Olfaction and Anxiety Are Differently Associated in Men and Women in Cognitive Physiological and Pathological Aging
Abstract
1. Introduction
2. Materials and Methods
3. Results
4. Discussion
Author Contributions
Funding
Institutional Review Board Statement
Informed Consent Statement
Data Availability Statement
Conflicts of Interest
References
- Anderson, A.K.; Christoff, K.; Stappen, I.; Panitz, D.; Ghahremani, D.G.; Glover, G.; Gabrieli, J.D.; Sobel, N. Dissociated neural representations of intensity and valence in human olfaction. Nat. Neurosci. 2003, 6, 196–202. [Google Scholar] [CrossRef] [PubMed]
- Rolls, E.T.; Grabenhorst, F.; Parris, B.A. Neural systems underlying decisions about affective odors. J. Cogn. Neurosci. 2010, 22, 1069–1082. [Google Scholar] [CrossRef] [PubMed]
- Doty, R.L.; Shaman, P.; Applebaum, S.L.; Giberson, R.; Siksorski, L.; Rosenberg, L. Smell Identification Ability: Changes with Age. Science 1984, 226, 1441–1443. [Google Scholar] [CrossRef] [PubMed]
- Postuma, R.B.; Berg, D.; Stern, M.; Poewe, W.; Olanow, C.W.; Oertel, W.; Obeso, J.; Marek, K.; Litvan, I.; Lang, A.E.; et al. MDS clinical diagnostic criteria for Parkinson’s disease. Mov. Disord. 2015, 30, 1591–1601. [Google Scholar] [CrossRef] [PubMed]
- Soudry, Y.; Lemogne, C.; Malinvaud, D.; Consoli, S.-M.; Bonfils, P. Olfactory system and emotion: Common substrates. Eur. Ann. Otorhinolaryngol. Head Neck Dis. 2011, 128, 18–23. [Google Scholar] [CrossRef]
- Aqrabawi, A.J.; Kim, J.C. Hippocampal projections to the anterior olfactory nucleus differentially convey spatiotemporal information during episodic odour memory. Nat. Commun. 2018, 9, 2735. [Google Scholar] [CrossRef]
- De Wijk, R.A.; Zijlstra, S.M. Differential effects of exposure to ambient vanilla and citrus aromas on mood, arousal and food choice. Flavour 2012, 1, 24. [Google Scholar] [CrossRef]
- Ludvigson, H.W.; Rottman, T.R. Effects of ambient odors of lavender and cloves on cognition, memory, affect and mood. Chem. Senses 1989, 14, 525–536. [Google Scholar] [CrossRef]
- Burón, E.; Bulbena, A. Olfaction in Affective and Anxiety Disorders: A Review of the Literature. Psychopathology 2013, 46, 63–74. [Google Scholar] [CrossRef]
- Etkin, A.; Wager, T.D. Functional neuroimaging of anxiety: A meta-analysis of emotional processing in PTSD, social anxiety disorder, and specific phobia. Am. J. Psychiatry 2007, 164, 1476–1488. [Google Scholar] [CrossRef]
- Sedaghat, A.R.; Gengler, I.; Speth, M.M. Olfactory Dysfunction: A Highly Prevalent Symptom of COVID-19 With Public Health Significance. Otolaryngol. Neck Surg. 2020, 163, 12–15. [Google Scholar] [CrossRef] [PubMed]
- Deng, J.; Zhou, F.; Hou, W.; Silver, Z.; Wong, C.Y.; Chang, O.; Drakos, A.; Zuo, Q.K.; Huang, E. The prevalence of depressive symptoms, anxiety symptoms and sleep disturbance in higher education students during the COVID-19 pandemic: A systematic review and meta-analysis. Psychiatry Res. 2021, 301, 113863. [Google Scholar] [CrossRef] [PubMed]
- Caldwell, J.Z.; Berg, J.-L.; Shan, G.; Cummings, J.L.; Banks, S.J.; Alzheimer’s Disease Neuroimaging Initiative. Sex Moderates the Impact of Diagnosis and Amyloid PET Positivity on Hippocampal Subfield Volume. J. Alzheimer’s Dis. 2018, 64, 79–89. [Google Scholar] [CrossRef] [PubMed]
