Audiovestibular Findings in a Cohort of Patients with Chiari Malformation Type I and Dizziness
Abstract
1. Introduction
2. Materials and Methods
2.1. Standard Protocol Approvals, Registrations, and Patient Consents
2.2. Patients
2.3. Audiological Evaluation
2.4. Balance/Vestibular Evaluation
2.5. Neurological Data
2.6. Statistical Analysis
3. Results
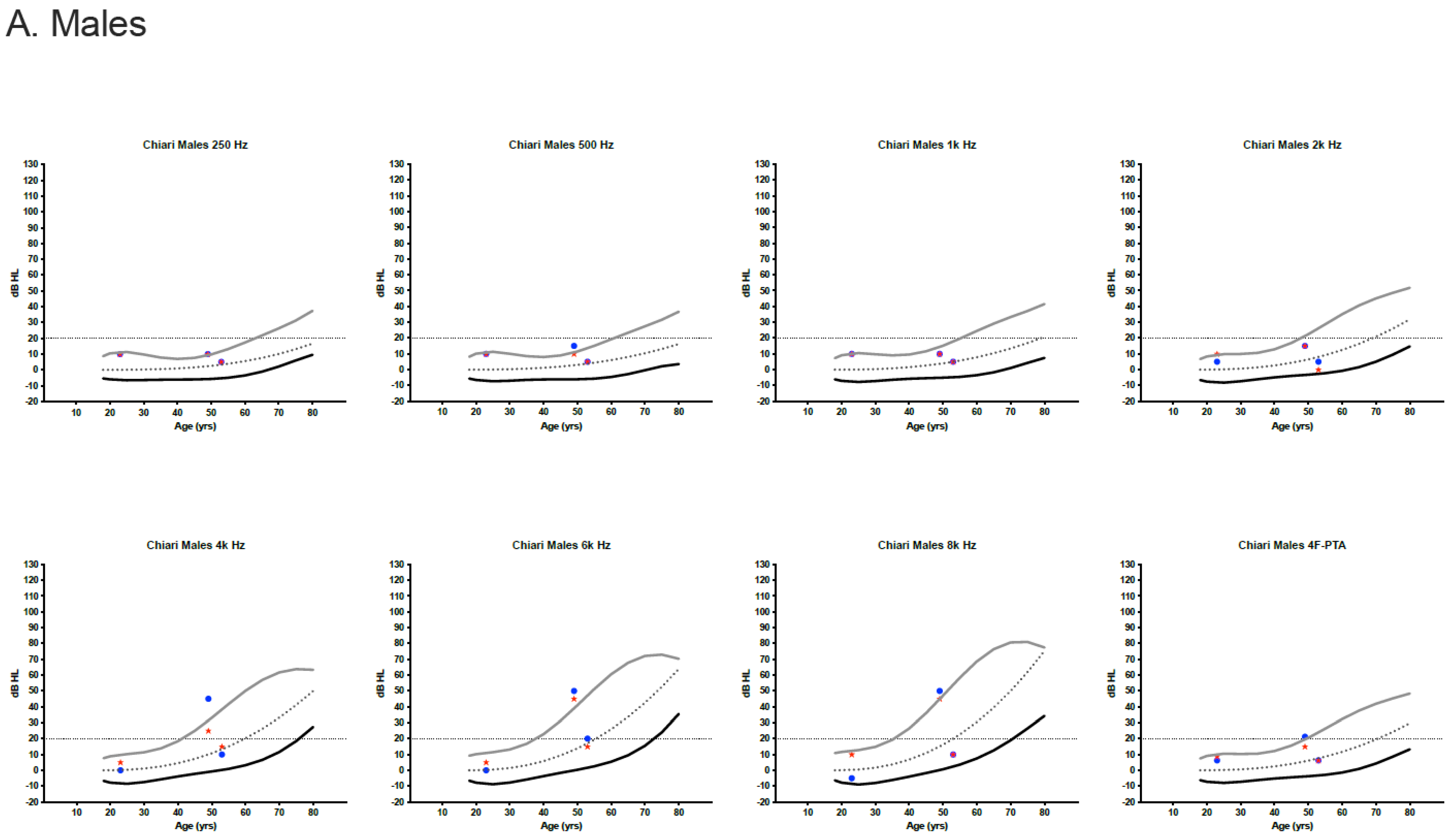
3.1. Auditory Results
3.2. Vestibular Results
3.3. Platform Posturography
3.4. Rotational Testing
3.5. VEMP Testing
3.6. Site-of-Lesion Analysis
3.7. Groupwise Analysis
3.8. Neurological Symptom Analyses
4. Discussion
4.1. Audiovestibular Phenotype
4.2. Neurological Vestibular Relationships
5. Conclusions
Author Contributions
Funding
Institutional Review Board Statement
Informed Consent Statement
Data Availability Statement
Acknowledgments
Conflicts of Interest
References
- Kahn, E.N.; Muraszko, K.M.; Maher, C.O. Prevalence of Chiari I Malformation and Syringomyelia. Neurosurg. Clin. N. Am. 2015, 26, 501–507. [Google Scholar] [CrossRef] [PubMed]
- Chiari, H. Ueber Veränderungen des Kleinhirns infolge von Hydrocephalie des Grosshirns 1. Dtsch. Med. Wochenschr. 1891, 17, 1172–1175. [Google Scholar] [CrossRef]
- Speer, M.C.; Enterline, D.S.; Mehltretter, L.; Hammock, P.; Joseph, J.; Dickerson, M.; Ellenbogen, R.G.; Milhorat, T.H.; Hauser, M.A.; George, T.M. Review Article: Chiari Type I Malformation with or Without Syringomyelia: Prevalence and Genetics. J. Genet. Couns. 2003, 12, 297–311. [Google Scholar] [CrossRef] [PubMed]
- Heffez, D.S.; Broderick, J.; Connor, M.; Mitchell, M.; Galezowska, J.; Golchini, R.; Ghorai, J. Is there a relationship between the extent of tonsillar ectopia and the severity of the clinical Chiari syndrome? Acta Neurochir. 2020, 162, 1531–1538. [Google Scholar] [CrossRef]
- Sperling, N.M.; Franco, R.A., Jr.; Milhorat, T.H. Otologic manifestations of Chiari I malformation. Otol. Neurotol. 2001, 22, 678–681. [Google Scholar] [CrossRef]
