Abstract
Background: The Inflammatory Bowel Disease-Disk (IBD-Disk) is a physician-administered tool that evaluates the functional status of patients with Inflammatory Bowel Disease (IBD). The aim of our study was to validate the content of the IBD-Disk in a Greek cohort of IBD patients. Methods: Two questionnaires [the IBD Disk and the IBD-Disability Index (IBD-DI)] were translated into Greek and administered to IBD patients at baseline visit, after 4 weeks and 6 months. Validation of the IBD Disk included measuring of concurrent validity, reproducibility, and internal consistency. Results: A total of 300 patients were included at baseline and 269 at follow-up. There was a good correlation between the total scores of the IBD-Disk and IBD-DI at baseline (Pearson correlation 0.87, p < 0.001). Reproducibility of the total IBD-Disk score was very good [intra-class correlation coefficient (ICC), 95% confidence interval (CI) 0.89 (0.86–0.91)]. Cronbach’s coefficient alpha for all items achieved 0.90 (95%CI 0.88–0.92), demonstrating a very good homogeneity of the IBD-Disk items. Female gender and extraintestinal manifestations were significantly associated with a higher IBD-Disk total score. Conclusions: The Greek version of the IBD-Disk proved to be a reliable and valid tool in detecting and assessing IBD-related disability in a Greek cohort of IBD patients.
1. Introduction
Inflammatory bowel diseases (IBD), comprising ulcerative colitis (UC) and Crohn’s disease (CD), are lifelong conditions with growing incidence and prevalence worldwide. IBD is characterized by a chronic relapsing—remitting, or continuously active course and may impact tremendously on patients’ personal, familial, social, and professional life affecting the overall quality of life (QoL). Thus, early onset of intensive treatment is often required to avoid complications, hospital admissions and/or surgical interventions to prevent irreversible bowel damage, IBD-related disability, maintain at least a near-to-normal QoL [,,,].
The ′IBD Disability Index’ (IBD-DI) was the first tool developed in collaboration with the World Health Organization (WHO) in an attempt to quantify disability. Disability is a patient-reported outcome that is defined by an objective limitation of function, and it is becoming a more important goal of IBD treatment. The IBD-DI is a physician-administered tool used to assess the functional status of IBD patients [,]. It is a 28-item validated questionnaire that covers all aspects of disability. A recent systematic review and meta-analysis concluded that the IBD-DI questionnaire is reliable and valid []. Although it provides a robust means of assessing IBD-related disability, it needs to be administered by a health care professional, is time-consuming, and thus mainly reserved for use in clinical trials. As a result, its complexity limits its use in routine clinical practice. To address this limitation, the IBD-Disk, a shortened, patient-friendly adaptation of the IBD-DI, was recently developed through a consensus-based process to provide a simple and quick method of assessing the level of disability experienced by patients with IBD []. The IBD-Disk is a 10-item visual instrument, exploring the general state of abdominal pain, body image, education and work, emotions, energy, interpersonal interactions, joint pain, defecation regulation, sexual functions, and sleep. Patients rate the previous ten items on an 11-point visual analogue scale ranging from 0 to 10, where 0 means “absolutely disagree” and 10 means “absolutely agree”, with an overall sum ranging from 0 to 100. The points on the disk are then connected to form a polygon. The area of the polygon can be interpreted as the size of the disease’s burden. As a result, this new tool provides the physician and patient with a visual representation of the disease burden at a given time, and it can also be used to demonstrate changes in disease burden over time by examining changes in the polygon.
The IBD-Disk has already been tested successfully in IBD patients in France and Portugal [,]. However, in different countries, patient acceptability, understanding, and response to self-administered tools such as IBD-disk are influenced by local socioeconomic factors, cultural trends, and medical systems [,]. As IBD behaves differently in ethnic groups, IBD-disk requires a cultural adaptation and translation process in other languages. Thus, in this study we aimed to develop a validated Greek version of the IBD-Disk.
2. Materials and Methods
2.1. Study Population and Design
This prospective multicenter cohort study was conducted in 19 Greek IBD referral centers. Patient recruitment was initiated on 1 September 2019, and ended on 31 July 2020, while patients’ follow-up was completed in October 2020. Adult patients with an established diagnosis of IBD were identified and recruited consecutively in the outpatient department of each center. Patients with an uncertain diagnosis, relevant psychiatric comorbidities that might influence disability, inability to complete the questionnaires, insufficient knowledge of Greek language, and refusal to participate were excluded.
This study was based on the COSMIN (COnsensus-based Standards for the selection of health Measurement INstruments) checklist, a validated tool developed to evaluate the methodological quality of studies, which explore measurement properties of patient reported outcomes and as guidance for designing them [,,]. The protocol was approved by the research Ethics Committee at each participating center. The study was conducted under Good Clinical Practice Guidelines and the ethical principles of the Declaration of Helsinki.
2.2. Translation and Cross-Cultural Adaptation
After receiving authorization from the developers of the IBD-Disk, the original version was translated backward-forward in Greek as the instrument was developed in English (Table S1). This step included forward translation by two expert native Greek translators followed by backward translation by two expert English native translators with synthesis of the two versions after each step by an expert committee. Then the translated IBD-Disk was pretested by 5 IBD patients to check the items’ interpretation, ease of comprehension, and cultural relevance. No significant modification was needed as the questionnaire was noted as simple, clear, and easy to complete during the pretest.
2.3. Questionnaire Administration and Data Collection Procedures
After providing informed consent, patients were administered the questionnaire (IBD-Disk) by a health care provider. For validation purposes, patients were also asked to complete the IBD-DI questionnaire. Four weeks and 6 months after the initial visit, patients completed an identical IBD-Disk questionnaire. All questionnaires were self-completed by the patients. The following characteristics were collected at baseline and during subsequent visits (those modifiable): patients’ age, gender, smoking status, disease phenotype according to Montreal classification, prior IBD-related surgery, IBD-related medical therapy, extraintestinal manifestations and clinical disease activity assessed by the Harvey Bradshaw Index (HBI) for CD and the partial Mayo score for UC [,].
