Development and Validation of Deep-Learning-Based Sepsis and Septic Shock Early Prediction System (DeepSEPS) Using Real-World ICU Data
Abstract
:1. Introduction
2. Methods
2.1. Study Design and Setting
2.2. Study Population
2.3. Data Processing
2.4. Development and Training of DeepSEPS
2.5. Evaluation
2.6. Statistical Analysis
3. Results
3.1. Performance of DeepSEPS for Sepsis and Septic Shock
3.2. Results of Sensitivity and Specificity
3.3. Performance Change of DeepSEPS and Other Systems According to the Time Interval from the Onset of Sepsis and Septic Shock
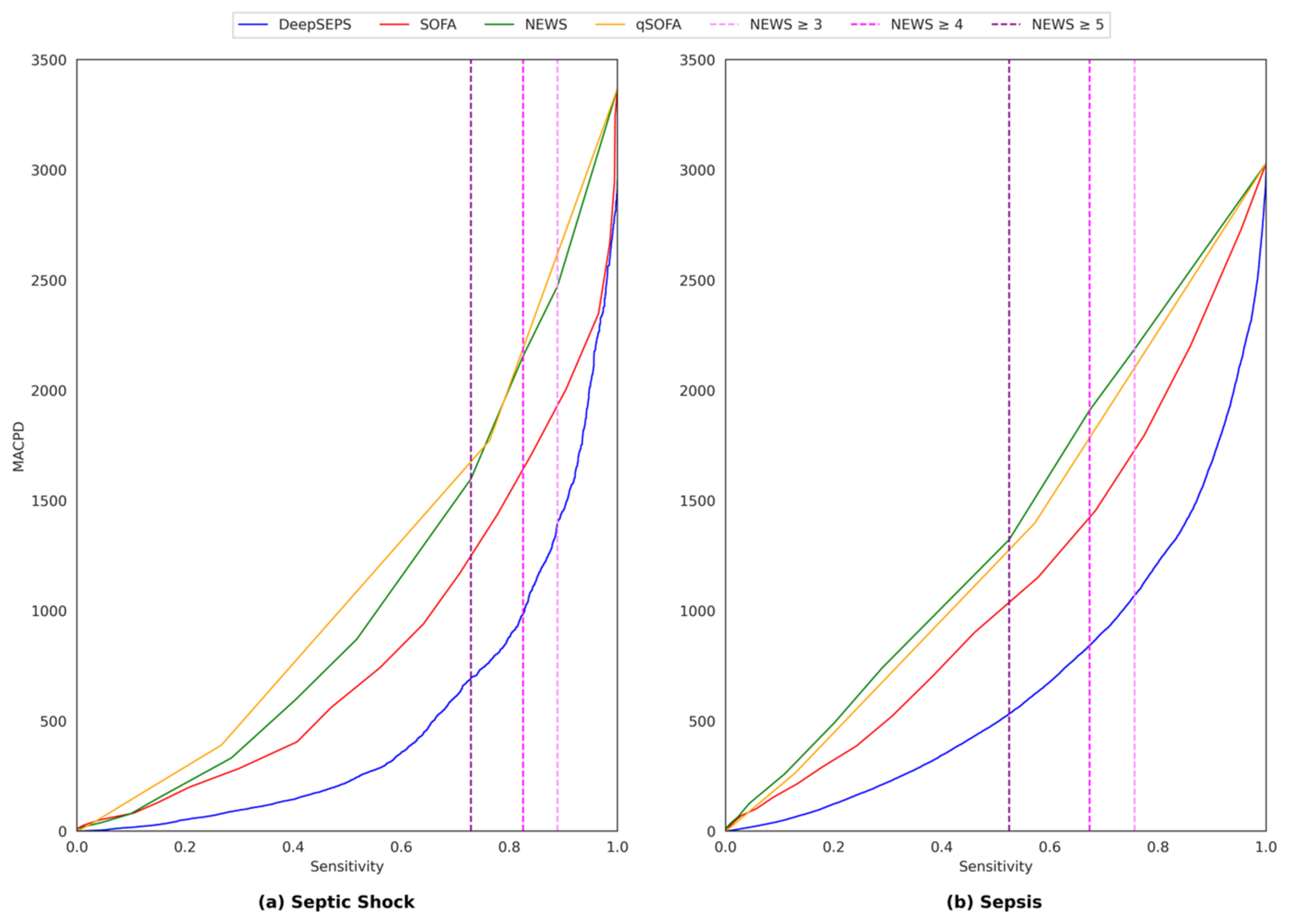
3.4. Comparison of Alarm Rates between DeepSEPS and Conventional Scoring Systems
3.5. Interpretation of DeepSEPS
3.6. Effectiveness of Glasgow Coma Scale (GCS) in Deep-Learning-Based Sepsis and Septic Shock Early Prediction System (DeepSEPS)
3.7. Comparison of DeepSEPS and Other Machine Learning Models
4. Discussion
5. Conclusions
Supplementary Materials
Author Contributions
Funding
Institutional Review Board Statement
Informed Consent Statement
Data Availability Statement
Conflicts of Interest
References
- Singer, M.; Deutschman, C.S.; Seymour, C.W.; Shankar-Hari, M.; Annane, D.; Bauer, M.; Bellomo, R.; Bernard, G.R.; Chiche, J.-D.; Coopersmith, C.M.; et al. The third international consensus definitions for sepsis and septic shock (Sepsis-3). JAMA 2016, 315, 801–810. [Google Scholar] [CrossRef] [PubMed]
- Levy, M.M.; Fink, M.P.; Marshall, J.C.; Abraham, E.; Angus, D.; Cook, D.; Cohen, J.; Opal, S.M.; Vincent, J.-L.; Ramsay, G. 2001 SCCM/ESICM/ACCP/ATS/SIS international sepsis definitions conference. Intensive Care Med. 2003, 29, 530–538. [Google Scholar] [CrossRef] [PubMed]
- Vincent, J.L. The clinical challenge of sepsis identification and monitoring. PLoS Med. 2016, 13, e1002022. [Google Scholar] [CrossRef] [PubMed]
- Fay, K.; Sapiano, M.R.P.; Gokhale, R.; Dantes, R.; Thompson, N.; Katz, D.E.; Ray, S.M.; Wilson, L.E.; Perlmutter, R.; Nadle, J.; et al. Assessment of Health Care Exposures and Outcomes in Adult Patients with Sepsis and Septic Shock. JAMA Netw. Open 2020, 3, e206004. [Google Scholar] [CrossRef]
- Jones, S.L.; Ashton, C.M.; Kiehne, L.; Gigliotti, E.; Bell-Gordon, C.; Disbot, M.; Masud, F.; Shirkey, B.A.; Wray, N.P. Reductions in sepsis mortality and costs after design and implementation of a nurse-based early recognition and response program. Jt. Comm. J. Qual. Patient Saf. 2015, 41, 483–491. [Google Scholar] [CrossRef] [PubMed]