- Caldwell, J.Z.K.; Zhuang, X.; Leavitt, M.J.; Banks, J.B.; Cummings, J.; Cordes, D.; Alzheimer’s Disease Neuroimaging Initiative. Sex moderates amyloid and apolipoprotein ε4 effects on default mode network connectivity at rest. Front. Neurol. 2019, 10, 900. [Google Scholar] [CrossRef]
- Cieri, F.; Yang, Z.; Cordes, D.; Caldwell, J.Z.; Initiative, F.T.A.D.N. Sex Differences of Brain Functional Topography Revealed in Normal Aging and Alzheimer’s Disease Cohort. J. Alzheimer’s Dis. 2021, 80, 979–984. [Google Scholar] [CrossRef]
- Cieri, F.; Zhuang, X.; Cordes, D.; Kaplan, N.; Cummings, J.; Caldwell, J.; Alzheimer’s Disease Neuroimaging Initiative (ADNI). Relationship of sex differences in cortical thickness and memory among cognitively healthy subjects and individuals with mild cognitive impairment and Alzheimer disease. Alzheimer’s Res. Ther. 2022, 14, 36. [Google Scholar] [CrossRef]
- Sundermann, E.E.; Biegon, A.; Rubin, L.H.; Lipton, R.B.; Landau, S.; Maki, P.M.; Alzheimer’s Disease Neuroimaging Initiative. Does the Female Advantage in Verbal Memory Contribute to Underestimating Alzheimer’s Disease Pathology in Women versus Men? J. Alzheimers Dis. 2017, 56, 947–957. [Google Scholar] [CrossRef]
- Benito-León, J.; Bermejo-Pareja, F.; Rodríguez, J.; Molina, J.A.; Gabriel, R.; Morales, J.M. Prevalence of PD and other types of parkinsonism in three elderly populations of central Spain. Mov. Disord. 2003, 18, 267–274. [Google Scholar] [CrossRef]
- Ritchie, H.; Roser, M. Gender Ratio. 2019. Available online: https://ourworldindata.org/gender-ratio (accessed on 7 January 2023).
- Blagosklonny, M.V. Why men age faster but reproduce longer than women: mTOR and evolutionary perspectives. Aging 2010, 2, 265–273. [Google Scholar] [CrossRef]
- Kern, D.W.; Wroblewski, K.E.; Schumm, L.P.; Pinto, J.M.; Chen, R.C.; McClintock, M.K. Olfactory Function in Wave 2 of the National Social Life, Health, and Aging Project. J. Gerontol. Ser. B Psychol. Sci. Soc. Sci. 2014, 69, S134–S143. [Google Scholar] [CrossRef]
- Doty, R.L.; Shaman, P.; Dann, M. Development of the university of Pennsylvania smell identification test: A standardized microencapsulated test of olfactory function. Physiol. Behav. 1984, 32, 489–502. [Google Scholar] [CrossRef]
- Spielberger, C.D.; Gorsuch, R.L.; Lushene, R.; Vagg, P.R.; Jacobs, G.A. Manual for the State-Traits Anxiety Inventory; Consulting Psychologists Press: Palo Alto, CA, USA, 1983. [Google Scholar]
- Royet, J.P.; Plailly, J.; Delon-Martin, C.; Kareken, D.A.; Segebarth, C. fMRI of emotional responses to odors: Influence of hedonic valence and judgment, handedness, and gender. Neuroimage 2003, 20, 713–728. [Google Scholar] [CrossRef]
- Zald, D.H.; Pardo, J.V. Emotion, olfaction, and the human amygdala: Amygdala activation during aversive olfactory stimulation. Proc. Natl. Acad. Sci. USA 1997, 94, 4119–4124. [Google Scholar] [CrossRef]
- Seubert, J.; Rea, A.F.; Loughead, J.; Habel, U. Mood Induction with Olfactory Stimuli Reveals Differential Affective Responses in Males and Females. Chem. Senses 2008, 34, 77–84. [Google Scholar] [CrossRef]
- Doty, R.L.; Cameron, E.L. Sex differences and reproductive hormone influences on human odor perception. Physiol. Behav. 2009, 97, 213–228, Erratum in Physiol. Behav. 2009, 98, 517. [Google Scholar] [CrossRef]
- Association, A. Alzheimer’s Disease Facts and Figures. SPECIAL REPORT. 2022. Available online: https://www.alz.org/media/documents/alzheimers-facts-and-figures.pdf (accessed on 7 January 2023).
