High Thyroid-Stimulating Hormone and Low Free Triiodothyronine Levels Are Associated with Chronic Kidney Disease in Three Population-Based Studies from Germany
Abstract
1. Introduction
2. Material and Methods
2.1. Study Population
2.2. Assessments
- If male & creatinine ≤ 0.9: 141 × (Creatinine/0.9)−0.411 × 0.993Age
- If male & creatinine > 0.9: 141 × (Creatinine/0.9)−1.209 × 0.993Age
- If female & creatinine ≤ 0.7: 144 × (Creatinine/0.7)−0.329 × 0.993Age
- If female & creatinine > 0.7: 144 × (Creatinine/0.7)−1.209 × 0.993Age
- FAS equation [16]:
- If male & age ≤ 40: 107.3/(Creatinine/0.9)
- If male & age > 40: 107.3/((Creatinine/0.9) × 0.998(Age−40))
- If female & age ≤ 40: 107.3/(Creatinine/0.7)
- If female & age > 40: 144 × ((Creatinine/0.7) × 0.998(Age−40))
- Low eGFR was defined as an eGFR < 60 mL/min for both definitions.
2.3. Statistical Methods
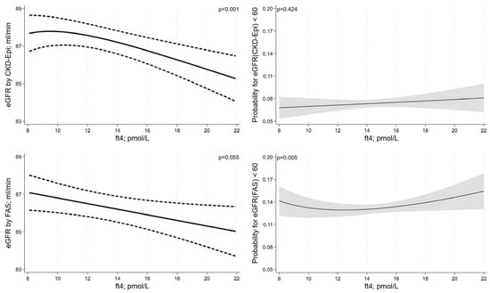
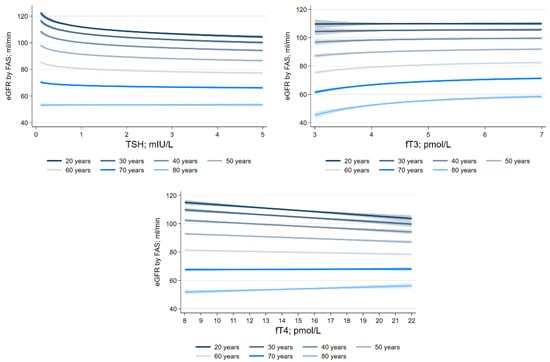
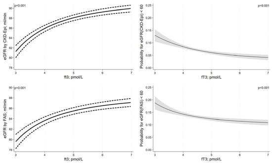
3. Results
4. Discussion
Author Contributions
Funding
Institutional Review Board Statement
Informed Consent Statement
Data Availability Statement
Conflicts of Interest
References
- Kidney Disease: Improving Global Outcomes (KDIGO) CKD Work Group. KDIGO clinical practice guideline for the evaluation and management of chronic kidney disease. Kidney Int. Suppl. 2013, 3, 1–150. [Google Scholar]
- Chronic Kidney Disease Prognosis, C.; Matsushita, K.; van der Velde, M.; Astor, B.C.; Woodward, M.; Levey, A.S.; de Jong, P.E.; Coresh, J.; Gansevoort, R.T. Association of estimated glomerular filtration rate and albuminuria with all-cause and cardiovascular mortality in general population cohorts: A collaborative meta-analysis. Lancet 2010, 375, 2073–2081. [Google Scholar] [CrossRef]
- Hillege, H.L.; Fidler, V.; Diercks, G.F.; van Gilst, W.H.; de Zeeuw, D.; van Veldhuisen, D.J.; Gans, R.O.; Janssen, W.M.; Grobbee, D.E.; de Jong, P.E.; et al. Urinary albumin excretion predicts cardiovascular and noncardiovascular mortality in general population. Circulation 2002, 106, 1777–1782. [Google Scholar] [CrossRef] [PubMed]
- Lee, M.; Saver, J.L.; Chang, K.H.; Liao, H.W.; Chang, S.C.; Ovbiagele, B. Impact of microalbuminuria on incident stroke: A meta-analysis. Stroke 2010, 41, 2625–2631. [Google Scholar] [CrossRef]
- Asvold, B.O.; Bjoro, T.; Vatten, L.J. Association of thyroid function with estimated glomerular filtration rate in a population-based study: The HUNT study. Eur. J. Endocrinol. 2011, 164, 101–105. [Google Scholar] [CrossRef]
- Gopinath, B.; Harris, D.C.; Wall, J.R.; Kifley, A.; Mitchell, P. Relationship between thyroid dysfunction and chronic kidney disease in community-dwelling older adults. Maturitas 2013, 75, 159–164. [Google Scholar] [CrossRef]
