Stratification of Patients with Coronary Artery Disease by Circulating Cytokines Profile: A Pilot Study
Abstract
:1. Introduction
2. Material and Methods
2.1. Study Population
2.2. Imaging Protocol
2.3. Laboratory Methods
2.4. Data Processing
2.5. Statistical Analysis
3. Results
3.1. Clinical Features of the Study Population
3.2. Evaluation of Inflammation Levels in Groups of Patients
3.3. Relationship between Clinical Features and Cytokines Concentration
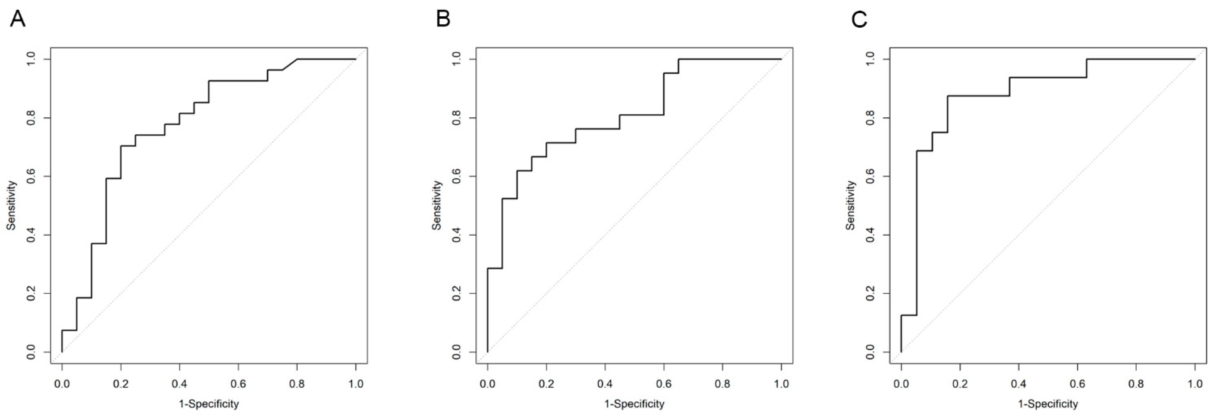
3.4. Diagnostic Performance of the Selected Cytokines
4. Discussion
Author Contributions
Funding
Institutional Review Board Statement
Informed Consent Statement
Data Availability Statement
Conflicts of Interest
Abbreviation
References
- Ralapanawa, U.; Sivakanesan, R. Epidemiology and the Magnitude of Coronary Artery Disease and Acute Coronary Syndrome: A Narrative Review. J. Epidemiol. Glob. Health 2021, 11, 169–177. [Google Scholar] [CrossRef] [PubMed]
- Antonopoulos, A.S.; Angelopoulos, A.; Tsioufis, K.; Antoniades, C.; Tousoulis, D. Cardiovascular risk stratification by coronary computed tomography angiography imaging: Current state-of-the-art. Eur. J. Prev. Cardiol. 2022, 29, 608–624. [Google Scholar] [CrossRef]
- Lusis, A.J. Atherosclerosis. Nature 2000, 407, 233–241. [Google Scholar] [CrossRef]
- Pothineni, N.V.K.; Subramany, S.; Kuriakose, K.; Shirazi, L.F.; Romeo, F.; Shah, P.K.; Mehta, J.L. Infections, atherosclerosis, and coronary heart disease. Eur. Heart J. 2017, 38, 3195–3201. [Google Scholar] [CrossRef]
- Soehnlein, O.; Libby, P. Targeting inflammation in atherosclerosis—From experimental insights to the clinic. Nat. Rev. Drug Discov. 2021, 20, 589–610. [Google Scholar] [CrossRef] [PubMed]
- Borén, J.; Chapman, M.J.; Krauss, R.M.; Packard, C.J.; Bentzon, J.F.; Binder, C.J.; Daemen, M.J.; Demer, L.L.; Hegele, R.A.; Nicholls, S.J.; et al. Low-density lipoproteins cause atherosclerotic cardiovascular disease: Pathophysiological, genetic, and therapeutic insights: A consensus statement from the European Atherosclerosis Society Consensus Panel. Eur. Heart J. 2020, 41, 2313–2330. [Google Scholar] [CrossRef]
- Shami, A.; Edsfeldt, A.; Bengtsson, E.; Nilsson, J.; Shore, A.C.; Natali, A.; Khan, F.; Lutgens, E.; Gonçalves, I. Soluble CD40 Levels in Plasma Are Associated with Cardiovascular Disease and in Carotid Plaques with a Vulnerable Phenotype. J. Stroke 2021, 23, 367–376. [Google Scholar] [CrossRef]
- Hammadah, M.; Georgiopoulou, V.V.; Kalogeropoulos, A.P.; Weber, M.; Wang, X.; Samara, M.A.; Wu, Y.; Butler, J.; Tang, W.H.W. Elevated Soluble Fms-Like Tyrosine Kinase-1 and Placental-Like Growth Factor Levels Are Associated with Development and Mortality Risk in Heart Failure. Circ. Heart Fail. 2016, 9, e002115. [Google Scholar] [CrossRef]