The IBD–Disk consists of 10 questions, exploring the general state of abdominal pain, interpersonal interactions, body image, emotions, energy, joint pain, defecation regulation, education and work, sexual functions, and sleep. The answers are marked on 11-point visual analogue scales, from 0 to 10, where 0 means “absolutely disagree” and 10 means “absolutely agree” with an overall sum ranging from 0 to 100. The total IBD-DI score was calculated using the following formula: overall sum × 100/(p × 4), in which p indicated the number of questions answered. A higher score was associated with a worse level of disability [].
2.4. Statistical Analysis
The sample size was determined according to feasibility criteria, which suggests that a total of 10 subjects are needed per item for validation of the questionnaire []. Since the IBD-Disk questionnaire consists of 10 items, a sample size of 100 subjects was set as a minimum requirement. We increased the sample to 300 patients, expecting a high rate of loss to follow-up, as is usually observed in studies with similar design.
Continuous variables were presented with mean values ± standard deviation, whereas for categorical variables frequencies and percentages were used. To assess the concurrent validity of the total IBD-Disk score, Pearson’s correlation coefficient between the IBD-Disk and the IBD-DI total score was calculated. To assess the concurrent validity per item, box plot figures were created displaying the IBD-Disk scores per item (0–10) according to corresponding IBD-DI responses. Moreover, univariate linear regression analysis was used to compute regression coefficients (beta coefficients) and their 95% confidence intervals (95%CI). A regression coefficient significantly different from zero was considered as exhibiting good consistency between the IBD-Disk and IBD-DI items. To assess test-retest reliability, the intra-class correlation coefficient (ICC) and its 95%CI for each IBD-Disk item and the total score were calculated. An ICC value between 0.75–0.90 was considered as good and a value above 0.90 as excellent []. Internal consistency of the IBD-Disk was assessed using Cronbach’s coefficient alpha between combinations of items. A value between 0.70–0.80 was considered as acceptable, 0.80–0.90 as good and above 0.90 as excellent [].
Linear regression analysis was used for the association of clinical factors with the IBD-Disk total score at baseline in the total sample. Factors with a p-value < 0.2 in the univariate analysis were entered into a multivariate regression model. The same analysis was run separately for patients with CD and UC.
Change in the IBD-Disk total score between baseline and follow-up visits according to disease activity was assessed using paired t-test. Disease was defined as active if the HBI score was > 4 or partial Mayo score ≥ 2. Four groups of patients were formed according to disease activity: patients inactive at both visits, active at baseline becoming inactive at follow-up, active at both visits, inactive at baseline becoming active at follow-up. Differences among these groups were tested in the total sample and separately in patients with CD and UC, using Chi-squared test.
Logistic regression analysis was used for the association of any change in different IBD-Disk items with disease relapse. Disease relapse was defined as if IBD was inactive at baseline visit and became active at follow-up. Items with a p-value < 0.2 in the univariate analysis were entered into a multivariate regression model. The same analysis was run separately for patients with CD and UC.
Statistical analysis was performed using IBM SPSS software (IBM Corp. Released 2019. IBM SPSS Statistics for Windows, Version 26.0. Armonk, NY: IBM Corp, New York, NY, USA) and the significance level was set at α = 0.05.
3. Results
3.1. Patient Characteristics
In total, 370 patients were initially screened for inclusion in the study. Seventy patients were excluded due to at least one missing value in one of the two questionnaires. Thus, the population under evaluation consisted of 300 patients (199 patients diagnosed with CD, 101 with UC) at baseline visit and of 269 (177 patients diagnosed with CD, 92 with UC) at both follow-up visits. Clinical and demographic characteristics are reported in Table 1. At baseline, the mean IBD-Disk score was 27.24 ± 22.76, and the mean IBD-DI score was 25.68 ± 19.33. The mean age was 41.3 ± 13.7 years and 161 patients (53.7%) were males. One hundred thirty-five CD patients (69.6%) and 72 UC patients (72.0%) were in clinical remission at baseline visit. Medications for IBD at baseline included aminosalicylates in 96 (32%), steroids in 39 (13%), immunosuppressants in 85 (28.3%) and biologics in 237 (79%) patients, respectively. In total, 36 patients (12%) had undergone at least one IBD-related surgery. Extraintestinal manifestations were reported in 120 patients (40%).

Table 1.
Clinical characteristics of the study participants at baseline (n = 300).