- Meuwese, C.L.; van Diepen, M.; Cappola, A.R.; Sarnak, M.J.; Shlipak, M.G.; Bauer, D.C.; Fried, L.P.; Iacoviello, M.; Vaes, B.; Degryse, J.; et al. Low thyroid function is not associated with an accelerated deterioration in renal function. Nephrol. Dial. Transplant. 2019, 34, 650–659. [Google Scholar] [CrossRef] [PubMed]
- Ellervik, C.; Mora, S.; Ridker, P.M.; Chasman, D.I. Hypothyroidism and Kidney Function: A Mendelian Randomization Study. Thyroid 2020, 30, 365–379. [Google Scholar] [CrossRef]
- Toda, A.; Hara, S.; Tsuji, H.; Arase, Y. Subclinical hypothyroidism is associated with albuminuria in Japanese nondiabetic subjects. Endocrine 2020, 68, 592–598. [Google Scholar] [CrossRef]
- Zhou, Y.; Ye, L.; Wang, T.; Hong, J.; Bi, Y.; Zhang, J.; Xu, B.; Sun, J.; Huang, X.; Xu, M. Free triiodothyronine concentrations are inversely associated with microalbuminuria. Int. J. Endocrinol. 2014, 2014, 959781. [Google Scholar] [CrossRef]
- El-Eshmawy, M.M.; Abd El-Hafez, H.A.; El Shabrawy, W.O.; Abdel Aal, I.A. Subclinical hypothyroidism is independently associated with microalbuminuria in a cohort of prediabetic egyptian adults. Diabetes Metab. J. 2013, 37, 450–457. [Google Scholar] [CrossRef] [PubMed][Green Version]
- Volzke, H.; Schossow, J.; Schmidt, C.O.; Jurgens, C.; Richter, A.; Werner, A.; Werner, N.; Radke, D.; Teumer, A.; Ittermann, T.; et al. Cohort Profile Update: The Study of Health in Pomerania (SHIP). Int. J. Epidemiol. 2022, 51, e372–e383. [Google Scholar] [CrossRef]
- Bertram, L.; Bockenhoff, A.; Demuth, I.; Duzel, S.; Eckardt, R.; Li, S.C.; Lindenberger, U.; Pawelec, G.; Siedler, T.; Wagner, G.G.; et al. Cohort profile: The Berlin Aging Study II (BASE-II). Int. J. Epidemiol. 2014, 43, 703–712. [Google Scholar] [CrossRef]
- Gerstorf, D.; Bertram, L.; Lindenberger, U.; Pawelec, G.; Demuth, I.; Steinhagen-Thiessen, E.; Wagner, G.G. Editorial. Gerontology 2016, 62, 311–315. [Google Scholar] [CrossRef] [PubMed]
- Stevens, L.A.; Padala, S.; Levey, A.S. Advances in glomerular filtration rate-estimating equations. Curr. Opin. Nephrol. Hypertens. 2010, 19, 298–307. [Google Scholar] [CrossRef]
- Pottel, H.; Hoste, L.; Dubourg, L.; Ebert, N.; Schaeffner, E.; Eriksen, B.O.; Melsom, T.; Lamb, E.J.; Rule, A.D.; Turner, S.T.; et al. An estimated glomerular filtration rate equation for the full age spectrum. Nephrol. Dial. Transplant. 2016, 31, 798–806. [Google Scholar] [CrossRef]
- Ittermann, T.; Khattak, R.M.; Nauck, M.; Cordova, C.M.; Volzke, H. Shift of the TSH reference range with improved iodine supply in Northeast Germany. Eur. J. Endocrinol. 2015, 172, 261–267. [Google Scholar] [CrossRef]