- Font, M.D.; Thyagarajan, B.; Khanna, A.K. Sepsis and septic shock–basics of diagnosis, pathophysiology and clinical decision making. Med. Clin. N. Am. 2020, 104, 573–585. [Google Scholar] [CrossRef] [PubMed]
- Reinhart, K.; Daniels, R.; Kissoon, N.; Machado, F.R.; Schachter, R.D.; Finfer, S. Recognizing sepsis as a global health priority–A WHO resolution. N. Engl. J. Med. 2017, 377, 414–417. [Google Scholar] [CrossRef]
- American College of Chest Physicians. Society of Critical Care Medicine. American College of Chest Physicians/Society of Critical Care Medicine Consensus Conference: Definitions for sepsis and organ failure and guidelines for the use of innovative therapies in sepsis. Crit. Care Med. 1992, 20, 864–874. [Google Scholar] [CrossRef]
- Jones, S.L.; Ashton, C.M.; Kiehne, L.; Gigliotti, E.; Bell-Gordon, C.; Pinn, T.T.; Tran, S.K.; Nicolas, J.C.; Rose, A.L.; Shirkey, B.A.; et al. The sepsis early recognition and response initiative (SERRI). Jt. Comm. J. Qual. Patient Saf. 2016, 42, 122–131. [Google Scholar] [CrossRef]
- Kim, H.I.; Park, S. Sepsis: Early recognition and optimized treatment. Tuberc. Respir. Dis. 2019, 82, 6–14. [Google Scholar] [CrossRef]
- Mas-Oliva, J. On the Right Track to Decoding the Enigma of Sepsis. Arch. Med. Res. 2021, 52, 775–776. [Google Scholar] [CrossRef]
- Vignon, P.; Laterre, P.F.; Daix, T.; François, B. New Agents in Development for Sepsis: Any Reason for Hope? Drugs 2020, 80, 1751–1761. [Google Scholar] [CrossRef] [PubMed]
- Usman, O.A.; Usman, A.A.; Ward, M.A. Comparison of SIRS, qSOFA, and NEWS for the early identification of sepsis in the emergency department. Am. J. Emerg. Med. 2019, 37, 1490–1497. [Google Scholar] [CrossRef] [PubMed]
- Sprung, C.L.; Sakr, Y.; Vincent, J.L.; Le Gall, J.-R.; Reinhart, K.; Ranieri, V.M.; Gerlach, H.; Fielden, J.; Groba, C.B.; Payen, D. An evaluation of systemic inflammatory response syndrome signs in the Sepsis Occurrence In Acutely Ill Patients (SOAP) study. Intensive Care Med. 2006, 32, 421–427. [Google Scholar] [CrossRef]
- Fernando, S.M.; Tran, A.; Taljaard, M.; Cheng, W.; Rochwerg, B.; Seely, A.J.E.; Perry, J.J. Prognostic accuracy of the quick sequential organ failure assessment for mortality in patients with suspected infection: A systematic review and meta-analysis. Ann. Intern. Med. 2018, 168, 266–275. [Google Scholar] [CrossRef] [PubMed]
