Glycemic Challenge Is Associated with the Rapid Cellular Activation of the Locus Ceruleus and Nucleus of Solitary Tract: Circumscribed Spatial Analysis of Phosphorylated MAP Kinase Immunoreactivity
Abstract
1. Introduction
2. Materials and Methods
2.1. Neuroanatomical Naming Conventions Used in this Study
2.2. Subjects and Surgical Procedures
2.3. In Vivo Experimental Procedures
2.4. Tissue Processing and Immunocytochemistry
2.4.1. Histological Processing of Brain Tissue
2.4.2. Immunohistochemistry
Main Procedures
Antibody Information and Immunohistochemical Controls
2.5. Nissl Staining of the Reference (R) Tissue Series
2.6. Microscopy and Photomicrography
2.6.1. Bright-Field Microscopy
2.6.2. Epifluorescence and Dark-Field Microscopy
2.6.3. Confocal Microscopy
2.6.4. Checks for Fluorescence Crosstalk
2.7. Spatial Analyses and Tabulation
2.7.1. Sampled Regions
2.7.2. Plane-of-Section Analysis, Atlas Level Assignments, and Regional Parcellations
2.7.3. Standardized Mapping
2.7.4. Region-Delimited Quantitation and Assessment of Signal Colocalization
Counting Procedures
Correction of Oversampling Error
2.7.5. Statistical Analysis
3. Results
3.1. Cellular Activation Profiles in the LC for Saline- and 2-DG-Treated Subjects
3.1.1. Representative Results in Single Pairs of Subjects
Phospho-ERK1/2-Immunoreactive Patterns Mapped to Level 51
Phospho-ERK1/2+ and DBH+ Perikaryon Profiles at Other Levels of the LC
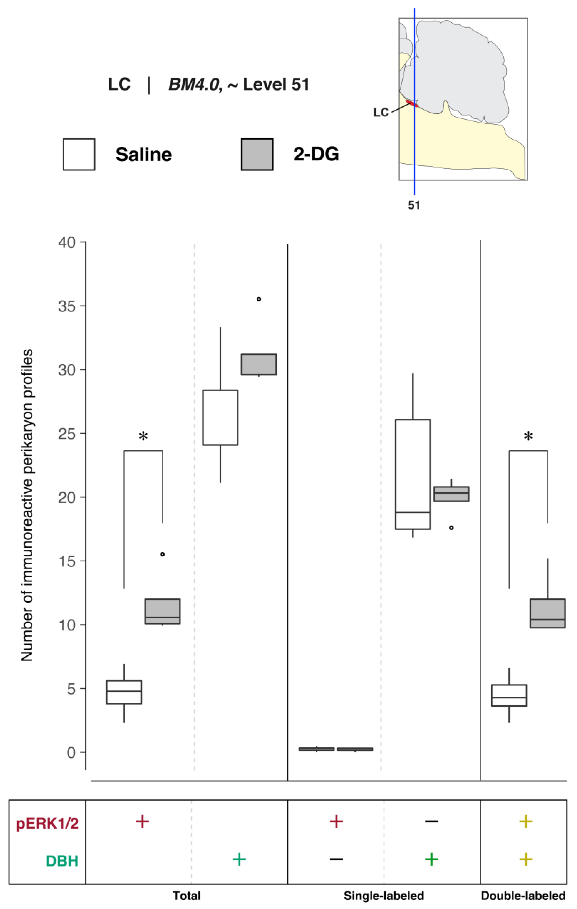
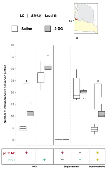
3.1.2. Group-Level Effects of Saline Versus 2-Deoxy-d-Glucose Administration on LC Activation
Quantitative Analysis of LC Activation
Relative Differences in the Numbers of DBH-Immunoreactive Perikaryon Profiles in the LC of Saline- and 2-DG-Treated Subjects
3.2. Cellular activation profiles in the NTS and DMX for saline- and 2-DG-treated subjects
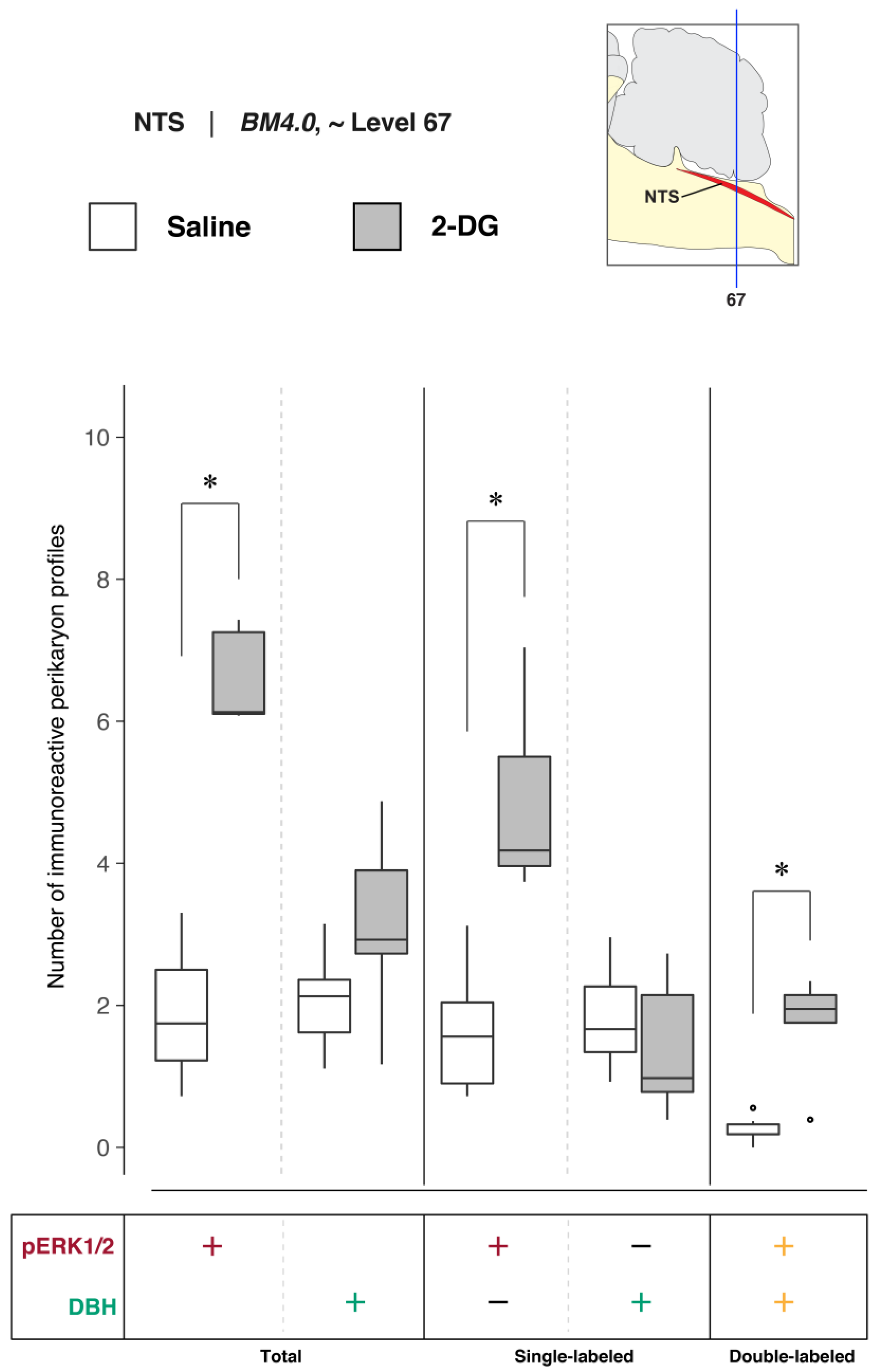
3.2.1. Representative results in single pairs of subjects at atlas level 67
Phospho-ERK1/2-Immunoreactive Patterns Mapped to Level 67
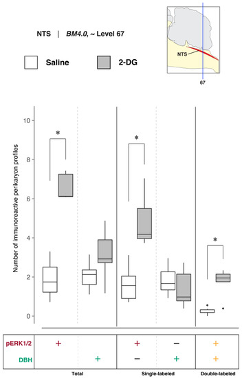
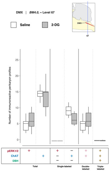
3.2.2. Group-Level Effects of Saline Versus 2-Deoxy-d-Glucose Administration on NTS and DMX Activation at BM4.0 Atlas Level 67
Quantitative Analysis of NTS Activation and DBH-immunoreactive Perikarya at Level 67
Quantitative Analysis of NTS Activation and DBH-Immunoreactive Perikarya at Level 67
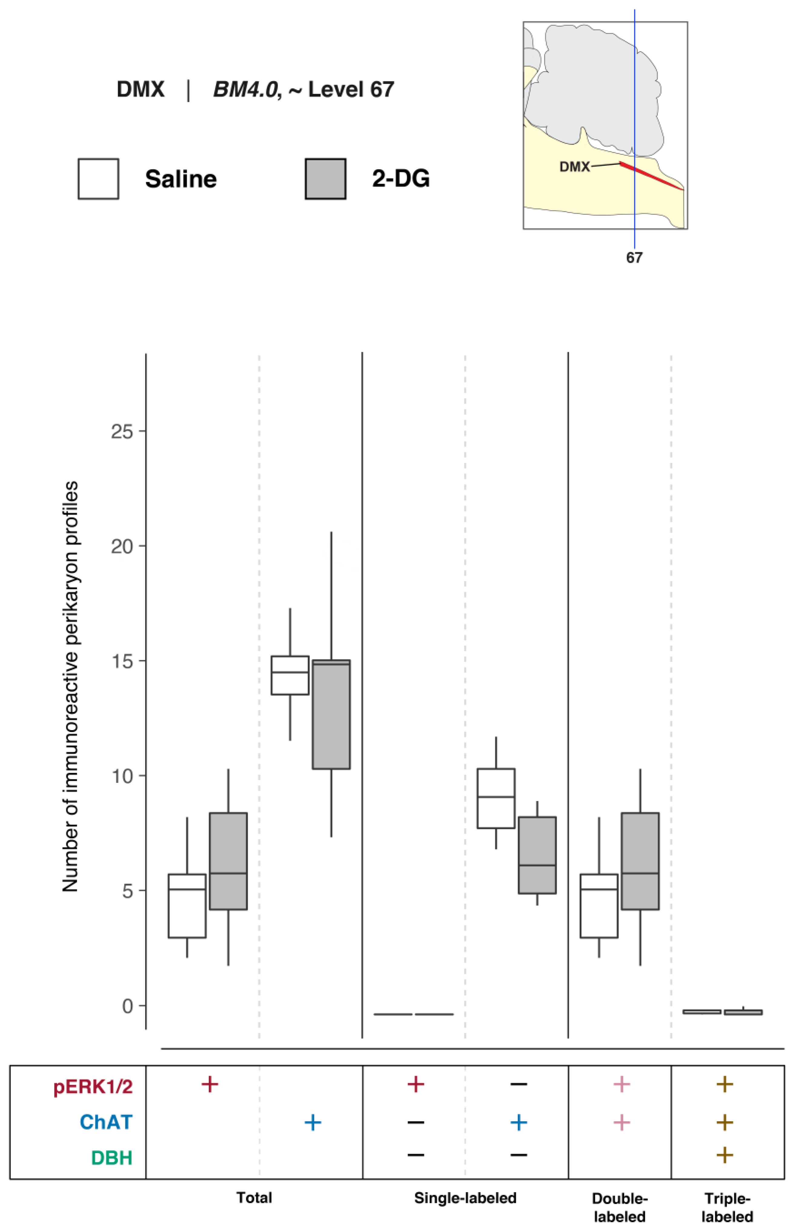
Quantitative Analysis of DMX Activation and DBH- and ChAT-Immunoreactive Perikarya at Level 67
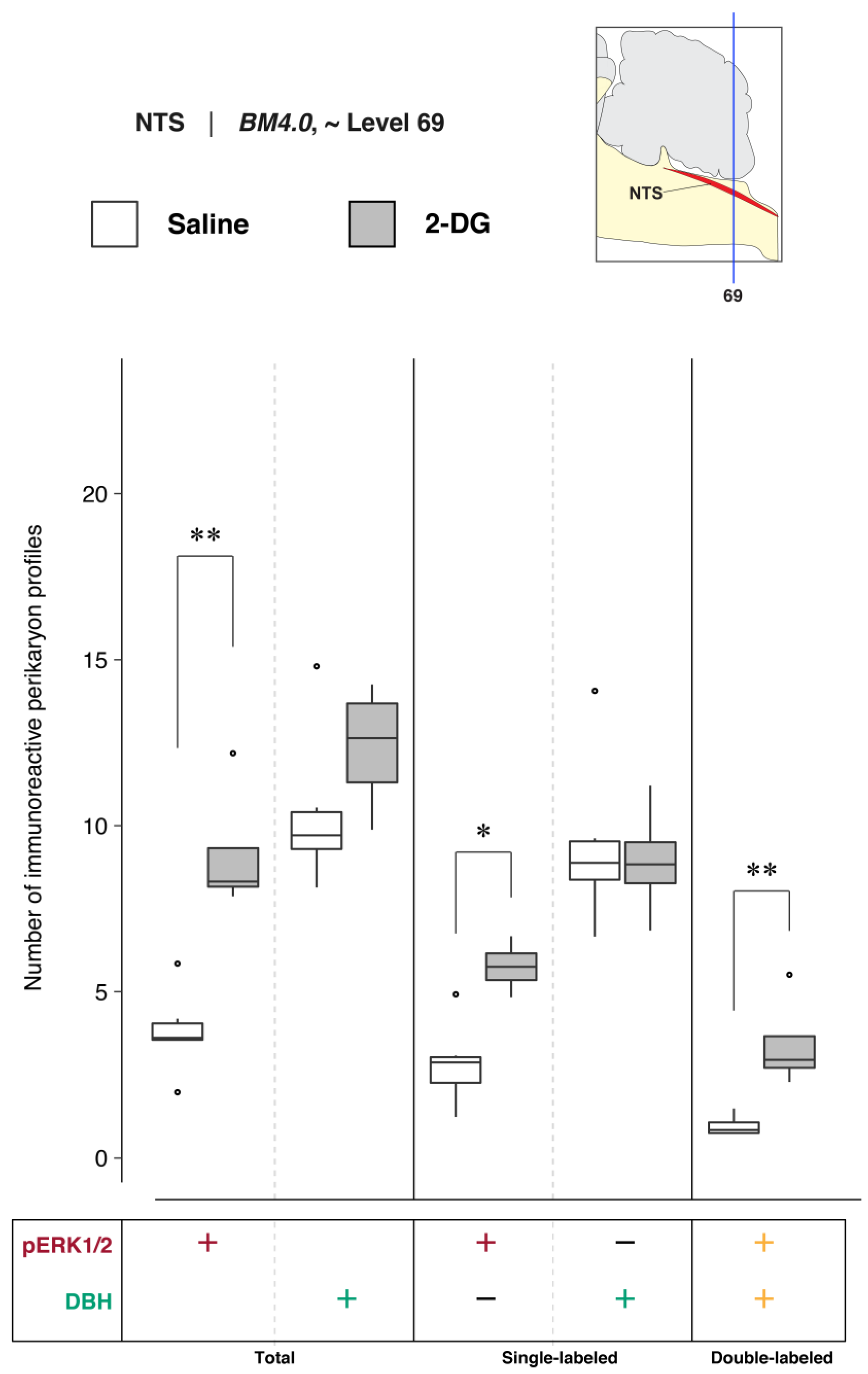
3.2.3. Representative Results in Single Pairs of Subjects at Atlas Level 69
Phospho-ERK1/2-Immunoreactive Patterns Mapped to Level 69
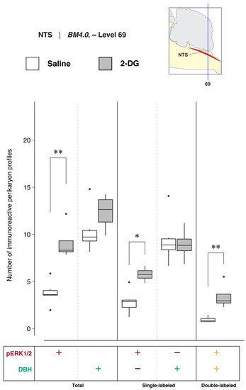
3.2.4. Group-Level Effects of Saline Versus 2-Deoxy-d-Glucose Administration on NTS and DMX Activation at BM4.0 Atlas Level 69
Quantitative Analysis of NTS Activation and DBH-immunoreactive Perikarya at Level 69
Quantitative Analysis of NTS Activation and DBH-Immunoreactive Perikarya at Level 69
Quantitative Analysis of DMX Activation and DBH- and ChAT-Immunoreactive Perikarya at Level 69
4. Discussion
4.1. Physiological Considerations
4.1.1. Phospho-ERK1/2 as Rapid Trackers of Neuronal Activation
4.1.2. Intravenous 2-Deoxy-d-Glucose as a Physiologically Relevant Glycemic Challenge
4.1.3. Stimulus-Response Coupling: 2-DG Coupling with Phospho-ERK1/2 and Alternate Coupling Relationships and Associations
4.1.4. Physiological Significance
4.2. Anatomical Considerations
4.2.1. Standardized Mapping of Activation Patterns in the Brain
4.2.2. Alignment of Activation Patterns with Connectivity Data for the Brain
4.3. Limitations of this Study
5. Conclusions
Supplementary Materials
Author Contributions
Funding
Institutional Review Board Statement
Data Availability Statement
Acknowledgments
Conflicts of Interest
Abbreviations
| AP | Area postrema (>1840) |
| BSTov | Bed nuclei of terminal stria, anterior division, oval nucleus (Ju and Swanson, 1989) [211] |
| C | Central canal (Bellingeri, 1823) [221] |
| Cmd | Central canal of medulla (>1840) |
| DMX | Dorsal motor nucleus of vagus nerve (>1840) |
| ht | Hypoglossal triangle (>1840) |
| LC | Locus ceruleus (Wenzel and Wenzel, 1812) [82] |