- Shaikh, A.G.; Ghasia, F.F. Neuro-ophthalmology of type 1 Chiari malformation. Expert Rev. Ophthalmol. 2015, 10, 351–357. [Google Scholar] [CrossRef]
- Goldschagg, N.; Feil, K.; Ihl, F.; Krafczyk, S.; Kunz, M.; Tonn, J.C.; Strupp, M.; Peraud, A. Decompression in Chiari Malformation: Clinical, Ocular Motor, Cerebellar, and Vestibular Outcome. Front. Neurol. 2017, 8, 292. [Google Scholar] [CrossRef]
- McClugage, S.G.; Oakes, W.J. The Chiari I malformation. J. Neurosurg. Pediatr. 2019, 24, 217–226. [Google Scholar] [CrossRef]
- Palamar, D.; Güler, H.; Hancı, M.; Sucuoğlu, H.; Sanus, G.Z.; Tüzün, Ş. Posturographic examination of body balance in patients with Chiari type I malformation and correlation with the presence of syringomyelia and degree of cerebellar ectopia. Turk. J. Phys. Med. Rehabil. 2019, 65, 74–79. [Google Scholar] [CrossRef]
- Guerra Jiménez, G.; Mazón Gutiérrez, Á.; Marco de Lucas, E.; Valle San Román, N.; Martín Laez, R.; Morales Angulo, C. Audio-vestibular signs and symptoms in Chiari malformation type i. Case series and literature review. Acta Otorrinolaringol. Esp. 2015, 66, 28–35. [Google Scholar] [CrossRef]
- Albers, F.W.; Ingels, K.J. Otoneurological manifestations in Chiari-I malformation. J. Laryngol. Otol. 1993, 107, 441–443. [Google Scholar] [CrossRef]
- Labuda, R.; Nwotchouang, B.S.T.; Ibrahimy, A.; Allen, P.A.; Oshinski, J.N.; Klinge, P.; Loth, F. A new hypothesis for the pathophysiology of symptomatic adult Chiari malformation Type I. Med. Hypotheses 2022, 158, 110740. [Google Scholar] [CrossRef]
- Martini, A.; Mazzoli, M. Achievements of the European Working Group on Genetics of Hearing Impairment. Int. J. Pediatr. Otorhinolaryngol. 1999, 49 (Suppl. 1), S155–S158. [Google Scholar] [CrossRef]