- Harimtepathip, P.; Lee, J.R.; Griffith, E.; Williams, G.; Patel, R.V.; Lebowitz, D.; Koochakzadeh, S. Quick sepsis-related organ failure assessment versus systemic inflammatory response syndrome criteria for predicting organ dysfunction and mortality. Cureus 2018, 10, e3511. [Google Scholar] [CrossRef] [PubMed]
- Dykes, L.A.; Heintz, S.J.; Heintz, B.H.; Livorsi, D.J.; Egge, J.A.; Lund, B.C. Contrasting qSOFA and SIRS criteria for early sepsis identification in a veteran population. Fed. Pract. 2019, 36 (Suppl. S2), S21–S24. [Google Scholar]
- Perman, S.M.; Mikkelsen, M.E.; Goyal, M.; Ginde, A.; Bhardwaj, A.; Drumheller, B.; Sante, S.C.; Agarwal, A.K.; Gaieski, D.F. The sensitivity of qSOFA calculated at triage and during emergency department treatment to rapidly identify sepsis patients. Sci. Rep. 2020, 10, 20395. [Google Scholar] [CrossRef]
- Evans, L.; Rhodes, A.; Alhazzani, W.; Antonelli, M.; Coopersmith, C.M.; French, C.; Machado, F.R.; Mcintyre, L.; Ostermann, M.; Prescott, H.C.; et al. Surviving sepsis campaign: International guidelines for management of sepsis and septic shock 2021. Intensive Care Med. 2021, 47, 1181–1247. [Google Scholar] [CrossRef]
- Giordano, C.; Brennan, M.; Mohamed, B.; Rashidi, P.; Modave, F.; Tighe, P. Accessing Artificial Intelligence for Clinical Decision-Making. Front. Digit. Health 2021, 3, 645232. [Google Scholar] [CrossRef]
- Choudhury, A.; Asan, O. Role of Artificial Intelligence in Patient Safety Outcomes: Systematic Literature Review. JMIR Med. Inform. 2020, 8, e18599. [Google Scholar] [CrossRef] [PubMed]
- Van der Vegt, A.H.; Scott, I.A.; Dermawan, K.; Schnetler, R.J.; Kalke, V.R.; Lane, P.J. Deployment of machine learning algorithms to predict sepsis: Systematic review and application of the SALIENT clinical AI implementation framework. J. Am. Med. Inform. Assoc. 2023, 30, 1349–1361. [Google Scholar] [CrossRef]
- Collins, G.S.; Reitsma, J.B.; Altman, D.G.; Moons, K.G. Transparent reporting of a multivariable prediction model for individual prognosis or diagnosis (TRIPOD): The TRIPOD statement. BMJ 2015, 350, g7594. [Google Scholar] [CrossRef]
- Lambden, S.; Laterre, P.F.; Levy, M.M.; Francois, B. The SOFA score-development, utility and challenges of accurate assessment in clinical trials. Crit. Care 2019, 23, 374. [Google Scholar] [CrossRef] [PubMed]
- Leisman, D.E.; Harhay, M.O.; Lederer, D.J.; Abramson, M.M.; Adjei, A.A.; Bakker, J.M.; Ballas, Z.K.; Barreiro, E.; Bell, S.C.M.; Bellomo, R.; et al. Development and reporting of prediction models: Guidance for authors from editors of respiratory, sleep, and critical care journals. Crit. Care Med. 2020, 48, 623–633. [Google Scholar] [CrossRef]