| LDT | Laterodorsal tegmental nucleus (>1840) |
| MEPO | Median preoptic nucleus (Loo, 1931) [210] |
| MEV | Midbrain nucleus of trigeminal (>1840) |
| MY | Medulla (Winslow, 1733) [42] |
| NTS | Nucleus of solitary tract (>1840) |
| NTSce | Nucleus of solitary tract, central subzone (>1840) |
| NTSco | Nucleus of solitary tract, commissural part (>1840) |
| NTSge | Nucleus of solitary tract, gelatinous subzone (>1840) |
| NTSl | Nucleus of solitary tract, Lateral part (>1840) |
| NTSm | Nucleus of solitary tract, Medial part (>1840) |
| NTSmc | Nucleus of solitary tract, Medial part, Caudal zone general, caudal subzone (>1840) |
| NTSmc | Nucleus of solitary tract, Medial part, Caudal zone general (>1840) |
| PB | Parabrachial nucleus (>1840) |
| PCG | Pontine central gray (>1840) |
| PCGg | Pontine central gray general (Swanson, 2004) [216] |
| RB | Rhombic brain (His, 1893) [21] |
| scp | Superior cerebellar peduncle (Procháska, 1800) [222] |
| slm | Limiting sulcus of fourth ventricle (>1840) |
| ts | Solitary tract(>1840) |
| V4f | Floor of fourth ventricle (Reil, 1807–1808) [223] |
| vt | Vagal triangle (>1840) |
| XII | Hypoglossal nucleus (>1840) |
| z | Nucleus z (>1840) |
References
- Cryer, P.E. Banting Lecture: Hypoglycemia: The limiting factor in the management of IDDM. Diabetes 1994, 43, 1378–1389. [Google Scholar] [CrossRef] [PubMed]
- Hirsch, I.B. Insulin analogues. N. Engl. J. Med. 2005, 352, 174–183. [Google Scholar] [CrossRef] [PubMed]
- Leese, G.P.; Wang, J.; Broomhall, J.; Kelly, P.; Marsden, A.; Morrison, W.; Brian, M.; Frier, M.D.; Andrew, D.; Morris, M.D.; et al. Frequency of severe hypoglycemia requiring emergency treatment in type 1 and type 2 diabetes: A population-based study of health service resource use. Diabetes Care 2003, 26, 1176–1180. [Google Scholar] [CrossRef] [PubMed]
- Cryer, P.E. Mechanisms of sympathoadrenal failure and hypoglycemia in diabetes. J. Clin. Investig. 2006, 116, 1470–1473. [Google Scholar] [CrossRef]
- Cryer, P.E. Hypoglycemia: Still the limiting factor in the glycemic management of diabetes. Endocr. Pract. 2008, 14, 750–756. [Google Scholar] [CrossRef]
- Cryer, P.E. Hierarchy of physiological responses to hypoglycemia: Relevance to clinical hypoglycemia in Type I (Insulin Dependent) Diabetes Mellitus. Horm. Metab. Res. 1997, 29, 92–96. [Google Scholar] [CrossRef]
- Cryer, P.E. Mechanisms of hypoglycemia-associated autonomic failure and its component syndromes in diabetes. Diabetes 2005, 54, 3592–3601. [Google Scholar] [CrossRef]
- Smith, D.; Amiel, S.A. Hypoglycaemia unawareness and the brain. Diabetologia 2002, 45, 949–958. [Google Scholar] [CrossRef]
- Senthilkumaran, M.; Zhou, X.-F.; Bobrovskaya, L. Challenges in modelling hypoglycaemia-associated autonomic failure: A review of human and animal studies. Int. J. Endocrinol. 2016, 9801640. [Google Scholar] [CrossRef]
- McCrimmon, R. Consequences of recurrent hypoglycaemia on brain function in diabetes. Diabetologia 2021, 64, 971–977. [Google Scholar] [CrossRef]
- Hevener, A.L.; Bergman, R.N.; Donovan, C.M. Portal vein afferents are critical for the sympathoadrenal response to hypoglycemia. Diabetes 2000, 49, 8–12. [Google Scholar] [CrossRef]
- Frizzell, R.T.; Jones, E.M.; Davis, S.N.; Biggers, D.W.; Myers, S.R.; Connolly, S.C.; Neal, D.; Jaspan, J.; Cherrington, A. Counterregulation during hypoglycemia is directed by widespread brain regions. Diabetes 1993, 42, 1253–1261. [Google Scholar] [CrossRef]
- Routh, V.H.; Donovan, C.M.; Ritter, S. Hypoglycemia detection. Transl. Endocrinol. Metab. 2012, 3, 47–87. [Google Scholar] [CrossRef]
- Tesfaye, N.; Seaquist, E.R. Neuroendocrine responses to hypoglycemia. Ann. N. Y. Acad. Sci. 2010, 1212, 12–28. [Google Scholar] [CrossRef]
- Watts, A.G.; Kanoski, S.E.; Sanchez-Watts, G.; Langhans, W. The physiological control of eating: Signals, neurons, and networks. Physiol. Rev. 2022, 102, 689–813. [Google Scholar] [CrossRef]
- Carus, C.G. Versuch einer Darstellung des Nervensystems und Insbesondere des Gehirns nach ihrer Bedeutung, Entwickelung und Vollendung im thierischen Organismus; Breitkopf und Härtel: Leipzig, Germany, 1814; Available online: https://archive.org/details/b24918131 (accessed on 1 March 2023).
