Does Surgical Resection Significantly Prolong the Long-Term Survival of Patients with Oligometastatic Pancreatic Ductal Adenocarcinoma? A Cross-Sectional Study Based on 18 Registries
Abstract
1. Background
2. Methods
2.1. Patients and Study Design
2.2. Covariates and Outcomes
2.3. Statistical Analysis
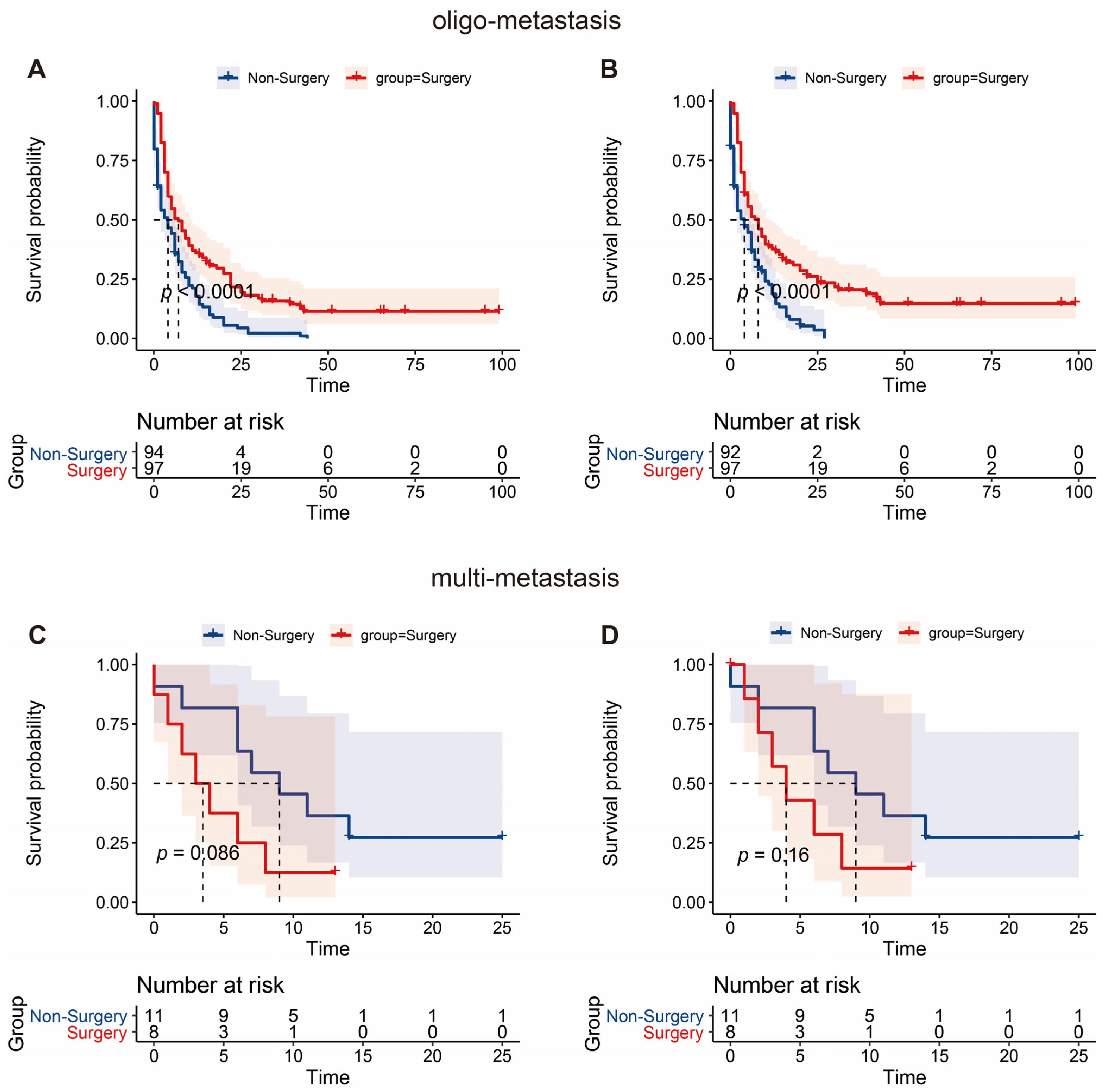
3. Results
3.1. Epidemiological Trend of mPDAC Patient Number
3.2. Baseline Characteristics
3.3. Long-Term Survival Analysis
3.4. Development of a Nomogram Predicting Surgery
4. Discussions
5. Conclusions
Supplementary Materials
Author Contributions
Funding
Institutional Review Board Statement
Informed Consent Statement
Data Availability Statement
Conflicts of Interest
References
- Cheema, A.R.; O’Reilly, E.M. Management of Metastatic Pancreatic Adenocarcinoma. Surg. Clin. N. Am. 2016, 96, 1391–1414. [Google Scholar] [CrossRef]
- Siegel, R.L.; Miller, K.D.; Fuchs, H.E.; Jemal, A. Cancer statistics. CA Cancer J. Clin. 2022, 72, 7–33. [Google Scholar] [CrossRef]
- Li, D.; Xie, K.; Wolff, R.; Abbruzzese, J.L. Pancreatic cancer. Lancet 2004, 363, 1049–1057. [Google Scholar] [CrossRef]
- Brachi, G.; Bussolino, F.; Ciardelli, G.; Mattu, C. Nanomedicine for Imaging and Therapy of Pancreatic Adenocarcinoma. Front. Bioeng. Biotechnol. 2019, 7, 307. [Google Scholar] [CrossRef]
- Tempero, M.A.; Malafa, M.P.; Al-Hawary, M.; Asbun, H.; Bain, A.; Behrman, S.W.; Benson, A.B., III; Binder, E.; Cardin, D.B.; Cha, C.; et al. Pancreatic Adenocarcinoma, Version 2.2017, NCCN Clinical Practice Guidelines in Oncology. J. Natl. Compr. Cancer Netw. 2017, 15, 1028–1061. [Google Scholar] [CrossRef]
- Ducreux, M.; Cuhna, A.S.; Caramella, C.; Hollebecque, A.; Burtin, P.; Goéré, D.; Seufferlein, T.; Haustermans, K.; Van Laethem, J.L.; Conroy, T.; et al. Cancer of the pancreas: ESMO Clinical Practice Guidelines for diagnosis, treatment and follow-up. Ann. Oncol. 2015, 26 (Suppl. S5), v56–v68. [Google Scholar] [CrossRef]
- Tol, J.A.; Gouma, D.J.; Bassi, C.; Dervenis, C.; Montorsi, M.; Adham, M.; Andrén-Sandberg, A.; Asbun, H.J.; Bockhorn, M.; Büchler, M.W.; et al. Definition of a standard lymphadenectomy in surgery for pancreatic ductal adenocarcinoma: A consensus statement by the International Study Group on Pancreatic Surgery (ISGPS). Surgery 2014, 156, 591–600. [Google Scholar] [CrossRef]