- Chung, J.; Gulcehre, C.; Cho, K.; Bengio, Y. Empirical evaluation of gated recurrent neural networks on sequence modeling. arXiv 2014, arXiv:1412.3555. [Google Scholar]
- Srivastava, N.; Hinton, G.; Krizhevsky, A.; Sutskever, I.; Salakhutdinov, R. Dropout: A simple way to prevent neural networks from overfitting. J. Mach. Learn. Res. 2014, 15, 1929–1958. [Google Scholar]
- Kingma, D.P.; Adam, B.J. A method for stochastic optimization. arXiv 2014, arXiv:1412.6980. [Google Scholar]
- Qiu, X.; Lei, Y.P.; Zhou, R.X. SIRS, SOFA, qSOFA, and NEWS in the diagnosis of sepsis and prediction of adverse outcomes: A systematic review and meta-analysis. Expert Rev. Anti. Infect. Ther. 2023, 21, 891–900. [Google Scholar] [CrossRef] [PubMed]
- Durr, D.; Niemi, T.; Despraz, J.; Tusgul, S.; Dami, F.; Akrour, R.; Carron, P.-N.; Le Pogam, M.-A.; Calandra, T.; Meylan, S. National Early Warning Score (NEWS) Outperforms Quick Sepsis-Related Organ Failure (qSOFA) Score for Early Detection of Sepsis in the Emergency Department. Antibiotics 2022, 11, 1518. [Google Scholar] [CrossRef]
- Desautels, T.; Calvert, J.; Hoffman, J.; Jay, M.; Kerem, Y.; Shieh, L.; Shimabukuro, D.; Chettipally, U.; Feldman, M.D.; Barton, C.; et al. Prediction of Sepsis in the Intensive Care Unit with Minimal Electronic Health Record Data: A Machine Learning Approach. JMIR Med. Inform. 2016, 4, e28. [Google Scholar] [CrossRef]
- Sinno, Z.C.; Shay, D.; Kruppa, J.; Klopfenstein, S.A.I.; Giesa, N.; Flint, A.R.; Herren, P.; Scheibe, F.; Spies, C.; Hinrichs, C.; et al. The influence of patient characteristics on the alarm rate in intensive care units: A retrospective cohort study. Sci. Rep. 2022, 12, 21801. [Google Scholar] [CrossRef] [PubMed]
- Bi, J.; Yin, X.; Li, H.; Gao, R.; Zhang, Q.; Zhong, T.; Zan, T.; Guan, B.; Li, Z. Effects of monitor alarm management training on nurses’ alarm fatigue: A randomised controlled trial. J. Clin. Nurs. 2020, 29, 4203–4216. [Google Scholar] [CrossRef]
- Poncette, A.S.; Wunderlich, M.M.; Spies, C.; Heeren, P.; Vorderwülbecke, G.; Salgado, E.; Kastrup, M.; Feufel, M.A.; Balzer, F. Patient Monitoring Alarms in an Intensive Care Unit: Observational Study with Do-It-Yourself Instructions. J. Med. Internet Res. 2021, 23, e26494. [Google Scholar] [CrossRef]
