Development of Clinical Decision Models for the Prediction of Systemic Lupus Erythematosus and Sjogren’s Syndrome Overlap
Abstract
1. Introduction
2. Materials and Methods
2.1. Patients and Controls
2.2. Data Collection
2.3. Statistical Analysis
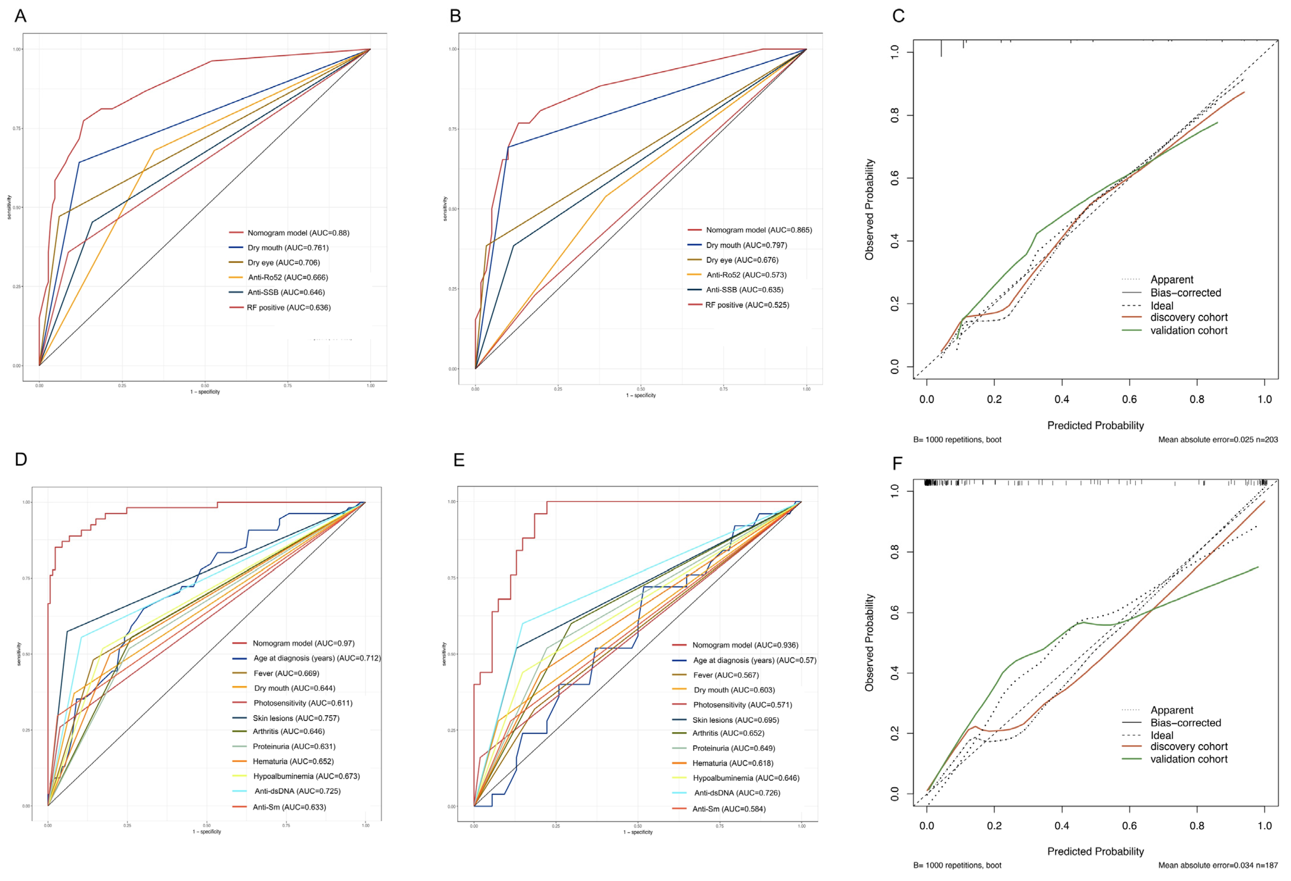
3. Results
3.1. Patient Characteristics
3.2. Development of the Prediction Tool for SLE or SLE-SS
3.3. Model Performance Assessment
4. Discussion
5. Conclusions
Supplementary Materials
Author Contributions
Funding
Institutional Review Board Statement
Informed Consent Statement
Data Availability Statement
Conflicts of Interest
References
- Kiriakidou, M.; Ching, C.L. Systemic Lupus Erythematosus. Ann. Intern. Med. 2020, 172, 81–96. [Google Scholar] [CrossRef] [PubMed]
- Ramaswamy, M.; Tummala, R.; Streicher, K.; da Costa, A.N.; Brohawn, P.Z. The Pathogenesis, Molecular Mechanisms, and Therapeutic Potential of the Interferon Pathway in Systemic Lupus Erythematosus and Other Autoimmune Diseases. Int. J. Mol. Sci. 2021, 22, 11286. [Google Scholar] [CrossRef] [PubMed]
- Stefanski, A.-L.; Tomiak, C.; Pleyer, U.; Dietrich, T.; Burmester, G.R.; Dörner, T. The Diagnosis and Treatment of Sjögren’s Syndrome. Dtsch. Arztebl. Int. 2017, 114, 354–361. [Google Scholar] [CrossRef] [PubMed]
- Fox, R.I. Sjögren’s syndrome. Lancet 2005, 366, 321–331. [Google Scholar] [CrossRef]
- Psianou, K.; Panagoulias, I.; Papanastasiou, A.D.; de Lastic, A.-L.; Rodi, M.; Spantidea, P.I.; Degn, S.E.; Georgiou, P.; Mouzaki, A. Clinical and immunological parameters of Sjögren’s syndrome. Autoimmun. Rev. 2018, 17, 1053–1064. [Google Scholar] [CrossRef]
- Heaton, J.M. Sjögren’s syndrome and systemic lupus erythematosus. Br. Med. J. 1959, 1, 466–469. [Google Scholar] [CrossRef]
- Gilboe, I.-M.; Kvien, T.K.; Uhlig, T.; Husby, G. Sicca symptoms and secondary Sjögren’s syndrome in systemic lupus erythematosus: Comparison with rheumatoid arthritis and correlation with disease variables. Ann. Rheum. Dis. 2001, 60, 1103–1109. [Google Scholar] [CrossRef]
- Lei, Y.; Weihong, Y.; Gangbo, L.; Jinqi, Z. Salivary gland TcmO_4 in patients with systemic lupus erythematosus combined with Sjögren’s syndrome imaging study. J. Kunming Med. Coll. 2007, 28, 59–61. [Google Scholar]
- Hernández-Molina, G.; Zamora-Legoff, T.; Romero-Díaz, J.; Nuñez-Alvarez, C.A.; Cárdenas-Velázquez, F.; Hernández-Hernández, C.; Calderillo, M.L.; Marroquín, M.; Recillas-Gispert, C.; Ávila-Casado, C.; et al. Predicting Sjögren’s syndrome in patients with recent-onset SLE. Rheumatology 2013, 52, 1438–1442. [Google Scholar] [CrossRef]
- Santos, C.S.; Morales, C.M.; Castro, C.; Alvarez, E.D. Polyautoimmunity in systemic lupus erythematosus: Secondary Sjogren syndrome. Z. Rheumatol. 2021. [Google Scholar] [CrossRef]