- Margolis, R.H.; Heller, J.W. Screening tympanometry: Criteria for medical referral. Audiology 1987, 26, 197–208. [Google Scholar] [CrossRef]
- Schwartz, D.M.; Pratt, R.E.; Schwartz, J.A. Auditory brain stem responses in preterm infants: Evidence of peripheral maturity. Ear Hear. 1989, 10, 14–22. [Google Scholar] [CrossRef]
- Borah, D.; Wadhwa, S.; Singh, U.; Yadav, S.L.; Bhattacharjee, M.; Sindhu, V. Age related changes in postural stability. Indian J Physiol. Pharmacol. 2007, 51, 395–404. [Google Scholar]
- Zalewskii, C.K. Rotational Vestibular Assessment; Plural Publishing, Incorporated: San Diego, CA, USA, 2018. [Google Scholar]
- Vernon, H.; Mior, S. The Neck Disability Index: A study of reliability and validity. J. Manip. Physiol. Ther. 1991, 14, 409–415. [Google Scholar]
- Row, J.; Chan, L.; Damiano, D.; Shenouda, C.; Collins, J.; Zampieri, C. Balance Assessment in Traumatic Brain Injury: A Comparison of the Sensory Organization and Limits of Stability Tests. J. Neurotrauma 2019, 36, 2435–2442. [Google Scholar] [CrossRef]
- Pletcher, E.R.; Williams, V.J.; Abt, J.P.; Morgan, P.M.; Parr, J.J.; Wohleber, M.F.; Lovalekar, M.; Sell, T.C. Normative Data for the NeuroCom Sensory Organization Test in US Military Special Operations Forces. J. Athl. Train. 2017, 52, 129–136. [Google Scholar] [CrossRef]
- Sandhu, J.S.; George, S.R.; Rea, P.A. The effect of electrode positioning on the ocular vestibular evoked myogenic potential to air-conducted sound. Clin. Neurophysiol. 2013, 124, 1232–1236. [Google Scholar] [CrossRef]
- Piker, E.G.; Baloh, R.W.; Witsell, D.L.; Garrison, D.B.; Lee, W.T. Assessment of the Clinical Utility of Cervical and Ocular Vestibular Evoked Myogenic Potential Testing in Elderly Patients. Otol. Neurotol. 2015, 36, 1238–1244. [Google Scholar] [CrossRef] [PubMed]
- UNE-EN ISO 7029:2017; Acoustics, Statistical Distribution of Hearing Thresholds Related to Age and Gender (ISO 7029:2017). AENOR: Madrid, Spain, 2017.
