The Role of IL-6 in Inner Ear Impairment: Evidence from 146 Recovered Patients with Omicron Infected in Tianjin, China
Abstract
1. Introduction
2. Materials and Methods
2.1. Study Participants
2.2. Data Collection
2.3. The Distortion Product Otoacoustic Emission (DPOAE) Test
2.4. Statistical Analysis
3. Results
3.1. Characteristics of Subjects and DPOAE Results
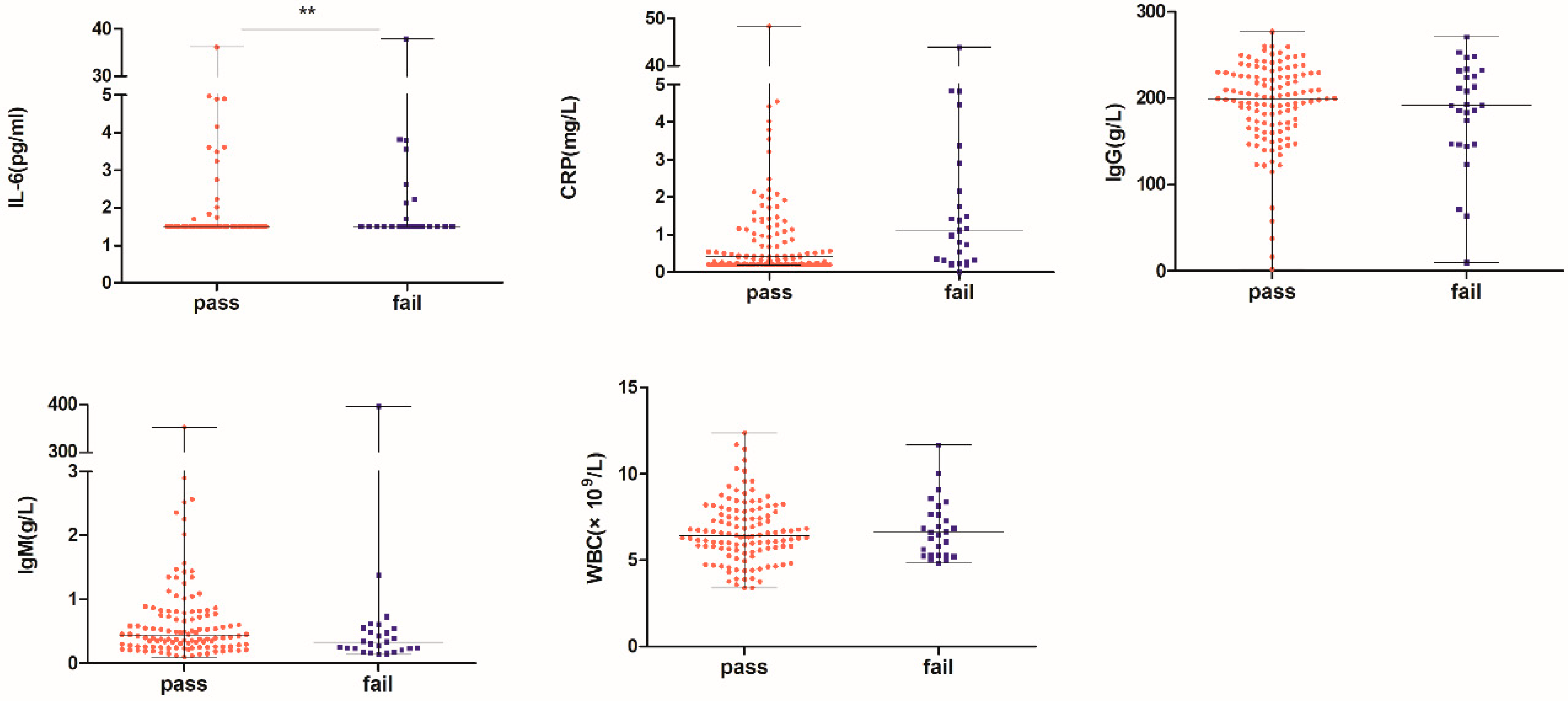
3.2. Comparison of Inflammation Factors between PASS Group and FAIL Group
3.3. Multivariate Logistic Regression Analysis of Inflammation Factor and DPOAE Results in the Subjects
3.4. Relationship between DPOAE and IL-6 in Different Age Subgroups
3.5. DPOAE Results and IL-6 in Different Vaccination Statuses
4. Discussion
5. Conclusions
Supplementary Materials
Author Contributions
Funding
Institutional Review Board Statement
Informed Consent Statement
Data Availability Statement
Acknowledgments
Conflicts of Interest
References
- Chavez, S.; Long, B.; Koyfman, A.; Liang, S.Y. Coronavirus Disease (COVID-19): A primer for emergency physicians. Am. J. Emerg. Med. 2021, 44, 220–229. [Google Scholar] [CrossRef]
- Chen, G.; Wu, D.I.; Guo, W.; Cao, Y.; Huang, D.; Wang, H.; Wang, T.; Zhang, X.; Chen, H.; Ning, Q. Clinical and immunological features of severe and moderate coronavirus disease 2019. J. Clin. Invest. 2020, 130, 2620–2629. [Google Scholar] [CrossRef]
- Wong, S.H.; Lui, R.N.; Sung, J.J. Covid-19 and the digestive system. J. Gastroenterol. Hepatol. 2020, 35, 744–748. [Google Scholar] [CrossRef] [PubMed]
- Vaira, L.A.; Salzano, G.; Deiana, G.; De Riu, G. Anosmia and Ageusia: Common Findings in COVID-19 Patients. Laryngoscope 2020, 130, 1787. [Google Scholar] [CrossRef] [PubMed]
- Ahmad, I.; Rathore, F.A. Neurological manifestations and complications of COVID-19: A literature review. J. Clin. Neurosci. 2020, 77, 8–12. [Google Scholar] [CrossRef] [PubMed]
- Mao, L.; Jin, H.; Wang, M.; Hu, Y.; Chen, S.; He, Q.; Chang, J.; Hong, C.; Zhou, Y. Neurologic Manifestations of Hospitalized Patients With Coronavirus Disease 2019 in Wuhan, China. JAMA Neurol. 2020, 77, 683–690. [Google Scholar] [CrossRef] [PubMed]
- Viola, P.; Ralli, M.; Pisani, D.; Malanga, D.; Sculco, D.; Messina, L.; Laria, C.; Aragona, T.; Leopardi, G.; Ursini, F.; et al. Tinnitus and equilibrium disorders in COVID-19 patients: Preliminary results. Eur. Arch. Otorhinolaryngol. 2021, 278, 3725–3730. [Google Scholar] [CrossRef]