- Schmidt, C.O.; Ittermann, T.; Schulz, A.; Grabe, H.J.; Baumeister, S.E. Linear, nonlinear or categorical: How to treat complex associations in regression analyses? Polynomial transformations and fractional polynomials. Int. J. Public Health 2013, 58, 157–160. [Google Scholar] [CrossRef] [PubMed]
- Crowley, W.F., Jr.; Ridgway, E.C.; Bough, E.W.; Francis, G.S.; Daniels, G.H.; Kourides, I.A.; Myers, G.S.; Maloof, F. Noninvasive evaluation of cardiac function in hypothyroidism. Response to gradual thyroxine replacement. N. Engl. J. Med. 1977, 296, 1–6. [Google Scholar] [CrossRef] [PubMed]
- Villabona, C.; Sahun, M.; Roca, M.; Mora, J.; Gomez, N.; Gomez, J.M.; Puchal, R.; Soler, J. Blood volumes and renal function in overt and subclinical primary hypothyroidism. Am. J. Med. Sci. 1999, 318, 277–280. [Google Scholar] [CrossRef]
- Diekman, M.J.; Harms, M.P.; Endert, E.; Wieling, W.; Wiersinga, W.M. Endocrine factors related to changes in total peripheral vascular resistance after treatment of thyrotoxic and hypothyroid patients. Eur. J. Endocrinol. 2001, 144, 339–346. [Google Scholar] [CrossRef]
- Singer, M.A. Of mice and men and elephants: Metabolic rate sets glomerular filtration rate. Am. J. Kidney Dis. 2001, 37, 164–178. [Google Scholar] [CrossRef] [PubMed]
- Chonchol, M.; Lippi, G.; Salvagno, G.; Zoppini, G.; Muggeo, M.; Targher, G. Prevalence of subclinical hypothyroidism in patients with chronic kidney disease. Clin. J. Am. Soc. Nephrol. 2008, 3, 1296–1300. [Google Scholar] [CrossRef] [PubMed]
- Toft, A.D.; Boon, N.A. Thyroid disease and the heart. Heart 2000, 84, 455–460. [Google Scholar] [CrossRef] [PubMed]
- Iglesias, P.; Bajo, M.A.; Selgas, R.; Diez, J.J. Thyroid dysfunction and kidney disease: An update. Rev. Endocr. Metab. Disord. 2017, 18, 131–144. [Google Scholar] [CrossRef]
- Lo, J.C.; Chertow, G.M.; Go, A.S.; Hsu, C.Y. Increased prevalence of subclinical and clinical hypothyroidism in persons with chronic kidney disease. Kidney Int. 2005, 67, 1047–1052. [Google Scholar] [CrossRef]
- Schultheiss, U.T.; Daya, N.; Grams, M.E.; Seufert, J.; Steffes, M.; Coresh, J.; Selvin, E.; Kottgen, A. Thyroid function, reduced kidney function and incident chronic kidney disease in a community-based population: The Atherosclerosis Risk in Communities study. Nephrol. Dial. Transplant. 2017, 32, 1874–1881. [Google Scholar] [CrossRef]
- Lengnan, X.; Aiqun, C.; Ying, S.; Chuanbao, L.; Yonghui, M. The effects of aging on the renal function of a healthy population in Beijing and an evaluation of a range of estimation equations for glomerular filtration rate. Aging 2021, 13, 6904–6917. [Google Scholar] [CrossRef]
- Konig, M.; Gollasch, M.; Demuth, I.; Steinhagen-Thiessen, E. Prevalence of Impaired Kidney Function in the German Elderly: Results from the Berlin Aging Study II (BASE-II). Gerontology 2017, 63, 201–209. [Google Scholar] [CrossRef]