- Vohra, N.A.; Brinkley, J.; Kachare, S.; Muzaffar, M. Primary tumor resection in metastatic breast cancer: A propensity-matched analysis, 1988–2011 SEER data base. Breast J. 2018, 24, 549–554. [Google Scholar] [CrossRef]
- Warschkow, R.; Güller, U.; Tarantino, I.; Cerny, T.; Schmied, B.M.; Thuerlimann, B.; Joerger, M. Improved Survival After Primary Tumor Surgery in Metastatic Breast Cancer: A Propensity-adjusted, Population-based SEER Trend Analysis. Ann. Surg. 2016, 263, 1188–1198. [Google Scholar] [CrossRef]
- Coffey, M.R.; Bachman, K.C.; Worrell, S.G.; Argote-Greene, L.M.; Linden, P.A.; Towe, C.W. Palliative Surgery Outcomes for Patients with Esophageal Cancer: An National Cancer Database Analysis. J. Surg. Res. 2021, 267, 229–234. [Google Scholar] [CrossRef]
- Rosen, S.A.; Buell, J.F.; Yoshida, A.; Kazsuba, S.; Hurst, R.; Michelassi, F.; Millis, J.M.; Posner, M.C. Initial presentation with stage IV colorectal cancer: How aggressive should we be? Arch. Surg. 2000, 135, 530–534. [Google Scholar] [CrossRef]
- Gu, J.; Xu, Z.; Ma, Y.; Chen, H.; Wang, D.; Deng, X.; Cheng, D.; Xie, J.; Jin, J.; Zhan, X.; et al. Surgical resection of metastatic pancreatic cancer: Is it worth it?—A 15-year experience at a single Chinese center. J. Gastrointest. Oncol. 2020, 11, 319–328. [Google Scholar] [CrossRef]
- Hamad, A.; Underhill, J.; Ansari, A.; Thayaparan, V.; Cloyd, J.M.; Li, Y.; Pawlik, T.M.; Tsung, A.; Abushahin, L.; Ejaz, A. Surgical treatment of hepatic oligometastatic pancreatic ductal adenocarcinoma: An analysis of the National Cancer Database. Surgery 2022, 171, 1464–1470. [Google Scholar] [CrossRef]
- Su, B.-B.; Bai, D.-S.; Yu, J.-Q.; Zhang, C.; Jin, S.-J.; Zhou, B.-H.; Jiang, G.-Q. Can Patients with Pancreatic Cancer and Liver Metastases Obtain Survival Benefit from Surgery? A Population-Based Study. J. Cancer 2021, 12, 539–552. [Google Scholar] [CrossRef]
- Tao, L.; Xiu, D.; Sadula, A.; Ye, C.; Chen, Q.; Wang, H.; Zhang, Z.; Zhang, L.; Tao, M.; Yuan, C. Surgical resection of primary tumor improves survival of pancreatic neuroendocrine tumor with liver metastases. Oncotarget 2017, 8, 79785–79792. [Google Scholar] [CrossRef]
- Gleisner, A.L.; Assumpcao, L.; Cameron, J.L.; Wolfgang, C.L.; Choti, M.A.; Herman, J.M.; Schulick, R.D.; Pawlik, T.M. Is resection of periampullary or pancreatic adenocarcinoma with synchronous hepatic metastasis justified? Cancer 2007, 110, 2484–2492. [Google Scholar] [CrossRef]
- Ettrich, T.J.; Seufferlein, T. Systemic Therapy for Metastatic Pancreatic Cancer. Curr. Treat. Options Oncol. 2021, 22, 106. [Google Scholar] [CrossRef]