3.2. Validity of the IBD-Disk Score
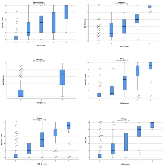
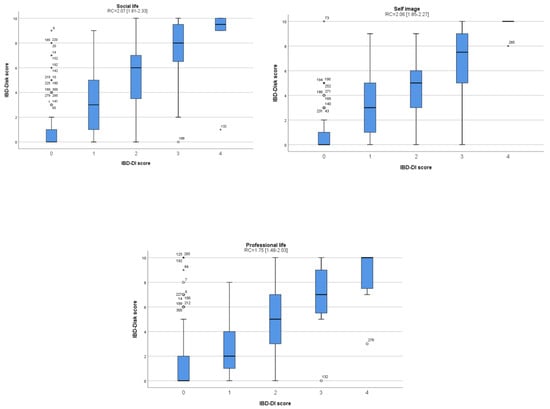
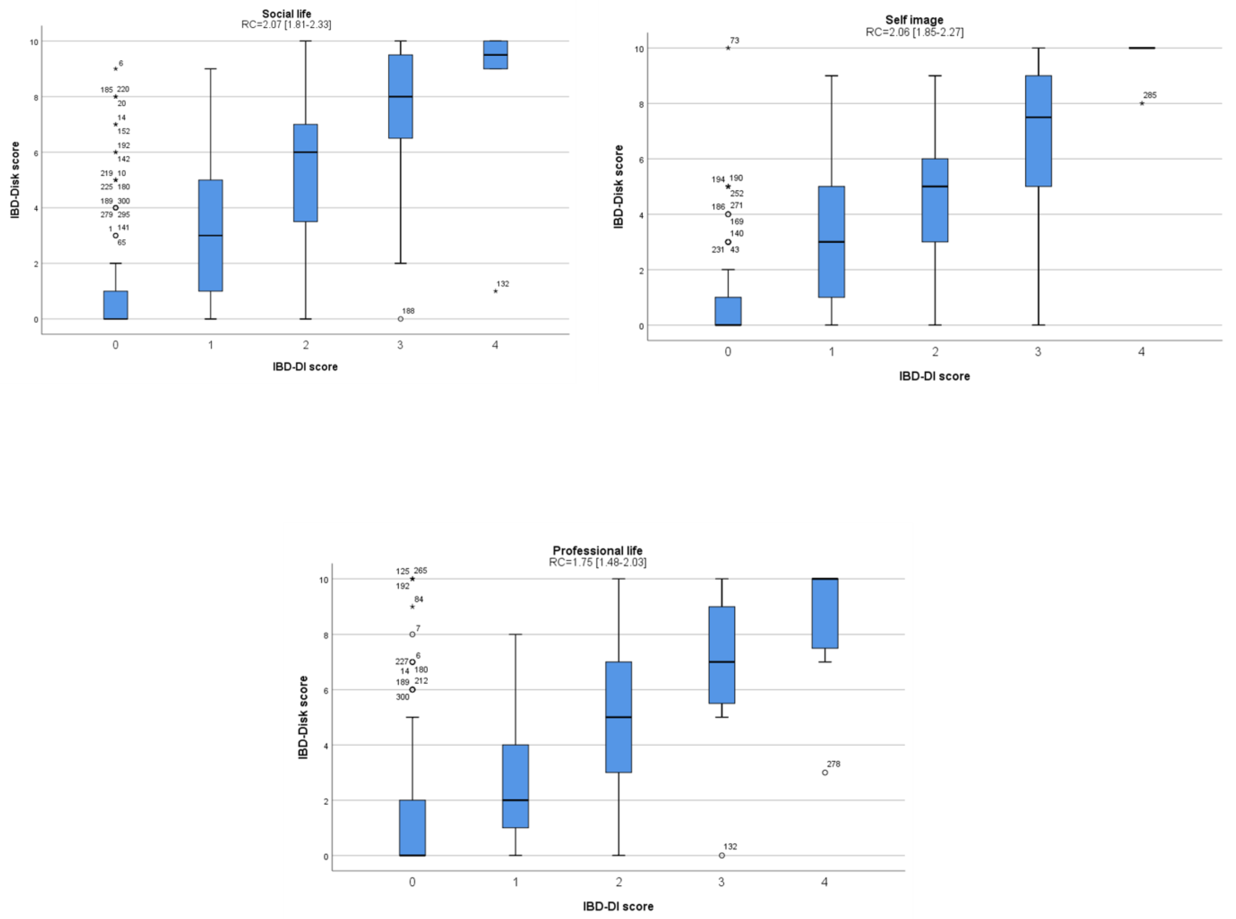
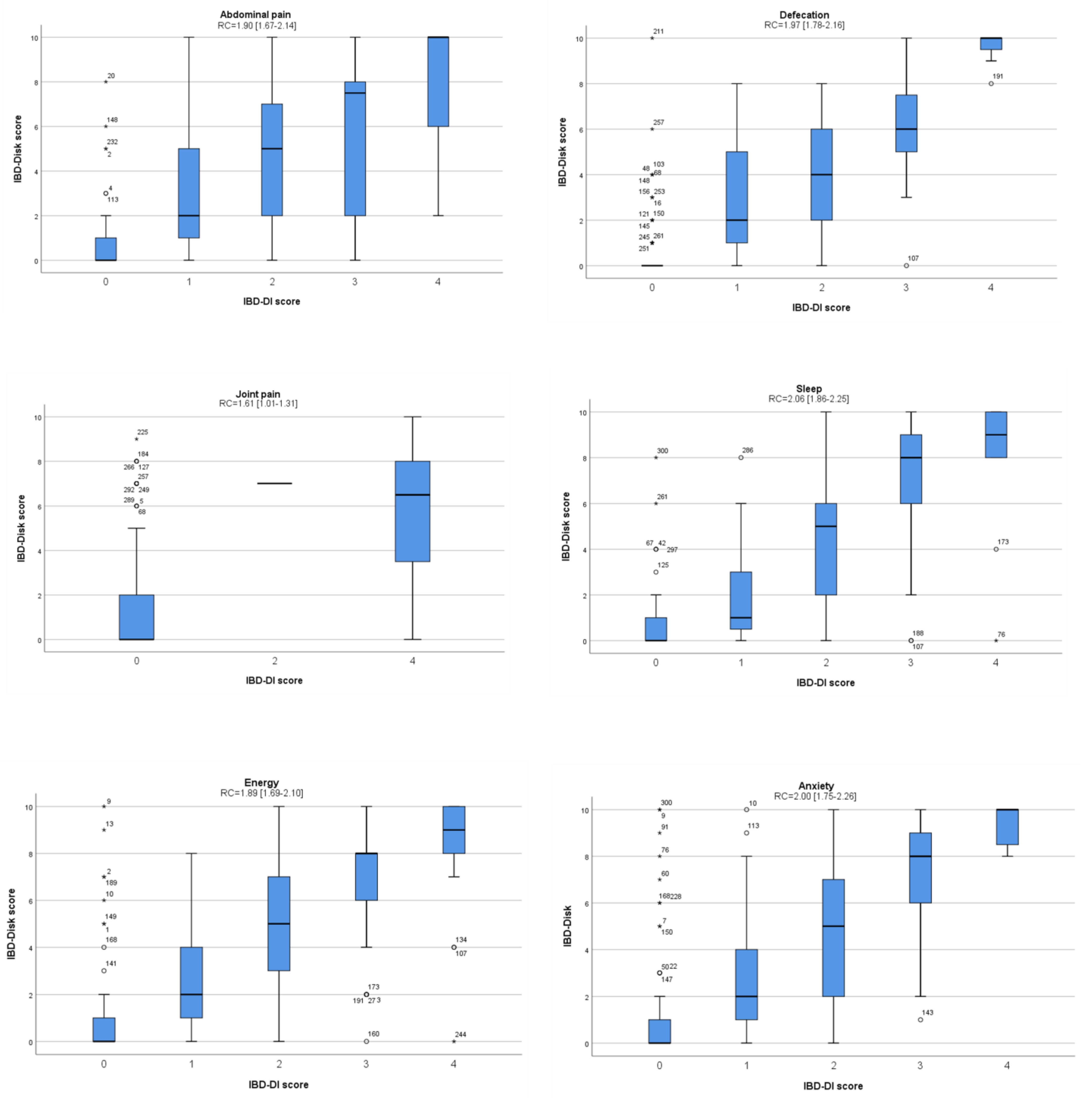
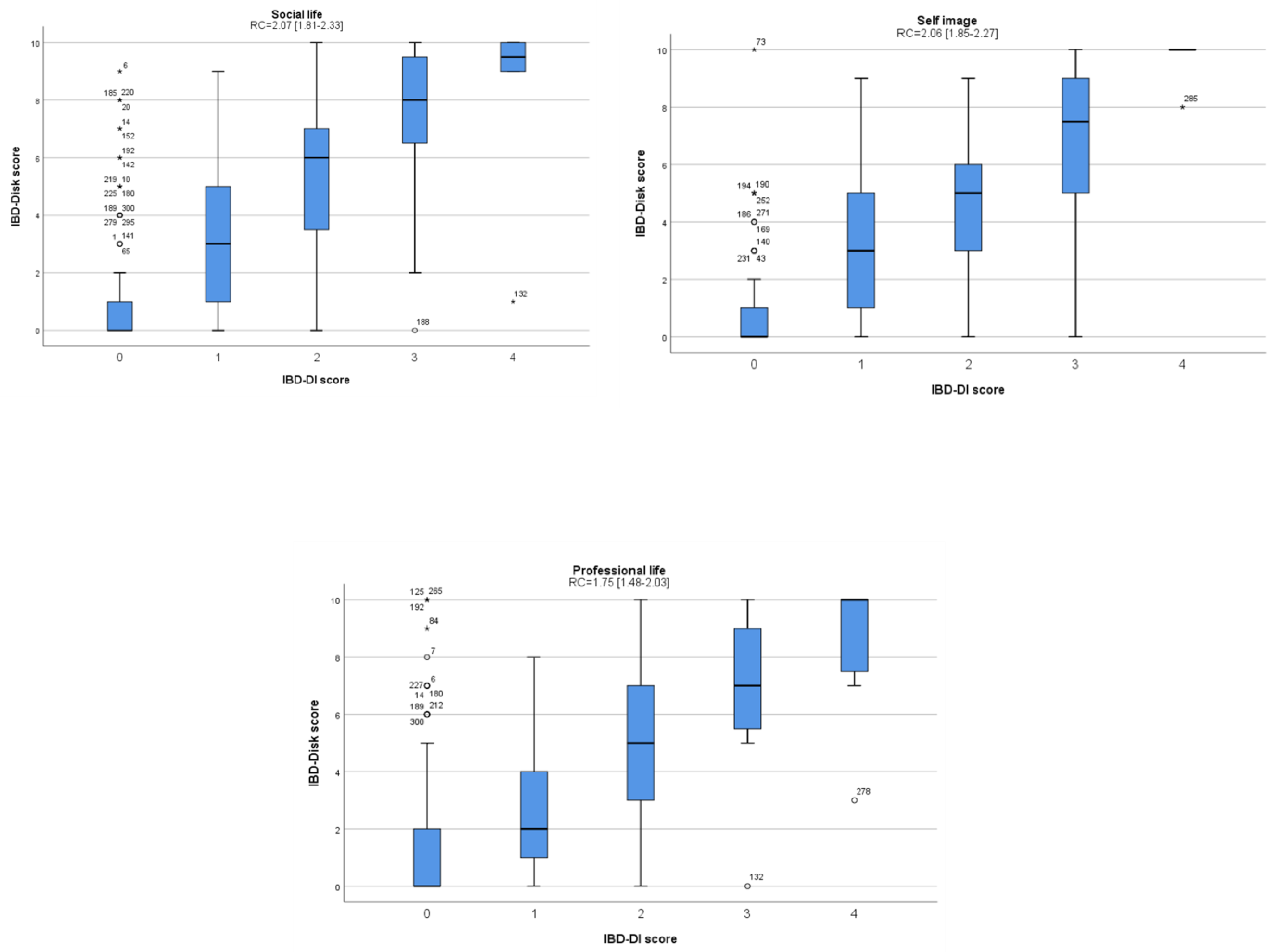
Validity examines whether the instrument measures the outcome of interest. There was a good correlation between the total scores of IBD-Disk and IBD-DI at baseline, with a Pearson correlation of 0.87 (p < 0.001) (Figure 1). Regarding the validity per item at baseline, medians of IBD-Disk scores had a stepped appearance from the lowest to the highest values between the IBD-DI responses groups (Figure 2). All associated linear regression coefficients were significantly different from 0. These results suggest a good consistency between the IBD-Disk items and the corresponding questions in the IBD-DI.

Figure 1.
Correlation between the IBD-Disk total score and IBD-DI total score at baseline (n = 300).


Figure 2.
Reliability of the IBD-Disk compared to the IBD-DI per item at baseline (n = 300).
3.3. Reliability of the IBD-Disk Score
Reproducibility of the total IBD-Disk score was good (ICC [95%CI] = 0.89 [0.86–0.91]). All the items included in the IBD-Disk had an ICC value between 0.76 and 0.90 which indicate a good reproducibility (Table 2).

Table 2.