- Portnuff, C.D.F.; Kleindienst, S.; Bogle, J.M. Safe Use of Acoustic Vestibular-Evoked Myogenic Potential Stimuli: Protocol and Patient-Specific Considerations. J. Am. Acad. Audiol. 2017, 28, 708–717. [Google Scholar] [CrossRef] [PubMed]
- Weber, P.C.; Cass, S.P. Neurotologic manifestations of Chiari 1 malformation. Otolaryngol. Head Neck Surg. 1993, 109, 853–860. [Google Scholar] [CrossRef] [PubMed]
- Goshtasbi, K.; Abouzari, M.; Risbud, A.; Mostaghni, N.; Muhonen, E.G.; Martin, E.; Djalilian, H.R. Tinnitus and Subjective Hearing Loss are More Common in Migraine: A Cross-Sectional NHANES Analysis. Otol. Neurotol. 2021, 42, 1329–1333. [Google Scholar] [CrossRef] [PubMed]
- Brandt, T.; Bronstein, A.M. Cervical vertigo. J. Neurol. Neurosurg. Psychiatry 2001, 71, 8–12. [Google Scholar] [CrossRef]
- Horak, F.B.; Nashner, L.M.; Diener, H.C. Postural strategies associated with somatosensory and vestibular loss. Exp. Brain Res. 1990, 82, 167–177. [Google Scholar] [CrossRef]
- Galarza, M.; López-Guerrero, A.L.; Martínez-Lage, J.F. Posterior fossa arachnoid cysts and cerebellar tonsillar descent: Short review. Neurosurg. Rev. 2010, 33, 305–314; discussion 314. [Google Scholar] [CrossRef]
- Langridge, B.; Phillips, E.; Choi, D. Chiari Malformation Type 1: A Systematic Review of Natural History and Conservative Management. World Neurosurg. 2017, 104, 213–219. [Google Scholar] [CrossRef]
- Kumar, A.; Patni, A.H.; Charbel, F. The Chiari I malformation and the neurotologist. Otol. Neurotol. 2002, 23, 727–735. [Google Scholar] [CrossRef]
- Levo, H.; Tapani, E.; Karppinen, A.; Kentala, E. Chiari Malformation in otology practice. Auris Nasus Larynx 2010, 37, 95–99. [Google Scholar] [CrossRef]




| Sample Size (n) | Age Range (yrs) | Mean (yrs) | SD (yrs) | Median (yrs) | IQR (yrs) | |
|---|---|---|---|---|---|---|
| Male | 3 | 23–53 | 41.67 | 16.29 | 49 | 23–53 |
| Female | 21 | 20–61 | 40.76 | 9.93 | 40 | 34–46 |
| Total | 24 | 20–61 | 40.88 | 10.44 | 40 | 34–48.75 |
| Outcome Measure | Criteria | |
|---|---|---|
| HEARING | ||
| Degree of HL a | ||
| None | ≤20 dB HL | |
| Mild | >20 and ≤40 dB HL | |
| Moderate | >40 and ≤70 dB HL | |
| Severe | >70 and ≤95 dB HL | |
| Profound | >95 dB HL | |
| Type of HL b | ||
| Conductive | AC >15 dB HL; BC ≤ 15 dB HL; ABG > 10 dB | |
| Mixed | BC >15 dB HL; ABG > 10 dB | |
| Sensorineural | AC >15 dB HL; ABG ≤ 10 dB | |
| Tympanometry c [14] | ||
| Normal (Type A) | 0.3–1.4 mmho > −100 daPa | |
| Immobile (Flat) (Type B) | No mobility, no peak | |
| Negative Pressure (Type C) | <−100 daPa | |
| Hypermobility (Type Ad) | >1.4 cc, >−100 daPa | |
| Hypomobility (Type As) | <0.3 cc, >−100 daPa | |
| Auditory Brainstem Response d [15] | Abnormal when | |