- Özçelik Korkmaz, M.; Eğilmez, O.K.; Özçelik, M.A.; Güven, M. Otolaryngological manifestations of hospitalised patients with confirmed COVID-19 infection. Eur. Arch. Otorhinolaryngol. 2021, 278, 1675–1685. [Google Scholar] [CrossRef]
- Elibol, E. Otolaryngological symptoms in COVID-19. Eur. Arch. Otorhinolaryngol. 2021, 278, 1233–1236. [Google Scholar] [CrossRef]
- Freni, F.; Meduri, A.; Gazia, F.; Nicastro, V.; Galletti, C.; Aragona, P.; Galletti, C.; Galletti, B. Symptomatology in head and neck district in coronavirus disease (COVID-19): A possible neuroinvasive action of SARS-CoV-2. Am. J. Otolaryngol. 2020, 41, 102612. [Google Scholar] [CrossRef]
- Chen, X.; Fu, Y.Y.; Zhang, T.Y. Role of viral infection in sudden hearing loss. J. Int. Med. Res. 2019, 47, 2865–2872. [Google Scholar] [CrossRef]
- Rhman, A.S.; Wahid, A. COVID-19 and sudden sensorineural hearing loss, a case report. Otolaryngol. Case Rep. 2020, 16, 100198. [Google Scholar] [CrossRef]
- Kilic, O.; Kalcioglu, M.T.; Cag, Y.; Tuysuz, O.; Pektas, E.; Caskurlu, H.; Cetın, F. Could sudden sensorineural hearing loss be the sole manifestation of COVID-19? An investigation into SARS-COV-2 in the etiology of sudden sensorineural hearing loss. Int. J. Infect. Dis. 2020, 97, 208–211. [Google Scholar] [CrossRef]
- Lamounier, P.; Franco Gonçalves, V.; Ramos, H.V.L.; Gobbo, D.A.; Teixeira, R.P.; Dos Reis, P.C.; Fayez, B., Jr. A 67-Year-Old Woman with Sudden Hearing Loss Associated with SARS-CoV-2 Infection. Am. J. Case Rep. 2020, 21, e927519. [Google Scholar] [CrossRef]
- Kowalewski, M.; Fina, D.; Słomka, A.; Raffa, G.M.; Martucci, G.; Coco, V.L.; De Piero, M.E.; Ranucci, M.; Suwalski, P.; Lorusso, R. COVID-19 and ECMO: The interplay between coagulation and inflammation-a narrative review. Crit. Care 2020, 24, 205. [Google Scholar] [CrossRef]
- Lucas, C.; Wong, P.; Klein, J.; Castro, T.B.R.; Silva, J.; Sundaram, M.; Ellingson, M.K.; Mao, T.; Oh, J.E.; Israelow, B.; et al. Longitudinal analyses reveal immunological misfiring in severe COVID-19. Nature 2020, 584, 463–469. [Google Scholar] [CrossRef]
- Blanco-Melo, D.; Nilsson-Payant, B.E.; Liu, W.C.; Uhl, S.; Hoagland, D.; Møller, R.; Jordan, T.X.; Oishi, K.; Panis Albrecht, R.A. Imbalanced Host Response to SARS-CoV-2 Drives Development of COVID-19. Cell 2020, 181, 1036–1045.e9. [Google Scholar] [CrossRef]