- Lundberg, S.M.; Lee, S.-I. A unified approach to interpreting model predictions. Adv. Neural Inf. Process. Syst. 2017, 30. [Google Scholar]
- Mahmud, F.; Pathan, N.S.; Quamruzzaman, M. (Eds.) Early detection of Sepsis in critical patients using Random Forest Classifier. In Proceedings of the 2020 IEEE Region 10 Symposium (TENSYMP), Dhaka, Bangladesh, 5–7 June 2020. [Google Scholar]
- Ying, T.X.; Abu-Samah, A. (Eds.) Early Prediction of Sepsis for ICU Patients using Gradient Boosted Tree. In Proceedings of the 2022 IEEE International Conference on Automatic Control and Intelligent Systems (I2CACIS), Shah Alam, Malaysia, 25 June 2022. [Google Scholar]
- Lee, B.; Cho, K.; Kwon, O.; Lee, Y. Improving the performance of a neural network for early prediction of sepsis. In 2019 Computing in Cardiology (CinC); IEEE: Singapore, 2019. [Google Scholar]
- Luo, R.; Gong, M.; Li, C. (Eds.) PT3: A Transformer-based Model for Sepsis Death Risk Prediction via Vital Signs Time Series. In Proceedings of the 2023 International Joint Conference on Neural Networks (IJCNN), Gold Coast, Australia, 18–23 June 2023. [Google Scholar]
- Tian, H.; Zhou, J.; Weng, L.; Hu, X.; Peng, J.; Wang, C.; Jiang, W.; Du, X.; Xi, X.; for China Critical Care Clinical Trials Group (CCCCTG); et al. Accuracy of qSOFA for the diagnosis of sepsis-3: A secondary analysis of a population-based cohort study. J. Thorac. Dis. 2019, 11, 2034–2042. [Google Scholar] [CrossRef] [PubMed]
- Gaddis, M.L.; Gaddis, G.M. Detecting Sepsis in an Emergency Department: SIRS vs. qSOFA. Mo. Med. 2021, 118, 253–258. [Google Scholar]
- Moor, M.; Bennett, N.; Plečko, D.; Horn, M.; Rieck, B.; Meinshausen, N.; Buhlmann, P.; Borgwardt, K. Predicting sepsis using deep learning across international sites: A retrospective development and validation study. eClinicalMedicine 2023, 62, 102124. [Google Scholar] [CrossRef]
- Kam, H.J.; Kim, H.Y. Learning representations for the early detection of sepsis with deep neural networks. Comput. Biol. Med. 2017, 89, 248–255. [Google Scholar] [CrossRef] [PubMed]
- Nemati, S.; Holder, A.; Razmi, F.; Stanley, M.; Clifford, G.; Buchman, T. An interpretable machine learning model for healthcare providers of sepsis in the ICU. Crit. Care Med. 2018, 46, 547–553. [Google Scholar] [CrossRef] [PubMed]
- Li, X.; Xu, X.; Xie, F.; Xu, X.M.; Sun, Y.M.; Liu, X.M.; Jia, X.B.; Kang, Y.M.; Xie, L.; Wang, F.; et al. A time-phased machine learning model for real-time prediction of sepsis in critical care. Crit. Care Med. 2020, 48, e884–e888. [Google Scholar] [CrossRef] [PubMed]