| Absolute latency I, III, V | >1.79 ms, 4.08 ms, 6.08 ms, respectively | |
| Interpeak latency I–III, III–V, I–V | >2.60 ms, 2.26 ms, 4.49 ms, respectively | |
| Interaural wave V latency difference | >0.40 ms | |
| VESTIBULAR | ||
| Posturography | ||
| SOT | Abnormal when below 95th percentile limits e,h [16] | |
| Rotational Assessment | ||
| Gain | 0.01–0.64 Hz | Abnormal value isolated to 0.01 Hz (gain and phase) or involving two consecutive octave frequencies from 0.01–0.64Hz f [17] |
| Phase | ||
| Symmetry | ||
| 60° Velocity Step | 10 s > Abnormal Time-Constant > 32 s with concurrent interpretation of estimated TC from VOR Phase. | |
| 240° Velocity Step | Abnormal peak eye velocity symmetry ≥20% | |
| Suppression (0.08–0.64 Hz) | Abnormal value involving a single frequency | |
| Visual-Vestibular Enhancement (0.08 Hz and 0.64 Hz) | Abnormal value involving a single frequency | |
| Cervical VEMP | ||
| P1-N1 Amplitude Ratio | Abnormal > 35% | |
| Ocular VEMP | ||
| P1-N1 Amplitude Ratio | Abnormal > 40% | |
| NEUROLOGICAL SYMPTOMS | ||
| Headache Rating | Headache Pain Score (Section 5) g [18] | |
| Neck Pain Disability Rating | Neck Pain Disability Questionnaire Percentage g [18] | |
| Neck Pain Intensity Rating | Neck Pain Score (Section 1) g [18] | |
| Surgical History | Surgical history prior to assessment (Y/N) | |
| SITE OF LESION Interpretation | ||
| Normal | All tests WNL | |
| Peripheral | Reduced (or unexplained absent) VEMP amplitude; Reduced VOR SHA Gain which may include an increase in VOR Phase with or without a VOR Asymmetry and an abnormal low-velocity step | |
| Central | Increased VEMP amplitude; Increased VOR SHA Gain; Abnormal Enhancement and/or VOR Suppression; Decreased VOR Phase with or without VOR Asymmetry | |
| Unknown (Non-Localizing) | Isolated Increased VOR Phase with or without VOR Asymmetry and/or low-velocity step abnormality; Isolated VEMP Latency abnormality; Isolated VOR Asymmetry | |
| Mixed | Evidence meeting components of both peripheral and central | |
| CM # | Age | Sex | cVEMP | oVEMP | VOR Gain | VOR Phase | VOR Sym | VOR Supp | VOR Enhance | 60° Velocity Step Data | 240° Velocity Step Data | Site-of-Lesion | SOM | VIS | VEST | SOT-Comp | A-P LOS | PTA | ABR | SPCH | |
|---|---|---|---|---|---|---|---|---|---|---|---|---|---|---|---|---|---|---|---|---|---|
| LE | RE | ||||||||||||||||||||
| 1 | 31 | F | DNT | DNT | WNL | WNL | WNL | DNT | DNT | DNT | DNT | Unknown | 85 | 26 | 0 | 21 | DNT | 12.50 | 17.50 | WNL | WNL |
| 2 | 48 | F | DNT | DNT | WNL | WNL | WNL | DNT | DNT | DNT | WNL | Normal | 96 | 84 | 69 | 79 | DNT | 10.00 | 10.00 | WNL | WNL |