- Mulchandani, R.; Lyngdoh, T.; Kakkar, A.K. Deciphering the COVID-19 cytokine storm: Systematic review and meta-analysis. Eur. J. Clin. Invest. 2021, 51, e13429. [Google Scholar] [CrossRef]
- Liu, Q.; Qin, C.; Liu, M.; Liu, J. Effectiveness and safety of SARS-CoV-2 vaccine in real-world studies: A systematic review and meta-analysis. Infect. Dis. Poverty 2021, 10, 132. [Google Scholar] [CrossRef]
- Earle, K.A.; Ambrosino, D.M.; Fiore-Gartland, A.; Goldblatt, D.; Gilbert, P.B.; Siber, G.R.; Dull, P.; Plotkin, S.A. Evidence for antibody as a protective correlate for COVID-19 vaccines. Vaccine 2021, 39, 4423–4428. [Google Scholar] [CrossRef]
- Feng, S.; Phillips, D.J.; White, T.; Sayal, H.; Aley, P.K.; Bibi, S.; Voysey, M. Correlates of protection against symptomatic and asymptomatic SARS-CoV-2 infection. Nat. Med. 2021, 27, 2032–2040. [Google Scholar] [CrossRef] [PubMed]
- Accorsi, E.K.; Britton, A.; Fleming-Dutra, K.E.; Smith, Z.R.; Shang, N.; Derado, G.; Miller, J.; Schrag, J.; Verani, J.R. Association Between 3 Doses of mRNA COVID-19 Vaccine and Symptomatic Infection Caused by the SARS-CoV-2 Omicron and Delta Variants. JAMA 2022, 327, 639–651. [Google Scholar] [CrossRef]
- Araf, Y.; Akter, F.; Tang, Y.D.; Fatemi, R.; Parvez, M.S.A.; Zheng, C.; Hossain, M.G. Omicron variant of SARS-CoV-2: Genomics, transmissibility, and responses to current COVID-19 vaccines. J. Med. Virol. 2022, 94, 1825–1832. [Google Scholar] [CrossRef] [PubMed]
- Ruan, C.; Mao, X.; Chen, S.; Wu, S.; Wang, W. Subclinical Atherosclerosis Could Increase the Risk of Hearing Impairment in Males: A Community-Based Cross-Sectional Survey of the Kailuan Study. Front. Neurosci. 2022, 16, 813628. [Google Scholar] [CrossRef] [PubMed]
- Ohlemiller, K.K. Mechanisms and genes in human strial presbycusis from animal models. Brain Res. 2009, 1277, 70–83. [Google Scholar] [CrossRef]
- Huang, C.; Wang, Y.; Li, X.; Ren, L.; Zhao, J.; Hu, Y.; Cao, B. Clinical features of patients infected with 2019 novel coronavirus in Wuhan, China. Lancet 2020, 395, 497–506. [Google Scholar] [CrossRef]
- Younan, P.; Iampietro, M.; Nishida, A.; Ramanathan, P.; Santos, R.I.; Dutta, M.; Bukreyev, A.; Lubaki, N.M.; Koup, R.A.; Katze, M.G. Ebola Virus Binding to Tim-1 on T Lymphocytes Induces a Cytokine Storm. mBio 2017, 8, e00845-17. [Google Scholar] [CrossRef]
- Li, J.; Gong, X.; Wang, Z.; Chen, R.; Li, T.; Zeng, D.; Li, M. Clinical features of familial clustering in patients infected with 2019 novel coronavirus in Wuhan, China. Virus Res. 2020, 286, 198043. [Google Scholar] [CrossRef]