- Kumar, V.; Prabhu, S.D.; Bansal, S.S. CD4+ T-lymphocytes exhibit biphasic kinetics post-myocardial infarction. Front. Cardiovasc. Med. 2022, 9, 992653. [Google Scholar] [CrossRef]
- Kumar, V.; Rosenzweig, R.; Asalla, S.; Nehra, S.; Prabhu, S.D.; Bansal, S.S. TNFR1 Contributes to Activation-Induced Cell Death of Pathological CD4+ T Lymphocytes During Ischemic Heart Failure. JACC Basic Transl. Sci. 2022, 7, 1038–1049. [Google Scholar] [CrossRef]
- Gegunde, S.; Alfonso, A.; Alvariño, R.; Alonso, E.; González-Juanatey, C.; Botana, L.M. Crosstalk between cyclophilins and T lymphocytes in coronary artery disease. Exp. Cell Res. 2021, 400, 112514. [Google Scholar] [CrossRef]
- Tsirebolos, G.; Tsoporis, J.N.; Drosatos, I.-A.; Izhar, S.; Gkavogiannakis, N.; Sakadakis, E.; Triantafyllis, A.S.; Parker, T.G.; Rallidis, L.S.; Rizos, I. Emerging markers of inflammation and oxidative stress as potential predictors of coronary artery disease. Int. J. Cardiol. 2023, 376, 127–133. [Google Scholar] [CrossRef]
- Wacker, M.; Ball, A.; Beer, H.-D.; Schmitz, I.; Borucki, K.; Azizzadeh, F.; Scherner, M.; Awad, G.; Wippermann, J.; Veluswamy, P. Immunophenotyping of Monocyte Migration Markers and Therapeutic Effects of Selenium on IL-6 and IL-1β Cytokine Axes of Blood Mononuclear Cells in Preoperative and Postoperative Coronary Artery Disease Patients. Int. J. Mol. Sci. 2023, 24, 7198. [Google Scholar] [CrossRef]
- Wainstein, M.V.; Mossmann, M.; Araujo, G.N.; Gonçalves, S.C.; Gravina, G.L.; Sangalli, M.; Veadrigo, F.; Matte, R.; Reich, R.; Costa, F.G.; et al. Elevated serum interleukin-6 is predictive of coronary artery disease in intermediate risk overweight patients referred for coronary angiography. Diabetol. Metab. Syndr. 2017, 9, 1–7. [Google Scholar] [CrossRef] [PubMed]
- Serruys, P.W.; Kotoku, N.; Nørgaard, B.L.; Garg, S.; Nieman, K.; Dweck, M.R.; Bax, J.J.; Knuuti, J.; Narula, J.; Perera, D.; et al. Computed tomographic angiography in coronary artery disease. EuroIntervention 2023, 18, e1307–e1327. [Google Scholar] [CrossRef]
- Bittencourt, M.S.; Hulten, E.; Ghoshhajra, B.; O’leary, D.; Christman, M.P.; Montana, P.; Truong, Q.A.; Steigner, M.; Murthy, V.L.; Rybicki, F.J.; et al. Prognostic Value of Nonobstructive and Obstructive Coronary Artery Disease Detected by Coronary Computed Tomography Angiography to Identify Cardiovascular Events. Circ. Cardiovasc. Imaging 2014, 7, 282–291. [Google Scholar] [CrossRef] [PubMed]
- Tramontano, L.; Punzo, B.; Clemente, A.; Seitun, S.; Saba, L.; Bossone, E.; Maffei, E.; Cavaliere, C.; Cademartiri, F. Prognostic Value of Coronary Calcium Score in Asymptomatic Individuals: A Systematic Review. J. Clin. Med. 2022, 11, 5842. [Google Scholar] [CrossRef]