- Yu, S.C.; Shivakumar, N.; Betthauser, K.; Gupta, A.; Lai, A.M.; Kollef, M.H.; O Payne, P.R.; Michelson, A.P. Comparison of early warning scores for sepsis early identification and prediction in the general ward setting. JAMIA Open 2021, 4, ooab062. [Google Scholar] [CrossRef]
- Goh, K.H.; Wang, L.; Yeow, A.Y.K.; Poh, H.; Li, K.; Yeow, J.J.L.; Tan, G.Y.H. Artificial intelligence in sepsis early prediction and diagnosis using unstructured data in healthcare. Nat. Commun. 2021, 12, 711. [Google Scholar] [CrossRef] [PubMed]
- Harutyunyan, H.; Khachatrian, H.; Kale, D.C.; Ver Steeg, G.; Galstyan, A. Multitask learning and benchmarking with clinical time series data. Sci. Data 2019, 6, 96. [Google Scholar] [CrossRef] [PubMed]







| Baseline Characteristics | Sepsis Negative | Sepsis Positive | p-Value | Shock Negative | Shock Positive | p-Value |
|---|---|---|---|---|---|---|
| Number of admissions (%) | 20,722 (76.21%) | 6467 (23.79%) | - | 28,130 (98.49%) | 430 (1.51%) | - |
| per 1000 admissions | 762.15 | 237.85 | - | 984.94 | 15.06 | - |
| Number of vital signs & laboratory values (%) | 1,529,125 (93.57%) | 105,157 (6.43%) | - | 5,335,227 (99.74%) | 14,095 (0.26%) | - |
| Gender (%) | 20,722 (100%) | 6467 (100%) | p < 0.001 | 28,130 (100%) | 430 (100%) | p = 0.03 |
| Male | 12,450 (60.08%) | 4085 (63.17%) | - | 17,148 (60.96%) | 240 (55.81%) | - |
| Female | 8272 (39.92%) | 2382 (36.83%) | - | 10,982 (39.04%) | 190 (44.19%) | - |
| Age (mean ± SD) | 62.98 ± 14.1 | 63.52 ± 14.48 | p < 0.001 | 62.99 ± 14.1 | 61.03 ± 14.11 | p < 0.001 |
| Number of oxygen delivery types in admissions (%) | 42,058 (100%) | 6759 (100%) | p < 0.001 | 42,212 (100%) | 511 (100%) | p < 0.001 |
| Room air | 7859 (18.69%) | 465 (6.88%) | - | 7923 (18.77%) | 10 (1.95%) | - |
| Non-invasive ventilation | 25,452 (60.52%) | 3311 (48.99%) | - | 25,518 (60.45%) | 154 (30.14%) | - |
| Invasive ventilation | 8747 (20.79%) | 2983 (44.13%) | - | 8771 (20.78%) | 347 (67.91%) | - |
| 8 vital signs (mean ± SD) | - | - | - | - | - | - |
| Heart rate (/min) | 83.47 ± 19.93 | 92.53 ± 21.04 | p < 0.001 | 89.32 ± 20.51 | 106.83 ± 25.04 | p < 0.001 |
| Diastolic blood pressure (mm Hg) | 67.1 ± 14.98 | 66.96 ± 15.40 | p = 0.01 | 66.5 ± 14.87 | 61.06 ± 16.33 | p < 0.001 |
| Systolic blood pressure (mm Hg) | 122.63 ± 22.44 | 122.88 ± 24.48 | p = 0.004 | 122.61 ± 23.43 | 105.06 ± 26.49 | p < 0.001 |