- Cadoni, G.; Gaetani, E.; Picciotti, P.M.; Arzani, D.; Quarta, M.; Giannantonio, S.; Paludetti, G.; Boccia, S. A case-control study on proinflammatory genetic polymorphisms on sudden sensorineural hearing loss. Laryngoscope 2015, 125, E28–E32. [Google Scholar] [CrossRef]
- Panigrahy, N.; Policarpio, J.; Ramanathan, R. Multisystem inflammatory syndrome in children and SARS-CoV-2: A scoping review. J. Pediatr. Rehabil. Med. 2020, 13, 301–316. [Google Scholar] [CrossRef]



| n | Fail | Pass | p | ||
|---|---|---|---|---|---|
| Sex | |||||
| Female | 74 (50.7%) | 14 (51.9%) | 60 (50.4%) | 0.893 | |
| Male | 72 (49.3%) | 13 (48.1%) | 59 (49.6%) | ||
| Age (year) | |||||
| <18 | 50 (34.2%) | 5 (18.5%) | 45 (37.8%) | <0.001 | |
| 18–60 | 85 (58.2%) | 13 (48.1%) | 72 (60.5%) | ||
| >60 | 11 (7.5%) | 9(33.3%) | 2 (1.7%) | ||
| Severity | |||||
| asymptomatic | 4 (2.7%) | 1 (3.7%) | 3 (2.5%) | 0.670 | |
| mild | 68 (46.6%) | 1 (37.0%) | 58 (48.7%) | ||
| ordinary | 73 (50.0%) | 16 (59.3%) | 57 (47.9%) | ||
| severe | 1 (0.7%) | 0 (0%) | 1 (0.8%) | ||
| Repository | |||||
| yes | 23 (15.8%) | 9 (15.8%) | 14 (15.7%) | 0.992 | |
| no | 123 (84.2%) | 48 (84.2%) | 75 (84.3%) | ||
| Chronic disease | |||||
| yes | 21 (14.4%) | 8 (29.6%) | 13 (10.9%) | 0.012 | |
| no | 125 (85.6%) | 19 (70.4%) | 106 (89.1%) | ||
| Model | Factor | B-Value | SE | Wald | p-Value | OR | 95% CI |
|---|---|---|---|---|---|---|---|
| Model 1 | IL-6 | 0.210 | 0.090 | 5.520 | 0.019 | 1.24 | 1.04–1.49 |
| CRP | 0.020 | 0.030 | 0.370 | 0.543 | 1.02 | 0.95–1.11 | |
| IgG | −0.003 | 0.004 | 0.690 | 0.410 | 1.00 | 0.99–1.00 | |
| IgM | 0.010 | 0.010 | 0.960 | 0.330 | 1.01 | 0.99–1.04 | |
| WBC | 0.050 | 0.120 | 0.170 | 0.680 | 1.05 | 0.83–1.32 | |
| Model 2 | IL-6 | 0.180 | 0.090 | 4.050 | 0.044 | 1.20 | 1.01–1.44 |
| CRP | 0.010 | 0.070 | 0.020 | 0.900 | 1.01 | 0.89–1.14 | |
| IgG | −0.004 | 0.004 | 0.840 | 0.360 | 1.00 | 0.99–1.00 | |
| IgM | 0.006 | 0.020 | 0.150 | 0.700 | 1.01 | 0.98–1.04 | |
| WBC | 0.120 | 0.150 | 0.690 | 0.410 | 1.13 | 0.85–1.50 | |
| Model 3 | IL-6 | 0.190 | 0.100 | 4.160 | 0.040 | 1.21 | 1.01–1.46 |
| CRP | 0.002 | 0.070 | 0.001 | 0.970 | 1.00 | 0.88–1.14 | |
| IgG | −0.010 | 0.010 | 1.700 | 0.190 | 0.99 | 0.98–1.00 | |
| IgM | 0.010 | 0.020 | 0.080 | 0.780 | 1.01 | 0.97–1.04 | |
| WBC | 0.100 | 0.150 | 0.400 | 0.520 | 1.10 | 0.82–1.48 |