- Philip, P.A.; Benedetti, J.; Corless, C.L.; Wong, R.; O’Reilly, E.M.; Flynn, P.J.; Rowland, K.M.; Atkins, J.N.; Mirtsching, B.C.; Rivkin, S.E.; et al. Phase III Study Comparing Gemcitabine Plus Cetuximab versus Gemcitabine in Patients with Advanced Pancreatic Adenocarcinoma: Southwest Oncology Group–Directed Intergroup Trial S0205. J. Clin. Oncol. 2010, 28, 3605–3610. [Google Scholar] [CrossRef]
- Kindler, H.L.; Niedzwiecki, D.; Hollis, D.; Sutherland, S.; Schrag, D.; Hurwitz, H.; Innocenti, F.; Mulcahy, M.F.; O’Reilly, E.; Wozniak, T.F.; et al. Gemcitabine Plus Bevacizumab Compared with Gemcitabine Plus Placebo in Patients with Advanced Pancreatic Cancer: Phase III Trial of the Cancer and Leukemia Group B (CALGB 80303). J. Clin. Oncol. 2010, 28, 3617–3622. [Google Scholar] [CrossRef]
- Kindler, H.L.; Ioka, T.; Richel, D.J.; Bennouna, J.; Létourneau, R.; Okusaka, T.; Funakoshi, A.; Furuse, J.; Park, Y.S.; Ohkawa, S.; et al. Axitinib plus gemcitabine versus placebo plus gemcitabine in patients with advanced pancreatic adenocarcinoma: A double-blind randomised phase 3 study. Lancet Oncol. 2011, 12, 256–262. [Google Scholar] [CrossRef]
- Feng, F.; Cai, W.; Wang, G.; Chen, W.; Yang, H.; Sun, M.; Zhou, L. Metastatic pancreatic adenocarcinomas could be classified into M1a and M1b category by the number of metastatic organs. BMC Gastroenterol. 2020, 20, 289. [Google Scholar] [CrossRef] [PubMed]
- Kim, Y.; Kim, S.C.; Song, K.B.; Kim, J.; Kang, D.R.; Lee, J.H.; Park, K.-M.; Lee, Y.-J. Improved survival after palliative resection of unsuspected stage IV pancreatic ductal adenocarcinoma. HPB 2016, 18, 325–331. [Google Scholar] [CrossRef]
- Yang, J.; Zhang, J.; Lui, W.; Huo, Y.; Fu, X.; Yang, M.; Hua, R.; Wang, L.; Sun, Y. Patients with hepatic oligometastatic pancreatic body/tail ductal adenocarcinoma may benefit from synchronous resection. HPB 2020, 22, 91–101. [Google Scholar] [CrossRef] [PubMed]
- Gillen, S.; Schuster, T.; Büschenfelde, C.M.Z.; Friess, H.; Kleeff, J. Preoperative/Neoadjuvant Therapy in Pancreatic Cancer: A Systematic Review and Meta-analysis of Response and Resection Percentages. PLoS Med. 2010, 7, e1000267. [Google Scholar] [CrossRef]
- Christodoulidis, G.; Magouliotis, E.; Samara, A.A.; Floros, T.; Zotos, P.A.; Tolia, M.; Zacharoulis, D. The surgical challenge of oligometastatic pancreatic cancer: A systemic review of the literature. J. Balk. Union Oncol. 2021, 26, 1742–1746. [Google Scholar]