- Da Silva Selistre, L.; Rech, D.L.; de Souza, V.; Iwaz, J.; Lemoine, S.; Dubourg, L. Diagnostic Performance of Creatinine-Based Equations for Estimating Glomerular Filtration Rate in Adults 65 Years and Older. JAMA Intern. Med. 2019, 179, 796–804. [Google Scholar] [CrossRef]
- Reinhardt, W.; Mulling, N.; Behrendt, S.; Benson, S.; Dolff, S.; Fuhrer, D.; Tan, S. Association between albuminuria and thyroid function in patients with chronic kidney disease. Endocrine 2021, 73, 367–373. [Google Scholar] [CrossRef] [PubMed]






| TSH in Reference Range (n = 7003) | Low TSH (n = 596) | High TSH (n = 334) | |
|---|---|---|---|
| Study | |||
| SHIP-START-2 | 26.2% | 37.6% | 18.0% |
| SHIP-TREND-0 | 50.1% | 58.4% | 45.5% |
| BASE-II | 23.7% | 4.0% | 36.5% |
| Age; years | 54.6 (15.7) | 60.7 (13.2) | 51.8 (17.7) |
| Females | 50.3% | 54.0% | 63.5% |
| Smoking status | |||
| Never | 39.8% | 36.7% | 40.7% |
| Former | 37.7% | 43.1% | 34.1% |
| Current | 22.6% | 20.1% | 25.2% |
| Body mass index; kg/m2 | 27.6 (5.0) | 28.3 (5.1) | 27.2 (5.7) |
| Waist circumference; cm | 92 (14) | 93 (14) | 90 (15) |
| Hypertension | 48.9% | 61.1% | 39.4% |
| Type 2 diabetes | 9.5% | 13.8% | 8.4% |
| HDL-cholesterol; mmol/L | 1.47 (0.40) | 1.45 (0.39) | 1.53 (0.43) |
| LDL-cholesterol; mmol/L | 3.31 (0.95) | 3.36 (0.98) | 3.30 (1.03) |
| TSH; mIU/L | 1.45 (0.72) | 0.31 (0.14) | 6.51 (7.82) |
| fT3; pmol/L | 4.73 (0.88) | 4.78 (0.99) | 4.69 (0.95) |
| fT4; pmol/L | 14.0 (2.3) | 15.1 (3.2) | 13.6 (3.0) |
| Thyroid medication | 9.7% | 25.7% | 24.3% |
| Serum creatinine; µmol/L | 78 (17) | 77 (19) | 79 (17) |
| eGFR (CKD-EPI); mL/min | 87 (18) | 84 (19) | 86 (19) |
| eGFR (CKD-EPI) < 60 mL/min | 6.9% | 11.7% | 8.4% |
| eGFR (FAS); mL/min | 84 (22) | 80 (23) | 81 (21) |
| eGFR (FAS) < 60 mL/min | 12.7% | 19.6% | 14.7% |
| Urea; mmol/L | 5.1 (1.5) | 5.4 (1.9) | 5.0 (1.4) |
| Uric acid; µmol/L | 294 (81) | 292 (82) | 285 (81) |
| ACR ≥ 30 mg/g | 11.9% | 15.8% | 14.1% |
| TSH < 0.49 mIU/L # β (95%-CI) | TSH ≥ 3.29 mIU/L # β (95%-CI) | |
|---|---|---|
| eGFR (CKD-EPI); mL/min | 2.26 (1.14; 3.83) * | −3.71 (−5.16; −2.25) * |
| eGFR (FAS); mL/min | 2.44 (1.16; 3.71) * | −4.14 (−5.78; −2.49) * |
| Odds ratio (95%-CI) | Odds ratio (95%-CI) | |
| eGFR (CKD-EPI) < 60 mL/min | 0.88 (0.65; 1.20) | 1.30 (0.82; 2.05) |
| eGFR (FAS) < 60 mL/min | 0.78 (0.59; 1.03) | 1.26 (0.84; 1.88) |
| ACR ≥ 30 mg/g | 0.96 (0.75; 1.22) | 1.35 (0.97; 1.88) |
| Subclinical Hyper vs. Euthyroid β (95%-CI) | Overt Hyper vs. Euthyroid β (95%-CI) | Subclinical Hypo vs. Euthyroid β (95%-CI) | Overt Hypo vs. Euthyroid β (95%-CI) | |
|---|---|---|---|---|
| eGFR (CKD-EPI); mL/min | 2.86 (1.56; 4.16) * | 0.92 (−1.24; 3.08) | −2.85 (−4.47; −1.23) * | −7.98 (−11.76; −4.19) * |