- Manoussakis, M.N.; Georgopoulou, C.; Zintzaras, E.; Spyropoulou, M.; Stavropoulou, A.; Skopouli, F.N.; Moutsopoulos, H.M. Sjögren’s syndrome associated with systemic lupus erythematosus: Clinical and laboratory profiles and comparison with primary Sjögren’s syndrome. Arthritis Rheum. 2004, 50, 882–891. [Google Scholar] [CrossRef] [PubMed]
- Hochberg, M.C. Updating the American College of Rheumatology revised criteria for the classification of systemic lupus erythematosus. Arthritis Rheum. 1997, 40, 1725. [Google Scholar] [CrossRef]
- Vitali, C.; Bombardieri, S.; Jonsson, R.; Moutsopoulos, H.M.; Alexander, E.L.; Carsons, S.E.; Daniels, T.E.; Fox, P.C.; Fox, R.I.; Kassan, S.S.; et al. Classification criteria for Sjögren’s syndrome: A revised version of the European criteria proposed by the American-European Consensus Group. Ann. Rheum. Dis. 2002, 61, 554–558. [Google Scholar] [CrossRef]
- Van Smeden, M.; Moons, K.G.; De Groot, J.A.; Collins, G.S.; Altman, D.G.; Eijkemans, M.J.; Reitsma, J.B. Sample size for binary logistic prediction models: Beyond events per variable criteria. Stat. Methods Med. Res. 2019, 28, 2455–2474. [Google Scholar] [CrossRef] [PubMed]
- Hillberg, N.S.; Hogenboom, J.; Hommes, J.; Van Kuijk, S.; Keuter, X.; van der Hulst, R. Risk of major postoperative com-plications in breast reconstructive surgery with and without an acellular dermal matrix: A development of a prognostic pre-diction model. JPRAS Open 2022, 33, 92–105. [Google Scholar] [CrossRef] [PubMed]
- Feng, D.; Cortese, G.; Baumgartner, R. A comparison of confidence/credible interval methods for the area under the ROC curve for continuous diagnostic tests with small sample size. Stat. Methods Med. Res. 2017, 26, 2603–2621. [Google Scholar] [CrossRef]
- Ruacho, G.; Kvarnström, M.; Zickert, A.; Oke, V.; Rönnelid, J.; Eketjäll, S.; Elvin, K.; Gunnarsson, I.; Svenungsson, E. Sjögren Syndrome in Systemic Lupus Erythematosus: A Subset Characterized by a Systemic Inflammatory State. J. Rheumatol. 2020, 47, 865–875. [Google Scholar] [CrossRef]
- Yao, Q.; Altman, R.D.; Wang, X. Systemic lupus erythematosus with Sjögren syndrome compared to systemic lupus erythematosus alone: A meta-analysis. J. Clin. Rheumatol. 2012, 18, 28–32. [Google Scholar] [CrossRef]
- Baer, A.N.; Maynard, J.W.; Shaikh, F.; Magder, L.S.; Petri, M. Secondary Sjogren’s syndrome in systemic lupus erythematosus defines a distinct disease subset. J. Rheumatol. 2010, 37, 1143–1149. [Google Scholar] [CrossRef]
- Szanto, A.; Szodoray, P.; Kiss, E.; Kapitany, A.; Szegedi, G.; Zeher, M. Clinical, serologic, and genetic profiles of patients with associated Sjögren’s syndrome and systemic lupus erythematosus. Hum. Immunol. 2006, 67, 924–930. [Google Scholar] [CrossRef]
- Yang, Y.; Li, Z.; Wang, L.; Zhang, F. The clinical and laboratory characteristics of Sjögren’s syndrome that progresses to systemic lupus erythematosus: A retrospective case-control study. Int. J. Rheum. Dis. 2013, 16, 173–177. [Google Scholar] [CrossRef] [PubMed]