- Shao, Y.; Feng, J.; Hu, Z.; Wu, J.; Zhang, M.; Shen, Y.; Zheng, S. Feasibility of pancreaticoduodenectomy with synchronous liver metastasectomy for oligometastatic pancreatic ductal adenocarcinoma—A case-control study. Ann. Med. Surg. 2020, 62, 490–494. [Google Scholar] [CrossRef]
- Seelig, S.K.; Burkert, B.; Chromik, A.M.; Tannapfel, A.; Uhl, W.; Seelig, M.H. Pancreatic Resections for Advanced M1-Pancreatic Carcinoma: The Value of Synchronous Metastasectomy. HPB Surg. 2010, 2010, 579672. [Google Scholar] [CrossRef]






| Characteristics | Raw Data of mPDAC Patients | Data after Propensity Score Matching | ||||
|---|---|---|---|---|---|---|
| Non-Surgery (n = 3094) | Surgery (n = 205) | p-Value | Non-surgery (n = 105) | Surgery (n = 105) | p-Value | |
| Sex, n (%) | ||||||
| Female | 1383 (44.7%) | 96 (46.8%) | 0.838 | 52 (49.5%) | 48 (45.7%) | 0.858 |
| Male | 1711 (55.3%) | 109 (53.2%) | 53 (50.5%) | 57 (54.3%) | ||
| Age, n (%) | ||||||
| <65 | 1216 (39.3%) | 80 (39.0%) | 0.065 | 44 (41.9%) | 41 (39.0%) | 0.974 |
| ≥85 | 190 (6.1%) | 1 (0.5%) | 32 (30.5%) | 35 (33.3%) | ||
| 65–74 | 992 (32.1%) | 74 (36.1%) | 29 (27.6%) | 28 (26.7%) | ||
| 75–84 | 696 (22.5%) | 50 (24.4%) | 0 (0%) | 1 (1.0%) | ||
| Race, n (%) | ||||||
| Black | 401 (13.0%) | 17 (8.3%) | 0.436 | 9 (8.6%) | 12 (11.4%) | 0.789 |
| Other (American Indian/AK Native, Asian/Pacific Islander) | 260 (8.4%) | 18 (8.8%) | 6 (5.7%) | 10 (9.5%) | ||
| White | 2433 (78.6%) | 170 (82.9%) | 90 (85.7%) | 83 (79.0%) | ||
| Location, n (%) | ||||||
| OthPancreas | 663 (21.4%) | 25 (12.2%) | <0.001 | 18 (17.1%) | 18 (17.1%) | 1 |
| PancreasBodyTail | 1228 (39.7%) | 65 (31.7%) | 25 (23.8%) | 25 (23.8%) | ||
| PancreasHead | 1203 (38.9%) | 115 (56.1%) | 62 (59.0%) | 62 (59.0%) | ||
| Grade, n (%) | ||||||
| Moderately differentiated; Grade II | 1243 (40.2%) | 71 (34.6%) | 0.634 | 43 (41.0%) | 38 (36.2%) | 0.997 |
| Poorly differentiated; Grade III | 1617 (52.3%) | 122 (59.5%) | 54 (51.4%) | 59 (56.2%) | ||
| Undifferentiated; anaplastic; Grade IV | 52 (1.7%) | 2 (1.0%) | 2 (1.9%) | 2 (1.9%) | ||
| Well differentiated; Grade I | 182 (5.9%) | 10 (4.9%) | 6 (5.7%) | 6 (5.7%) | ||
| AJCC 8th pT, n (%) | ||||||
| T1 | 50 (1.6%) | 4 (2.0%) | 0.802 | 1 (1.0%) | 1 (1.0%) | 0.975 |
| T2 | 299 (9.7%) | 27 (13.2%) | 13 (12.4%) | 12 (11.4%) | ||
| T3 | 315 (10.2%) | 22 (10.7%) | 5 (4.8%) | 9 (8.6%) | ||