“Test-retest” reliability of the IBD-Disk: Intraclass correlation coefficients for each item and the total IBD-Disk score (n = 300).
Cronbach’s coefficient alpha was positive for each pair of the IBD-Disk items at baseline. The pairs of items which showed the best correlation were [abdominal pain + defecation], [social life + defecation], [social life + professional life], [energy + professional life], [energy + sleep], [social life + anxiety], [professional life + anxiety], [energy + anxiety] and [social life + sexual function]. On the other hand, the pairs of items which were the least interconnected were [self-image + abdominal pain], [self-image + defecation] and [self-image + social life]. Cronbach’s coefficient alpha for all items achieved 0.90 [95%CI = 0.88–0.92], demonstrating a near to excellent homogeneity of the IBD-Disk items (Table 3).

Table 3.
Internal consistency reliability (Cronbach’s coefficient alpha) for each pair of the IBD-Disk items at baseline (n = 300).
3.4. Analysis of Clinical Factors Associated with the IBD-Disk Score
Gender and extraintestinal manifestations were significantly associated with the IBD-Disk total score. Specifically, female patients had an increased mean IBD-Disk score by 12.66 units compared to male patients, adjusting for type of the disease and extraintestinal manifestations. Patients with extraintestinal manifestations had also an increased mean IBD-Disk total score by 11.74 units compared to those without, adjusting for type of the disease and gender (Table S2). IBD type, age, disease duration, disease location and history of IBD-related surgery did not influence the IBD-Disk score.
In CD patients, gender and extraintestinal manifestations were also significantly associated with the IBD-Disk total score. Specifically, female patients had an increased mean IBD-Disk score by 13.25 units compared to male patients, adjusting for disease behavior, disease location and extraintestinal manifestations. Patients with extraintestinal manifestations had an increased mean IBD-Disk total score by 13.32 units compared to those without, adjusting for gender, disease behavior and disease location (Table S3).
In UC patients, only extraintestinal manifestations were significantly associated with the IBD-Disk total score. Specifically, patients with extraintestinal manifestations had an increased mean IBD-Disk total score by 9.58 units compared to those without, adjusting for gender (Table S4).
3.5. IBD-Disk Score Variability between Baseline and Follow-up Visits
The median IBD-Disk total score significantly decreased in patients who were active at baseline and became inactive at follow-up (p = 0.003), while it significantly increased in patients who were inactive at baseline and became active at follow-up (p = 0.025) (Table 4).Two-third of cases (58%) were inactive at both visits, 16% were active at both visits, 15% were active at baseline and became inactive at follow-up, and 11% were inactive at baseline and became active at follow-up.

Table 4.
Change in the IBD-Disk total score between baseline and follow-up (n = 269).
In univariate analysis, it was shown that, for one-unit decrease in the abdominal pain score from baseline to follow-up, the odds for a relapse decreased by 15%. For one-unit decrease in the professional life score from baseline to follow-up, the odds for a relapse decreased by 14%. For one-unit decrease in change in the energy score from baseline to follow-up, the odds for a relapse decreased by 13% (Table S5). However, in a multivariate analysis, none of these changes seemed to significantly affect the relapse
In CD patients, in univariate analysis, for one-unit decrease in the abdominal pain score from baseline to follow-up, the odds for a relapse decreased by 17% (Table S6). In UC patients, none of the changes from baseline to follow-up visits in the individual IBD-Disk items seemed to significantly affect a relapse (Table S7).
4. Discussion
In a prospective multicentre study, we evaluated the newly introduced, self-administered IBD disk in a Greek IBD population. Our data showed that the IBD-Disk is a valid and reliable instrument for measuring disability, with high internal consistency and test-retest reliability. We compared it with the already validated IBD-DI and the IBD-Disk items correlated well with the corresponding IBD-DI questions. The IBD-Disk total score elevated with increased disease activity. Moreover, female patients had higher disability scores, irrespective of other disease characteristics. Finally, the presence of extraintestinal manifestations seems to be associated with increased disability in both UC and CD patients. Our findings confirmed and reinforced evidence from previous validation studies in French and Portugese patients [,]. Since self-administered tools like IBD-disk are influenced by the local socio-cultural sensitivities and practices, validation studies in different populations are necessary for universal application of IBD-disk [,]. Therefore, we carried out a valid translation process and required cultural adaptations based on COSMIN recommendations, producing a Greek translation of the IBD-Disk questionnaire. Subsequently, we applied the questionnaire in both CD and UC patients, producing results comparable to French study, that promote the dissemination of IBD disk to other countries.
The IBD-Disk total score was positively correlated with disease activity. Patients with clinically active UC or CD had higher disability scores. In addition, contrary to French study, in our cohort, the remission or the deterioration of the disease during follow-up was followed by change in IBD-Disk score, accordingly. These findings confirmed previous research which showed that clinical activity of the disease is a significant component of IBD-related disability [,]. Therefore, IBD-Disk may help in early detection of disease relapse.
Furthermore, we found that patients with extraintestinal manifestations and female gender had a significantly higher IBD-Disk total score. Interestingly, we found no relation between the IBD-Disk score and IBD type, phenotype, location, and history of IBD-related surgery. Gender-based differences in IBD pathogenesis and disease course are multifactorial and complex including both genetic predisposition and environmental exposures Several studies have shown that females have lower self-reported QoL aspects than males, which is consistent with our findings [,,]. The IBD-Disk score was also associated with gender in a French validation study involving 447 IBD patients []. Similarly, a Portuguese cohort found that females had significantly higher IBD-Disk scores []. A large multi-center study including 1700 patients revealed that female patients had a significantly higher rate of moderate to severe disability []. Several explanations, including the effect of gender hormones, gender-dependent genetic alterations, and gender-associated compositional diversion in the gut microbiome, may underlie such gender differences in disability among patients. More research is needed, however, to identify mediating factors that might impact on the disability between genders. Previous research has found that the presence of extraintestinal manifestations is associated with increased disability in both UC and CD patients, which our study confirmed [,,]. This finding could be explained by the fact that most individuals with extraintestinal manifestations have active disease, a condition associated with disability.