| 3 | 49 | M | WNL | WNL | WNL | WNL | WNL | WNL | DNT | WNL | WNL | Normal | 98 | 95 | 78 | 86 | DNT | 21.25 | 15.00 | WNL | WNL |
| 5 | 40 | F | ABNL-R Lat | DNT | WNL | WNL | WNL | DNT | DNT | WNL | CND | Unknown | 81 | 98 | 61 | 81 | DNT | 3.75 | 6.25 | DNT | WNL |
| 6 | 40 | F | DNT | DNT | WNL | ABNL-Dec | ABNL | DNT | DNT | WNL | WNL | Central | DNT | DNT | DNT | DNT | DNT | 15.00 | 7.50 | WNL | WNL |
| 7 | 42 | F | ABNL-R Amp (High) | DNT | WNL | WNL | WNL | DNT | DNT | WNL | WNL | Unknown | 95 | 47 | 13 | 41 | DNT | 8.75 | 10.00 | WNL | WNL |
| 8 | 28 | F | WNL | WNL | WNL | WNL | WNL | WNL | WNL | WNL | WNL | Normal | 90 | 89 | 78 | 82 | 8.4 | 10.00 | 10.00 | WNL | WNL |
| 12 | 53 | F | WNL | WNL | WNL | WNL | ABNL | WNL | ABNL-High | WNL | WNL | Central | 87 | 85 | 52 | 71 | 10.4 | 13.75 | 12.50 | WNL | WNL |
| 13 | 40 | F | WNL | WNL | WNL | WNL | WNL | WNL | WNL | WNL | WNL | Normal | 98 | 89 | 69 | 81 | DNT | 8.75 | 7.50 | WNL | WNL |
| 14 | 51 | F | WNL | WNL | ABNL-Low | ABNL-Inc | WNL | WNL | WNL | ABNL-Low (3/4) | WNL | Peripheral | 87 | 95 | 63 | 73 | 8.9 | 16.25 | 17.50 | DNT | WNL |
| 15 | 20 | F | WNL | WNL | WNL | WNL | WNL | WNL | WNL | ND | ND | Normal | 96 | 95 | 72 | 82 | 10.7 | 0.00 | 2.50 | WNL | WNL |
| 17 | 42 | F | WNL | DNT | WNL | WNL | WNL | WNL | DNT | WNL | ND | Normal | 98 | 100 | 75 | 74 | 8.7 | 13.75 | 13.75 | ABNL | WNL |
| 19 | 40 | F | WNL | DNT | WNL | WNL | ABNL | WNL | ABNL-High | WNL | CND | Central | 98 | 96 | 68 | 80 | 11.8 | 5.00 | 8.75 | WNL | WNL |
| 20 | 23 | M | WNL | WNL | ABNL-Low | ABNL-Inc | WNL | WNL | WNL | ND | ND | Peripheral | 96 | 78 | 18 | 52 | 5.5 | 6.25 | 8.75 | WNL | WNL |
| 22 | 37 | F | DNT | DNT | WNL | WNL | WNL | WNL | WNL | WNL | WNL | Normal | 98 | 99 | 78 | 82 | DNT | 10.00 | 13.75 | WNL | WNL |
| 25 | 34 | F | DNT | DNT | WNL | WNL | WNL | DNT | DNT | ND | WNL | Unknown | 0 | 73 | 0 | 46 | DNT | 8.75 | 11.25 | DNT | WNL |
| 26 | 53 | M | WNL | WNL | WNL | WNL | WNL | WNL | WNL | WNL | WNL | Normal | 95 | 90 | 67 | 76 | 9.8 | 6.25 | 6.25 | WNL | WNL |
| 27 | 40 | F | WNL | DNT | ABNL-High | WNL | WNL | ABNL-High | WNL | WNL | WNL | Central | 97 | 86 | 34 | 69 | 11.0 | 6.25 | 10.00 | WNL | WNL |
| 28 | 61 | F | WNL | DNT | WNL | WNL | WNL | DNT | DNT | WNL | CND | Unknown | 79 | 87 | 38 | 61 | 12.4 | 17.50 | 15.00 | WNL | DNT |
| 29 | 58 | F | WNL | DNT | WNL | ABNL-Inc | WNL | WNL | WNL | WNL | WNL | Unknown | 95 | 90 | 57 | 76 | 9.6 | 11.25 | 15.00 | ABNL | WNL |
| 30 | 34 | F | WNL | DNT | WNL | WNL | WNL | DNT | DNT | WNL | WNL | Normal | 96 | 89 | 77 | 81 | DNT | 10.00 | 6.25 | WNL | WNL |
| 31 | 44 | F | WNL | WNL | WNL | WNL | WNL | WNL | WNL | WNL | WNL | Normal | 94 | 93 | 67 | 79 | DNT | 16.25 | 13.75 | WNL | WNL |