| T4 | 2430 (78.5%) | 152 (74.1%) | 86 (81.9%) | 83 (79.0%) | ||
| Radiotherapy, n (%) | ||||||
| None/unknown | 2936 (94.9%) | 189 (92.2%) | 0.246 | 102 (97.1%) | 98 (93.3%) | 0.432 |
| Yes | 158 (5.1%) | 16 (7.8%) | 3 (2.9%) | 7 (6.7%) | ||
| Chemotherapy, n (%) | ||||||
| No/unknown | 1306 (42.2%) | 60 (29.3%) | 0.001 | 59 (56.2%) | 58 (55.2%) | 0.99 |
| Yes | 1788 (57.8%) | 145 (70.7%) | 46 (43.8%) | 47 (44.8%) | ||
| Systemic therapy, n (%) | ||||||
| No systemic therapy | 3023 (97.7%) | 60 (29.3%) | <0.001 | 59 (56.2%) | 58 (55.2%) | 0.999 |
| Systemic therapy after surgery | 54 (1.7%) | 119 (58.0%) | 37 (35.2%) | 36 (34.3%) | ||
| Systemic therapy before surgery | 12 (0.4%) | 14 (6.8%) | 6 (5.7%) | 8 (7.6%) | ||
| Systemic therapy both before and after surgery | 5 (0.2%) | 12 (5.9%) | 3 (2.9%) | 3 (2.9%) | ||
| Bone metastasis, n (%) | ||||||
| NA | 77 (2.5%) | 5 (2.4%) | 0.997 | 2 (1.9%) | 3 (2.9%) | 0.987 |
| No | 2847 (92.0%) | 190 (92.7%) | 99 (94.3%) | 99 (94.3%) | ||
| Yes | 170 (5.5%) | 10 (4.9%) | 4 (3.8%) | 3 (2.9%) | ||
| Brain metastasis, n (%) | ||||||
| NA | 74 (2.4%) | 5 (2.4%) | 0.856 | 2 (1.9%) | 3 (2.9%) | 0.903 |
| No | 3000 (97.0%) | 200 (97.6%) | 103 (98.1%) | 102 (97.1%) | ||
| Yes | 20 (0.6%) | 0 (0%) | ||||
| Liver metastasis, n (%) | ||||||
| NA | 14 (0.5%) | 0 (0%) | 0.002 | 16 (15.2%) | 18 (17.1%) | 0.932 |
| No | 387 (12.5%) | 46 (22.4%) | 89 (84.8%) | 87 (82.9%) | ||
| Yes | 2693 (87.0%) | 159 (77.6%) | ||||
| Lung metastasis, n (%) | ||||||
| NA | 86 (2.8%) | 3 (1.5%) | 0.036 | 2 (1.9%) | 2 (1.9%) | 1 |
| No | 2319 (75.0%) | 174 (84.9%) | 90 (85.7%) | 91 (86.7%) | ||
| Yes | 689 (22.3%) | 28 (13.7%) | 13 (12.4%) | 12 (11.4%) | ||
| Distant lymph node metastasis, n (%) | ||||||
| NA | 2224 (71.9%) | 142 (69.3%) | 0.731 | 84 (80.0%) | 78 (74.3%) | 0.509 |
| No | 761 (24.6%) | 52 (25.4%) | 15 (14.3%) | 24 (22.9%) | ||
| Yes | 109 (3.5%) | 11 (5.4%) | 6 (5.7%) | 3 (2.9%) | ||
| Other metastasis, n (%) | ||||||
| NA | 2227 (72.0%) | 142 (69.3%) | 0.236 | 84 (80.0%) | 78 (74.3%) | 0.83 |
| No | 678 (21.9%) | 42 (20.5%) | 16 (15.2%) | 18 (17.1%) | ||
| Yes | 189 (6.1%) | 21 (10.2%) | 5 (4.8%) | 9 (8.6%) | ||
| Metastasis, n (%) | ||||||
| Multi-metastasis | 644 (20.8%) | 22 (10.7%) | 0.002 | 11 (10.5%) | 8 (7.6%) | 0.771 |
| Oligo-metastasis | 2450 (79.2%) | 183 (89.3%) | 94 (89.5%) | 97 (92.4%) | ||
| Number of regional nodes examined | ||||||
| Mean (SD) | NA | 14.7 (12.4) | NA | 14.3 (12.0) | ||