- Ritter, S.; Li, A.J.; Wang, Q.; Dinh, T.T. The value of looking backward: The essential role of the hindbrain in counterregulatory responses to glucose deficit. Endocrinology 2011, 152, 4019–4032. [Google Scholar] [CrossRef]
- Donovan, C.M.; Watts, A.G. Peripheral and central glucose sensing in hypoglycemic detection. Physiology 2014, 29, 314–324. [Google Scholar] [CrossRef]
- Chan, O.; Sherwin, R.S. Is there cross talk between portal and hypothalamic glucose-sensing circuits? Diabetes 2014, 63, 2617–2619. [Google Scholar] [CrossRef][Green Version]
- Verberne, A.J.M.; Sabetghadam, A.; Korim, W.S. Neural pathways that control the glucose counterregulatory response. Front. Neurosci. 2014, 8, 38. [Google Scholar] [CrossRef]
- His, W. Vorschläge zur Eintheilung des Gehirns. In Archiv für Anatomie und Entwickelungsgeschichte; Veit et Comp.: Leipzig, Germany, 1893; pp. 172–179. Available online: https://play.google.com/books/reader?id=ff7fqzGSX7QC&pg=GBS.PA172&hl=en (accessed on 2 July 2022).
- DiRocco, R.J.; Grill, H.J. The forebrain is not essential for sympathoadrenal hyperglycemic response to glucoprivation. Science 1979, 204, 1112–1114. [Google Scholar] [CrossRef]
- Mizuno, Y.; Oomura, Y. Glucose responding neurons in the nucleus tractus solitarius of the rat: In vitro study. Brain Res. 1984, 307, 109–116. [Google Scholar] [CrossRef] [PubMed]
- Dallaporta, M.; Himmi, T.; Perrin, J.; Orsini, J.-C. Solitary tract nucleus sensitivity to moderate changes in glucose level. NeuroReport 1999, 10, 2657–2660. [Google Scholar] [CrossRef] [PubMed]
- Yettefti, K.; Orsini, J.-C.; Perrin, J. Characteristics of glycemia-sensitive neurons in the nucleus tractus solitarii: Possible involvement in nutritional regulation. Physiol. Behav. 1997, 61, 93–100. [Google Scholar] [CrossRef] [PubMed]
- Marty, N.; Dallaporta, M.; Foretz, M.; Emery, M.; Tarussio, D.; Bady, I.; Binnert, C.; Beermann, F.; Thorens, B. Regulation of glucagon secretion by glucose transporter type 2 (glut2) and astrocyte-dependent glucose sensors. J. Clin. Investig. 2005, 115, 3545–3553. [Google Scholar] [CrossRef] [PubMed]
- Klip, A.; Hawkins, M. Desperately seeking sugar: Glial cells as hypoglycemia sensors. J. Clin. Investig. 2005, 115, 3403–3405. [Google Scholar] [CrossRef]
- Lamy, C.M.; Sanno, H.; Labouèbe, G.; Picard, A.; Magnan, C.; Chatton, J.-Y.; Thorens, B. Hypoglycemia-activated GLUT2 neurons of the nucleus tractus solitarius stimulate vagal activity and glucagon secretion. Cell Metab. 2014, 19, 527–538. [Google Scholar] [CrossRef]
- Boychuk, C.R.; Gyarmati, P.; Xu, H.; Smith, B.N. Glucose sensing by GABAergic neurons in the mouse nucleus tractus solitarii. J. Neurophysiol. 2015, 114, 999–1007. [Google Scholar] [CrossRef]
- Parker, L.M.; Kumar, N.N.; Lonergan, T.; McMullan, S.; Goodchild, A.K. Distribution and neurochemical characterization of neurons in the rat ventrolateral medulla activated by glucoprivation. Brain Struct. Funct. 2015, 220, 117–134. [Google Scholar] [CrossRef]
- Roberts, B.L.; Zhu, M.; Zhao, H.; Dillon, C.; Appleyard, S.M. High glucose increases action potential firing of catecholamine neurons in the nucleus of the solitary tract by increasing spontaneous glutamate inputs. Am. J. Physiol. Regul. Integr. Comp. Physiol. 2017, 313, R229–R239. [Google Scholar] [CrossRef]
- Pitra, S.; Smith, B.N. Musings on the wanderer: What’s new in our understanding of vago-vagal reflexes? VI. Central vagal circuits that control glucose metabolism. Am. J. Physiol. Gastrointest. Liver Physiol. 2021, 320, G175–G182. [Google Scholar] [CrossRef]
- Garfield, A.S.; Shah, B.P.; Madara, J.C.; Burke, L.K.; Patterson, C.M.; Flak, J.; Neve, R.; Evans, M.; Lowell, B.; Myers, M.G., Jr.; et al. A parabrachial-hypothalamic cholecystokinin neurocircuit controls counterregulatory responses to hypoglycemia. Cell Metab. 2014, 20, 1030–1037. [Google Scholar] [CrossRef]
- de Araujo, I.E. Expanding the brain glucosensing territory. Cell Metab. 2014, 20, 933–935. [Google Scholar] [CrossRef][Green Version]
- Kakall, Z.M.; Nedoboy, P.; Farnham, M.M.J.; Pilowsky, P.M. Activation of μ-opioid receptors in the rostral ventrolateral medulla blocks the sympathetic counterregulatory response to glucoprivation. Am. J. Physiol. Regul. Integr. Comp. Physiol. 2018, 315, R1115–R1122. [Google Scholar] [CrossRef]
- Sato, M.; Minabe, S.; Sakano, T.; Magata, F.; Nakamura, S.; Watanabe, Y.; Inoue, N.; Uenoyama, Y.; Tsukamura, H.; Matsuda, F. Morphological analysis of the hindbrain glucose sensor-hypothalamic neural pathway activated by hindbrain glucoprivation. Endocrinology 2021, 162, bqab125. [Google Scholar] [CrossRef]
- Ritter, S.; Taylor, J.S. Vagal sensory neurons are required for lipoprivic but not glucoprivic feeding in rats. Am. J. Physiol. Regul. Integr. Comp. Physiol. 1990, 258, R1395–R1401. [Google Scholar] [CrossRef]
- Ritter, S.; Dinh, T.T. 2-Mercaptoacetate and 2-deoxy-d-glucose induce Fos-like immunoreactivity in rat brain. Brain Res. 1994, 641, 111–120. [Google Scholar] [CrossRef]
- Ritter, S.; Ritter, J.B.; Cromer, L. 2-deoxy-d-glucose and mercaptoacetate induce different patterns of macronutrient ingestion. Physiol. Behav. 1999, 66, 709–715. [Google Scholar] [CrossRef]
- Ritter, S.; Dinh, T.T.; Zhang, Y. Localization of hindbrain glucoreceptive sites controlling food intake and blood glucose. Brain Res. 2000, 856, 37–47. [Google Scholar] [CrossRef]
- Sanders, N.M.; Ritter, S. Repeated 2-deoxy-d-glucose-induced glucoprivation attenuates Fos expression and glucoregulatory responses during subsequent glucoprivation. Diabetes 2000, 49, 1865–1874. [Google Scholar] [CrossRef][Green Version]
- Winslow, J.B. An Anatomical Exposition of the Structure of the Human Body; Translated from the French Original [1732]; Douglas, G., Translator; Prevost: London, UK, 1733; Available online: https://archive.org/details/anatomicalexposi00wins/page/n9/mode/2up (accessed on 4 March 2023).