- Abdelrahman, K.M.; Chen, M.Y.; Dey, A.K.; Virmani, R.; Finn, A.V.; Khamis, R.Y.; Choi, A.D.; Min, J.K.; Williams, M.C.; Buckler, A.J.; et al. Coronary Computed Tomography Angiography from Clinical Uses to Emerging Technologies: JACC State-of-the-Art Review. J. Am. Coll. Cardiol. 2020, 76, 1226–1243. [Google Scholar] [CrossRef]
- Ramjattan, N.A.; Lala, V.; Kousa, O.; Makaryus, A.N.; Coronary, C.T. Angiography. In StatPearls; StatPearls Publishing: Treasure Island, FL, USA, 2023. [Google Scholar]
- Cademartiri, F.; Meloni, A.; Pistoia, L.; Degiorgi, G.; Clemente, A.; De Gori, C.; Positano, V.; Celi, S.; Berti, S.; Emdin, M.; et al. Dual-Source Photon-Counting Computed Tomography—Part I: Clinical Overview of Cardiac CT and Coronary CT Angiography Applications. J. Clin. Med. 2023, 12, 3627. [Google Scholar] [CrossRef] [PubMed]
- Lu, X.; Liu, Z.; Cui, Q.; Liu, F.; Li, J.; Niu, X.; Shen, C.; Hu, D.; Huang, K.; Chen, J.; et al. A polygenic risk score improves risk stratification of coronary artery disease: A large-scale prospective Chinese cohort study. Eur. Hear. J. 2022, 43, 1702–1711. [Google Scholar] [CrossRef]
- Yang, Y.-L.; Wu, C.-H.; Hsu, P.-F.; Chen, S.-C.; Huang, S.-S.; Chan, W.L.; Lin, S.-J.; Chou, C.-Y.; Chen, J.-W.; Pan, J.-P.; et al. Systemic immune-inflammation index (SII) predicted clinical outcome in patients with coronary artery disease. Eur. J. Clin. Investig. 2020, 50, e13230. [Google Scholar] [CrossRef]
- Martins, A.M.A.; Paiva, M.U.B.; Paiva, D.V.N.; de Oliveira, R.M.; Machado, H.L.; Alves, L.J.S.R.; Picossi, C.R.C.; Faccio, A.T.; Tavares, M.F.M.; Barbas, C.; et al. Innovative Approaches to Assess Intermediate Cardiovascular Risk Subjects: A Review From Clinical to Metabolomics Strategies. Front. Cardiovasc. Med. 2021, 8, 788062. [Google Scholar] [CrossRef] [PubMed]
- Infante, T.; Forte, E.; Schiano, C.; Cavaliere, C.; Tedeschi, C.; Soricelli, A.; Salvatore, M.; Napoli, C. An integrated approach to coronary heart disease diagnosis and clinical management. Am. J. Transl. Res. 2017, 9, 3148–3166. [Google Scholar] [PubMed]
- Gallo, G.; Volpe, M.; Savoia, C. Endothelial Dysfunction in Hypertension: Current Concepts and Clinical Implications. Front. Med. 2022, 8, 798958. [Google Scholar] [CrossRef] [PubMed]
- Su, D.; Li, Z.; Li, X.; Chen, Y.; Zhang, Y.; Ding, D.; Deng, X.; Xia, M.; Qiu, J.; Ling, W. Association between Serum Interleukin-6 Concentration and Mortality in Patients with Coronary Artery Disease. Mediat. Inflamm. 2013, 2013, 726178. [Google Scholar] [CrossRef]
- Ling, Y.; Weng, H.; Tang, S. The relationship between IL-6 levels and the angiographic severity of coronary artery disease following percutaneous coronary intervention in acute coronary syndrome patients. BMC Cardiovasc. Disord. 2021, 21, 578. [Google Scholar] [CrossRef]