| 32 | 29 | F | WNL | WNL | WNL | WNL | WNL | WNL | WNL | WNL | WNL | Normal | 100 | 96 | 72 | 82 | DNT | 11.25 | 10.00 | WNL | WNL |
| 33 | 50 | F | WNL | DNT | WNL | ABNL-Inc | WNL | WNL | DNT | ABNL-Low (1/4) | WNL | Unknown | 95 | 97 | 76 | 78 | DNT | DNT | DNT | DNT | DNT |
| Assessment | Total Tested | Number Abnormal | % Abnormal |
|---|---|---|---|
| Cervical VEMP | 19 | 2 | 10.5 |
| Ocular VEMP | 10 | 0 | 0 |
| Total Rotational Chair | 24 | 8 | 33.3 |
| Sinusoidal Harmonic Acceleration | 24 | 8 | 33.3 |
| Low Velocity Step | 19 | 2 | 10.5 |
| High Velocity Step | 19 | 0 | 0 |
| VOR Angular Suppression | 16 | 1 | 6.3 |
| Visual-Vestibular Enhancement | 13 | 2 | 15.4 |
| Total SOT | 23 | 11 | 39.1 |
| SOT Somatosensory | 23 | 6 | 26.1 |
| SOT Visual | 23 | 3 | 13.0 |
| SOT Vestibular | 23 | 7 | 30.4 |
| SOT Composite | 23 | 6 | 26.1 |
| Anterior-Posterior LOS | 11 | 1 | 9.1 |
| SOT Composite | 23 | 6 | 26.1 |
| Anterior-Posterior LOS | 11 | 1 | 9.1 |
Disclaimer/Publisher’s Note: The statements, opinions and data contained in all publications are solely those of the individual author(s) and contributor(s) and not of MDPI and/or the editor(s). MDPI and/or the editor(s) disclaim responsibility for any injury to people or property resulting from any ideas, methods, instructions or products referred to in the content. |
© 2023 by the authors. Licensee MDPI, Basel, Switzerland. This article is an open access article distributed under the terms and conditions of the Creative Commons Attribution (CC BY) license (https://creativecommons.org/licenses/by/4.0/).
Share and Cite
Famili, H.P.; Zalewski, C.K.; Ibrahimy, A.; Mack, J.; Cantor, F.; Heiss, J.D.; Brewer, C.C. Audiovestibular Findings in a Cohort of Patients with Chiari Malformation Type I and Dizziness. J. Clin. Med. 2023, 12, 2767. https://doi.org/10.3390/jcm12082767
Famili HP, Zalewski CK, Ibrahimy A, Mack J, Cantor F, Heiss JD, Brewer CC. Audiovestibular Findings in a Cohort of Patients with Chiari Malformation Type I and Dizziness. Journal of Clinical Medicine. 2023; 12(8):2767. https://doi.org/10.3390/jcm12082767
Chicago/Turabian StyleFamili, Hannah P., Christopher K. Zalewski, Alaaddin Ibrahimy, Jessica Mack, Fredric Cantor, John D. Heiss, and Carmen C. Brewer. 2023. "Audiovestibular Findings in a Cohort of Patients with Chiari Malformation Type I and Dizziness" Journal of Clinical Medicine 12, no. 8: 2767. https://doi.org/10.3390/jcm12082767
APA StyleFamili, H. P., Zalewski, C. K., Ibrahimy, A., Mack, J., Cantor, F., Heiss, J. D., & Brewer, C. C. (2023). Audiovestibular Findings in a Cohort of Patients with Chiari Malformation Type I and Dizziness. Journal of Clinical Medicine, 12(8), 2767. https://doi.org/10.3390/jcm12082767