This study’s main strength is its sample. The sample size was large, and it should be noted that all IBD patients in Greece have open and easy access to IBD referral centers, allowing patients with mild disease to be recruited as well. Indeed, the recruitment of patients in our study from general population provided the full spectrum of disability necessary to validate the IBD-Disk. At the baseline visit, three hundred patients were included, and 269 of them responded to the questionnaires at the follow-up. The amount of missing data for each of the ten items was very low, with only 11% of patients failing to respond to the questionnaires despite their presence at the follow-up visit, demonstrating the questionnaires’ acceptability [,].
Another strength of our study comes from the methods used to validate the IBD-Disk. We used a validated methodology based on the COSMIN checklist, including all steps of quantitative validation [,,].
Nevertheless, there are certain limitations in our study. The patient population was not quite diverse. The majority of study participants were recruited from tertiary referral centers, which may have resulted in a recruitment bias. As a result, the study population may not be representative of the general IBD population. Indeed, 66% of the patients included had CD and more than two thirds were treated with biological agents.
In conclusion, to our knowledge, this is the first attempt to evaluate the use of the IBD Disk for quantifying disability in a Greek cohort of IBD patients. The IBD-Disk has been proved to be a valid and reliable instrument for assessing IBD-related disability in culturally diverse populations. Further research with prospective studies is required, as the IBD-Disk may also have an additive value in the long-term monitoring of IBD-related disability.
Supplementary Materials
The following supporting information can be downloaded at: https://www.mdpi.com/article/10.3390/jcm12083023/s1, Table S1: The table presents questions from the original English version of the IBD Disk and its final Greek translation; Table S2: Linear regression analysis for the association of clinical factors with the IBD-Disk total score (n = 300); Table S3: Linear regression analysis for the association of clinical factors with IBD-Disk total score in patients with Crohn’s disease (n = 199); Table S4: Linear regression analysis for the association of clinical factors with IBD-Disk total score in patients with Ulcerative colitis (n = 101); Table S5: Univariate analysis for disease outbreak (events = 30) from baseline to follow-up (n = 269); Table S6: Univariate analysis for disease outbreak (events = 15) from baseline to follow-up in CD patients (n = 199); Table S7: Univariate analysis for disease outbreak (events = 15) from baseline to follow-up in UC patients (n = 101).
Author Contributions
A.K. (Anastasia Katsoula): Data Curation, Methodology, Visualization, Writing—Original Draft Preparation. G.A.: Data Curation. A.M. (Afroditi Mpitouli): Data Curation. M.P.: Data Curation. A.C.: Data Curation. N.D.: Data Curation. A.N.: Data Curation. P.P.: Data Curation. P.K. (Panagiotis Kourkoulis): Data Curation. P.K. (Pantelis Karatzas): Data Curation. M.M.: Data Curation. C.Z.: Data Curation. A.P. (Athanasios Philippidis): Data Curation. A.K. (Anastasia Kourikou): Data Curation. G.K.: Data Curation. A.G.: Data Curation. A.M. (Angeliki Machaira): Data Curation. A.M. (Aikaterini Mantaka): Data Curation. P.T.: Formal Analysis, Methodology, Writing—Review & Editing. E.A.: Data Curation. I.E.K.: Data Curation, Writing—Review & Editing. I.P. (Ioannis Papaconstantinou): Data Curation. G.B.: Data Curation, Writing—Review & Editing. S.M. (Spilios Manolakopoulos): Data Curation. N.M.: Data Curation. K.P.: Data Curation. A.P. (Andreas Protopappas): Data Curation. E.T.: Data Curation. K.H.K.: Data Curation. D.K.C.: Data Curation, Writing—Review & Editing. G.P.: Data Curation, Writing—Review & Editing. G.M.: Data Curation. G.T. (Georgios Theocharis): Data Curation. C.T.: Data Curation. I.P. (Ioannis Pachiadakis): Data Curation. K.S.: Data Curation. N.V.: Data Curation. G.J.M.: Data Curation, Writing—Review & Editing. G.T. (Georgios Tribonias): Data Curation. M.T.: Data Curation. A.T.: Data Curation. K.K.: Data Curation, Writing—Review & Editing. E.Z.: Data Curation. S.M. (Spyridon Michopoulos): Data Curation. A.-B.H.: Formal Analysis, Methodology, Writing—Review & Editing. O.G.: Data Curation, Funding Acquisition, Project Administration, Supervision, Validation, Writing—Review & Editing. All authors have read and agreed to the published version of the manuscript.
Funding
This study was supported by a research grant (2019EOMIFNEmp2) from the Hellenic Group for the Study of Inflammatory Bowel Disease (EOMIFNE).
Institutional Review Board Statement
The protocol was approved by the research Ethics Committee at each participating center. The study was conducted under Good Clinical Practice Guidelines and the ethical principles of the Declaration of Helsinki.
Informed Consent Statement
Informed consent was obtained from all subjects involved in the study.
Data Availability Statement
Data is unavailable due to privacy or ethical restrictions.
Acknowledgments
Olga Giouleme had full access to all the data in the study and takes responsibility for the integrity of the data and the accuracy of the data analysis.