| Median [min, max] | NA | 13.0 [0, 84.0] | NA | 13.0 [0, 68.0] | ||
| Number of regional nodes positive | ||||||
| Mean (SD) | NA | 3.21 (4.26) | NA | 3.10 (3.71) | ||
| Median [min, max] | NA | 2.00 [0, 20.0] | NA | 2.00 [0, 14.0] | ||
| Size | ||||||
| Mean (SD) | 46.2 (32.3) | 44.0 (25.1) | 0.49 | 43.0 (20.7) | 45.2 (25.5) | 0.774 |
| Median [min, max] | 42.0 [0, 900] | 39.0 [0, 188] | 40.0 [0, 103] | 40.0 [0, 185] | ||
| Survival months | ||||||
| Mean (SD) | 6.23 (8.11) | 14.4 (16.7) | <0.001 | 6.87 (8.33) | 14.3 (18.9) | <0.001 |
| Median [min, max] | 3.00 [0, 82.0] | 9.00 [0, 99.0] | 4.00 [0, 44.0] | 6.00 [0, 99.0] | ||
| Analysis | Overall Survival | Cancer-Specific Survival | ||||
|---|---|---|---|---|---|---|
| Non-Surgery | Surgery | p-Value | Non-Surgery | Surgery | p-Value | |
| Months (95%CI) | Months (95%CI) | Months (95%CI) | Months (95%CI) | |||
| Restricted mean survival time | 6.453 (5.198–7.709) | 9.489 (8.062–10.916) | <0.01 | 6.54 (5.254–7.826) | 9.76 (8.311–11.209) | <0.01 |
| Restricted mean time lost | 13.547 (12.291–14.802) | 10.511 (9.084–11.938) | <0.01 | 13.46 (12.174–14.746) | 10.24 (12.174–14.746) | <0.01 |
| Characteristics | Univariate Analysis | Multivariate Analysis | ||
|---|---|---|---|---|
| HR (95%CI) | p-Value | HR (95%CI) | p-Value | |
| Sex (male vs. female) | 0.76 (0.57–1.01) | 0.057 | 0.79 (0.58–1.07) | 0.126 |
| Age (reference <65) | ||||
| ≥85 | 0.67 (0.09–4.86) | 0.695 | 1.22 (0.16–9.15) | 0.849 |
| 65–74 | 1.18 (0.84–1.67) | 0.334 | 1.17 (0.82–1.66) | 0.376 |
| 75–84 | 2.6 (1.82–3.71) | <0.001 | 2.07 (1.41–3.05) | <0.001 |
| Race (reference Black) | ||||
| Other | 0.78 (0.39–1.57) | 0.492 | ||
| White | 1.06 (0.66–1.7) | 0.823 | ||
| Location (reference OthPancreas) | ||||
| PancreasBodyTail | 1.32 (0.83–2.09) | 0.243 | ||
| PancreasHead | 1.35 (0.9–2.03) | 0.142 | ||
| Grade (reference Grade II) | ||||
| Grade III | 1.54 (1.14–2.09) | 0.005 | 1.3 4(0.97–1.85) | 0.08 |
| Grade IV | 2.43 (0.88–6.7) | 0.086 | 1.69 (0.6–4.8) | 0.324 |
| Grade I | 0.94 (0.47–1.89) | 0.867 | 0.52 (0.26–1.08) | 0.079 |
| pT (reference T1) | ||||
| T2 | 0.57 (0.13–2.44) | 0.45 | ||
| T3 | 0.72 (0.16–3.22) | 0.668 | ||
| T4 | 0.77 (0.19–3.1) | 0.708 | ||
| Surgery (yes vs. No) | 0.58 (0.43–0.77) | <0.001 | 0.48 (0.36–0.65) | <0.001 |
| Radiotherapy (yes vs. No) | 0.6 (0.31–1.18) | 0.137 | ||
| Chemotherapy (yes vs. No) | 0.35 (0.26–0.47) | <0.001 | 0.37 (0.26–0.52) | <0.001 |