- Eroglu, I.; Eroglu, B. Serum Monocyte-Chemoattractant Protein–1 Could Be an Indicator of Coronary Artery Calcium Score. JAMA Cardiol. 2021, 6, 604–605. [Google Scholar] [CrossRef]
- Dinh, W.; Füth, R.; Nickl, W.; Krahn, T.; Ellinghaus, P.; Scheffold, T.; Bansemir, L.; Bufe, A.; Barroso, M.C.; Lankisch, M. Elevated plasma levels of TNF-alpha and Interleukin-6 in patients with diastolic dysfunction and glucose metabolism disorders. Cardiovasc. Diabetol. 2009, 8, 58. [Google Scholar] [CrossRef]
- Dawson, L.P.; Lum, M.; Nerleker, N.; Nicholls, S.J.; Layland, J. Coronary Atherosclerotic Plaque Regression: JACC State-of-the-Art Review. J. Am. Coll. Cardiol. 2022, 79, 66–82. [Google Scholar] [CrossRef]





| Citochine | Non-Obstructive CAD (n = 34) | Obstructive CAD (n = 21) | Controls (n = 20) |
|---|---|---|---|
| CCL2_MCP1 | 34 | 21 | 20 |
| Flt1 | 12 | 16 | 19 |
| IL10 | 32 | 20 | 20 |
| IL18 | 34 | 21 | 20 |
| IL6 | 27 | 19 | 20 |
| LIGHT | 25 | 19 | 16 |
| PlGF | 20 | 16 | 12 |
| sCD40L | 34 | 21 | 20 |
| sRAGE | 34 | 21 | 20 |
| sST2 | 17 | 15 | 18 |
| TNFalfa | 13 | 19 | 20 |
| Clinical Variable | CTRL (n = 20) | Non_obCAD (n = 34) | obCAD (n = 21) | Overall p-Value |
|---|---|---|---|---|
| Sex: female/male | 10/10 (n = 20) | 11/23 (n = 34) | 5/16 (n = 21) | 0.197 |
| Familiarity: yes/no | 16/4 (n = 20) | 26/8 (n = 34) | 14/7 (n = 21) | 0.586 |
| Smoking: yes/no | 5/15 (n = 20) | 14/20 (n = 34) | 7/14 (n = 21) | 0.478 |
| Age | 50 [24; 59] (n = 20) | 64 [46; 75] (n = 34) | 72 [58; 86] (n = 21) | <0.001 |
| Weight (Kg) | 83.5 [56; 130] (n = 20) | 78 [46; 130] (n = 34) | 81 [55; 127] (n = 21) | 0.387 |
| Height (m) | 1.7 [1.5; 1.8] (n = 20) | 1.7 [1.5; 1.9] (n = 34) | 1.7 [1.5; 1.8] (n = 21) | 0.872 |
| Obesity: yes/no | 8/12 (n = 20) | 7/27 (n = 34) | 7/14 (n = 21) | 0.284 |
| BMI (Kg/m2) | 29.5 [22.4; 40.1] (n = 20) | 26.5 [19.1; 38.8] (n = 34) | 28.4 [22; 40.9] (n = 21) | 0.211 |
| BSA (m2) | 1.9 [1.6; 2.5] (n = 20) | 1.9 [1.4; 2.5] (n = 34) | 1.9 [1.5; 2.4] (n = 21) | 0.621 |
| Diabetes: yes/no | 4/16 (n = 20) | 5/29 (n = 34) | 3/18 (n = 21) | 0.849 |
| Glycemia (mg/dL) | 94.5 [72; 121] (n = 10) | 97 [78; 228] (n = 22) | 94.5 [80; 145] (n = 14) | 0.613 |
| Hypertension: yes/no | 15/5 (n = 20) | 25/9 (n = 34) | 21/0 (n = 21) | 0.017 |
| Systolic Pressure (mmHg) | 126 [115; 170] (n = 11) | 120 [110; 180] (n = 11) | 130 [120; 160] (n = 14) | 0.589 |
| Diastolic Pressure (mmHg) | 85 [70; 110] (n = 11) | 80 [70; 100] (n = 11) | 80 [70; 110] (n = 14) | 0.760 |
| Cholesterol: yes/no | 14/6 (n = 20) | 24/10 (n = 34) | 15/6 (n = 21) | 0.995 |