| Model | Age | B-Value | SE | Wald | p-Value | OR | 95% CI |
|---|---|---|---|---|---|---|---|
| Model 1 | <18 | 0.32 | 0.24 | 0.02 | 0.896 | 0.97 | 0.60–1.55 |
| 18–60 | 0.41 | 0.15 | 7.47 | 0.006 | 1.50 | 1.12–2.01 | |
| >60 | 6.77 | 4709.85 | 0.00 | 0.999 | - | - | |
| Model 2 | <18 | −0.08 | 0.28 | 0.09 | 0.770 | 0.92 | 0.53–1.59 |
| 18–60 | 0.42 | 0.15 | 7.67 | 0.006 | 1.52 | 1.13–2.04 | |
| >60 | 7.16 | 4507.36 | 0.00 | 0.999 | - | - | |
| Model 3 | <18 | −0.17 | 0.26 | 0.43 | 0.515 | 0.85 | 0.51–1.40 |
| 18–60 | 0.57 | 0.23 | 6.15 | 0.013 | 1.76 | 1.13–2.75 | |
| >60 | 5.58 | 22,478.48 | 0.00 | 1.000 | - | - |
Disclaimer/Publisher’s Note: The statements, opinions and data contained in all publications are solely those of the individual author(s) and contributor(s) and not of MDPI and/or the editor(s). MDPI and/or the editor(s) disclaim responsibility for any injury to people or property resulting from any ideas, methods, instructions or products referred to in the content. |
© 2023 by the authors. Licensee MDPI, Basel, Switzerland. This article is an open access article distributed under the terms and conditions of the Creative Commons Attribution (CC BY) license (https://creativecommons.org/licenses/by/4.0/).
Share and Cite
Chen, Y.; Mao, X.; Kuang, M.; Zhang, Z.; Bo, M.; Yang, Y.; Lin, P.; Wang, W.; Shen, Z. The Role of IL-6 in Inner Ear Impairment: Evidence from 146 Recovered Patients with Omicron Infected in Tianjin, China. J. Clin. Med. 2023, 12, 1114. https://doi.org/10.3390/jcm12031114
Chen Y, Mao X, Kuang M, Zhang Z, Bo M, Yang Y, Lin P, Wang W, Shen Z. The Role of IL-6 in Inner Ear Impairment: Evidence from 146 Recovered Patients with Omicron Infected in Tianjin, China. Journal of Clinical Medicine. 2023; 12(3):1114. https://doi.org/10.3390/jcm12031114
Chicago/Turabian StyleChen, Yu, Xiang Mao, Manbao Kuang, Ziyue Zhang, Mingyu Bo, Yijing Yang, Peng Lin, Wei Wang, and Zhongyang Shen. 2023. "The Role of IL-6 in Inner Ear Impairment: Evidence from 146 Recovered Patients with Omicron Infected in Tianjin, China" Journal of Clinical Medicine 12, no. 3: 1114. https://doi.org/10.3390/jcm12031114
APA StyleChen, Y., Mao, X., Kuang, M., Zhang, Z., Bo, M., Yang, Y., Lin, P., Wang, W., & Shen, Z. (2023). The Role of IL-6 in Inner Ear Impairment: Evidence from 146 Recovered Patients with Omicron Infected in Tianjin, China. Journal of Clinical Medicine, 12(3), 1114. https://doi.org/10.3390/jcm12031114