| eGFR (FAS); mL/min | 3.04 (1.57; 4.51) * | 1.02 (−1.43; 3.47) | −3.35 (−5.19; −1.51) * | −7.33 (−11.62; −3.03) * |
| Odds ratio (95%-CI) | Odds ratio (95%-CI) | Odds ratio (95%-CI) | Odds ratio (95%-CI) | |
| eGFR (CKD-EPI) < 60 mL/min | 0.67 (0.45; 0.99) * | 1.36 (0.82; 2.27) | 0.94 (0.52; 1.67) | 2.34 (0.99; 5.56) |
| eGFR (FAS) < 60 mL/min | 0.78 (0.567; 1.09) | 0.78 (0.47; 1.28) | 0.91 (0.56; 1.48) | 2.65 (1.15; 6.07) * |
| ACR ≥ 30 mg/g | 0.94 (0.71; 1.25) | 1.17 (0.77; 1.80) | 1.35 (0.93; 1.97) | 1.34 (0.63; 2.84) |
Disclaimer/Publisher’s Note: The statements, opinions and data contained in all publications are solely those of the individual author(s) and contributor(s) and not of MDPI and/or the editor(s). MDPI and/or the editor(s) disclaim responsibility for any injury to people or property resulting from any ideas, methods, instructions or products referred to in the content. |
© 2023 by the authors. Licensee MDPI, Basel, Switzerland. This article is an open access article distributed under the terms and conditions of the Creative Commons Attribution (CC BY) license (https://creativecommons.org/licenses/by/4.0/).
Share and Cite
Ittermann, T.; von Rheinbaben, S.; Markus, M.R.P.; Dörr, M.; Steveling, A.; Nauck, M.; Teumer, A.; Gollasch, M.; Spira, D.; König, M.; et al. High Thyroid-Stimulating Hormone and Low Free Triiodothyronine Levels Are Associated with Chronic Kidney Disease in Three Population-Based Studies from Germany. J. Clin. Med. 2023, 12, 5763. https://doi.org/10.3390/jcm12175763
Ittermann T, von Rheinbaben S, Markus MRP, Dörr M, Steveling A, Nauck M, Teumer A, Gollasch M, Spira D, König M, et al. High Thyroid-Stimulating Hormone and Low Free Triiodothyronine Levels Are Associated with Chronic Kidney Disease in Three Population-Based Studies from Germany. Journal of Clinical Medicine. 2023; 12(17):5763. https://doi.org/10.3390/jcm12175763
Chicago/Turabian StyleIttermann, Till, Sabrina von Rheinbaben, Marcello R. P. Markus, Marcus Dörr, Antje Steveling, Matthias Nauck, Alexander Teumer, Maik Gollasch, Dominik Spira, Maximilian König, and et al. 2023. "High Thyroid-Stimulating Hormone and Low Free Triiodothyronine Levels Are Associated with Chronic Kidney Disease in Three Population-Based Studies from Germany" Journal of Clinical Medicine 12, no. 17: 5763. https://doi.org/10.3390/jcm12175763
APA StyleIttermann, T., von Rheinbaben, S., Markus, M. R. P., Dörr, M., Steveling, A., Nauck, M., Teumer, A., Gollasch, M., Spira, D., König, M., Demuth, I., Steinhagen-Thiessen, E., Völzke, H., & Stracke, S. (2023). High Thyroid-Stimulating Hormone and Low Free Triiodothyronine Levels Are Associated with Chronic Kidney Disease in Three Population-Based Studies from Germany. Journal of Clinical Medicine, 12(17), 5763. https://doi.org/10.3390/jcm12175763

