 | 1 |
| Punture site (level of intercartilaginous) | 2 | 2 | 3 | 2 | 3 | 3 |
| Procedure time (sec) | 460.3 ± 163 | 475.5 ± 163.5 | 451.4 ± 160 | 530.7 ± 250 | 424.5 ± 144 | 393.2 ± 128.6 |
| Tracheal deviation | 18 (19.8%) | 5 (26.3%) | 0 | 2 (20%) | 4 (16.7%) | 2 (9.1%) |
| Preoperative | Postoperative | p Value | |
|---|---|---|---|
| pH * | 7.51 ± 0.54 | 7.49 ± 0.07 | 0.006 |
| PO2 ** | 125.5 ± 43.2 | 114.2 ± 37.4 | 0.009 |
| PCO2 *** | 33.3 ± 6.6 | 35.6 ± 9.3 | 0.008 |
| Lactate | 1.6 ± 0.9 | 1.6 ± 0.8 | 0.486 |
| P/F **** | 318.7 ± 132 | 279.4 ± 136.1 | 0.002 |
| Intraoperative Complications | |
| Cartilage fracture | 16 (17.6%) |
| Bleeding | 11 (12.1%) |
| Desaturation | 1 (1.1%) |
| Postoperative Complications | |
| Bleeding | 13 (14.3%) |
| Subcutaneous emphysema | 1 (1.1%) |
| Tracheostomy site infection | 1 (1.1%) |
| Tracheoesophageal fistula | 1 (1.1%) |
Disclaimer/Publisher’s Note: The statements, opinions and data contained in all publications are solely those of the individual author(s) and contributor(s) and not of MDPI and/or the editor(s). MDPI and/or the editor(s) disclaim responsibility for any injury to people or property resulting from any ideas, methods, instructions or products referred to in the content. |
© 2024 by the authors. Licensee MDPI, Basel, Switzerland. This article is an open access article distributed under the terms and conditions of the Creative Commons Attribution (CC BY) license (https://creativecommons.org/licenses/by/4.0/).
Share and Cite
Bulut, E.; Arslan Yildiz, U.; Cengiz, M.; Yilmaz, M.; Kavakli, A.S.; Arici, A.G.; Ozturk, N.; Uslu, S. Evaluation of the Effect of Morphological Structure on Dilatational Tracheostomy Interference Location and Complications with Ultrasonography and Fiberoptic Bronchoscopy. J. Clin. Med. 2024, 13, 2788. https://doi.org/10.3390/jcm13102788
Bulut E, Arslan Yildiz U, Cengiz M, Yilmaz M, Kavakli AS, Arici AG, Ozturk N, Uslu S. Evaluation of the Effect of Morphological Structure on Dilatational Tracheostomy Interference Location and Complications with Ultrasonography and Fiberoptic Bronchoscopy. Journal of Clinical Medicine. 2024; 13(10):2788. https://doi.org/10.3390/jcm13102788
Chicago/Turabian StyleBulut, Esin, Ulku Arslan Yildiz, Melike Cengiz, Murat Yilmaz, Ali Sait Kavakli, Ayse Gulbin Arici, Nihal Ozturk, and Serkan Uslu. 2024. "Evaluation of the Effect of Morphological Structure on Dilatational Tracheostomy Interference Location and Complications with Ultrasonography and Fiberoptic Bronchoscopy" Journal of Clinical Medicine 13, no. 10: 2788. https://doi.org/10.3390/jcm13102788
APA StyleBulut, E., Arslan Yildiz, U., Cengiz, M., Yilmaz, M., Kavakli, A. S., Arici, A. G., Ozturk, N., & Uslu, S. (2024). Evaluation of the Effect of Morphological Structure on Dilatational Tracheostomy Interference Location and Complications with Ultrasonography and Fiberoptic Bronchoscopy. Journal of Clinical Medicine, 13(10), 2788. https://doi.org/10.3390/jcm13102788