- Growdon, M.E.; Schultz, A.P.; Dagley, A.S.; Amariglio, R.E.; Hedden, T.; Rentz, D.M.; Johnson, K.A.; Sperling, R.A.; Albers, M.W.; Marshall, G.A. Odor identification and Alzheimer disease biomarkers in clinically normal elderly. Neurology 2015, 84, 2153–2160. [Google Scholar] [CrossRef] [PubMed]
- Cerf-Ducastel, B.; Murphy, C. FMRI brain activation in response to odors is reduced in primary olfactory areas of elderly subjects. Brain Res. 2003, 986, 39–53. [Google Scholar] [CrossRef]
- Wang, J.; Sun, X.; Yang, Q.X. Early Aging Effect on the Function of the Human Central Olfactory System. J. Gerontol. Ser. A Biol. Sci. Med. Sci. 2017, 72, 1007–1014. [Google Scholar] [CrossRef]
- Martinez, B.; Karunanayaka, P.; Wang, J.; Tobia, M.J.; Vasavada, M.; Eslinger, P.J.; Yang, Q.X. Different patterns of age-related central olfactory decline in men and women as quantified by olfactory fMRI. Oncotarget 2017, 8, 79212–79222. [Google Scholar] [CrossRef] [PubMed]
- Picillo, M.; Amboni, M.; Erro, R.; Longo, K.; Vitale, C.; Moccia, M.; Pierro, A.; Santangelo, G.; De Rosa, A.; De Michele, G.; et al. Gender differences in non-motor symptoms in early, drug naïve Parkinson’s disease. J. Neurol. 2013, 260, 2849–2855. [Google Scholar] [CrossRef] [PubMed]
- Broen, M.P.G.; Narayen, N.E.; Kuijf, M.L.; Dissanayaka, N.N.W.; Leentjens, A.F.G. Prevalence of anxiety in Parkinson’s disease: A systematic review and meta-analysis. Mov. Disord. 2016, 31, 1125–1133. [Google Scholar] [CrossRef] [PubMed]
- Oppo, V.; Melis, M.; Melis, M.; Barbarossa, I.T.; Cossu, G. “Smelling and Tasting” Parkinson’s Disease: Using Senses to Improve the Knowledge of the Disease. Front. Aging Neurosci. 2020, 12, 43. [Google Scholar] [CrossRef] [PubMed]
- Gopinath, B.; Schneider, J.; Hartley, D.; Teber, E.; McMahon, C.; Leeder, S.R.; Mitchell, P. Incidence and Predictors of Hearing Aid Use and Ownership Among Older Adults With Hearing Loss. Ann. Epidemiol. 2011, 21, 497–506. [Google Scholar] [CrossRef] [PubMed]
- Cieri, F.; Zhuang, X.; Caldwell, J.Z.K.; Cordes, D. Brain Entropy During Aging Through a Free Energy Principle Approach. Front. Hum. Neurosci. 2021, 15, 647513. [Google Scholar] [CrossRef]