| Mean blood pressure (mm Hg) | 83.09 ± 17.45 | 83.34 ± 17.49 | p < 0.001 | 83.2 ± 35.38 | 74.48 ± 18.69 | p < 0.001 |
| Respiratory rate (/min) | 18.2 ± 5.49 | 18.98 ± 6.38 | p < 0.001 | 19.02 ± 7.18 | 20.69 ± 8.27 | p < 0.001 |
| Body temperature (℃) | 36.57 ± 0.55 | 36.68 ± 0.54 | p < 0.001 | 36.64 ± 0.68 | 36.61 ± 0.6 | p < 0.001 |
| SpO2 (%) | 98.02 ± 5.04 | 97.95 ± 4.43 | p < 0.001 | 98.24 ± 4.69 | 96.33 ± 7.4 | p < 0.001 |
| Total GCS | 13.86 ± 1.53 | 13.09 ± 2.19 | p < 0.001 | 13.51 ± 1.86 | 13.29 ± 2.34 | p = 0.034 |
| 13 laboratory data (mean ± SD) | - | - | - | - | - | - |
| Lactate (mmol/L) | 2.36 ± 2.74 | 2.49 ± 2.5 | p = 0.013 | 2.26 ± 2.5 | 6.14 ± 4.69 | p < 0.001 |
| Bilirubin (mg/dL) | 1.28 ± 2.21 | 2.82 ± 6.24 | p < 0.001 | 2.63 ± 5.34 | 4.54 ± 6.27 | p < 0.001 |
| Platelets (103/µL) | 180.83 ± 96.21 | 151.98 ± 103.79 | p < 0.001 | 165.55 ± 118.17 | 100.82 ± 87.07 | p < 0.001 |
| Creatinine (mg/dL) | 1.24 ± 2.76 | 1.61 ± 3.97 | p < 0.001 | 1.30 ± 2.8 | 1.50 ± 3.22 | p = 0.21 |
| WBC (103/µL) | 10.82 ± 7.35 | 11.91 ± 6.99 | p < 0.001 | 11.08 ± 6.98 | 11.80 ± 9.4 | p = 0.083 |
| pH | 7.42 ± 0.08 | 7.42 ± 0.09 | p < 0.001 | 7.43 ± 0.08 | 7.37 ± 0.11 | p < 0.001 |
| HCO3− (mmol/L) | 24.20 ± 5.4 | 23.87 ± 5.71 | p < 0.001 | 24.87 ± 5.62 | 21.67 ± 6.28 | p < 0.001 |
| BUN (mg/dL) | 21.17 ± 17.87 | 27.74 ± 22.5 | p < 0.001 | 27.26 ± 21.02 | 30.63 ± 25.07 | p = 0.007 |
| Albumin (g/dL) | 3.25 ± 0.53 | 3.00 ± 0.53 | p < 0.001 | 3.07 ± 0.55 | 2.69 ± 0.57 | p < 0.001 |
| Glucose (mg/dL) | 159.93 ± 68.96 | 172.86 ± 76.24 | p < 0.001 | 170.61 ± 75.31 | 168.13 ± 89.05 | p = 0.373 |
| INR | 1.35 ± 0.59 | 1.51 ± 0.72 | p < 0.001 | 1.42 ± 0.58 | 1.88 ± 1.21 | p < 0.001 |
| Lymphocyte (103/µL) | 1.14 ± 0.73 | 0.94 ± 0.63 | p < 0.001 | 1.02 ± 0.78 | 0.97 ± 1.4 | p = 0.406 |
| ANC | 8720.00 ± 5359.11 | 9955.29 ± 6311.88 | p < 0.001 | 9000.29 ± 5673.99 | 9838.68 ± 8625.27 | p = 0.031 |
| Metric | Target Event | DeepSEPS (95% CI) | SOFA (95% CI) | qSOFA (95% CI) | NEWS (95% CI) |
|---|---|---|---|---|---|
| AUROC | Sepsis | 0.7888 (0.7855–0.7918) | 0.6365 (0.6325–0.6403) | 0.5643 (0.5609–0.5677) | 0.5432 (0.5392–0.5473) |
| Septic shock | 0.8494 (0.8423–0.856) | 0.7511 (0.7407–0.7615) | 0.6455 (0.6356–0.655) | 0.6758 (0.6665–0.6858) | |
| AUPRC | Sepsis | 0.2289 (0.2236–0.2346) | 0.0943 (0.0926–0.0965) | 0.084 (0.0817–0.0865) | 0.0706 (0.0693–0.0721) |
| Septic shock | 0.0317 (0.0274–0.0372) | 0.0075 (0.0070–0.0078) | 0.0167 (0.0135–0.02) | 0.0063 (0.0059–0.0068) |