- Ritter, S.; Bugarith, K.; Dinh, T.T. Immunotoxic destruction of distinct catecholamine subgroups produces selective impairment of glucoregulatory responses and neuronal activation. J. Comp. Neurol. 2001, 432, 197–216. [Google Scholar] [CrossRef]
- Ritter, S.; Watts, A.G.; Dinh, T.T.; Sanchez-Watts, G.; Pedrow, C. Immunotoxin lesion of hypothalamically projecting norepinephrine and epinephrine neurons differentially affects circadian and stressor-stimulated corticosterone secretion. Endocrinology 2003, 144, 1357–1367. [Google Scholar] [CrossRef] [PubMed]
- Li, A.-J.; Wang, Q.; Dinh, T.T.; Wiater, M.F.; Eskelsen, A.K.; Ritter, S. Hindbrain catecholamine neurons control rapid switching of metabolic substrate use during glucoprivation in male rats. Endocrinology 2013, 154, 4570–4579. [Google Scholar] [CrossRef] [PubMed][Green Version]
- Rogers, R.C.; McDougal, D.H.; Ritter, S.; Qualls-Creekmore, E.; Hermann, G.E. Response of catecholaminergic neurons in the mouse hindbrain to glucoprivic stimuli is astrocyte dependent. Am. J. Physiol. Regul. Integr. Comp. Physiol. 2018, 315, R153–R164. [Google Scholar] [CrossRef] [PubMed]
- Li, A.-I.; Wang, Q.; Ritter, S. Activation of catecholamine neurons in the ventral medulla reduces CCK-induced hypophagia and c-Fos activation in dorsal medullary catecholamine neurons. Am. J. Physiol. Regul. Integr. Comp. Physiol. 2018, 315, R442–R452. [Google Scholar] [CrossRef] [PubMed]
- Ritter, S.; Li, A.-I.; Wang, Q. Hindbrain glucoregulatory mechanisms: Critical role of catecholamine neurons in the ventrolateral medulla. Physiol. Behav. 2019, 208, 112568. [Google Scholar] [CrossRef]
- Li, A.-I.; Wang, Q.; Ritter, S. Repeated pharmacogenetic catecholamine neuron activation in the ventrolateral medulla attenuates subsequent glucoregulatory responses. Diabetes 2020, 69, 2747–2755. [Google Scholar] [CrossRef]
- Senthilkumaran, M.; Bobrovskaya, L.; Verberne, A.J.M.; Llewellyn-Smith, I.J. Insulin-responsive autonomic neurons in rat medulla oblongata. J. Comp. Neurol. 2018, 526, 2665–2682. [Google Scholar] [CrossRef]
- Jokiaho, A.J.; Donovan, C.M.; Watts, A.G. The rate of fall of blood glucose determines the necessity of forebrain-projecting catecholaminergic neurons for male rat sympathoadrenal responses. Diabetes 2014, 63, 2854–2865. [Google Scholar] [CrossRef]
- Kuhlenbeck, H. Vorlesungen über das Zentralnervensystem der Wirbeltiere; Fischer: Jena, Germany, 1927. [Google Scholar]
- Oomura, Y.; Ono, T.; Ooyama, H.; Wayner, M.J. Glucose and osmosensitive neurones of the rat hypothalamus. Nature 1969, 222, 282–284. [Google Scholar] [CrossRef]
- Oomura, Y.; Ooyama, H.; Sugimori, H.; Nakamura, T.; Yamada, Y. Glucose inhibition of the glucose-sensitive neurone in the rat lateral hypothalamus. Nature 1974, 247, 284–286. [Google Scholar] [CrossRef]
- Oomura, Y.; Yoshimatsu, H. Neural network of glucose monitoring system. J. Auton. Nerv. Syst. 1984, 10, 359–372. [Google Scholar] [CrossRef]
- Routh, V.H.; Hao, L.; Santiago, A.M.; Sheng, Z.; Zhou, C. Hypothalamic glucose sensing: Making ends meet. Front. Syst. Neurosci. 2014, 8, 236. [Google Scholar] [CrossRef]
- Tu, L.; Fukuda, M.; Tong, Q.; Xu, Y. The ventromedial hypothalamic nucleus: Watchdog of whole-body glucose homeostasis. Cell Biosci. 2022, 12, 71. [Google Scholar] [CrossRef]
- Zhou, C.; Teegala, S.B.; Khan, B.A.; Gonzalez, C.; Routh, V.H. Hypoglycemia: Role of hypothalamic glucose-inhibited (GI) neurons in detection and correction. Front. Physiol. 2018, 9, 192. [Google Scholar] [CrossRef]
- Williams, R.H.; Alexopoulos, H.; Jensen, L.T.; Fugger, L.; Burdakov, D. Adaptive sugar sensors in hypothalamic feeding circuits. Proc. Natl. Acad. Sci. USA 2008, 105, 11975–11980. [Google Scholar] [CrossRef]
- Venner, A.; Karnani, M.M.; Gonzalez, J.A.; Jensen, L.T.; Fugger, L.; Burdakov, D. Orexin neurons as conditional glucosensors: Paradoxical regulation of sugar sensing by intracellular fuels. J. Physiol. 2011, 589, 5701–5708. [Google Scholar] [CrossRef]
- Melnick, I.V.; Price, C.J.; Colmers, W.F. Glucosensing in parvocellular neurons of the rat paraventricular hypothalamus. Eur. J. Neurosci. 2011, 34, 272–282. [Google Scholar] [CrossRef]
- Foster, N.N.; Azam, S.; Watts, A.G. Rapid-onset hypoglycemia suppresses Fos expression in discrete parts of the ventromedial nucleus of the hypothalamus. Am. J. Physiol. Regul. Integr. Comp. Physiol. 2016, 310, R1177–R1185. [Google Scholar] [CrossRef]
- Korim, W.S.; Farah, L.B.; McMullan, S.; Verberne, A.J.M. Orexinergic activation of medullary premotor neurons modulates the adrenal sympathoexcitation to hypothalamic glucoprivation. Diabetes 2014, 63, 1895–1906. [Google Scholar] [CrossRef]
- Sabetghadam, A.; Korim, W.S.; Verberne, A.J. Perifornical hypothalamic pathway to the adrenal gland: Role for glutamatergic transmission in the glucose counterregulatory response. Auton. Neurosci. 2017, 203, 67–73. [Google Scholar] [CrossRef]
- Korim, W.S.; Llewellyn-Smith, I.J.; Verberne, A.J.M. Activation of medulla-projecting perifornical neurons modulates the adrenal sympathetic response to hypoglycemia: Involvement of orexin type 2 (OX2-R) receptors. Endocrinology 2016, 157, 810–819. [Google Scholar] [CrossRef] [PubMed]
- Papazoglou, I.; Lee, J.-H.; Cui, Z.; Li, C.; Fulgenzi, G.; Bahn, Y.J.; Staniszewska-Goraczniak, H.; Piñol, R.; Hogue, I.; Enquist, L.; et al. A distinct hypothalamus-to-β cell circuit modulates insulin secretion. Cell Metab. 2022, 34, 285–298.e7. [Google Scholar] [CrossRef] [PubMed]
- Khan, A.M.; Watts, A.G. Intravenous 2-deoxy-d-glucose injection rapidly elevates levels of the phosphorylated forms of p44/42 Mitogen-Activated Protein kinases (Extracellularly Regulated Kinases 1/2) in rat hypothalamic parvicellular paraventricular neurons. Endocrinology 2004, 145, 351–359. [Google Scholar] [CrossRef] [PubMed][Green Version]
- Khan, A.M.; Ponzio, T.A.; Sanchez-Watts, G.; Stanley, B.G.; Hatton, G.I.; Watts, A.G. Catecholaminergic control of mitogen-activated protein kinase signaling in paraventricular neuroendocrine neurons in vivo and in vitro: A proposed role during glycemic challenges. J. Neurosci. 2007, 27, 7344–7360. [Google Scholar] [CrossRef]
- Gorton, L.M.; Khan, A.M.; Bohland, M.; Sanchez-Watts, G.; Donovan, C.M.; Watts, A.G. A role for the forebrain in mediating time-of-day differences in glucocorticoid counterregulatory responses to hypoglycemia. Endocrinology 2007, 148, 6026–6039. [Google Scholar] [CrossRef][Green Version]
- Khan, A.M.; Kaminski, K.L.; Sanchez-Watts, G.; Ponzio, T.A.; Kuzmiski, J.B.; Bains, J.S.; Watts, A.G. MAP kinases couple hindbrain-derived catecholamine signals to hypothalamic adrenocortical control mechanisms during glycemia-related challenges. J. Neurosci. 2011, 31, 18479–18491. [Google Scholar] [CrossRef][Green Version]
- Watts, A.G.; Khan, A.M. Identifying links in the chain: The dynamic coupling of catecholamines, peptide synthesis, and peptide release in hypothalamic neuroendocrine neurons. Adv. Pharmacol. 2013, 68, 421–444. [Google Scholar] [CrossRef]
- Khan, A.M.; Walker, E.M.; Dominguez, N.; Watts, A.G. Neural input is critical for arcuate hypothalamic neurons to mount intracellular signaling responses to systemic insulin and deoxyglucose challenges in male rats: Implications for communication within feeding and metabolic control networks. Endocrinology 2014, 155, 405–416. [Google Scholar] [CrossRef]
- Khan, A.M.; Walker, E.M.; Watts, A.G. Tracking the coupling of external signals to intracellular programs controlling peptide synthesis and release in hypothalamic neuroendocrine neurons. In Stress: Neuroendocrinology and Neurobiology (Handbook of Stress, Volume 2); Fink, G., Ed.; Elsevier: Amsterdam, The Netherlands, 2017; pp. 67–81. [Google Scholar] [CrossRef]
- Aklan, I.; Atasoy, N.S.; Yavuz, Y.; Ates, T.; Coban, I.; Koksalar, F.; Filiz, G.; Topcu, I.C.; Oncul, M.; Dilsiz, P.; et al. NTS catecholamine neurons mediate hypoglycemic hunger via medial hypothalamic feeding pathways. Cell Metab. 2020, 31, 313–326. [Google Scholar] [CrossRef]
- Bohland, M.; Matveyenko, A.V.; Saberi, M.; Khan, A.M.; Watts, A.G. Activation of hindbrain neurons is mediated by portal-mesenteric vein glucosensors during slow-onset hypoglycemia. Diabetes 2014, 63, 2866–2875. [Google Scholar] [CrossRef]
- Garcia-Luna, C.; Sanchez-Watts, G.; Arnold, M.; de Lartigue, G.; DeWalt, N.; Langhans, W.; Watts, A.G. The medullary targets of neurally conveyed sensory information from the rat hepatic portal and superior mesenteric veins. eNeuro 2021, 8, ENEURO.0419-20.2021. [Google Scholar] [CrossRef] [PubMed]
- Kovács, K.J. c-Fos as a transcription factor: A stressful (re)view from a functional map. Neurochem. Int. 1998, 33, 287–297. [Google Scholar] [CrossRef] [PubMed]
- Watts, A.G.; Khan, A.M.; Sanchez-Watts, G.; Salter, D.; Neuner, C.M. Activation in neural networks controlling ingestive behaviors: What does it mean, and how do we map and measure it? Physiol. Behav. 2006, 89, 501–510. [Google Scholar] [CrossRef] [PubMed]
- Khan, A.M. Controlling feeding behavior by chemical and gene-directed targeting in the brain: What’s so spatial about our methods? Front. Neurosci. 2013, 7, 182. [Google Scholar] [CrossRef] [PubMed]
- Towler, D.A.; Havlin, C.E.; Craft, S.; Cryer, P. Mechanism of awareness of hypoglycemia. Perception of neurogenic (predominantly cholinergic) rather than neuroglycopenic symptoms. Diabetes 1993, 42, 1791–1798. [Google Scholar] [CrossRef]
- Swanson, L.W. Brain maps 4.0—Structure of the rat brain: An open access atlas with global nervous system nomenclature ontology and flatmaps. J. Comp. Neurol. 2018, 526, 935–943. [Google Scholar] [CrossRef]
- Wenzel, J.; Wenzel, K. De Penitiori Structura Cerebri Hominis et Brutorum; Cotta: Tübingen, Germany, 1812; Available online: https://play.google.com/books/reader?id=ff7fqzGSX7QC&pg=GBS.PA172&hl=en (accessed on 5 May 2022).
- Khan, A.M. Insulin-induced hypoglycemia is associated with ERK phosphorylation in locus coeruleus neurons: Implications for arousal triggered by metabolic stress. Presented at the Neurobiology of Stress Workshop 2010, Boulder, CO, USA, 15–19 June 2010.
- Jayewickreme, C.; Ramchandani, A.; Si, G.; Khan, A.M. Insulin-induced hypoglycemia is associated with ERK phosphorylation in locus coeruleus neurons: Implications for arousal triggered by metabolic stress. In Proceedings of the 2010 Neuroscience Meeting Planner, Annual Meeting of the Society for Neuroscience, San Diego, CA, USA, 13–17 November 2010; Society for Neuroscience: Washington, DC, USA, 2010. [Google Scholar]
- Chenausky, S.D.; Carreon, T.A.; Khan, A.M. Rapid activation of hindbrain neurons following glycemic challenge: Regions and phenotypes. In COURI Symposium Abstracts, Summer 2012 [Paper 15]; The University of Texas at El Paso: El Paso, TX, USA, 2012; Available online: http://digitalcommons.utep.edu/couri_abstracts_sum12/15 (accessed on 1 March 2023).