| Systemic therapy (yes vs. No) | 0.38 (0.22–0.65) | <0.001 | 0.71 (0.4–1.28) | 0.259 |
| Bone metastasis (reference NA) | ||||
| No | 0.54 (0.22–1.31) | 0.172 | ||
| Yes | 0.56 (0.17–1.85) | 0.343 | ||
| Brain metastasis (reference NA) | ||||
| No | 0.49 (0.2–1.19) | 0.114 | ||
| Liver metastasis (reference NA) | ||||
| No | 0.98 (0.67–1.44) | 0.921 | ||
| Lung metastasis (reference NA) | ||||
| No | 0.67 (0.25–1.82) | 0.431 | ||
| Yes | 1.05 (0.37–3.03) | 0.923 | ||
| Distant lymph node metastasis (reference NA) | ||||
| No | 0.78 (0.53–1.14) | 0.195 | ||
| Yes | 0.63 (0.3–1.35) | 0.237 | ||
| Other metastasis (reference NA) | ||||
| No | 0.79 (0.53–1.19) | 0.266 | ||
| Yes | 0.64 (0.35–1.19) | 0.16 | ||
| Metastasis (oligo- vs. multi-) | 1.07 (0.63–1.81) | 0.809 | ||
| Characteristics | Univariate Analysis | Multivariate Analysis | ||
|---|---|---|---|---|
| HR (95%CI) | p-Value | HR (95%CI) | p-Value | |
| Sex (male vs. female) | 0.77 (0.57–1.04) | 0.093 | 0.8(0.58–1.1) | 0.173 |
| Age (reference <65) | ||||
| ≥85 | 0 (0–Inf) | 0.995 | 0 (0–Inf) | 0.993 |
| 65–74 | 1.2 (0.84–1.72) | 0.32 | 1.18 (0.81–1.72) | 0.399 |
| 75–84 | 2.55 (1.77–3.69) | <0.001 | 1.99 (1.33–3) | <0.001 |
| Race (reference Black) | ||||
| Other | 0.8 (0.39–1.65) | 0.548 | ||
| White | 1.12 (0.68–1.86) | 0.649 | ||
| Location (reference OthPancreas) | ||||
| PancreasBodyTail | 1.4 (0.86–2.28) | 0.177 | 1.66 (0.98–2.81) | 0.058 |
| PancreasHead | 1.5 (0.97–2.31) | 0.067 | 1.47 (0.93–2.34) | 0.1 |
| Grade (reference Grade II) | ||||
| Grade III | 1.74 (1.27–2.41) | 0.001 | 1.54 (1.1–2.17) | 0.013 |
| Grade IV | 1.99 (0.62–6.37) | 0.247 | 1.37 (0.42–4.52) | 0.605 |
| Grade I | 1.07 (0.53–2.15) | 0.853 | 0.74 (0.35–1.57) | 0.434 |
| pT (reference T1) | ||||
| T2 | 0.48 (0.11–2.1) | 0.332 | ||
| T3 | 0.66 (0.15–2.96) | 0.583 | ||
| T4 | 0.75 (0.19–3.05) | 0.691 | ||
| Surgery (yes vs. No) | 0.54 (0.4–0.73) | <0.001 | 0.45 (0.33–0.63) | <0.001 |
| Radiotherapy (yes vs. No) | 0.64 (0.33–1.25) | 0.193 | ||
| Chemotherapy (yes vs. No) | 0.33 (0.24–0.45) | <0.001 | 0.38 (0.27–0.55) | <0.001 |
| Systemic therapy (yes vs. No) | 0.35 (0.2–0.63) | <0.001 | 0.67 (0.35–1.25) | 0.206 |
| Bone metastasis (reference NA) | ||||
| No | 0.52 (0.21–1.27) | 0.15 | ||
| Yes | 0.47 (0.14–1.63) | 0.233 | ||
| Brain metastasis (reference NA) | ||||
| No | 0.47 (0.19–1.14) | 0.095 | 0.5 (0.19–1.34) | 0.169 |
| Liver metastasis (reference NA) | ||||