Conflicts of Interest
Konstantinos Karmiris: speaker and/or consultant and/or advisory board member for: Abbvie, Aenorasis, Amgen, Ferring, Galenica, Genesis, Janssen, MSD, Pfizer, and Takeda. Ioannis E. Koutroubakis: Advisory board member for Abbvie, Astelas, Genesis, Janssen, MSD, Pharmacosmos, Pfizer, Shire, and Takeda; Speaker for AbbVie, Astelas, Genesis, Janssen, MSD, Takeda, and Mylan; research support Abbvie and Ferring. Spilios Manolakopoulos: Gilead Sciences: research grands, Abbvie research grands, Pfizer: advisory, celltrion: research grands, shire plc/ Takeda pharmaceutical: research grands. George Papatheodoridis: advisor/lecturer for Abbvie, Dicerna, Elpen, Gilead, GlaxoSmithKline, Ipsen, Janssen, Merck Sharp & Dohme, Roche, Spring Bank, Takeda; research grants Abbvie, Gilead; clinical trials: Abbvie, Astellas, Bayer, Boehringer Ingelheim, Bristol-Myers Squibb, Gilead, Janssen, Merck Sharp & Dohme, Noorik, Novartis, Novo Nordisk, Regulus, Roche, Takeda. Dimitrios K Christodoulou: advisor/lecturer for Abbvie, Janssen, Merck Sharp & Dohme, Takeda, Enorasis, Genesis, Pfizer, Ferring. Spyridon Michopoulos: Advisor or Lecturer for Pfizer, Takeda, Abbvie, Ferring, MSD, Janssen. Georgios Bamias: Advisor/lecturer for Janssen, Pfizer, Takeda, Abbvie, MSD, Mylan, Genesis Pharma, Adacyte Therapeutics, Amgen, Ferring, Cooper; Funding (Grants/Honoraria): Pfizer, Takeda, Abbvie, Aenorasis; Research/Clinical Trials: Abbvie. Konstantinos Soufleris: Advisory Board Member, Lecturer for Abbvie, Amgen, Genesis Pharma, Janssen, MSD, Mylan, Pfizer, Takeda. Funding/Research Support/Clinical Trials: Abbvie, Celgene, Faran, Ferring, Janssen, Roche, Shire, Takeda. Prof Giouleme Olga: is an advisory board member and has received speaker fees and research fees from Abbvie, MSD, Takeda, Janssen, Aenorasis, Pfizer, Ferring, Vianex, Genesis, Cross Pharmaceuticals, Amgen, Galenica. The rest of the authors confirm that there are no conflicts of interest.
References
- Moradkhani, A.; Beckman, L.J.; Tabibian, J.H. Health-related quality of life in inflammatory bowel disease: Psychosocial, clinical, socioeconomic, and demographic predictors. J. Crohn’s Col. 2013, 7, 467–473. [Google Scholar] [CrossRef] [PubMed]
- Shafer, L.A.; Walker, J.R.; Restall, G.; Chhibba, T.; Ivekovic, M.; Singh, H.; Targownik, L.E.; Bernstein, C.N. Association Between IBD Disability and Reduced Work Productivity (Presenteeism): A Population-Based Study in Manitoba, Canada. Inflamm. Bowel Dis. 2019, 25, 352–359. [Google Scholar] [CrossRef]
- Marín, L.; Mañosa, M.; Garcia-Planella, E.; Gordillo, J.; Zabana, Y.; Cabré, E.; Domènech, E. Sexual function and patients’ perceptions in inflammatory bowel disease: A case–control survey. J. Gastroenterol. 2013, 48, 713–720. [Google Scholar] [CrossRef] [PubMed]
- McDermott, E.; Mullen, G.; Moloney, J.; Keegan, D.; Byrne, K.; Doherty, G.A.; Cullen, G.; Malone, K.; Mulcahy, H.E. Body Image Dissatisfaction: Clinical Features, and Psychosocial Disability in Inflammatory Bowel Disease. Inflamm. Bowel Dis. 2015, 21, 353–360. [Google Scholar] [CrossRef]
- Gower-Rousseau, C.; Sarter, H.; Savoye, G.; Tavernier, N.; Fumery, M.; Sandborn, W.J.; Feagan, B.G.; Duhamel, A.; Guillon-Dellac, N.; Colombel, J.F. Validation of the Inflammatory Bowel Disease Disability Index in a population-based cohort. Gut 2017, 66, 588–596. [Google Scholar] [CrossRef] [PubMed]
- Peyrin-Biroulet, L.; Cieza, A.; Sandborn, W.J.; Coenen, M.; Chowers, Y.; Hibi, T.; Kostanjsek, N.; Stucki, G.; Colombel, J.F. Development of the first disability index for inflammatory bowel disease based on the international classification of functioning, disability and health. Gut 2012, 61, 241–247. [Google Scholar] [CrossRef]
- Lo, B.; Prosberg, M.V.; Gluud, L.L.; Chan, W. Systematic review and meta-analysis: Assessment of factors affecting disability in inflammatory bowel disease and the reliability of the inflammatory bowel disease disability index. Alim. Pharmacol. Ther. 2018, 47, 6–15. [Google Scholar] [CrossRef]
- Ghosh, S.; Louis, E.; Beaugerie, L.; Bossuyt, P.; Bouguen, G.; Bourreille, A.; Ferrante, M.; Franchimont, D.; Frost, K.; Hebuterne, X.; et al. Development of the IBD Disk: A Visual Self-administered Tool for Assessing Disability in Inflammatory Bowel Diseases. Inflamm. Bowel Dis. 2017, 23, 333–340. [Google Scholar] [CrossRef]
- Le Berre, C.; Flamant, M.; Bouguen, G.; Siproudhis, L.; Dewitte, M.; Dib, N.; Cesbron-Metivier, E.; Goronflot, T.; Hanf, M.; Gourraud, P.A.; et al. VALIDation of the IBD-Disk Instrument for Assessing Disability in Inflammatory Bowel Diseases in a French Cohort: The VALIDate Study. J. Crohn’s Col. 2020, 14, 1512–1523. [Google Scholar] [CrossRef]
- Mendes, S.S.; Ferreira, P.; Antunes, P.; Gonçalves, M.; Leal, T.; Gonçalves, B.; Rebelo, A.; Arroja, B.; Caetano, A.C.; Gonçalves, R.; et al. Validation of the IBD-Disk in a Portuguese cohort. Eur. J. Gastroenterol. Hepatol. 2021, 33, e961–e969. [Google Scholar] [CrossRef]