- Chenausky, S.D.; Ramchandani, A.; Si, G.; Thompson, R.H.; Khan, A.M. Hindbrain autonomic nuclei: High resolution imaging of chemoarchitecture and cellular responses to glycemic challenges. In Proceedings of the 2012 Neuroscience Meeting Planner, Annual Meeting of the Society for Neuroscience New Orleans, LA, USA, 13–17 October 2012; Society for Neuroscience: Washington, DC, USA, 2012; Program No. 93.14. [Google Scholar]
- Barnes, J.N.; Molina, D.D.; Tapia, G.P.; Khan, A.M. Atlas-based spatial analysis of rat hindbrain regions that display rapid activation in association with glycemic challenge. In Fall 2019 UTEP COURI Symposium; The University of Texas at El Paso: El Paso, TX, USA, 2019. [Google Scholar]
- Tapia, G.P.; Agostinelli, L.J.; Chenausky, S.D.; Barnes, J.; Molina, D.D.; Khan, A.M. Atlas-based spatial analysis of rat hindbrain regions that display rapid activation in association with glycemic challenge. In Proceedings of the 2019 Neuroscience Meeting Planner, Annual Meeting of the Society for Neuroscience, Chicago, IL, USA, 19–23 October 2019; Society for Neuroscience: Washington, DC, USA, 2019. [Google Scholar]
- Tapia, G.P.; Agostinelli, L.J.; Salcido, J.V.; Esquivel, J.; Khan, A.M. Atlas-based spatial analysis and quantitative assessment of the rat hindbrain regional response to glycemic challenge. Program No. 254.02. Presented at Global Connectome Meeting of the Society for Neuroscience, Online, 11–13 January 2021.
- Swanson, L.W. Neuroanatomical Terminology: A Lexicon of Classical Origins and Historical Foundations; Oxford University Press: New York, NY, USA, 2015. [Google Scholar]
- Salter, D.; Watts, A.G. Differential suppression of hyperglycemic, feeding, and neuroendocrine responses in anorexia. Am. J. Physiol. Regul. Integr. Comp. Physiol. 2003, 284, R174–R182. [Google Scholar] [CrossRef][Green Version]
- Swanson, L.W.; Bota, M. Foundational model of nervous system structural connectivity with a schema for wiring diagrams, connectome, and basic plan architecture. Proc. Natl. Acad. Sci. USA 2010, 107, 20610–20617. [Google Scholar] [CrossRef]
- Rinaman, L. Postnatal development of catecholamine inputs to the paraventricular nucleus of the hypothalamus in rats. J. Comp. Neurol. 2001, 438, 411–422. [Google Scholar] [CrossRef]
- Márquez-Ruiz, J.; Morcuende, S.; Navarro-López, J.D.D.; Escudero, M. Anatomical and pharmacological relationship between acetylcholine and nitric oxide in the prepositus hypoglossi nucleus of the cat: Functional implications for eye-movement control. J. Comp. Neurol. 2007, 503, 407–420. [Google Scholar] [CrossRef]
- Sutton, G.M.; Patterson, L.M.; Berthoud, H.-R. Extracellular Signal-Regulated Kinase 1/2 signaling pathway in solitary nucleus mediates cholecystokinin-induced suppression of food intake in rats. J. Neurosci. 2004, 24, 10240–10247. [Google Scholar] [CrossRef]
- Sutton, G.M.; Duos, B.; Patterson, L.M.; Berthoud, H.-R. Melanocortinergic modulation of cholecystokinin- induced suppression of feeding through Extracellular Signal-Regulated Kinase signaling in rat solitary nucleus. Endocrinology 2005, 146, 3739–3747. [Google Scholar] [CrossRef]
- Lenhossék, M. Der Feinere Bau Des Nervensystems im Lichte Neuester Forsuchungen, 2nd ed.; Kornfeld, H: Berlin, Germany, 1895; Available online: https://archive.org/details/derfeinerebaude00lenh/page/n3/mode/2up (accessed on 21 May 2022).
- Kiernan, J.A. Classification and naming of dyes, stains and fluorochromes. Biotech. Histochem. 2001, 76, 261–278. [Google Scholar] [CrossRef]
- Airy, G.B. On the diffraction of an object-glass with circular aperture. Trans. Camb. Phil. Soc. 1835, 5, 283–291. Available online: https://archive.org/details/transactionsofca05camb/page/n305/mode/2up (accessed on 2 June 2022).
- North, A.J. Seeing is believing? A beginner’s guide to practical pitfalls in image acquisition. J. Cell. Biol. 2006, 172, 9–18. [Google Scholar] [CrossRef]
- Jost, A.P.-T.; Waters, J.C. Designing a rigorous microscopy experiment: Validating methods and avoiding bias. J. Cell Biol. 2019, 218, 1452–1466. [Google Scholar] [CrossRef]
- Zséli, G.; Vida, B.; Martinez, A.; Lechan, R.M.; Khan, A.M.; Fekete, C. Elucidation of the anatomy of a satiety network: Focus on connectivity of the parabrachial nucleus in the adult rat. J. Comp. Neurol. 2016, 524, 2803–2827. [Google Scholar] [CrossRef] [PubMed]
- Simmons, D.M.; Swanson, L.W. Comparing histological data from different brains: Sources of error and strategies for minimizing them. Brain Res. Rev. 2009, 60, 349–367. [Google Scholar] [CrossRef]
- Saper, C. Any way you cut it: A new journal policy for the use of unbiased counting methods. J. Comp. Neurol. 1996, 364, 5. [Google Scholar] [CrossRef]
- Coggeshall, R.E.; Lekan, H.A. Methods for determining numbers of cells and synapses: A case for more uniform standards of review. J. Comp. Neurol. 1996, 364, 6–15. [Google Scholar] [CrossRef]
- Abercrombie, M. Estimation of nuclear population from microtome sections. Anat. Rec. 1946, 94, 239–247. [Google Scholar] [CrossRef] [PubMed]
- Shapiro, S.S.; Wilk, M.B. An analysis of variance test for normality (complete samples). Biometrika 1965, 52, 591–611. [Google Scholar] [CrossRef]
- Wilcoxon, F. Individual comparisons by ranking methods. Biometr. Bull. 1945, 1, 80–83. [Google Scholar] [CrossRef]
- Kruskal, W.H. Historical notes on the Wilcoxon unpaired two-sample test. J. Am. Stat. Assoc. 1957, 52, 356–360. [Google Scholar] [CrossRef]
- Benjamini, Y.; Hochberg, Y. Controlling the False Discovery Rate: A practical and powerful approach to multiple testing. J. R. Stat. Soc. B 1995, 57, 289–300. Available online: https://www.jstor.org/stable/2346101 (accessed on 1 March 2023). [CrossRef]
- R Core Team. R: A language and Environment for Statistical Computing; R Foundation for Statistical Computing: Vienna, Austria, 2019; Available online: https://www.R-project.org/ (accessed on 1 March 2023).
- Kassambara, A. rstatix: Pipe-Friendly Framework for Basic Statistical Tests. R Package, Version 0.7.0. Available online: https://CRAN.R-project.org/package=rstatix (accessed on 1 March 2023).
- Wickham, H. ggplot2: Elegant Graphics for Data Analysis; Springer-Verlag: New York, NY, USA, 2016. [Google Scholar]
- Swanson, L.W. The locus coeruleus: A cytoarchitectonic, Golgi and immunohistochemical study in the albino rat. Brain Res. 1976, 110, 39–56. [Google Scholar] [CrossRef]
- Grzanna, R.; Morrison, J.H.; Coyle, J.T.; Molliver, M.E. The immunohistochemical demonstration of noradrenergic neurons in the rat brain: The use of homologous anti-serum to dopamine-β-hydroxylase. Neurosci. Lett. 1977, 4, 127–134. [Google Scholar] [CrossRef]
- Grzanna, R.; Molliver, M.E.; Coyle, J.T. Visualization of central noradrenergic neurons in thick sections by the unlabeled antibody method: A transmitter-specific Golgi image. Proc. Natl. Acad. Sci. USA 1978, 75, 2502–2506. [Google Scholar] [CrossRef]
- Cimarusti, D.L.; Saito, K.; Vaughn, J.E.; Barber, R.; Roberts, E.; Thomas, P.E. Immunocytochemical localization of dopamine-β-hydroxylase in rat locus coeruleus and hypothalamus. Brain Res. 1979, 162, 55–67. [Google Scholar] [CrossRef]
- Grzanna, R.; Molliver, M.E. The locus coeruleus in the rat: An immunohistochemical delineation. Neuroscience 1980, 5, 21–40. [Google Scholar] [CrossRef]
- Hökfelt, T.; Johansson, O.; Goldstein, M. Central catecholamine neurons with special reference to adrenaline neurons. In Handbook of Chemical Neuroanatomy, Volume 2. Part 1: Classical Transmitters in the CNS; Björklund, A., Hökfelt, T., Eds.; Elsevier: Amsterdam, The Netherlands, 1984; pp. 157–276. [Google Scholar]
- Feynman, R.P. The Pleasure of Finding Things Out: The Best Short Works of Richard P. Feynman; Robbins, J., Ed.; Basic Books: New York, NY, USA, 1999. [Google Scholar]
- Hoffman, G.E.; Smith, M.S.; Verbalis, J.G. c-Fos and related immediate early gene products as markers of activity in neuroendocrine systems. Front. Neuroendocrinol. 1993, 14, 173–213. [Google Scholar] [CrossRef] [PubMed]
- Luckman, S.M.; Dyball, R.E.; Leng, G. Induction of c-fos expression in hypothalamic magnocellular neurons requires synaptic activation and not simply increased spike activity. J. Neurosci. 1994, 14, 4825–4830. [Google Scholar] [CrossRef] [PubMed]
- Bullock, T.H. Signals and signs in the nervous system: The dynamic anatomy of electrical activity is probably information-rich. Proc. Natl. Acad. Sci. USA 1997, 94, 1–6. [Google Scholar] [CrossRef]
- Hoffman, G.E.; Lyo, D. Anatomical markers of activity in neuroendocrine systems: Are we all ‘Fos-ed out’? J. Neuroendocrinol. 2002, 14, 259–268. [Google Scholar] [CrossRef]
- Guzowski, J.F.; Timlin, J.A.; Roysam, B.; McNaughton, B.L.; Worley, P.F.; Barnes, C.A. Mapping behaviorally relevant neural circuits with immediate early gene expression. Curr. Opin. Neurobiol. 2005, 15, 599–606. [Google Scholar] [CrossRef]
- Hudson, A.E. Genetic reporters of neuronal activity: C-Fos and G-CaMP6. Methods Enzymol. 2018, 603, 197–220. [Google Scholar] [CrossRef]
- Chen, Z.; Gibson, T.B.; Robinson, F.; Silvestro, L.; Pearson, G.; Xu, B.; Wright, A.; Vanderbilt, C.; Cobb, M.H. MAP kinases. Chem. Rev. 2001, 101, 2449–2476. [Google Scholar] [CrossRef]
- Flood, D.G.; Finn, J.P.; Walton, K.M.; Dionne, C.A.; Contreras, P.C.; Miller, M.S.; Bhat, R.V. Immunolocalization of the mitogen-activated protein kinases p42MAPK and JNK1, and their regulatory kinases MEK1 and MEK4, in adult rat central nervous system. J. Comp. Neurol. 1998, 398, 373–392. [Google Scholar] [CrossRef]
- Anderson, N.G.; Maller, J.L.; Tonks, N.K.; Sturgill, T.W. Requirement for integration of signals from two distinct phosphorylation pathways for activation of MAP kinase. Nature 1990, 343, 651–653. [Google Scholar] [CrossRef]
- Willmann, R.; Haischer, D.J.; Gust, A.A. Analysis of MAPK activities using MAPK-specific antibodies. Methods Mol. Biol. 2014, 1171, 27–37. [Google Scholar] [CrossRef]