| Cholesterol (mg/dL) | 179 [149; 245] (n = 12) | 180.5 [94; 222] (n = 20) | 173 [121; 286] (n = 17) | 0.457 |
| HDL (mg/dL) | 53 [32; 75] (n = 11) | 45 [35; 55] (n = 15) | 42.5 [20; 87] (n = 16) | 0.322 |
| LDL (mg/dL) | 144.5 [63; 168] (n = 8) | 102 [40; 148] (n = 13) | 98 [70; 162] (n = 11) | 0.151 |
| Triglycerides: yes/no | 14/6 (n = 20) | 26/8 (n = 34) | 15/6 (n = 21) | 0.851 |
| Triglycerides (mg/dL) | 117.5 [53; 218] (n = 10) | 108 [49; 223] (n = 16) | 164 [64; 274] (n = 15) | 0.254 |
| Creatinine (mg/dL) | 0.9 [0.5; 1.3] (n = 19) | 0.9 [0.6; 1.5] (n = 26) | 1 [0.7; 2] (n = 21) | 0.507 |
| FC (%) | 74.5 [51; 112] (n = 20) | 69 [43; 104] (n = 33) | 67 [41; 100] (n = 21) | 0.190 |
| Agatston | 0 [0; 0] (n = 20) | 54.5 [1; 1238] (n = 34) | 477 [8; 2942] (n = 21) | <0.001 |
| Cytokines | CTRL (n) | Non_obCAD (n) | obCAD (n) | Overall p-Value | CTRL vs. Non_obCAD | CTRL vs. obCAD | obCAD vs. Non_obCAD |
|---|---|---|---|---|---|---|---|
| CCL2_MCP1 | 21.1 [9; 53.3] (n = 20) | 35 [8.1; 74.5] (n = 34) | 40.9 [15.2; 253.2] (n = 21) | 0.001 | 0.023 | 0.001 | 0.540 |
| Flt1 | 383 [119.1; 2347] (n = 19) | 1557.1 [50.1; 2827.1] (n = 12) | 948.3 [334.6; 10053.8] (n =16) | 0.003 | 0.060 | 0.003 | 1 |
| IL6 | 2 [0.4; 25.7] (n = 20) | 8 [0.7; 32.2] (n = 27) | 4.5 [0.9; 41.5] (n = 19) | 0.006 | 0.004 | 0.203 | 0.702 |
| IL10 | 1.3 [0.7; 19.1] (n = 20) | 1.8 [0.7; 40.2] (n = 32) | 1.4 [0.7; 4.6] (n = 20) | 0.098 | |||
| IL18 | 462.2 [210.5; 937.6] (n = 20) | 465.6 [15.9; 999.9] (n = 34) | 590.7 [337.4; 1919] (n = 21) | 0.062 | |||
| LIGHT | 24 [8.8; 157.7] (n = 16) | 15.3 [3; 91.6] (n = 25) | 22.1 [9.3; 776.8] (n = 19) | 0.066 | |||
| PlGF | 118.2 [30.2; 764] (n = 12) | 68.9 [22.1; 632] (n = 20) | 76.7 [30.4; 745.1] (n = 16) | 0.645 | |||
| sCD40L | 574.6 [230.8; 1081.8] (n = 20) | 581.6 [117.7; 21017.7] (n = 34) | 445.2 [228.4; 22302.2] (n = 21) | 0.529 | |||
| sRAGE | 317.1 [88.6; 807.1] (n = 20) | 556.8 [106; 1664.1] (n = 34) | 430 [90.7; 2879.5] (n = 21) | 0.052 | |||
| sST2 | 405.2 [150.2; 1744.7] (n = 18) | 663 [144.8; 1655.8] (n = 17) | 381.7 [135.7; 1050] (n = 15) | 0.156 | |||
| TNFalfa | 12.9 [1.9; 55.2] (n = 20) | 13.5 [5.6; 136.2] (n = 13) | 12.1 [4.5; 107.3] (n = 19) | 0.686 |
| Cytokines | Clinical Variables | CTRL | Non_obCAD | obCAD | ||||||
|---|---|---|---|---|---|---|---|---|---|---|
| n | r | p | n | r | p | n | r | p | ||
| sST2 | Height | 18 | −0.2 | 0.412 | 17 | 0.1 | 0.683 | 15 | −0.6 | 0.029 |
| BSA | 18 | 0 | 0.951 | 17 | 0.1 | 0.765 | 15 | −0.6 | 0.02 | |
| Creatinine | 17 | 0 | 0.993 | 14 | 0.3 | 0.358 | 15 | −0.7 | 0.007 | |
| IL10 | Weight | 20 | −0.6 | 0.004 | 32 | 0 | 0.868 | 20 | −0.5 | 0.048 |
| BSA | 20 | −0.7 | 0.002 | 32 | 0.1 | 0.739 | 20 | −0.5 | 0.045 | |