- Mormino, E.C.; Betensky, R.A.; Hedden, T.; Schultz, A.P.; Ward, A.; Huijbers, W.; Rentz, D.M.; Johnson, K.A.; Reisa, A. Amyloid and APOE e4 interact to influence short-term decline in pre-clinical Alzheimer disease. Neurology 2014, 82, 1760–1767. [Google Scholar] [CrossRef]
- Knopman, D.S. b-Amyloidosis and neurodegeneration in Alzheimer disease: Who’s on first? Neurology 2014, 82, 1756–1757. [Google Scholar] [CrossRef]
- Boyle, P.A.; Wilson, R.S.; Yu, L.; Barr, A.M.; Honer, W.G.; Schneider, J.A.; Bennett, D.A. Much of late life cognitive decline is not due to common neurodegenerative pathologies. Ann. Neurol. 2013, 74, 478–489. [Google Scholar] [CrossRef]


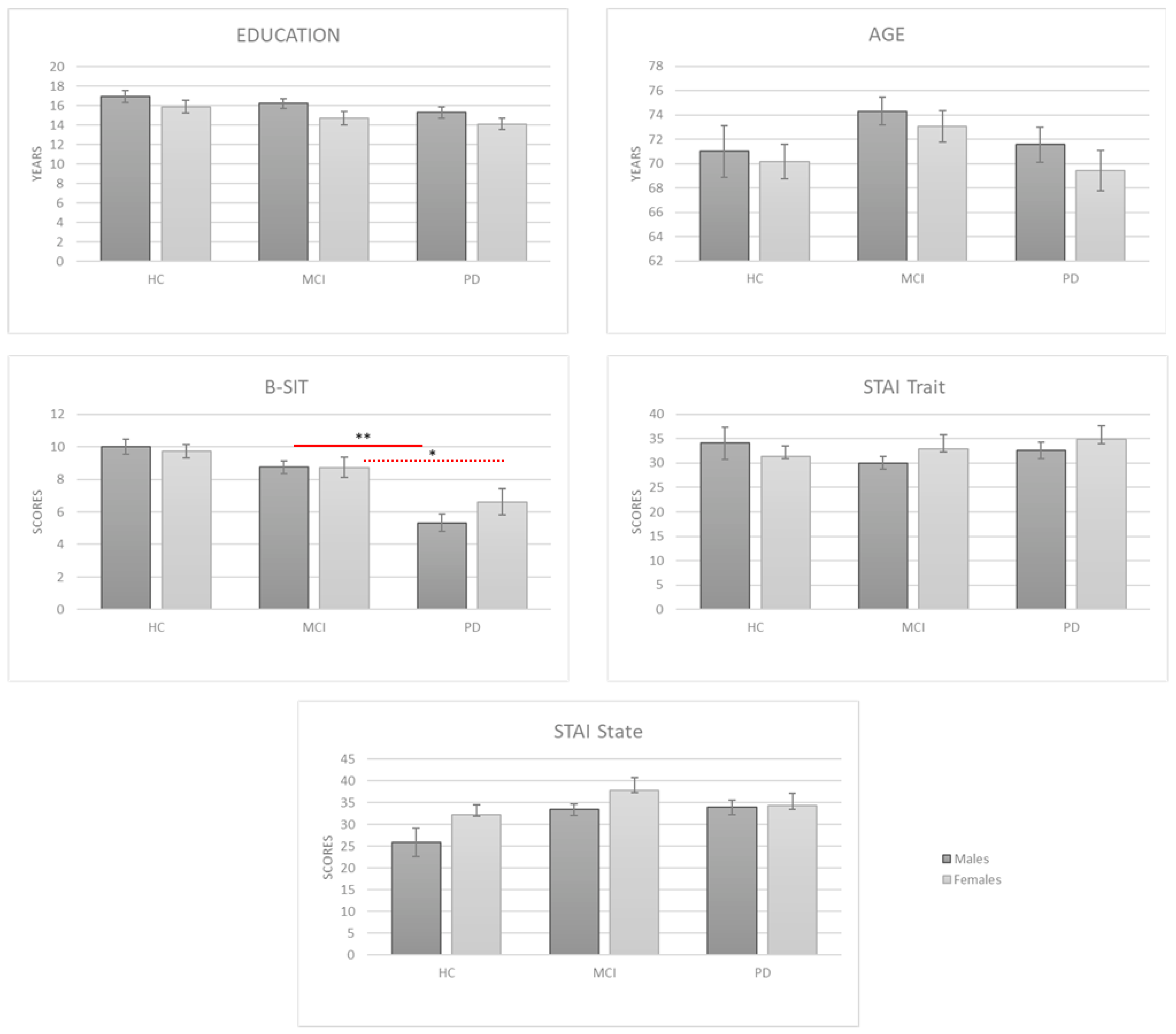
| HC | MCI | PD | ||||||||||
|---|---|---|---|---|---|---|---|---|---|---|---|---|
| M | W | M | W | M | W | |||||||
| N (%) | 11 | (37.93) | 18 | (62.06) | 28 | (65.11) | 15 | (34.88) | 27 | (60) | 18 | (40) |
| Age in years, Mean ± S.D | 71.00 | ±7.03 | 70.17 | ±5.97 | 74.32 | ±5.98 | 73.07 | ±5.01 | 71.56 | ±7.47 | 69.44 | ±7.04 |
| Education in years, Mean ± S.D | 16.91 | ±2.02 | 15.89 | ±2.83 | 16.21 | ±2.50 | 14.73 | ±2.74 | 15.30 | ±2.98 | 14.11 | ±2.42 |
| B-SIT Score Mean ± S.D | 10.00 | ±1.55 | 9.72 | ±1.81 | 8.75 | ±2.08 | 8.73 | ±2.40 | 5.33 | ±2.80 | 6.61 | ±3.45 |
| STAI Trait Score Mean ± S.D | 34.09 | ±10.89 | 31.28 | ±9.28 | 30.04 | ±6.82 | 32.92 | ±10.63 | 32.59 | ±8.50 | 34.83 | ±12.00 |
| STAI State Score Mean ± S.D | 25.82 | ±7.08 | 32.33 | ±11.89 | 33.44 | ±12.73 | 37.85 | ±11.85 | 33.93 | ±9.39 | 34.33 | ±12.17 |
| Regression analysis for the variables “STAI and B-SIT” | ||||||||||||
| Group | Unadjusted | Adjusted | p Value | |||||||||
| HC | −2.26 (−4.37, −0.15) | −2.96 (−5.29, −0.63) | 0.015 | |||||||||
| MCI | −1.64 (−2.74, −0.54) | −1.93 (−3.05, −0.82) | 0.001 | |||||||||
| PD | −0.57 (−1.59, 0.44) | −1.06 (−2.05, −0.06) | 0.038 | |||||||||
| Yates corrected χ2 to assess sex differences | ||||||||||||
| χ2 | df | p Values | ||||||||||
| HC | 0.28 | (1) | 0.274 | |||||||||
| MCI | 1.19 | (1) | 0.595 | |||||||||
| PD | 0.41 | (1) | 0.524 | |||||||||
| One-way Multivariate Analysis of Variance for age and education for the sex | ||||||||||||
| Wilks Lambda (λ) | F | df | p Values | |||||||||
| Males | 0.906 | 1.55 | (4.124) | 0.191 | ||||||||
| Females | 0.864 | 1.77 | (4.94) | 0.140 | ||||||||
| One-way Multivariate Analysis of Variance for age and education for B-SIT and STAI | ||||||||||||