- Borges, G.; Miguelez, C.; Neto, F.; Mico, J.A.; Ugedo, L.; Berrocoso, E. Activation of extracellular signal-regulated kinase (ERK1/2) in the locus coeruleus contributes to pain-related anxiety in arthritic male rats. Int. J. Neuropsychopharmacol. 2017, 20, 463. [Google Scholar] [CrossRef] [PubMed]
- Wu, R.-N.; Kuo, C.-C.; Min, M.-Y.; Chen, R.-F.; Yang, H.-W. Extracellular signal-regulated kinases mediate an autoregulation of GABAB-receptor-activated whole-cell current in locus coeruleus neurons. Sci. Rep. 2020, 10, 7869. [Google Scholar] [CrossRef]
- Heydendael, W.; Sengupta, A.; Beck, S.; Bhatnagar, S. Optogenetic examination identifies a context-specific role for orexins/hypocretins in anxiety-related behavior. Physiol. Behav. 2014, 130, 182–190. [Google Scholar] [CrossRef]
- Campos, C.A.; Ritter, R.C. NMDA-type glutamate receptors participate in reduction of food intake following hindbrain melanocortin receptor activation. Am. J. Physiol. Regul. Integr. Comp. Physiol. 2015, 308, R1–R9. [Google Scholar] [CrossRef]
- Cao, Y.-K.; Guo, Q.; Ma, H.-J.; Wang, R.; Teng, X.; Wu, Y. Microinjection of urotensin II into the rostral ventrolateral medulla increases sympathetic vasomotor tone via the GPR14/ERK pathway in rats. Hypertens. Res. 2020, 43, 765–771. [Google Scholar] [CrossRef]
- Fields, R.D.; Eshete, F.; Stevens, B.; Itoh, K. Action potential-dependent regulation of gene expression: Temporal specificity in Ca2+, cAMP-Responsive Element Binding Proteins, and Mitogen-Activated Protein Kinase signaling. J. Neurosci. 1997, 17, 7252–7266. [Google Scholar] [CrossRef]
- Iacobas, D.A.; Iacobas, S.; Lee, P.R.; Cohen, J.E.; Fields, R.D. Coordinated activity of transcriptional networks responding to the pattern of action potential firing in neurons. Genes 2019, 10, 754. [Google Scholar] [CrossRef]
- Lee, P.R.; Cohen, J.E.; Iacobas, D.A.; Iacobas, S.; Fields, R.D. Gene networks activated by specific patterns of action potentials in dorsal root ganglion neurons. Sci. Rep. 2017, 7, 43765. [Google Scholar] [CrossRef]
- Lee, P.R.; Fields, R.D. Activity-dependent gene expression in neurons. Neuroscientist 2021, 27, 355–366. [Google Scholar] [CrossRef]
- Warburg, O.; Posener, K.; Negelein, E. Über den Stoffwechsel der Carcinomzelle. Biochem. Zeitschr. 1924, 152, 309–344. Available online: https://archive.org/details/sim_biochemische-zeitschrift-beitraege-zur-chemischen_1924_152_0/page/308/mode/2up (accessed on 12 July 2022). [CrossRef]
- Koppenol, W.H.; Bounds, P.L.; Dang, C.V. Otto Warburg’s contributions to current concepts of cancer metabolism. Nat. Rev. Cancer 2011, 11, 325–337. [Google Scholar] [CrossRef] [PubMed]
- Woodward, G.E.; Hudson, M.T. The effect of 2-desoxy-d-glucose on glycolysis and respiration of tumor and normal tissues. Cancer Res. 1954, 14, 599–605. [Google Scholar] [PubMed]
- Burk, D. Über die Begründung einer Chemotherapie des Krebses auf der grundlage einer primären hemmung der glucosephosphorylierung (Hexokinasereaktion) durch beeinflussung von substrat, coenzym und enzym. Wien. Klin. Wochenschr. 1957, 35, 1102–1105. [Google Scholar] [CrossRef] [PubMed]
- Landau, B.R.; Laszlo, J.; Stengle, J.; Burk, D. Certain metabolic and pharmacologic effects in cancer patients given infusions of 2-deoxy-d-glucose. J. Natl. Cancer Inst. 1958, 21, 485–494. [Google Scholar] [CrossRef]
- Laszlo, J.; Harlan, W.R.; Klein, R.F.; Kirshner, N.; Estes, E.H., Jr.; Bogdonoff, M.D. The effect of 2-deoxy-d-glucose infusions on lipid and carbohydrate metabolism in man. J. Clin. Investig. 1961, 40, 171–176. [Google Scholar] [CrossRef]
- Landau, B.R.; Lubs, H.A. Animal responses to 2-deoxy-d-glucose administration. Proc. Soc. Exp. Biol. Med. 1958, 99, 124–127. [Google Scholar] [CrossRef]
- Smith, G.P.; Epstein, A.N. Increased feeding in response to decreased glucose utilization in the rat and monkey. Am. J. Physiol. 1969, 217, 1083–1087. [Google Scholar] [CrossRef]
- Pénicaud, L.; Thompson, D.A.; Le Magnen, J. Effects of 2-deoxy-d-glucose on food and water intake and body temperature in rats. Physiol. Behav. 1986, 36, 431–435. [Google Scholar] [CrossRef]
- Tsujii, S.; Bray, G.A. Effects of glucose, 2-deoxyglucose, phlorizin, and insulin on food intake of lean and fatty rats. Am. J. Physiol. 1990, 258, E476–E481. [Google Scholar] [CrossRef]
- Edmonds, B.K.; Edwards, G.L. Dorsomedial hindbrain participation in glucoprivic feeding response to 2DG but not 2DG-induced hyperglycemia or activation of the HPA axis. Brain Res. 1998, 801, 21–28. [Google Scholar] [CrossRef]
- Thompson, C.I.; Fleming, R.; Franken, K.A.; Hornback, D.A.; Boha, S.P. Dual 24-hour feeding response to 2DG in rats: Daytime increase and nighttime decrease. Physiol. Behav. 1989, 45, 155–161. [Google Scholar] [CrossRef] [PubMed]
- Delprete, E.; Scharrer, E. Effects of 2-deoxy-d-glucose on food intake of rats are affected by diet composition. Physiol. Behav. 1992, 51, 951–956. [Google Scholar] [CrossRef] [PubMed]
- Singer, L.K.; Ritter, S. Differential effects of infused nutrients on 2-deoxy-d-glucose- and 2-mercaptoacetate-induced feeding. Physiol. Behav. 1994, 56, 193–196. [Google Scholar] [CrossRef] [PubMed]
- Sols, A.; Crane, R.K. Substrate specificity of brain hexokinase. J. Biol. Chem. 1954, 210, 581–595. [Google Scholar] [CrossRef] [PubMed]
- Wick, A.N.; Drury, D.R.; Nakada, H.I.; Wolfe, J.B. Localization of the primary metabolic block produced by 2-deoxyglucose. J. Biol. Chem. 1957, 224, 963–969. [Google Scholar] [CrossRef]
- Bachelard, H.S.; Clark, A.G.; Thompson, M.F. Cerebral-cortex hexokinases. Elucidation of reaction mechanisms by substrate and dead-end inhibitor kinetic analysis. Biochem. J. 1971, 123, 707–715. [Google Scholar] [CrossRef]
- Bachelard, H.S. Deoxyglucose and brain glycolysis. Biochem. J. 1972, 127, 83P. [Google Scholar] [CrossRef]
- Grossbard, L.; Schimke, R.T. Multiple hexokinases of rat tissues. Purification and comparison of soluble forms. J. Biol. Chem. 1966, 241, 3546–3560. [Google Scholar] [CrossRef]
- Lineweaver, H.; Burk, D. The determination of enzyme dissociation constants. J. Am. Chem. Soc. 1934, 56, 658–666. [Google Scholar] [CrossRef]
- Horton, R.W.; Meldrum, B.S.; Bachelard, H.S. Enzymic and cerebral metabolic effects of 2-deoxy-d-glucose. J. Neurochem. 1973, 21, 507–520. [Google Scholar] [CrossRef]
- Kessler, S.; Labouèbe, G.; Croizier, S.; Gaspari, S.; Tarussio, D.; Thorens, B. Glucokinase neurons of the paraventricular nucleus of the thalamus sense glucose and decrease food consumption. iScience 2021, 24, 103122. [Google Scholar] [CrossRef]
- Hertog, A.d.; Greengard, P.; Ritchie, J.M. On the metabolic basis of nerve activity. J. Physiol. 1969, 204, 511–521. [Google Scholar] [CrossRef]
- Hertog, A.d.; Ritchie, J.M. A comparison of the effect of temperature, metabolic inhibitors and of ouabain on the electrogenic component of the sodium pump in mammalian non-myelinated nerve fibers. J. Physiol. 1969, 204, 523–538. [Google Scholar] [CrossRef]
- Forte, N.; Medrihan, L.; Cappetti, B.; Baldelli, P.; Benfenati, F. 2-deoxy-d-glucose enhances tonic inhibition through the neurosteroid-mediated activation of extrasynaptic GABAA receptors. Epilepsia 2016, 57, 1987–2000. [Google Scholar] [CrossRef]
- Hartman, A.L. Glycolysis inhibition: The gift of GAB(A). Epilepsy Curr. 2017, 17, 118–120. [Google Scholar] [CrossRef]
- Kim, E.S.; Kim, K.-S.; Lee, C.H.; Jeon, M.-T.; Lee, S.B.; Lee, J.H.; Kim, D.-G. Brain endothelial cells utilize glycolysis for the maintenance of the transcellular permeability. Mol. Neurobiol. 2022, 59, 4315–4333. [Google Scholar] [CrossRef]
- Dumont, J.E.; Dremier, S.; Pirson, I.; Maenhaut, C. Cross signaling, cell specificity and physiology. Am. J. Physiol. Cell Physiol. 2002, 282, C2–C28. [Google Scholar] [CrossRef][Green Version]
- Datema, R.; Schwarz, R.T. Interference with glycosylation of glycoproteins. Inhibition of formation of lipid-linked oligosaccharides in vivo. Biochem. J. 1979, 184, 113–123. [Google Scholar] [CrossRef]
- Kutoglu, M.; Maher, J.C.; Lampidis, T.J. Differential toxic mechanisms of 2-deoxy-d-glucose versus 2-fluorodeoxy-d-glucose in hypoxic and normoxic tumor cells. Antioxid. Redox Signal. 2007, 9, 1383–1390. [Google Scholar] [CrossRef]
- Osaka, T. 2-deoxy-d-glucose-induced hypothermia in anesthetized rats: Lack of forebrain contribution and critical involvement of the rostral raphe/parapyramidal regions of the medulla oblongata. Brain Res. Bull. 2015, 116, 73–80. [Google Scholar] [CrossRef]
- Parker, L.M.; Le, S.; Wearne, T.; Hardwick, K.; Kumar, N.N.; Robinson, K.J.; McMullan, S.; Goodchild, A. Neurochemistry of neurons in the ventrolateral medulla activated by hypotension: Are the same neurons activated by glucoprivation? J. Comp. Neurol. 2017, 525, 2249–2264. [Google Scholar] [CrossRef] [PubMed]
- Gujar, A.D.; Ibrahim, B.A.; Tamraker, P.; Cherian, A.K.; Briski, K.P. Hindbrain lactostasis regulates hypothalamic AMPK activity and metabolic neurotransmitter mRNA and protein responses to hypoglycemia. Am. J. Physiol. Regul. Integr. Comp. Physiol. 2014, 306, R457–R469. [Google Scholar] [CrossRef] [PubMed]
- Grill, H.J. Hindbrain energy status controls hypothalamic metabolic and neuropeptide signals. Focus on "hindbrain lactostasis regulates hypothalamic AMPK activity and hypothalamic metabolic neurotransmitter mRNA and protein responses to hypoglycemia". Am. J. Physiol. Regul. Integr. Comp. Physiol. 2014, 306, R439–R440. [Google Scholar] [CrossRef] [PubMed]
- Damanhuri, H.A.; Burke, P.G.R.; Ong, L.K.; Bobrovskaya, L.; Dickson, P.W.; Dunkley, P.R.; Goodchild, A.K. Tyrosine hydroxylase phosphorylation in catecholaminergic brain regions: A marker of activation following acute hypotension and glucoprivation. PLoS ONE 2012, 7, e50535. [Google Scholar] [CrossRef]
- Tron Legacy, directed by J. Kosinski; written by E. Kitsis, A. Horowitz, B. Klugman, L. Sternthal (2010; Walt Disney Pictures); 125 min (see 55:40–57:00 for reference to “biodigital jazz”). Available online: https://archive.org/details/tron-legacy-2010 (accessed on 1 March 2023).