| Creatinine | 19 | −0.2 | 0.391 | 25 | 0 | 0.854 | 20 | −0.7 | <0.001 | |
| IL18 | HDL | 11 | −0.7 | 0.01 | 15 | −0.1 | 0.864 | 16 | −0.7 | 0.001 |
| Triglycerides | 10 | 0.6 | 0.06 | 16 | 0.3 | 0.233 | 15 | 0.6 | 0.02 | |
| IL6 | Creatinine | 19 | 0.2 | 0.391 | 20 | −0.1 | 0.64 | 19 | −0.6 | 0.013 |
| LIGHT | Glycemia | 9 | −0.1 | 0.798 | 17 | −0.3 | 0.291 | 13 | −0.6 | 0.022 |
| Systolic pressure | 8 | −0.3 | 0.482 | 9 | 0.5 | 0.226 | 13 | −0.7 | 0.016 | |
| CCL2_MCP1 | HDL | 11 | −0.7 | 0.03 | 15 | −0.2 | 0.589 | 16 | −0.5 | 0.069 |
| Triglycerides | 10 | 0.7 | 0.016 | 16 | −0.1 | 0.858 | 15 | 0.2 | 0.524 | |
| sCD40L | Cholesterol | 12 | 0.7 | 0.013 | 20 | 0.2 | 0.409 | 17 | −0.3 | 0.254 |
| Cytokines | Diagnosis | OR | 95% CI | p-Value |
|---|---|---|---|---|
| CCL2_MCP1 | obCAD | 1.08 | 1.03–1.16 | 0.009 |
| Flt1 | obCAD | 1.00 | 1.00–1.01 | 0.036 |
| IL6 | non_obCAD | 1.15 | 1.03–1.35 | 0.042 |
Disclaimer/Publisher’s Note: The statements, opinions and data contained in all publications are solely those of the individual author(s) and contributor(s) and not of MDPI and/or the editor(s). MDPI and/or the editor(s) disclaim responsibility for any injury to people or property resulting from any ideas, methods, instructions or products referred to in the content. |
© 2023 by the authors. Licensee MDPI, Basel, Switzerland. This article is an open access article distributed under the terms and conditions of the Creative Commons Attribution (CC BY) license (https://creativecommons.org/licenses/by/4.0/).
Share and Cite
Iside, C.; Affinito, O.; Punzo, B.; Salvatore, M.; Mirabelli, P.; Cavaliere, C.; Franzese, M. Stratification of Patients with Coronary Artery Disease by Circulating Cytokines Profile: A Pilot Study. J. Clin. Med. 2023, 12, 6649. https://doi.org/10.3390/jcm12206649
Iside C, Affinito O, Punzo B, Salvatore M, Mirabelli P, Cavaliere C, Franzese M. Stratification of Patients with Coronary Artery Disease by Circulating Cytokines Profile: A Pilot Study. Journal of Clinical Medicine. 2023; 12(20):6649. https://doi.org/10.3390/jcm12206649
Chicago/Turabian StyleIside, Concetta, Ornella Affinito, Bruna Punzo, Marco Salvatore, Peppino Mirabelli, Carlo Cavaliere, and Monica Franzese. 2023. "Stratification of Patients with Coronary Artery Disease by Circulating Cytokines Profile: A Pilot Study" Journal of Clinical Medicine 12, no. 20: 6649. https://doi.org/10.3390/jcm12206649
APA StyleIside, C., Affinito, O., Punzo, B., Salvatore, M., Mirabelli, P., Cavaliere, C., & Franzese, M. (2023). Stratification of Patients with Coronary Artery Disease by Circulating Cytokines Profile: A Pilot Study. Journal of Clinical Medicine, 12(20), 6649. https://doi.org/10.3390/jcm12206649