| Wilks Lambda (λ) | F | df | p Values | |||||||||
| Men | 0.485 | 8.71 | (6.120) | 0.0001 | ||||||||
| B-SIT follow up ANOVA | 20.62 | (2.62) | 0.0001 | |||||||||
| STAI trait follow up ANOVA | 1.14 | (2.62) | 0.32 | |||||||||
| STAI state follow up ANOVA | 2.51 | (2.62) | 0.08 | |||||||||
| Women | 0.725 | 2.55 | (6.88) | 0.024 | ||||||||
| B-SIT follow up ANOVA | 6.09 | (2.46) | 0.004 | |||||||||
| STAI trait follow up ANOVA | 0.80 | (2.46) | 0.454 | |||||||||
| STAI state follow up ANOVA | 0.49 | (2.46) | 0.611 | |||||||||
Disclaimer/Publisher’s Note: The statements, opinions and data contained in all publications are solely those of the individual author(s) and contributor(s) and not of MDPI and/or the editor(s). MDPI and/or the editor(s) disclaim responsibility for any injury to people or property resulting from any ideas, methods, instructions or products referred to in the content. |
© 2023 by the authors. Licensee MDPI, Basel, Switzerland. This article is an open access article distributed under the terms and conditions of the Creative Commons Attribution (CC BY) license (https://creativecommons.org/licenses/by/4.0/).
Share and Cite
Cieri, F.; Cera, N.; Ritter, A.; Cordes, D.; Caldwell, J.Z.K. Olfaction and Anxiety Are Differently Associated in Men and Women in Cognitive Physiological and Pathological Aging. J. Clin. Med. 2023, 12, 2338. https://doi.org/10.3390/jcm12062338
Cieri F, Cera N, Ritter A, Cordes D, Caldwell JZK. Olfaction and Anxiety Are Differently Associated in Men and Women in Cognitive Physiological and Pathological Aging. Journal of Clinical Medicine. 2023; 12(6):2338. https://doi.org/10.3390/jcm12062338
Chicago/Turabian StyleCieri, Filippo, Nicoletta Cera, Aaron Ritter, Dietmar Cordes, and Jessica Zoe Kirkland Caldwell. 2023. "Olfaction and Anxiety Are Differently Associated in Men and Women in Cognitive Physiological and Pathological Aging" Journal of Clinical Medicine 12, no. 6: 2338. https://doi.org/10.3390/jcm12062338
APA StyleCieri, F., Cera, N., Ritter, A., Cordes, D., & Caldwell, J. Z. K. (2023). Olfaction and Anxiety Are Differently Associated in Men and Women in Cognitive Physiological and Pathological Aging. Journal of Clinical Medicine, 12(6), 2338. https://doi.org/10.3390/jcm12062338