- Swanson, L.W. Biochemical switching in hypothalamic circuits mediating responses to stress. Prog. Brain Res. 1991, 87, 181–200. [Google Scholar] [CrossRef]
- Sara, S.J. The locus coeruleus and noradrenergic modulation of cognition. Nat. Rev. Neurosci. 2009, 10, 211–223. [Google Scholar] [CrossRef]
- McCormick, D.A.; Nestvogel, D.B.; He, B.J. Neuromodulation of brain state and behavior. Annu. Rev. Neurosci. 2020, 43, 391–415. [Google Scholar] [CrossRef]
- Dagogo-Jack, S.; Rattarasarn, C.; Cryer, P.E. Reversal of hypoglycemia unawareness, but not defective glucose counterregulation, in IDDM. Diabetes 1994, 43, 1426–1434. [Google Scholar] [CrossRef]
- Uematsu, A.; Tan, B.Z.; Ycu, E.A.; Cuevas, J.S.; Koivumaa, J.; Junyent, F.; Kremer, E.; Witten, I.; Deisseroth, K.; Johansen, J. Modular organization of the brainstem noradrenaline system coordinates opposing learning states. Nat. Neurosci. 2017, 20, 1602–1611. [Google Scholar] [CrossRef]
- Seo, D.-O.; Bruchas, M.R. Polymorphic computation in locus coeruleus networks. Nat. Neurosci. 2017, 20, 1517–1519. [Google Scholar] [CrossRef]
- Holloway, B.B.; Stornetta, R.L.; Bochorishvili, G.; Erisir, A.; Viar, K.E.; Guyenet, P.G. Monosynaptic glutamatergic activation of locus coeruleus and other lower brainstem noradrenergic neurons by the C1 cells in mice. J. Neurosci. 2013, 33, 18792–18805. [Google Scholar] [CrossRef] [PubMed]
- Briski, K.P.; Marshall, E.S. Caudal brainstem Fos expression is restricted to periventricular catecholamine neuron-containing loci following intraventricular administration of 2-deoxy-d-glucose. Exp. Brain Res. 2000, 133, 547–551. [Google Scholar] [CrossRef] [PubMed]
- Yuan, P.-Q.; Yang, H. Neuronal activation of brain vagal-regulatory pathways and upper gut enteric plexuses by insulin hypoglycemia. Am. J. Physiol. Endocrinol. Metab. 2002, 283, E436–E448. [Google Scholar] [CrossRef] [PubMed][Green Version]
- Ao, Y.; Wu, S.; Go, V.L.W.; Toy, N.; Yang, H. Maintaining euglycemia prevents insulin-induced Fos expression in brain autonomic regulatory circuits. Pancreas 2005, 31, 142–147. [Google Scholar] [CrossRef]
- Tkacs, N.C.; Pan, Y.; Sawhney, G.; Mann, G.L.; Morrison, A.R. Hypoglycemia activates arousal-related neurons and increases wake time in adult rats. Physiol. Behav. 2007, 91, 240–249. [Google Scholar] [CrossRef]
- Morilak, D.A.; Fornal, C.A.; Jacobs, B.L. Effects of physiological manipulations on locus coeruleus neuronal activity in freely moving cats. III. Glucoregulatory challenge. Brain Res. 1987, 422, 32–39. [Google Scholar] [CrossRef]
- Rusnák, M.; Jeloková, J.; Vietor, I.; Sabban, E.L.; Kvetňanský, R. Different effects of insulin and 2-deoxy-d-glucose administration on tyrosine hydroxylase gene expression in the locus coeruleus and the adrenal medulla in rats. Brain Res. Bull. 1998, 46, 447–452. [Google Scholar] [CrossRef]
- Senthilkumaran, M.; Johnson, M.E.; Bobrovskaya, L. The effects of insulin-induced hypoglycaemia on tyrosine hydroxylase phosphorylation in rat brain and adrenal gland. Neurochem. Res. 2016, 41, 1612–1624. [Google Scholar] [CrossRef]
- Figlewicz, D.P.; Szot, P.; Israel, P.A.; Payne, C.; Dorsa, D.M. Insulin reduces norepinephrine transporter mRNA in vivo in rat locus coeruleus. Brain Res. 1993, 602, 161–164. [Google Scholar] [CrossRef]
- Grunstein, H.S.; James, D.E.; Storlien, L.H.; Smythe, G.A.; Kraegen, E.W. Hyperinsulinemia suppresses glucose utilization in specific brain regions: In vivo studies using the euglycemic clamp in the rat. Endocrinology 1985, 116, 604–610. [Google Scholar] [CrossRef]
- Doyle, P.; Cusin, I.; Rohrer-Jeanrenaud, F.; Jeanrenaud, B. Four-day hyperinsulinemia in euglycemic conditions alters local cerebral glucose utilization in specific brain nuclei of freely moving rats. Brain Res. 1995, 684, 47–55. [Google Scholar] [CrossRef]
- Nieber, K.; Sevcik, J.; Illes, P. Hypoxic changes in rat locus coeruleus neurons in vitro. J. Physiol. 1995, 486 Pt 1, 33–46. [Google Scholar] [CrossRef]
- Bodineau, L.; Larnicol, N. Brainstem and hypothalamic areas activated by tissue hypoxia: Fos-like immunoreactivity induced by carbon monoxide inhalation in the rat. Neuroscience 2001, 108, 643–653. [Google Scholar] [CrossRef]
- Guyenet, P.G.; Abbott, S.B.G. Chemoreception and asphyxia-induced arousal. Respir. Physiol. Neurobiol. 2013, 188, 333–343. [Google Scholar] [CrossRef]
- Magalhães, K.S.; Spiller, P.F.; da Silva, M.P.; Kuntze, L.B.; Paton, J.F.R.; Machado, B.H.; Moraes, D.J.A. Locus Coeruleus as a vigilance centre for active inspiration and expiration in rats. Sci. Rep. 2018, 8, 15654. [Google Scholar] [CrossRef]
- Illes, P.; Sevcik, J.; Finta, E.P.; Frölich, R.; Nieber, K.; Nörenberg, W. Modulation of locus coeruleus neurons by extra- and intracellular adenosine 5'-triphosphate. Brain Res. Bull. 1994, 35, 513–519. [Google Scholar] [CrossRef]
- Dallaporta, M.; Perrin, J.; Orsini, J.-C. Involvement of adenosine triphosphate-sensitive K+ channels in glucose-sensing in the rat solitary tract nucleus. Neurosci. Lett. 2000, 278, 77–80. [Google Scholar] [CrossRef]
- De Bernardis Murat, C.; Leão, R.M. A voltage-dependent depolarization induced by low external glucose in neurons of the nucleus of the tractus solitarius: Interaction with KATP channels. J. Physiol. 2019, 597, 2515–2532. [Google Scholar] [CrossRef]
- Holt, M.K. The ins and outs of the caudal nucleus of the solitary tract: An overview of cellular populations and anatomical connections. J. Neuroendocrinol. 2022, 34, e13132. [Google Scholar] [CrossRef]
- Martinez, D.; Kline, D.D. The role of astrocytes in the nucleus tractus solitarii in maintaining central control of autonomic function. Am. J. Physiol. Regul. Integr. Comp. Physiol. 2021, 320, R418–R424. [Google Scholar] [CrossRef]
- Troadec, J.-D.; Gaigé, S.; Barbot, M.; Lebrun, B.; Barbouche, R.; Abysique, A. Glial modulation of energy balance: The dorsal vagal complex is no exception. Int. J. Mol. Sci. 2022, 23, 960. [Google Scholar] [CrossRef] [PubMed]
- Loewy, A.D.; Spyer, K.M. (Eds.) Central Regulation of Autonomic Functions; Oxford University Press: Oxford, UK, 1990. [Google Scholar]
- Blessing, W.W. The Lower Brainstem and Bodily Homeostasis; Oxford University Press: New York, NY, USA, 1997; Available online: https://archive.org/details/lowerbrainstembo0000bles/page/n5/mode/2up (accessed on 21 May 2022).