| No | 1.01 (0.68–1.51) | 0.945 | ||
| Lung metastasis (reference NA) | ||||
| No | 0.64 (0.24–1.75) | 0.388 | ||
| Yes | 1 (0.35–2.9) | 0.994 | ||
| Distant lymph node metastasis (reference NA) | ||||
| No | 0.69 (0.46–1.04) | 0.075 | 0.81 (0.53–1.25) | 0.352 |
| Yes | 0.65 (0.3–1.38) | 0.26 | 0.44 (0.2–0.97) | 0.041 |
| Other metastasis (reference NA) | ||||
| No | 0.72 (0.47–1.11) | 0.135 | ||
| Yes | 0.6 (0.31–1.13) | 0.115 | ||
| Metastasis (oligo- vs. multi-) | 1.1 (0.64–1.91) | 0.723 | ||
Disclaimer/Publisher’s Note: The statements, opinions and data contained in all publications are solely those of the individual author(s) and contributor(s) and not of MDPI and/or the editor(s). MDPI and/or the editor(s) disclaim responsibility for any injury to people or property resulting from any ideas, methods, instructions or products referred to in the content. |
© 2023 by the authors. Licensee MDPI, Basel, Switzerland. This article is an open access article distributed under the terms and conditions of the Creative Commons Attribution (CC BY) license (https://creativecommons.org/licenses/by/4.0/).
Share and Cite
Li, Z.; Zhang, X.; Sun, C.; Li, Z.; Fei, H.; Zhao, D. Does Surgical Resection Significantly Prolong the Long-Term Survival of Patients with Oligometastatic Pancreatic Ductal Adenocarcinoma? A Cross-Sectional Study Based on 18 Registries. J. Clin. Med. 2023, 12, 513. https://doi.org/10.3390/jcm12020513
Li Z, Zhang X, Sun C, Li Z, Fei H, Zhao D. Does Surgical Resection Significantly Prolong the Long-Term Survival of Patients with Oligometastatic Pancreatic Ductal Adenocarcinoma? A Cross-Sectional Study Based on 18 Registries. Journal of Clinical Medicine. 2023; 12(2):513. https://doi.org/10.3390/jcm12020513
Chicago/Turabian StyleLi, Zheng, Xiaojie Zhang, Chongyuan Sun, Zefeng Li, He Fei, and Dongbing Zhao. 2023. "Does Surgical Resection Significantly Prolong the Long-Term Survival of Patients with Oligometastatic Pancreatic Ductal Adenocarcinoma? A Cross-Sectional Study Based on 18 Registries" Journal of Clinical Medicine 12, no. 2: 513. https://doi.org/10.3390/jcm12020513
APA StyleLi, Z., Zhang, X., Sun, C., Li, Z., Fei, H., & Zhao, D. (2023). Does Surgical Resection Significantly Prolong the Long-Term Survival of Patients with Oligometastatic Pancreatic Ductal Adenocarcinoma? A Cross-Sectional Study Based on 18 Registries. Journal of Clinical Medicine, 12(2), 513. https://doi.org/10.3390/jcm12020513