| Intercept and Variable | Prediction Model | |||
|---|---|---|---|---|
| β | Odds Ratio (95% CI) | p-Value | ||
| SLE develop SLE-SS | Dry mouth | 1.83 | 6.24(2.00–19.80) | 0.00 |
| Dry eye | 1.23 | 3.42(0.95–12.89) | 0.06 | |
| Anti-Ro52 positive | 0.96 | 2.60(1.13–6.18) | 0.03 | |
| Anti-SSB positive | 1.02 | 2.77(1.12–6.91) | 0.03 | |
| RF positive | 1.84 | 6.29(2.37–17.32) | 0.00 | |
| Age at diagnosis (years) | −0.02 | 0.98(0.94–1.02) | 0.28 | |
| SS develop SLE-SS | Fever | 2.24 | 9.40(2.17–48.81) | 0.00 |
| Dry mouth | −3.02 | 0.049(0.01–0.31) | 0.00 | |
| Photosensitivity | 3.22 | 24.94(2.72–363.01) | 0.01 | |
| Skin lesions | 3.64 | 38.04(6.25–341.38) | 0.00 | |
| Arthritis | 0.75 | 2.12(0.53–8.82) | 0.29 | |
| Proteinuria | 1.07 | 2.91(0.68–13.06) | 0.15 | |
| Hematuria | 2.54 | 12.0(2.62–78.66) | 0.00 | |
| Hypoalbuminemia | 2.89 | 17.95(4.07–106.35) | 0.00 | |
| Anti-dsDNA positive | 2.46 | 11.75(2.82–61.23) | 0.00 | |
| Anti-Sm positive | 0.02 | 0.98(0.12–8.81) | 0.99 | |
Disclaimer/Publisher’s Note: The statements, opinions and data contained in all publications are solely those of the individual author(s) and contributor(s) and not of MDPI and/or the editor(s). MDPI and/or the editor(s) disclaim responsibility for any injury to people or property resulting from any ideas, methods, instructions or products referred to in the content. |
© 2023 by the authors. Licensee MDPI, Basel, Switzerland. This article is an open access article distributed under the terms and conditions of the Creative Commons Attribution (CC BY) license (https://creativecommons.org/licenses/by/4.0/).
Share and Cite
Han, Y.; Jin, Z.; Ma, L.; Wang, D.; Zhu, Y.; Chen, S.; Hua, B.; Wang, H.; Feng, X. Development of Clinical Decision Models for the Prediction of Systemic Lupus Erythematosus and Sjogren’s Syndrome Overlap. J. Clin. Med. 2023, 12, 535. https://doi.org/10.3390/jcm12020535
Han Y, Jin Z, Ma L, Wang D, Zhu Y, Chen S, Hua B, Wang H, Feng X. Development of Clinical Decision Models for the Prediction of Systemic Lupus Erythematosus and Sjogren’s Syndrome Overlap. Journal of Clinical Medicine. 2023; 12(2):535. https://doi.org/10.3390/jcm12020535
Chicago/Turabian StyleHan, Yan, Ziyi Jin, Ling Ma, Dandan Wang, Yun Zhu, Shanshan Chen, Bingzhu Hua, Hong Wang, and Xuebing Feng. 2023. "Development of Clinical Decision Models for the Prediction of Systemic Lupus Erythematosus and Sjogren’s Syndrome Overlap" Journal of Clinical Medicine 12, no. 2: 535. https://doi.org/10.3390/jcm12020535
APA StyleHan, Y., Jin, Z., Ma, L., Wang, D., Zhu, Y., Chen, S., Hua, B., Wang, H., & Feng, X. (2023). Development of Clinical Decision Models for the Prediction of Systemic Lupus Erythematosus and Sjogren’s Syndrome Overlap. Journal of Clinical Medicine, 12(2), 535. https://doi.org/10.3390/jcm12020535