| Metric | Target Event | DeepSEPS (95% CI) | Transformer (95% CI) | Random Forest (95% CI) |
|---|---|---|---|---|
| AUROC | Sepsis | 0.7888 (0.7855–0.7918) | 0.7771 (0.7739–0.7804) | 0.7064 (0.7028–0.7103) |
| Septic shock | 0.8494 (0.8423–0.856) | 0.8147 (0.8067–0.8228) | 0.7765 (0.7696–0.7842) | |
| AUPRC | Sepsis | 0.2289 (0.2236–0.2346) | 0.2171 (0.2114–0.2228) | 0.1331 (0.1302–0.1402) |
| Septic shock | 0.0317 (0.0274–0.0372) | 0.0173 (0.0158–0.019) | 0.0107 (0.0097–0.0118) |
Disclaimer/Publisher’s Note: The statements, opinions and data contained in all publications are solely those of the individual author(s) and contributor(s) and not of MDPI and/or the editor(s). MDPI and/or the editor(s) disclaim responsibility for any injury to people or property resulting from any ideas, methods, instructions or products referred to in the content. |
© 2023 by the authors. Licensee MDPI, Basel, Switzerland. This article is an open access article distributed under the terms and conditions of the Creative Commons Attribution (CC BY) license (https://creativecommons.org/licenses/by/4.0/).
Share and Cite
Kim, T.; Tae, Y.; Yeo, H.J.; Jang, J.H.; Cho, K.; Yoo, D.; Lee, Y.; Ahn, S.-H.; Kim, Y.; Lee, N.; et al. Development and Validation of Deep-Learning-Based Sepsis and Septic Shock Early Prediction System (DeepSEPS) Using Real-World ICU Data. J. Clin. Med. 2023, 12, 7156. https://doi.org/10.3390/jcm12227156
Kim T, Tae Y, Yeo HJ, Jang JH, Cho K, Yoo D, Lee Y, Ahn S-H, Kim Y, Lee N, et al. Development and Validation of Deep-Learning-Based Sepsis and Septic Shock Early Prediction System (DeepSEPS) Using Real-World ICU Data. Journal of Clinical Medicine. 2023; 12(22):7156. https://doi.org/10.3390/jcm12227156
Chicago/Turabian StyleKim, Taehwa, Yunwon Tae, Hye Ju Yeo, Jin Ho Jang, Kyungjae Cho, Dongjoon Yoo, Yeha Lee, Sung-Ho Ahn, Younga Kim, Narae Lee, and et al. 2023. "Development and Validation of Deep-Learning-Based Sepsis and Septic Shock Early Prediction System (DeepSEPS) Using Real-World ICU Data" Journal of Clinical Medicine 12, no. 22: 7156. https://doi.org/10.3390/jcm12227156
APA StyleKim, T., Tae, Y., Yeo, H. J., Jang, J. H., Cho, K., Yoo, D., Lee, Y., Ahn, S.-H., Kim, Y., Lee, N., & Cho, W. H. (2023). Development and Validation of Deep-Learning-Based Sepsis and Septic Shock Early Prediction System (DeepSEPS) Using Real-World ICU Data. Journal of Clinical Medicine, 12(22), 7156. https://doi.org/10.3390/jcm12227156