- Khan, A.M.; Grant, A.H.; Martinez, A.; Burns, G.A.P.C.; Thatcher, B.S.; Anekonda, V.T.; Thompson, B.W.; Roberts, Z.S.; Moralejo, D.H.; Blevins, J.E. Mapping molecular datasets back to the brain regions they are extracted from: Remembering the native countries of hypothalamic expatriates and refugees. Adv. Neurobiol. 2018, 21, 101–193. [Google Scholar] [CrossRef] [PubMed]
- Khan, A.M.; Perez, J.; Wells, C.E.; Fuentes, O. Computer vision evidence supporting craniometric alignment of rat brain atlases to streamline expert-guided, first-order migration of hypothalamic spatial datasets related to behavioral control. Front. Syst. Neurosci. 2018, 12, 7. [Google Scholar] [CrossRef] [PubMed]
- Santarelli, A.J.; Khan, A.M.; Poulos, A.M. Contextual fear retrieval-induced Fos expression across early development in the rat: An analysis using established nervous system nomenclature ontology. Neurobiol. Learn. Mem. 2018, 155, 42–49. [Google Scholar] [CrossRef] [PubMed]
- Gu, G.; Roland, B.; Tomaselli, K.; Dolman, C.S.; Lowe, C.; Heilig, J.S. Glucagon-like peptide-1 in the rat brain: Distribution of expression and functional implication. J. Comp. Neurol. 2013, 521, 2235–2261. [Google Scholar] [CrossRef]
- Uschakov, A.; Gong, H.; McGinty, D.; Szymusiak, R. Efferent projections from the median preoptic nucleus to sleep- and arousal-regulatory nuclei in the rat brain. Neuroscience 2007, 150, 104–120. [Google Scholar] [CrossRef]
- Loo, Y.T. The forebrain of the opossum, Didelphis virginiana. Part II. Histology. J. Comp. Neurol. 1931, 52, 1–148. [Google Scholar] [CrossRef]
- Reiner, A.; Honig, M.G. Dextran amines: Versatile tools for anterograde and retrograde studies of nervous system connectivity. In Neuroanatomical Tract-Tracing Methods 3: Molecules, Neurons, and Systems; Zaborszky, L., Wouterlood, F.G., Lanciego, J.L., Eds.; Springer Science + Business Media, Inc.: New York, NY, USA, 2006; pp. 304–335. [Google Scholar]
- Swanson, L.W. Brain Maps: Structure of the Rat Brain; Elsevier: Amsterdam, The Netherlands, 1992. [Google Scholar]
- Ju, G.; Swanson, L.W. Studies on the cellular architecture of the bed nuclei of the stria terminalis in the rat: I. Cytoarchitecture. J. Comp. Neurol. 1989, 280, 587–602. [Google Scholar] [CrossRef]
- Khan, A.M.; Watts, A.G. Tracking intracellular events associated with glucoprivic challenge in three forebrain regions that contain CRH neurons receiving hindbrain noradrenergic input. Presented at the 2005 Workshop on the Neuroendocrinology of Stress, Fort Collins, CO, USA, 1–3 June 2005, American Neuroendocrine Society: Fort Collins, CO, USA, 2005; Poster 29. [Google Scholar]
- Khan, A.M.; Watts, A.G. Glucoprivic challenge is associated with elevated levels of phosphorylated signaling intermediates in discrete forebrain regions: Immunofluorescence studies of ERK1/2 and CREB [Program #634.15]. In 2005 Abstract Viewer/Itinerary Planner; Society for Neuroscience: Washington, DC, USA, 2005. [Google Scholar]
- Swanson, L.W. Brain Maps: Structure of the Rat Brain. A Laboratory Guide with Printed and Electronic Templates for Data, Models and Schematics, 3rd ed.; Elsevier: Amsterdam, The Netherlands, 2004; 215p, with CD-ROM; Brain Maps: Computer Graphics Files 3.0. [Google Scholar]
- Hahn, J.D.; Swanson, L.W. Connections of the juxtaventromedial region of the lateral hypothalamic area in the male rat. Front. Syst. Neurosci. 2015, 9, 66. [Google Scholar] [CrossRef]
- Gao, Y.-J.; Ji, R.-R. c-Fos and pERK, which is a better marker for neuronal activation and central sensitization after noxious stimulation and tissue injury? Open Pain J. 2009, 2, 11–17. [Google Scholar] [CrossRef]
- Sokoloff, L.; Reivich, M.; Kennedy, C.; Des Rosiers, M.H.; Patlak, C.S.; Pettigrew, K.D.; Sakurada, O.; Shinohara, M. The [14C]deoxyglucose method for the measurement of local cerebral glucose utilization: Theory, procedures, and normal values in the conscious and anesthetized albino rat. J. Neurochem. 1977, 28, 897–916. [Google Scholar] [CrossRef]
- Tapia, G.; Chenausky, S.D.; Arnal, A.; Negishi, K.; Navarro, V.I.; Balivada, S.; Khan, A.M. Hindbrain catecholaminergic and non-catecholaminergic neuronal populations rapidly recruited during glycemic challenge: A fluorescent cell-detecting deep learning model for high-throughput tabulation and atlas-based mapping. In Proceedings of the 2022 Neuroscience Meeting Planner, Annual Meeting of the Society for Neuroscience, San Diego, CA, USA, 12–16 November 2022; Society for Neuroscience: Washington, DC, USA, 2022. [Google Scholar]
- Bellingeri, C.F. De Medulla Spinali Nervisque ex ea Prodeuntibus Annotationes Anatomico-Physiologiae; Typographia Regia: Turin, Italy, 1823; Available online: https://archive.org/details/b21709142/page/n5/mode/2up (accessed on 21 May 2022).
- Procháska, G. Operum Minorum Anatomici, Physiologici et Pathologici Argumenti [2 parts]; Wappler et Beck: Vienna, Austria, 1800; Available online: http://dx.doi.org/10.25673/79580 (accessed on 21 May 2022).
- Reil, J.C. Fragmente über die Bildung des kleinen Gehirns im Menschen. Arch. Die Physiol. 1807, 8, 1–58. [Google Scholar]













| Reagent a | Antigen or Conjugate | Host | Type | Source b, Catalog # | Titer c | RRID | Reaction (h, temp.) d |
|---|---|---|---|---|---|---|---|
| Reaction Series 1 | |||||||
| Primary | Phospho-ERK1/2 e | Rb | Poly IgG | CST, 9101 j | 1:1000 | AB_331646 | 64–66, 4 °C |
| Secondary | Rabbit IgG (H + L) f | Dk | Cy3-labeled | JIL, 711-165-152 k | 1:500 | AB_2307443 | 5–6, 4 °C |
| Primary | DBH | Ms | Mono IgG | M, MAB308 l | 1:10,000 | AB_2245740 | 64–66, 4 °C |
| Secondary | Mouse IgG (H + L) g | Dk | Biotinylated | JIL, 715-065-150 m | 1:500 | AB_2307438 | 5–6, 4 °C |
| Conjugate | Streptavidin | A488-labeled | TF, S-11223 n | 1:2000 | na | 1, 4 °C | |
| Primary | Human placental ChAT | Gt | Poly IgG | M, AB144P o | 1:6000 | AB_2079751 | 64–66, 4 °C |
| Secondary | Goat IgG (H+L)h | Dk | A647-labeled | JIL, 705-605-147 p | 1:500 | AB_2340437 | 5–6, 4 °C |
| Counterstain | DAPI i | – | RNA label | TF, D1306 q | 1:4000 | na | 0.5, RT |
| Reaction Series 2 | |||||||
| Primary | Phospho-ERK1/2 e | Rb | Poly IgG | CST, 9101 j | 1:1000 | AB_331646 | 60–65, 4 °C |
| Secondary | Rabbit IgG (H + L) f | Dk | Biotinylated | JIL, 711-065-152 ^ | 1:500 | AB_2340593 | 4–5, 4 °C |
| Conjugate | Streptavidin | A488-labeled | TF, S-11223 n | 1:2000 | na | 1, 4 °C | |
| Primary | DBH | Ms | Mono IgG | M, MAB308 l | 1:10,000 | AB_2245740 | 60–65, 4 °C |
| Secondary | Mouse IgG (H + L) g | Dk | Cy3-labeled | JIL, 715-165-150 ^ | 1:500 | AB_2340813 | 4–5, 4 °C |
| Primary | Human placental ChAT | Gt | Poly IgG | M, AB144P o | 1:6000 | AB_2079751 | 60–65, 4 °C |
| Secondary | Goat IgG (H + L) h | Dk | A647-labeled | JIL, 705-605-147 p | 1:500 | AB_2340437 | 4–5, 4 °C |
Disclaimer/Publisher’s Note: The statements, opinions and data contained in all publications are solely those of the individual author(s) and contributor(s) and not of MDPI and/or the editor(s). MDPI and/or the editor(s) disclaim responsibility for any injury to people or property resulting from any ideas, methods, instructions or products referred to in the content. |
© 2023 by the authors. Licensee MDPI, Basel, Switzerland. This article is an open access article distributed under the terms and conditions of the Creative Commons Attribution (CC BY) license (https://creativecommons.org/licenses/by/4.0/).
Share and Cite
Tapia, G.P.; Agostinelli, L.J.; Chenausky, S.D.; Padilla, J.V.S.; Navarro, V.I.; Alagh, A.; Si, G.; Thompson, R.H.; Balivada, S.; Khan, A.M. Glycemic Challenge Is Associated with the Rapid Cellular Activation of the Locus Ceruleus and Nucleus of Solitary Tract: Circumscribed Spatial Analysis of Phosphorylated MAP Kinase Immunoreactivity. J. Clin. Med. 2023, 12, 2483. https://doi.org/10.3390/jcm12072483
Tapia GP, Agostinelli LJ, Chenausky SD, Padilla JVS, Navarro VI, Alagh A, Si G, Thompson RH, Balivada S, Khan AM. Glycemic Challenge Is Associated with the Rapid Cellular Activation of the Locus Ceruleus and Nucleus of Solitary Tract: Circumscribed Spatial Analysis of Phosphorylated MAP Kinase Immunoreactivity. Journal of Clinical Medicine. 2023; 12(7):2483. https://doi.org/10.3390/jcm12072483
Chicago/Turabian StyleTapia, Geronimo P., Lindsay J. Agostinelli, Sarah D. Chenausky, Jessica V. Salcido Padilla, Vanessa I. Navarro, Amy Alagh, Gabriel Si, Richard H. Thompson, Sivasai Balivada, and Arshad M. Khan. 2023. "Glycemic Challenge Is Associated with the Rapid Cellular Activation of the Locus Ceruleus and Nucleus of Solitary Tract: Circumscribed Spatial Analysis of Phosphorylated MAP Kinase Immunoreactivity" Journal of Clinical Medicine 12, no. 7: 2483. https://doi.org/10.3390/jcm12072483
APA StyleTapia, G. P., Agostinelli, L. J., Chenausky, S. D., Padilla, J. V. S., Navarro, V. I., Alagh, A., Si, G., Thompson, R. H., Balivada, S., & Khan, A. M. (2023). Glycemic Challenge Is Associated with the Rapid Cellular Activation of the Locus Ceruleus and Nucleus of Solitary Tract: Circumscribed Spatial Analysis of Phosphorylated MAP Kinase Immunoreactivity. Journal of Clinical Medicine, 12(7), 2483. https://doi.org/10.3390/jcm12072483