- Shi, H.Y.; Levy, A.N.; Trivedi, H.D.; Chan, F.; Ng, S.C.; Ananthakrishnan, A.N. Ethnicity influences phenotype and outcomes in inflammatory bowel disease: A systematic review and meta-analysis of population-based studies. Clin. Gastroenterol. Hepatol. 2018, 16, 190–197.e11. [Google Scholar] [CrossRef] [PubMed]
- Agrawal, M.; Cohen-Mekelburg, S.; Kayal, M.; Axelrad, J.; Galati, J.; Tricomi, B.; Kamal, K.; Faye, A.S.; Abrudescu, P.; Scherl, E.; et al. Disability in inflammatory bowel disease patients is associated with race, ethnicity and socio-economic factors. Aliment. Pharmacol. Ther. 2019, 49, 564–571. [Google Scholar] [CrossRef]
- Mokkink, L.B.; Prinsen, C.; Patrick, D.L.; Alonso, J.; Bouter, L.; de Vet, H.C.; Terwee, C.B.; Mokkink, L. COSMIN guideline for systematic reviews of patient-reported outcome measures. Qual. Life Res. 2018, 27, 1147–1157. [Google Scholar] [CrossRef]
- Mokkink, L.B.; De Vet, H.C.; Prinsen, C.A.; Patrick, D.L.; Alonso, J.; Bouter, L.M.; Terwee, C.B. COSMIN Risk of Bias checklist for systematic reviews of Patient-Reported Outcome Measures. Qual. Life Res. Int. J. Qual. Life Aspects Treat. Care Rehab. 2018, 27, 1171–1179. [Google Scholar] [CrossRef] [PubMed]
- Terwee, C.B.; Prinsen, C.A.; Chiarotto, A.; Westerman, M.J.; Patrick, D.L.; Alonso, J.; Bouter, L.M.; De Vet, H.C.; Mokkink, L.B. COSMIN methodology for evaluating the content validity of patient-reported outcome measures: A Delphi study. Qual. Life Res. Int. J. Qual. Life Aspects Treat. Care Rehab. 2018, 27, 1159–1170. [Google Scholar] [CrossRef]
- Harvey, R.F.; Bradshaw, J.M. A simple index of Crohn’s-disease activity. Lancet 1980, 315, 514. [Google Scholar] [CrossRef]
- Lewis, J.D.; Chuai, S.; Nessel, L.; Lichtenstein, G.R.; Aberra, F.N.; Ellenberg, J.H. Use of the noninvasive components of the Mayo score to assess clinical response in ulcerative colitis. Inflamm. Bowel Dis. 2008, 14, 1660–1666. [Google Scholar] [CrossRef] [PubMed]
- Streiner, D.N.G. Health Measurement Scales; Oxford University Press: Oxford, UK, 1989. [Google Scholar]
- Shrout, P.E.; Fleiss, J.L. Intraclass correlations: Uses in assessing rater reliability. Psychol. Bull. 1979, 86, 420–428. [Google Scholar] [CrossRef] [PubMed]
- Bolarinwa, O.A. Principles and methods of validity and reliability testing of questionnaires used in social and health science researches. Niger. Postgrad. Med. J. 2015, 22, 195–201. [Google Scholar] [CrossRef]
- Allen, P.B.; Gower-Rousseau, C.; Danese, S.; Peyrin-Biroulet, L. Preventing disability in inflammatory bowel disease. Ther. Adv. Gastroenterol. 2017, 10, 865–876. [Google Scholar] [CrossRef]
- Nurmi, E.; Haapamäki, J.; Paavilainen, E.; Rantanen, A.; Hillilä, M.; Arkkila, P. The burden of inflammatory bowel disease on health care utilization and quality of life. Scand. J. Gastroenterol. 2013, 48, 51–57. [Google Scholar] [CrossRef]
- Greuter, T.; Manser, C.; Pittet, V.; Vavricka, S.R.; Biedermann, L. Gender Differences in Inflammatory Bowel Disease. Digestion 2020, 101, 98–104. [Google Scholar] [CrossRef] [PubMed]
- Rustgi, S.D.; Kayal, M. Sex-based differences in inflammatory bowel diseases: A review. Ther. Adv. Gastroenterol. 2020, 13, 1756284820915043. [Google Scholar] [CrossRef]
- Tannoury, J.; Nachury, M.; Martins, C.; Serrero, M.; Filippi, J.; Roblin, X.; Bourrier, A.; Bouguen, G.; Franchimont, D.; Savoye, G.; et al. Determinants of IBD-related disability: A cross-sectional survey from the GETAID. Alim. Pharmacol. Ther. 2021, 53, 1098. [Google Scholar]
- Lo, B.; Julsgaard, M.; Vester-Andersen, M.K.; Vind, I.; Burisch, J. Disease activity, steroid use and extraintestinal manifestation are associated with increased disability in patients with inflammatory bowel disease using the inflammatory bowel disease disability index: A cross-sectional multicentre cohort study. Eur. J. Gastroenterol. Hepatol. 2018, 30, 1130–1136. [Google Scholar] [CrossRef]
- Marinelli, C.; Savarino, E. Factors Influencing Disability and Quality of Life during Treatment: A Cross-Sectional Study on IBD Patients. Gastroenterol. Res. Pract. 2019, 2019, 5354320. [Google Scholar] [CrossRef]
- Yoon, J.Y.; Shin, J.E.; Park, S.H.; Park, D.I.; Cha, J.M. Disability due to Inflammatory Bowel Disease Is Correlated with Drug Compliance, Disease Activity, and Quality of Life. Gut Liver 2017, 11, 370–376. [Google Scholar] [CrossRef] [PubMed]
Disclaimer/Publisher’s Note: The statements, opinions and data contained in all publications are solely those of the individual author(s) and contributor(s) and not of MDPI and/or the editor(s). MDPI and/or the editor(s) disclaim responsibility for any injury to people or property resulting from any ideas, methods, instructions or products referred to in the content. |
© 2023 by the authors. Licensee MDPI, Basel, Switzerland. This article is an open access article distributed under the terms and conditions of the Creative Commons Attribution (CC BY) license (https://creativecommons.org/licenses/by/4.0/).